The Effect of Hydrogen on Plastic Anisotropy of Mg and α-Ti/Zr from First-Principles Calculations
Abstract
1. Introduction
2. Computational Methods
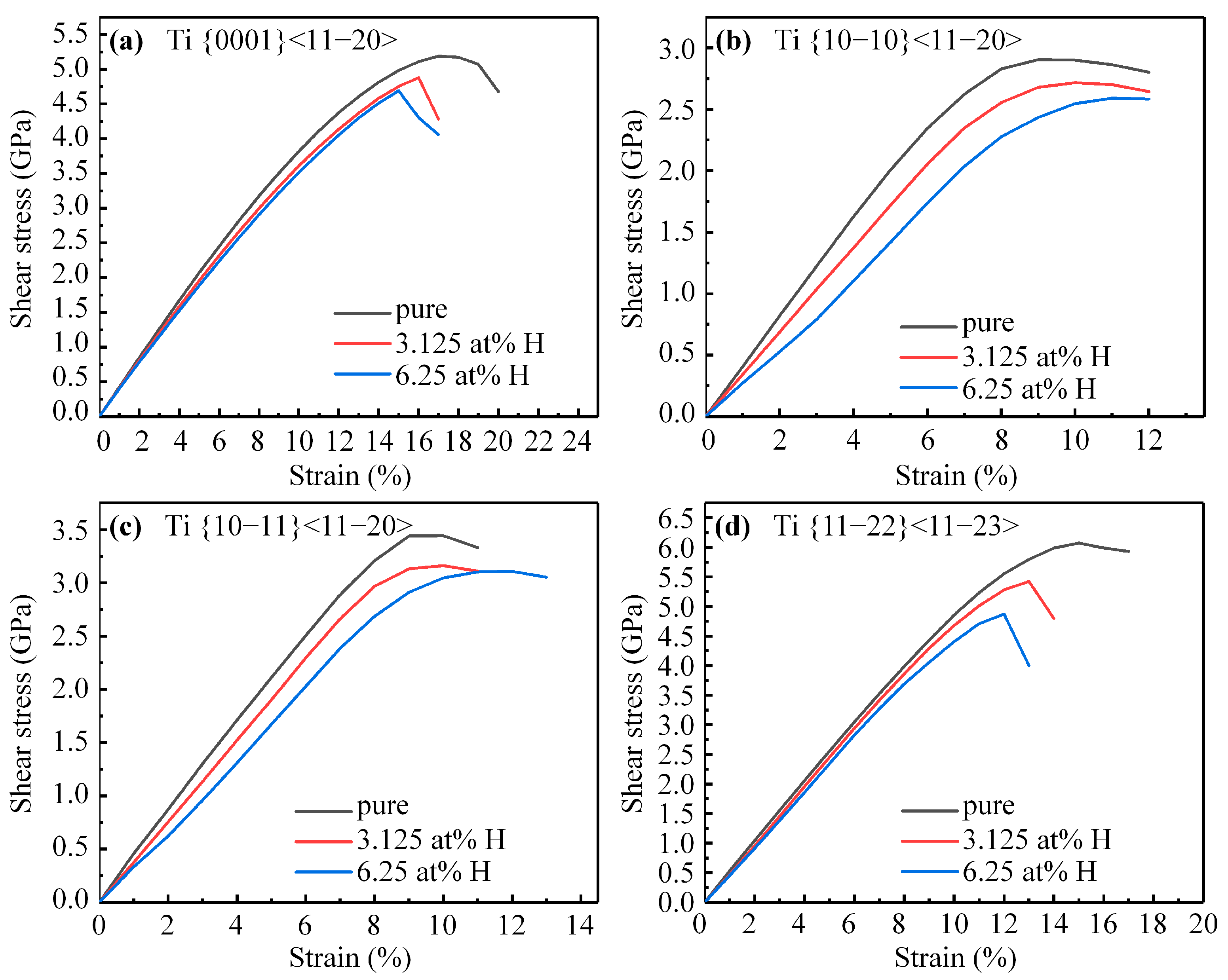
3. Results and Discussion
4. Conclusions
Supplementary Materials
Author Contributions
Funding
Conflicts of Interest
References
- Han, Y.; Li, H.; Feng, H.; Tian, Y.; Jiang, Z.; He, T. Mechanism of dislocation evolution during plastic deformation of nitrogen-doped CoCrFeMnNi high-entropy alloy. Mater. Sci. Eng. A 2021, 814, 141235. [Google Scholar] [CrossRef]
- Caillard, D.; Gaume, M.; Onimus, F. Glide and cross-slip of a-dislocations in Zr and Ti. Acta Mater. 2018, 155, 23–34. [Google Scholar] [CrossRef]
- Yu, Q.; Qi, L.; Mishra, R.K.; Li, J.; Minor, A.M. Reducing deformation anisotropy to achieve ultrahigh strength and ductility in Mg at the nanoscale. Proc. Natl. Acad. Sci. USA 2013, 110, 13289–13293. [Google Scholar] [CrossRef] [PubMed]
- Kwasniak, P.; Clouet, E. Influence of simple metals on the stability of <a> basal screw dislocations in hexagonal titanium alloys. Acta Mater. 2019, 180, 42–50. [Google Scholar] [CrossRef]
- Ding, Z.G.; Zhao, G.X.; Sun, H.; Li, S.; Ma, F.; Lavernia, E.J.; Zhu, Y.T.; Liu, W. Alloying effects on the plasticity of magnesium: Comprehensive analysis of influences of all five slip systems. J. Phys. Condens. Matter 2020, 32, 5. [Google Scholar] [CrossRef]
- Kwasniak, P.; Clouet, E. Basal slip of <a> screw dislocations in hexagonal titanium. Scripta Mater. 2019, 162, 296–299. [Google Scholar] [CrossRef]
- Chaari, N.; Rodney, D.; Clouet, E. Oxygen-dislocation interaction in titanium from first principles. Scripta Mater. 2019, 162, 200–203. [Google Scholar] [CrossRef]
- Buey, D.; Hector, L.G.; Ghazisaeidi, M. Core structure and solute strengthening of second-order pyramidal <c plus a> dislocations in Mg-Y alloys. Acta Mater. 2018, 147, 1–9. [Google Scholar] [CrossRef]
- Zhu, T.; Sun, J.; Cui, C.; Wu, R.; Betsofen, S.; Leng, Z.; Zhang, J.; Zhang, M. Influence of Y and Nd on microstructure, texture and anisotropy of Mg–5Li–1Al alloy. Mater. Sci. Eng. A 2014, 600, 1–7. [Google Scholar] [CrossRef]
- Griffiths, D. Explaining texture weakening and improved formability in magnesium rare earth alloys. Mater. Sci. Technol. 2015, 31, 10–24. [Google Scholar] [CrossRef]
- Zhou, S.; Liu, T.; Tang, A.; Huang, Y.; Peng, P.; Zhang, J.; Hort, N.; Willumeit-Römer, R.; Pan, F. Designing Mg alloys with high strength and ductility by reducing the strength difference between the basal and non-basal slips. Mater. Des. 2023, 225, 111476. [Google Scholar] [CrossRef]
- Kim, K.-H.; Jeon, J.B.; Kim, N.J.; Lee, B.-J. Role of yttrium in activation of <c+a> slip in magnesium: An atomistic approach. Scripta Mater. 2015, 108, 104–108. [Google Scholar] [CrossRef]
- Yang, Y.; Wang, W.; Ling, C.; Wang, C.; Wang, D.; Peng, S.; He, C.; Shuai, C. Cerium-activated non-basal slip improves ductility of magnesium alloy. J. Alloys Compd. 2023, 937, 168485. [Google Scholar] [CrossRef]
- Jang, H.-S.; Lee, B.-J. Effects of Zn on <c + a> slip and grain boundary segregation of Mg alloys. Scripta Mater. 2019, 160, 39–43. [Google Scholar] [CrossRef]
- Dwivedi, S.K.; Vishwakarma, M. Hydrogen embrittlement in different materials: A review. Int. J. Hydrog. Energy 2018, 43, 21603–21616. [Google Scholar] [CrossRef]
- Koyama, M.; Akiyama, E.; Lee, Y.-K.; Raabe, D.; Tsuzaki, K. Overview of hydrogen embrittlement in high-Mn steels. Int. J. Hydrog. Energy 2017, 42, 12706–12723. [Google Scholar] [CrossRef]
- Briant, C.L.; Wang, Z.F.; Chollocoop, N. Hydrogen embrittlement of commercial purity titanium. Corros. Sci. 2002, 44, 1875–1888. [Google Scholar] [CrossRef]
- Lin, M.; Yu, H.; Ding, Y.; Wang, G.; Olden, V.; Alvaro, A.; He, J.; Zhang, Z. A predictive model unifying hydrogen enhanced plasticity and decohesion. Scripta Mater. 2022, 215, 114707. [Google Scholar] [CrossRef]
- Sun, L.; Xiao, W.; Huang, S.H.; Wang, J.W.; Wang, L.G. Improving the mechanical processing of titanium by hydrogen doping: A first-principles study. Int. J. Hydrog. Energy 2018, 43, 6756–6764. [Google Scholar] [CrossRef]
- Liang, C.P.; Gong, H.R. Fundamental influence of hydrogen on various properties of α-titanium. Int. J. Hydrog. Energy 2010, 35, 3812–3816. [Google Scholar] [CrossRef]
- Martin, M.L.; Dadfarnia, M.; Nagao, A.; Wang, S.; Sofronis, P. Enumeration of the hydrogen-enhanced localized plasticity mechanism for hydrogen embrittlement in structural materials. Acta Mater. 2019, 165, 734–750. [Google Scholar] [CrossRef]
- Conforto, E.; Guillot, I.; Feaugas, X. Solute hydrogen and hydride phase implications on the plasticity of zirconium and titanium alloys: A review and some recent advances. Philos. Trans. R. Soc. A Math. Phys. Eng. Sci. 2017, 375, 20160417. [Google Scholar] [CrossRef] [PubMed]
- Senkov, O.N.; Dubois, M.; Jonas, J.J. Elastic moduli of titanium-hydrogen alloys in the temperature range 20 °C to 1100 °C. MMTA 1996, 27, 3963–3970. [Google Scholar] [CrossRef]
- Garg, P.; Adlakha, I.; Solanki, K.N. Effect of solutes on ideal shear resistance and electronic properties of magnesium: A first-principles study. Acta Mater. 2018, 153, 327–335. [Google Scholar] [CrossRef]
- Kresse, G.; Furthmuller, J. Efficient iterative schemes for ab initio total-energy calculations using a plane-wave basis set. Phys. Rev. B 1996, 54, 11169–11186. [Google Scholar] [CrossRef] [PubMed]
- Kresse, G.; Hafner, J. Ab initio molecular dynamics for liquid metals. Phys. Rev. B 1993, 47, 558–561. [Google Scholar] [CrossRef]
- Kresse, G.; Joubert, D. From ultrasoft pseudopotentials to the projector augmented-wave method. Phys. Rev. B 1999, 59, 1758–1775. [Google Scholar] [CrossRef]
- Perdew, J.P.; Burke, K.; Ernzerhof, M. Generalized gradient approximation made simple. Phys. Rev. Lett. 1996, 77, 3865–3868. [Google Scholar] [CrossRef]
- Roundy, D.; Krenn, C.R.; Cohen, M.L.; Morris, J.W. The ideal strength of tungsten. Philos. Mag. A 2001, 81, 1725–1747. [Google Scholar] [CrossRef]
- Olsson, P.A.T.; Kese, K.; Alvarez Holston, A.-M. On the role of hydrogen filled vacancies on the embrittlement of zirconium: An ab initio investigation. J. Nucl. Mater. 2015, 467, 311–319. [Google Scholar] [CrossRef]
- Ismer, L.; Park, M.S.; Janotti, A.; Van de Walle, C.G. Interactions between hydrogen impurities and vacancies in Mg and Al: A comparative analysis based on density functional theory. Phys. Rev. B 2009, 80, 184110. [Google Scholar] [CrossRef]
- Garg, P.; Bhatia, M.A.; Solanki, K.N. Uncovering the influence of metallic and non-metallic impurities on the ideal shear strength and ductility of Ti: An ab-initio study. J. Alloys Compd. 2019, 788, 413–421. [Google Scholar] [CrossRef]
- Nan, X.L.; Wang, H.Y.; Zhang, L.; Li, J.B.; Jiang, Q.C. Calculation of Schmid factors in magnesium: Analysis of deformation behaviors. Scripta Mater. 2012, 67, 443–446. [Google Scholar] [CrossRef]







| Disclaimer/Publisher’s Note: The statements, opinions and data contained in all publications are solely those of the individual author(s) and contributor(s) and not of MDPI and/or the editor(s). MDPI and/or the editor(s) disclaim responsibility for any injury to people or property resulting from any ideas, methods, instructions or products referred to in the content. | 
© 2023 by the authors. Licensee MDPI, Basel, Switzerland. This article is an open access article distributed under the terms and conditions of the Creative Commons Attribution (CC BY) license (https://creativecommons.org/licenses/by/4.0/).
Share and Cite
Wang, J.; Shao, B.; Shan, D.; Guo, B.; Zong, Y. The Effect of Hydrogen on Plastic Anisotropy of Mg and α-Ti/Zr from First-Principles Calculations. Materials 2023, 16, 3016. https://doi.org/10.3390/ma16083016
Wang J, Shao B, Shan D, Guo B, Zong Y. The Effect of Hydrogen on Plastic Anisotropy of Mg and α-Ti/Zr from First-Principles Calculations. Materials. 2023; 16(8):3016. https://doi.org/10.3390/ma16083016
Chicago/Turabian StyleWang, Jiwei, Bin Shao, Debin Shan, Bin Guo, and Yingying Zong. 2023. "The Effect of Hydrogen on Plastic Anisotropy of Mg and α-Ti/Zr from First-Principles Calculations" Materials 16, no. 8: 3016. https://doi.org/10.3390/ma16083016
APA StyleWang, J., Shao, B., Shan, D., Guo, B., & Zong, Y. (2023). The Effect of Hydrogen on Plastic Anisotropy of Mg and α-Ti/Zr from First-Principles Calculations. Materials, 16(8), 3016. https://doi.org/10.3390/ma16083016
 
        

