Volume Deformation and Hydration Behavior of Ordinary Portland Cement/Calcium Sulfoaluminate Cement Blends
Abstract
1. Introduction
2. Raw Materials and Methods
2.1. Raw Materials and Sample Preparation
2.2. Methods
2.2.1. Setting Time and Compressive Strength
2.2.2. Volume Deformation
2.2.3. XRD
2.2.4. Reaction Kinetics and Thermal Analysis
2.2.5. Pore Structure Characteristics and Microcrack Analysis
2.2.6. Pore Solution
2.2.7. SEM/BSE-EDS
3. Results and Discussion
3.1. Setting Time
3.2. Compressive Strength
3.3. Volume Deformation
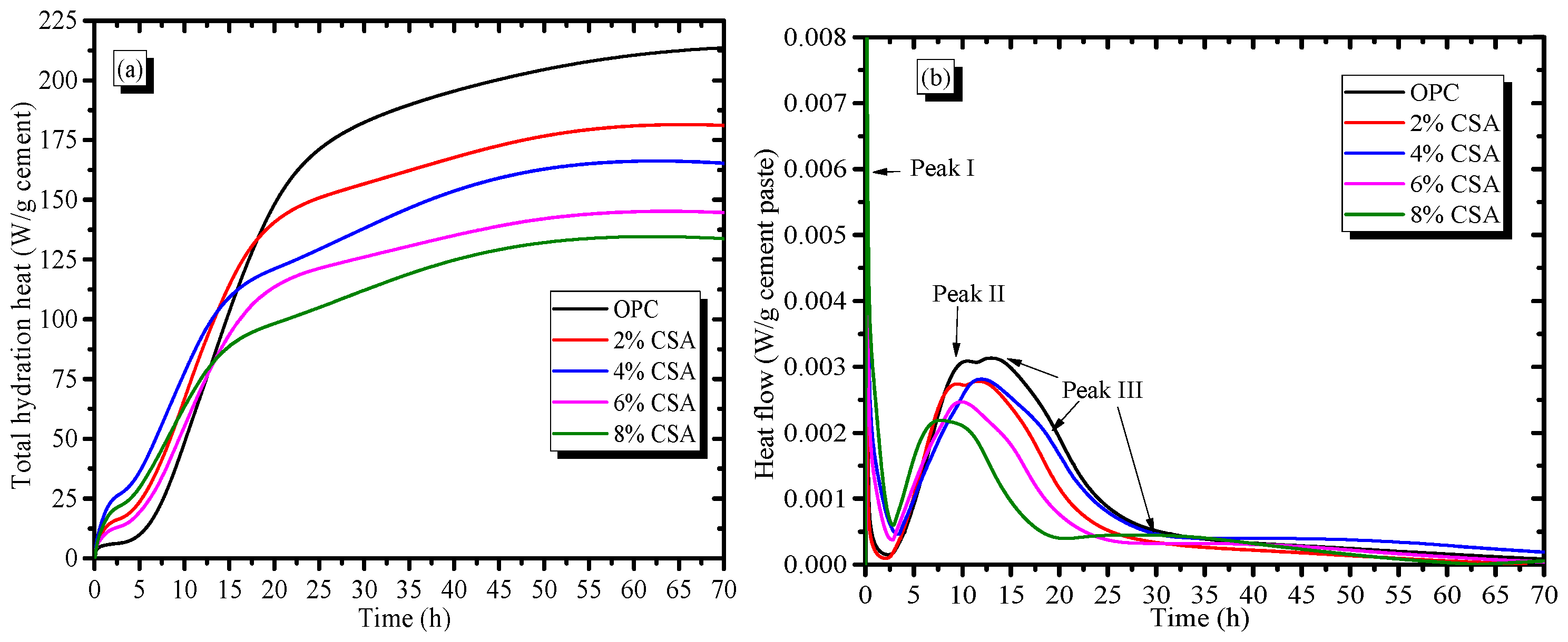
3.4. Hydration Kinetics
3.5. Hydration Products
3.5.1. XRD Analysis
3.5.2. TG-DSC
3.5.3. Pore Solution Chemistry
3.5.4. SEM/EDS
3.6. Pore Structure
3.7. Ultrasonic Testing
4. Conclusions
Author Contributions
Funding
Institutional Review Board Statement
Informed Consent Statement
Data Availability Statement
Conflicts of Interest
References
- Khudyakova, T.; Kolesnikova, O.; Zhanikulov, N.; Botabaev, N.; Kenzhibaeva, G.; Iztleuov, G.; Suigenbaeva, A.; Kutzhanova, A.; Ashirbaev, H.; Kolesnikova, V. Low-basicity cement, problems and advantages of its utilization. Refract. Ind. Ceram. 2021, 62, 369–374. [Google Scholar] [CrossRef]
- Alani, A.; Lesovik, R.; Lesovik, V.; Fediuk, R.; Klyuev, S.; Amran, M.; Ali, M.; de Azevedo, A.; Vatin, N. Demolition waste potential for completely cement-free binders. Materials 2022, 15, 6018. [Google Scholar] [CrossRef] [PubMed]
- Sun, K.; Ali, H.; Ji, W.; Ban, J.; Poon, C. Utilization of contaminated air pollution control residues generated from sewage sludge incinerator for the preparation of alkali-activated materials. Resour. Conserv. Recycl. 2023, 188, 106665. [Google Scholar] [CrossRef]
- Ali, M.; Gopal, S.; Handoo, S. Studies on the formation kinetics of calcium sulphoaluminate. Cem. Concr. Res. 1994, 24, 715–720. [Google Scholar] [CrossRef]
- Ghahari, S.; Assi, L.; Alsalman, A.; Alyamaç, K. Fracture properties evaluation of cellulose nanocrystals cement paste. Materials 2020, 13, 2507. [Google Scholar] [CrossRef] [PubMed]
- Zhang, Y.; Zhao, Q.; Gao, Z.; Chang, J. Nanostructural evolution of Al(OH)3 gel formed by the cubic and orthorhombic ye’elimite clinkers of calcium sulfoaluminate cements in an ultra-wide hydration temperature range. Cem. Concr. Res. 2021, 150, 106607. [Google Scholar] [CrossRef]
- Zhanikulov, N.; Khudyakova, T.; Taimassov, B.; Sarsenbayev, B.; Dauletiarov, M.; Kolesnikov, A.; Karshygayev, R. Receiving Portland cement from technogenic raw materials of South Kazakhstan. Eurasian Chem.-Technol. J. 2019, 21, 333–340. [Google Scholar] [CrossRef]
- Kolesnikova, O.; Vasilyeva, N.; Kolesnikov, A.; Zolkin, A. Optimization of raw mix using technogenic waste to produce cement clinker. Min. Inf. Anal. Bull. 2022, 60, 103–115. [Google Scholar] [CrossRef]
- Kleib, J.; Aouad, G.; Benzerzour, M.; Zakhour, M.; Abriak, N. Effect of calcium sulfoaluminate cements composition on their durability. Constr. Build. Mater. 2021, 307, 124952. [Google Scholar] [CrossRef]
- Sun, K.; Zhou, X.; Gong, C.; Ding, Y.; Lu, L. Influence of paste thickness on coated aggregates on properties of high-density sulphoaluminate cement concrete. Constr. Build. Mater. 2016, 115, 125–131. [Google Scholar] [CrossRef]
- Seo, J.; Park, S.; Kim, S.; Yoon, H.; Lee, H. Local Al network and material characterization of belite-calcium sulfoaluminate (CSA) cements. Mater. Struct. 2022, 55, 12. [Google Scholar] [CrossRef]
- Galbenis, C.; Tsimas, S. Use of construction and demolition wastes as raw materials in cement clinker production. China Particuology 2006, 4, 83–85. [Google Scholar] [CrossRef]
- Negrão, L.; da Costa, M.; Pöllmann, H. Waste clay from bauxite beneficiation to produce calcium sulphoaluminate eco-cements. Constr. Build. Mater. 2022, 340, 127703. [Google Scholar] [CrossRef]
- Telesca, A.; Marroccoli, M.; Coppola, L.; Coffetti, D.; Candamano, S. Tartaric acid effects on hydration development and physico-mechanical properties of blended calcium sulphoaluminate cements. Cem. Concr. Compos. 2021, 124, 104275. [Google Scholar] [CrossRef]
- Huang, G.; Pudasainee, D.; Gupta, R.; Liu, W. Extending blending proportions of ordinary Portland cement and calcium sulfoaluminate cement blends: Its effects on setting, workability, and strength development. Front. Struct. Civ. Eng. 2021, 15, 1249–1260. [Google Scholar] [CrossRef]
- Li, G.; Bai, Z.; Zhang, G.; Wu, Y. Study on properties and degradation mechanism of calcium sulphoaluminate cement-ordinary Portland cement binary repair material under seawater erosion. Case Stud. Constr. Mater. 2022, 17, e01440. [Google Scholar] [CrossRef]
- Huang, G.; Pudasainee, D.; Gupta, R.; Liu, W. Thermal properties of calcium sulfoaluminate cement-based mortars incorporated with expanded perlite cured at cold temperatures. Constr. Build. Mater. 2021, 274, 122082. [Google Scholar] [CrossRef]
- Bertola, F.; Gastaldi, D.; Irico, S.; Paul, G.; Canonico, F. Behavior of blends of CSA and Portland cements in high chloride environment. Constr. Build. Mater. 2020, 262, 120852. [Google Scholar] [CrossRef]
- Alexander, M.; Fourie, C. Performance of sewer pipe concrete mixtures with portland and calcium aluminate cements subject to mineral and biogenic acid attack. Mater. Struct. 2011, 44, 313–330. [Google Scholar] [CrossRef]
- Coumes, C.; Courtois, S.; Peysson, S.; Ambroise, J.; Pera, J. Calcium sulfoaluminate cement blended with OPC: A potential binder to encapsulate low-level radioactive slurries of complex chemistry. Cem. Concr. Res. 2009, 39, 740–747. [Google Scholar] [CrossRef]
- Khalil, N.; Aouad, G.; El Cheikh, K.; Rémond, S. Use of calcium sulfoaluminate cements for setting control of 3D-printing mortars. Constr. Build. Mater. 2017, 157, 382–391. [Google Scholar]
- Trauchessec, R.; Mechling, J.; Lecomte, A.; Roux, A.; Le Rolland, B. Hydration of ordinary Portland cement and calcium sulfoaluminate cement blends. Cem. Concr. Compos. 2015, 56, 106–114. [Google Scholar] [CrossRef]
- Li, W.; Yu, J.; Ma, S.; Hu, Y.; Ge, D.; Shen, X. The properties and hydration of Portland cement containing calcium sulfoaluminate cement. Ceram.-Silikáty 2018, 62, 364–373. [Google Scholar] [CrossRef]
- Trauchessec, R.; Mechling, J.; Lecomte, A.; Roux, A.; Le Rolland, B. Impact of anhydrite proportion in a calcium sulfoaluminate cement and Portland cement blend. Adv. Cem. Res. 2014, 26, 325–333. [Google Scholar] [CrossRef]
- Chaunsali, P.; Mondal, P. Physico-chemical interaction between mineral admixtures and OPC-calcium sulfoaluminate (CSA) cements and its influence on early-age expansion. Cem. Concr. Res. 2016, 80, 10–20. [Google Scholar]
- Park, S.; Jeong, Y.; Moon, J.; Lee, N. Hydration characteristics of calcium sulfoaluminate (CSA) cement/portland cement blended pastes. J. Build. Eng. 2021, 34, 101880. [Google Scholar]
- Liu, M.; Luo, S.; Yang, L.; Ren, J. Influence of water removal techniques on the composition and microstructure of hardened calcium sulfoaluminate cement pastes. Mater. Struct. 2020, 53, 126190. [Google Scholar]
- Cai, Y.; Tao, Y.; Xuan, D.; Sun, Y.; Poon, C. Effect of seawater on the morphology, structure, and properties of synthetic ettringite. Cem. Concr. Res. 2023, 163, 107034. [Google Scholar] [CrossRef]
- ASTM C191; Standard Test Methods for Time of Setting of Hydraulic Cement by Vicat Needle. ASTM International: West Conshohocken, PA, USA, 2021. [CrossRef]
- Cai, Y.; Xuan, D.; Poon, C. Influence of the availability of calcium on the hydration of tricalcium aluminate (C3A) in seawater-mixed C3A-gypsum system. J. Am. Ceram. Soc. 2022, 105, 5895–5910. [Google Scholar] [CrossRef]
- Chaunsali, P.; Mondal, P. Influence of calcium sulfoaluminate (CSA) cement content on expansion and hydration behavior of various ordinary Portland cement-CSA Blends. J. Am. Ceram. Soc. 2015, 98, 2617–2624. [Google Scholar] [CrossRef]
- Pelletier, L.; Winnefeld, F.; Lothenbach, B. The ternary system Portland cement-calcium sulphoaluminate clinker-anhydrite: Hydration mechanism and mortar properties. Cem. Concr. Compos. 2010, 32, 497–507. [Google Scholar]
- Dubina, E.; Black, L.; Sieber, R.; Plank, J. Interaction of water vapour with anhydrous cement minerals. Adv. Appl. Ceram. 2010, 109, 260–268. [Google Scholar] [CrossRef]
- Ramanathan, S.; Halee, B.; Suraneni, P. Effect of calcium sulfoaluminate cement prehydration on hydration and strength gain of calcium sulfoaluminate cement-ordinary portland cement mixtures. Cem. Concr. Compos. 2020, 112, 103694. [Google Scholar] [CrossRef]
- Cai, Y.; Xuan, D.; Hou, P.; Shi, J.; Poon, C. Effect of seawater as mixing water on the hydration behaviour of tricalcium aluminate. Cem. Concr. Res. 2021, 149, 106565. [Google Scholar] [CrossRef]
- Lura, P.; Winnefeld, F.; Klemm, S. Simultaneous measurements of heat of hydration and chemical shrinkage on hardening cement pastes. J. Therm. Anal. Calorim. 2010, 101, 925–932. [Google Scholar] [CrossRef]
- Sirtoli, D.; Wyrzykowski, M.; Riva, P.; Lura, P. Autogenous and drying shrinkage of mortars based on Portland and calcium sulfoaluminate cements. Mater. Struct. 2020, 53, 126. [Google Scholar] [CrossRef]
- Scrivener, K.; Juilland, P.; Monteiro, P. Advances in understanding hydration of Portland cement. Cem. Concr. Res. 2015, 78, 38–56. [Google Scholar] [CrossRef]
- Taylor, H. Cement Chemistry; Thomas Telford: London, UK, 1997. [Google Scholar]
- Allevi, S.; Marchi, M.; Scotti, F.; Bertini, S.; Cosentino, C. Hydration of calcium sulphoaluminate clinker with additions of different calcium sulphate sources. Mater. Struct. 2016, 49, 453–466. [Google Scholar] [CrossRef]
- Sun, K.; Xuan, D.; Li, J.; Ji, G.; Poon, C.; Wang, S.; Peng, X.; Lv, X.; Zeng, G. Effect of the Ti-extracted residue on compressive strength and microstructural properties of modified cement mortar. Constr. Build. Mater. 2020, 320, 126190. [Google Scholar] [CrossRef]
- Le Saout, G.; Lothenbach, B.; Hori, A.; Higuchi, T.; Winnefeld, F. Hydration of Portland cement with additions of calcium sulfoaluminates. Cem. Concr. Res. 2013, 43, 81–94. [Google Scholar] [CrossRef]
- Pelletier-Chaignat, L.; Winnefeld, F.; Lothenbach, B.; Le Saout, G.; Muller, C.; Famy, C. Influence of the calcium sulphate source on the hydration mechanism of Portland cement-calcium sulphoaluminate clinker-calcium sulphate binders. Cem. Concr. Compos. 2011, 33, 551–561. [Google Scholar]
- Gabrisová, A.; Havlica, J.; Sahu, S. Stability of calcium sulphoaluminate hydrates in water solutions with various pH values. Cem. Concr. Res. 1991, 21, 1023–1027. [Google Scholar] [CrossRef]
- Kocaba, V.; Gallucci, E.; Scrivener, K. Methods for determination of degree of reaction of slag in blended cement pastes. Cem. Concr. Res. 2012, 42, 511–525. [Google Scholar]
- Richardson, I.G. Model structures for C-(A)-S-H(I). Acta Crystallogr. Sect. B Struct. Sci. Cryst. Eng. Mater. 2014, 70, 903–923. [Google Scholar] [CrossRef] [PubMed]
- Zhu, X.; Richardson, I. Morphology-structural change of C-A-S-H gel in blended cements. Cem. Concr. Res. 2023, 168, 107156. [Google Scholar] [CrossRef]
- Richardson, I.; Groves, G. Microstructure and microanalysis of hardened ordinary Portland-cement pastes. J. Mater. Sci. 1993, 28, 265–277. [Google Scholar] [CrossRef]
- Scherer, G. Stress from crystallization of salt. Cem. Concr. Res. 2004, 34, 1613–1624. [Google Scholar] [CrossRef]
- Flatt, R.; Scherer, G. Thermodynamics of crystallization stresses in DEF. Cem. Concr. Res. 2008, 38, 325–336. [Google Scholar] [CrossRef]
- Chen, I.; Hargis, C.; Juenger, M. Understanding expansion in calcium sulfoaluminate-belite cements. Cem. Concr. Res. 2012, 42, 51–60. [Google Scholar] [CrossRef]
- Dongyu, X.; Shifeng, H.; Lei, Q.; Lingchao, L.; Xin, C. Monitoring of cement hydration reaction process based on ultrasonic technique of piezoelectric composite transducer. Constr. Build. Mater. 2012, 35, 220–226. [Google Scholar] [CrossRef]
- Liu, S.; Bundur, Z.; Zhu, J.; Ferron, R. Evaluation of self-healing of internal cracks in biomimetic mortar using coda wave interferometry. Cem. Concr. Res. 2016, 83, 70–78. [Google Scholar] [CrossRef]













| OPC | CSA | |
|---|---|---|
| Calcium oxide (CaO) | 62.27 | 44.37 |
| Silicon dioxide (SiO2) | 20.27 | 9.16 |
| Aluminum oxide (Al2O3) | 3.77 | 23.26 |
| Iron oxide (Fe2O3) | 2.99 | 2.53 |
| Magnesium oxide (MgO) | 4.01 | 4.59 |
| Sulfuric anhydride (SO3) | 2.50 | 10.11 |
| Sodium oxide equivalent (Na2O) | 1.02 | 0.73 |
| Loss on ignition | 0.85 | 1.16 |
| Fineness (m2/kg) | 358 | 313 |
| Normal consistency | 320 | 270 |
| 3d compressive strength (MPa) | 27.4 | 37.1 |
| 28d compressive strength (MPa) | 43.5 | 44.1 |
| NO. | OPC | CAS Cement | Water/(OPC + CAS Cement) Ratio | (OPC + CAS Cement)/Sand Ratio |
|---|---|---|---|---|
| 1 | 100% | 0% | 0.4 | 1/3 |
| 2 | 98% | 2% | ||
| 3 | 96% | 4% | ||
| 4 | 94% | 6% | ||
| 5 | 92% | 8% |
Disclaimer/Publisher’s Note: The statements, opinions and data contained in all publications are solely those of the individual author(s) and contributor(s) and not of MDPI and/or the editor(s). MDPI and/or the editor(s) disclaim responsibility for any injury to people or property resulting from any ideas, methods, instructions or products referred to in the content. |
© 2023 by the authors. Licensee MDPI, Basel, Switzerland. This article is an open access article distributed under the terms and conditions of the Creative Commons Attribution (CC BY) license (https://creativecommons.org/licenses/by/4.0/).
Share and Cite
Ji, G.; Ali, H.A.; Sun, K.; Xuan, D.; Peng, X.; Li, J. Volume Deformation and Hydration Behavior of Ordinary Portland Cement/Calcium Sulfoaluminate Cement Blends. Materials 2023, 16, 2652. https://doi.org/10.3390/ma16072652
Ji G, Ali HA, Sun K, Xuan D, Peng X, Li J. Volume Deformation and Hydration Behavior of Ordinary Portland Cement/Calcium Sulfoaluminate Cement Blends. Materials. 2023; 16(7):2652. https://doi.org/10.3390/ma16072652
Chicago/Turabian StyleJi, Guangxiang, Hafiz Asad Ali, Keke Sun, Dongxing Xuan, Xiaoqin Peng, and Jingjun Li. 2023. "Volume Deformation and Hydration Behavior of Ordinary Portland Cement/Calcium Sulfoaluminate Cement Blends" Materials 16, no. 7: 2652. https://doi.org/10.3390/ma16072652
APA StyleJi, G., Ali, H. A., Sun, K., Xuan, D., Peng, X., & Li, J. (2023). Volume Deformation and Hydration Behavior of Ordinary Portland Cement/Calcium Sulfoaluminate Cement Blends. Materials, 16(7), 2652. https://doi.org/10.3390/ma16072652

