How Retting Could Affect the Mechanical Behavior of Flax/Epoxy Biocomposite Materials?
Abstract
1. Introduction
2. Materials and Methods
2.1. Raw Materials
2.2. Flax Composite Preparation
2.3. Tensile Test for Flax Fibers
2.4. Tensile Test for Biobased Composite Materials
2.5. Dynamic Mechanical Analysis
2.6. Biochemical Analysis
3. Results
3.1. Mechanical Properties of Technical Flax Reinforcements
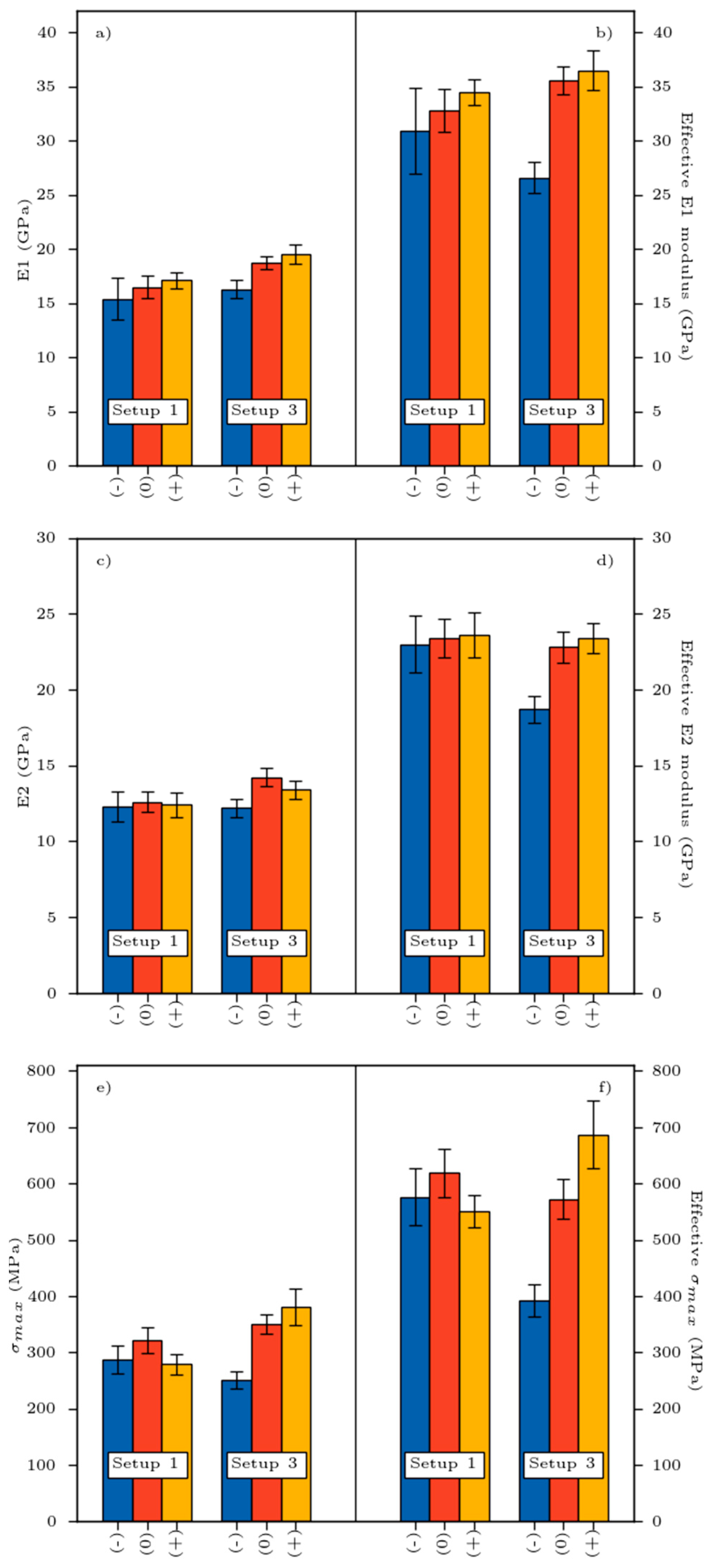
3.2. Mechanical Properties of Flax Biobased Materials
- (i)
- Area 1 (0–0.1% deformation): an elastic transition. This area is used to calculate the E1 modulus (modulus of small deformations).
- (ii)
- Area 2 (0.1–0.3% deformation): a plastic transition and attributed to quick rearrangement of crystalline cellulose microfibrils between them and leading to a reduction in the stiffness between area 1 and area 3.
- (iii)
- Area 3 (over 0.3%): the second elastic transition. The E2 modulus (for large deformations) was calculated between 0.3 and 0.5% of deformation.
3.3. Dynamic Mechanical Properties
3.4. Biochemical Analysis
4. Conclusions
Author Contributions
Funding
Acknowledgments
Conflicts of Interest
References
- Kerni, L.; Singh, S.; Patnaik, A.; Kumar, N. A Review on Natural Fiber Reinforced Composites. Materials Today. Proceedings 2020, 28, 1616–1621. [Google Scholar] [CrossRef]
- Chaudhary, V.; Ahmad, F. A Review on Plant Fiber Reinforced Thermoset Polymers for Structural and Frictional Composites. Polym. Test. 2020, 91, 106792. [Google Scholar] [CrossRef]
- Assarar, M.; Scida, D.; El Mahi, A.; Poilâne, C.; Ayad, R. Influence of Water Ageing on Mechanical Properties and Damage Events of Two Reinforced Composite Materials: Flax–Fibres and Glass–Fibres. Mater. Des. 2011, 32, 788–795. [Google Scholar] [CrossRef]
- Yan, L.; Chouw, N.; Jayaraman, K. Flax Fibre and Its Composites—A Review. Compos. Part B: Eng. 2014, 56, 296–317. [Google Scholar] [CrossRef]
- Khennache, M.; Mahieu, A.; Ragoubi, M.; Taibi, S.; Poilâne, C.; Leblanc, N. Physicochemical and Mechanical Performances of Technical Flax Fibers and Biobased Composite Material: Effects of Flax Transformation Process. J. Mater. Res. 2019, 19, 821–838. [Google Scholar] [CrossRef]
- Melelli, A.; Jamme, F.; Beaugrand, J.; Bourmaud, A. Evolution of the Ultrastructure and Polysaccharide Composition of Flax Fibres over Time: When History Meets Science. Carbohydr. Polym. 2022, 291, 119584. [Google Scholar] [CrossRef]
- Martin, N.; Mouret, N.; Davies, P.; Baley, C. Influence of the Degree of Retting of Flax Fibers on the Tensile Properties of Single Fibers and Short Fiber/Polypropylene Composites. Ind. Crops Prod. 2013, 49, 755–767. [Google Scholar] [CrossRef]
- Bourmaud, A.; Siniscalco, D.; Foucat, L.; Goudenhooft, C.; Falourd, X.; Pontoire, B.; Arnould, O.; Beaugrand, J.; Baley, C. Evolution of Flax Cell Wall Ultrastructure and Mechanical Properties during the Retting Step. Carbohydr. Polym. 2019, 206, 48–56. [Google Scholar] [CrossRef]
- Alix, S.; Lebrun, L.; Marais, S.; Philippe, E.; Bourmaud, A.; Baley, C.; Morvan, C. Pectinase Treatments on Technical Fibres of Flax: Effects on Water Sorption and Mechanical Properties. Carbohydr. Polym. 2012, 87, 177–185. [Google Scholar] [CrossRef]
- Placet, V.; Day, A.; Beaugrand, J. The Influence of Unintended Field Retting on the Physicochemical and Mechanical Properties of Industrial Hemp Bast Fibres. J. Mater. Sci. 2017, 52, 5759–5777. [Google Scholar] [CrossRef]
- Lefeuvre, A.; Bourmaud, A.; Morvan, C.; Baley, C. Tensile Properties of Elementary Fibres of Flax and Glass: Analysis of Reproducibility and Scattering. Mater. Lett. 2014, 130, 289–291. [Google Scholar] [CrossRef]
- Martin, N.; Davies, P.; Baley, C. Evaluation of the Potential of Three Non-Woven Flax Fiber Reinforcements: Spunlaced, Needlepunched and Paper Process Mats. Ind. Crops Prod. 2016, 83, 194–205. [Google Scholar] [CrossRef]
- Bourmaud, A.; Morvan, C.; Bouali, A.; Placet, V.; Perré, P.; Baley, C. Relationships between Micro-Fibrillar Angle, Mechanical Properties and Biochemical Composition of Flax Fibers. Ind. Crops Prod. 2013, 44, 343–351. [Google Scholar] [CrossRef]
- Bos, H.L. Tensile and Compressive Properties of Flax Fibres for Natural Fibre Reinforced Composites. J. Mater. Sci. 2002, 37, 1683–1692. [Google Scholar] [CrossRef]
- Charlet, K.; Jernot, J.-P.; Gomina, M.; Bizet, L.; Bréard, J. Mechanical Properties of Flax Fibers and of the Derived Unidirectional Composites. J. Compos. Mater. 2010, 44, 2887–2896. [Google Scholar] [CrossRef]
- Ruan, P.; Raghavan, V.; Gariepy, Y.; Du, J. Characterization of Flax Water Retting of Different Durations in Laboratory Condition and Evaluation of Its Fiber Properties. BioResources 2015, 10, 3553–3563. [Google Scholar] [CrossRef]
- Oksman, K. High Quality Flax Fibre Composites Manufactured by the Resin Transfer Moulding Process. J. Reinf. Plast. Compos. 2001, 20, 621–627. [Google Scholar] [CrossRef]
- Kersani, M.; Lomov, S.V.; Van Vuure, A.W.; Bouabdallah, A.; Verpoest, I. Damage in Flax/Epoxy Quasi-Unidirectional Woven Laminates under Quasi-Static Tension. J. Compos. Mater. 2015, 49, 403–413. [Google Scholar] [CrossRef]
- Coroller, G.; Lefeuvre, A.; Le Duigou, A.; Bourmaud, A.; Ausias, G.; Gaudry, T.; Baley, C. Effect of Flax Fibres Individualisation on Tensile Failure of Flax/Epoxy Unidirectional Composite. Compos. Part A Appl. Sci. Manuf. 2013, 51, 62–70. [Google Scholar] [CrossRef]
- Van Soest, P.J. Use of Detergents in the Analysis of Fibrous Feeds. II. A Rapid Method for the Determination of Fiber and Lignin. J. Assoc. Off. Agric. Chem. 1963, 46, 829–835. [Google Scholar] [CrossRef]
- Morvan, C.; Andème-Onzighi, C.; Girault, R.; Himmelsbach, D.S.; Driouich, A.; Akin, D.E. Building Flax Fibres: More than One Brick in the Walls. Plant Physiol. Biochem. 2003, 41, 935–944. [Google Scholar] [CrossRef]
- Charlet, K.; Baley, C.; Morvan, C.; Jernot, J.P.; Gomina, M.; Bréard, J. Characteristics of Hermès Flax Fibres as a Function of Their Location in the Stem and Properties of the Derived Unidirectional Composites. Compos. Part A Appl. Sci. Manuf. 2007, 38, 1912–1921. [Google Scholar] [CrossRef]
- Bos, H. The Potential of Flax Fibres as Reinforcement for Composite Materials; Technische Universiteit Eindhoven: Eindhoven, The Netherlands, 2004. [Google Scholar]
- Moothoo, J. A Study of the Tensile Behaviour of Flax Tows and Their Potential for Composite Processing. Mater. Des. 2014, 55, 9. [Google Scholar] [CrossRef]
- Réquilé, S.; Le Duigou, A.; Bourmaud, A.; Baley, C. Peeling Experiments for Hemp Retting Characterization Targeting Biocomposites. Ind. Crops Prod. 2018, 123, 573–580. [Google Scholar] [CrossRef]
- Pillin, I.; Kervoelen, A.; Bourmaud, A.; Goimard, J.; Montrelay, N.; Baley, C. Could Oleaginous Flax Fibers Be Used as Reinforcement for Polymers? Ind. Crops Prod. 2011, 34, 1556–1563. [Google Scholar] [CrossRef]
- Zhu, J.; Zhu, H.; Njuguna, J.; Abhyankar, H. Recent Development of Flax Fibres and Their Reinforced Composites Based on Different Polymeric Matrices. Materials 2013, 6, 5171–5198. [Google Scholar] [CrossRef]
- Bourmaud, A.; Le Duigou, A.; Gourier, C.; Baley, C. Influence of Processing Temperature on Mechanical Performance of Unidirectional Polyamide 11–Flax Fibre Composites. Ind. Crops Prod. 2016, 84, 151–165. [Google Scholar] [CrossRef]
- Cadu, T.; Van Schoors, L.; Sicot, O.; Moscardelli, S.; Divet, L.; Fontaine, S. Cyclic Hygrothermal Ageing of Flax Fibers’ Bundles and Unidirectional Flax/Epoxy Composite. Are Bio-Based Reinforced Composites so Sensitive? Ind. Crops Prod. 2019, 141, 111730. [Google Scholar] [CrossRef]
- Groenewoud, W.M. Chapter 4—Dynamic Mechanical Analysis. In Characterisation of Polymers by Thermal Analysis; Groenewoud, W.M., Ed.; Elsevier Science B.V.: Amsterdam, The Netherlands, 2002; pp. 94–122. ISBN 978-0-444-50604-7. [Google Scholar]
- Qi, G.; Cui, Q.; Zhang, B.; Du, S. A Carbon Fiber Lamina Electrode Based on Macroporous Epoxy with Vertical Ion Channels for Structural Battery Composites. Compos. Struct. 2023, 304, 116425. [Google Scholar] [CrossRef]
- Yang, B.; Nar, M.; Visi, D.K.; Allen, M.; Ayre, B.; Webber, C.L.; Lu, H.; D’Souza, N.A. Effects of Chemical versus Enzymatic Processing of Kenaf Fibers on Poly(Hydroxybutyrate-Co-Valerate)/Poly(Butylene Adipate-Co-Terephthalate) Composite Properties. Compos. Part B Eng. 2014, 56, 926–933. [Google Scholar] [CrossRef]
- Wu, F.; Zhou, X.; Yu, X. Reaction Mechanism, Cure Behavior and Properties of a Multifunctional Epoxy Resin, TGDDM, with Latent Curing Agent Dicyandiamide. RSC Adv. 2018, 8, 8248–8258. [Google Scholar] [CrossRef] [PubMed]
- Mahmoud Zaghloul, M.Y.; Yousry Zaghloul, M.M.; Yousry Zaghloul, M.M. Developments in Polyester Composite Materials—An in-Depth Review on Natural Fibres and Nano Fillers. Compos. Struct. 2021, 278, 114698. [Google Scholar] [CrossRef]
- Zafeiropoulos, N.E.; Baillie, C.A.; Matthews, F.L. A Study of Transcrystallinity and Its Effect on the Interface in Flax Fibre Reinforced Composite Materials. Compos. Part A Appl. Sci. Manuf. 2001, 32, 525–543. [Google Scholar] [CrossRef]
- Pallesen, B.E. The Quality of Combine-Harvested Fibre Flax for Industrials Purposes Depends on the Degree of Retting. Ind. Crops Prod. 1996, 5, 65–78. [Google Scholar] [CrossRef]
- De Prez, J.; Van Vuure, A.W.; Ivens, J.; Aerts, G.; Van de Voorde, I. Effect of Enzymatic Treatment of Flax on Chemical Composition and the Extent of Fiber Separation. BioRes 2019, 14, 3012–3030. [Google Scholar] [CrossRef]
- Lecoublet, M.; Khennache, M.; Leblanc, N.; Ragoubi, M.; Poilâne, C. Physico-Mechanical Performances of Flax Fiber Biobased Composites: Retting and Process Effects. Ind. Crops Prod. 2021, 173, 114110. [Google Scholar] [CrossRef]









| Retting | Times (Min) | Tmax (°C) | Ppiston (Bars) | Pmold (Bars) | |
|---|---|---|---|---|---|
| 1 | (−) | 370 | 140 | 50 | 2.8 |
| 1 | (0) | 370 | 140 | 50 | 2.8 |
| 1 | (+) | 370 | 140 | 50 | 2.8 |
| 3 | (−) | 130 | 160 | 50 | 2.8 |
| 3 | (0) | 130 | 160 | 50 | 2.8 |
| 3 | (+) | 130 | 160 | 50 | 2.8 |
Disclaimer/Publisher’s Note: The statements, opinions and data contained in all publications are solely those of the individual author(s) and contributor(s) and not of MDPI and/or the editor(s). MDPI and/or the editor(s) disclaim responsibility for any injury to people or property resulting from any ideas, methods, instructions or products referred to in the content. |
© 2023 by the authors. Licensee MDPI, Basel, Switzerland. This article is an open access article distributed under the terms and conditions of the Creative Commons Attribution (CC BY) license (https://creativecommons.org/licenses/by/4.0/).
Share and Cite
Ragoubi, M.; Lecoublet, M.; Khennache, M.; Atanase, L.I.; Poilane, C.; Leblanc, N. How Retting Could Affect the Mechanical Behavior of Flax/Epoxy Biocomposite Materials? Materials 2023, 16, 2929. https://doi.org/10.3390/ma16072929
Ragoubi M, Lecoublet M, Khennache M, Atanase LI, Poilane C, Leblanc N. How Retting Could Affect the Mechanical Behavior of Flax/Epoxy Biocomposite Materials? Materials. 2023; 16(7):2929. https://doi.org/10.3390/ma16072929
Chicago/Turabian StyleRagoubi, Mohamed, Morgan Lecoublet, Mehdi Khennache, Leonard Ionut Atanase, Christophe Poilane, and Nathalie Leblanc. 2023. "How Retting Could Affect the Mechanical Behavior of Flax/Epoxy Biocomposite Materials?" Materials 16, no. 7: 2929. https://doi.org/10.3390/ma16072929
APA StyleRagoubi, M., Lecoublet, M., Khennache, M., Atanase, L. I., Poilane, C., & Leblanc, N. (2023). How Retting Could Affect the Mechanical Behavior of Flax/Epoxy Biocomposite Materials? Materials, 16(7), 2929. https://doi.org/10.3390/ma16072929

