Syntheses and Patterns of Changes in Structural Parameters of the New Quaternary Tellurides EuRECuTe3 (RE = Ho, Tm, and Sc): Experiment and Theory
Abstract
1. Introduction
2. Experimental
2.1. Materials
2.2. Synthesis
2.3. X-ray Diffraction Analysis
2.4. DFT Calculations
3. Results
3.1. Crystal Structures of the EuRECuTe3 (RE = Ho, Tm, Sc)
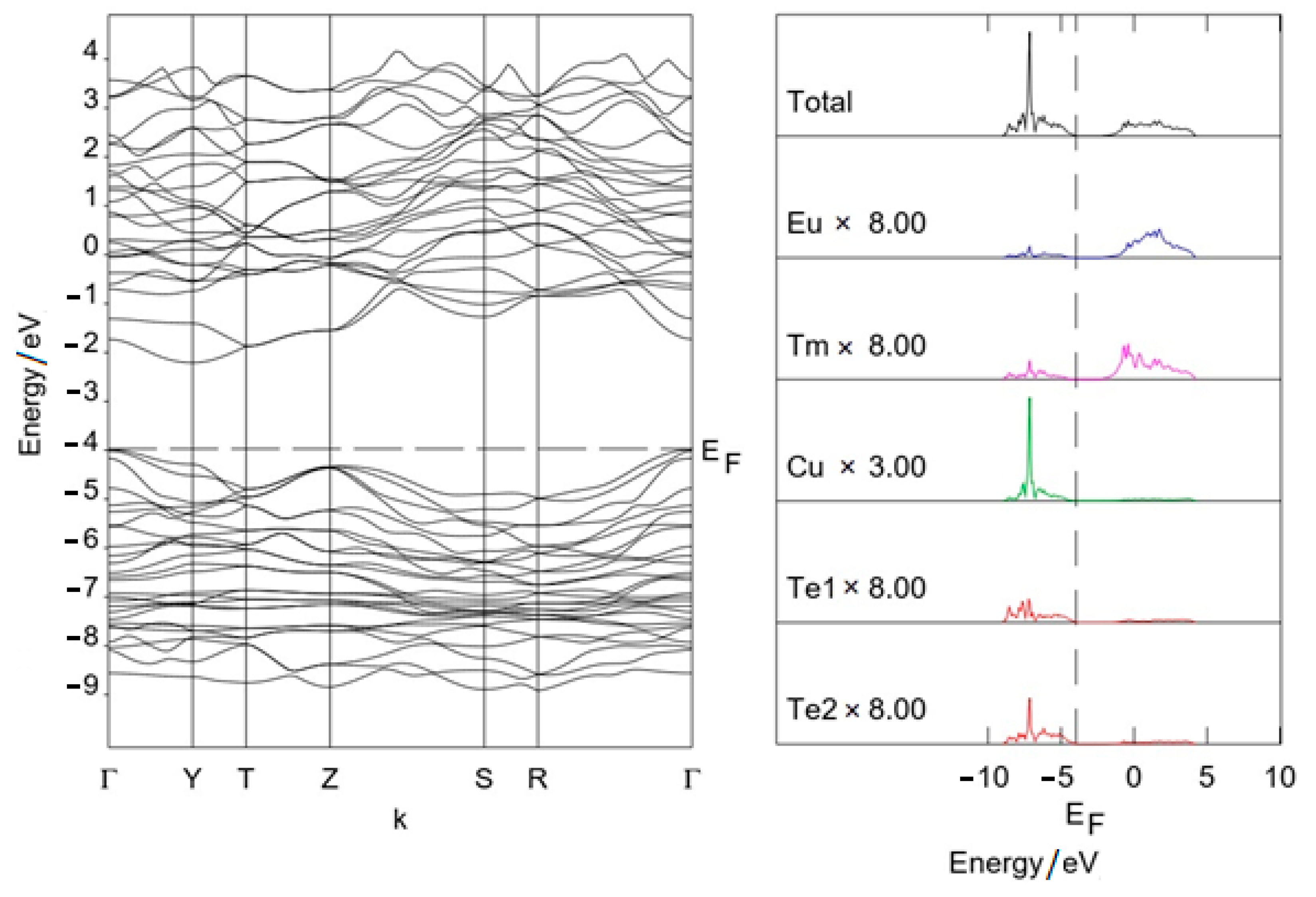
3.2. Band Structure
3.3. Elastic Constants and Elastic Modulus
3.4. Raman, IR, and Phonon Spectra
4. Conclusions
Supplementary Materials
Author Contributions
Funding
Institutional Review Board Statement
Informed Consent Statement
Data Availability Statement
Conflicts of Interest
References
- Ishtiyak, M.; Jana, S.; Karthikeyan, R.; Mamindla, R.; Tripathy, B.; Malladi, S.K.; Niranjan, M.; Prakash, J. Syntheses of five new layered quaternary chalcogenides SrScCuSe3, SrScCuTe3, BaScCuSe3, BaScCuTe3, and BaScAgTe3: Crystal structures, thermoelectric properties, and electronic structures. Inorg. Chem. Front. 2021, 8, 4086–4101. [Google Scholar] [CrossRef]
- Pal, K.; Xia, Y.; Shen, J.; He, J.; Luo, Y.; Kanatzidis, M.G.; Wolverton, C. Accelerated discovery of a large family of quaternary chalcogenides with very low lattice thermal conductivity. Comput. Mater. 2021, 7, 82. [Google Scholar] [CrossRef]
- Pal, K.; Xia, Y.; He, J.; Wolverton, C. High thermoelectric performance in BaAgYTe3 via low lattice thermal conductivity induced by bonding heterogeneity. Phys. Rev. Mater. 2019, 3, 085402. [Google Scholar] [CrossRef]
- Pal, K.; Hua, X.; Xia, Y.; Wolverton, C. Unraveling the structure-valence-property relationships in AMM′Q3 chalcogenides with promising thermoelectric performance. ACS Appl. Energy Mater. 2019, 3, 2110–2119. [Google Scholar] [CrossRef]
- Babo, J.-M.; Choi, E.S.; Albrecht-Schmitt, T.E. Synthesis, structure, magnetism, and optical properties of Cs2Cu3DyTe4. Inorg. Chem. 2012, 51, 11730–11735. [Google Scholar] [CrossRef]
- Meng, C.-Y.; Chen, H.; Wan, P.; Chen, L. Syntheses, Structures, and Magnetic and Thermoelectric Properties of Double-Tunnel Tellurides: AxRE2Cu6–xTe6 (A = K–Cs; RE = La–Nd). Chem. Mater. 2011, 23, 4910–4919. [Google Scholar] [CrossRef]
- Pavlyuk, M.D. Detector Crystals Based on CdTe and Cd1–xZnxTe for Direct Detection of X-ray and Gamma Quanta. Ph.D. Thesis, A.V. Shubnikov Institute of Crystallography RAS, Moscow, Russia, 25 August 2020. [Google Scholar]
- Ruseikina, A.V.; Molokeev, M.S.; Chernyshev, V.A.; Aleksandrovsky, A.S.; Krylov, A.S.; Krylova, S.N.; Velikanov, D.A.; Grigoriev, M.V.; Maximov, N.G.; Shestakov, N.P.; et al. Synthesis, structure, and properties of EuScCuS3 and SrScCuS3. J. Solid State Chem. 2021, 296, 121926. [Google Scholar] [CrossRef]
- Ishtiyak, M.; Jana, S.; Panigrahi, G.; Srivastava, A.K.; Narayanswamy, S.; Bhattacharjee, P.P.; Niranjan, M.K.; Prakash, J. Syntheses, crystal structures, optical, and theoretical study of two ternary chalcogenides CsSc5Te8 and Cs0.6(1)Ti6Se8 with tunnel structures. Solid State Sci. 2021, 114, 106577. [Google Scholar] [CrossRef]
- Chen, L.; Corbett, J.D. Synthesis, Structure, and Bonding of Sc6MTe2 (M = Ag, Cu, Cd): Heterometal-Induced Polymerization of Metal Chains in Sc2Te. Inorg. Chem. 2002, 41, 2146–2150. [Google Scholar] [CrossRef]
- Ishtiyak, M.; Panigrahi, G.; Jana, S.; Prakash, J.; Mesbah, A.; Malliakas, C.D.; Lebègue, S.; Ibers, J.A. Modulated Linear Tellurium Chains in Ba3ScTe5: Synthesis, Crystal Structure, Optical and Resistivity Studies, and Electronic Structure. Inorg. Chem. 2020, 59, 2434–2442. [Google Scholar] [CrossRef]
- Ruseikina, A.V.; Grigoriev, M.V.; Molokeev, M.S.; Garmonov, A.A.; Elyshev, A.V.; Locke, R.J.C.; Schleid, Th. Synthesis, Crystal Structure and Properties of the New Laminar Quaternary Tellurides SrLnCuTe3 (Ln = Sm, Gd–Tm and Lu). Crystals 2023, 13, 291. [Google Scholar] [CrossRef]
- Babo, J.-M.; Albrecht-Schmitt, T.E. Ce2AgYb5/3Se6, La2CuErTe5, and Ce2CuTmTe5: Three new quaternary interlanthanide chalcogenides. J. Solid State Chem. 2013, 197, 414–419. [Google Scholar] [CrossRef]
- Huang, F.Q.; Ibers, J.A. Syntheses, Structures, and Theoretical Study of LaCuSTe and SmCuSTe. Inorg. Chem. 1999, 38, 5978–5983. [Google Scholar] [CrossRef] [PubMed]
- Babo, J.M.; Schleid, Th. CsCu2Sc3Te6 and CsCuY2Te4: Two new quaternary cesium copper rare-earth metal tellurides. Solid State Sci. 2010, 12, 238–245. [Google Scholar] [CrossRef]
- Koscielski, L.A.; Ibers, J.A. The structural chemistry of quaternary chalcogenides of the type AMM’Q3. Z. Anorg. Allg. Chem. 2012, 638, 2585–2593. [Google Scholar] [CrossRef]
- Huang, F.Q.; Choe, W.; Lee, S.; Chu, J.S. Syntheses and Crystal Structures of Three Copper Tellurides: BaDyCuTe3, K1.5Dy2Cu2.5Te5, and Acentric K0.5Ba0.5DyCu1.5Te3. Chem. Mater. 1998, 10, 1320–1326. [Google Scholar] [CrossRef]
- Grigoriev, M.V.; Ruseikina, A.V.; Chernyshev, V.A.; Oreshonkov, A.S.; Garmonov, A.A.; Molokeev, M.S.; Locke, R.J.C.; Elyshev, A.V.; Schleid, T. Single Crystals of EuScCuSe3: Synthesis, Experimental and DFT Investigations. Materials 2023, 16, 1555. [Google Scholar] [CrossRef] [PubMed]
- Ruseikina, A.V.; Grigoriev, M.V.; Locke, R.J.C.; Chernyshev, V.A.; Garmonov, A.A.; Schleid, Th. Synthesis, Crystal Structure, and Optical and Magnetic Properties of the New Quaternary Erbium Telluride EuErCuTe3: Experiment and Calculation. Materials 2024, 17, 2284. [Google Scholar] [CrossRef] [PubMed]
- Ruseikina, A.V.; Grigoriev, M.V.; Garmonov, A.A.; Molokeev, M.S.; Schleid, Th.; Safin, D.A. Synthesis, structures and magnetic properties of the Eu-based quaternary tellurides EuGdCuTe3 and EuLuCuTe3. Cryst. Eng. Comm. 2023, 25, 1716–1722. [Google Scholar] [CrossRef]
- Ruseikina, A.V.; Andreev, O.V. Regularities of Change in the Structural Parameters of EuLnCuS3 (Ln = La–Nd, Sm, Gd, Ho). Russ. J. Inorg. Chem. 2017, 62, 160–167. [Google Scholar] [CrossRef]
- Wakeshima, M.; Furuuchi, F.; Hinatsu, Y. Crystal structures and magnetic properties of novel rare-earth copper sulfides, EuRCuS3 (R = Y, Gd–Lu). J. Phys. Condens. Matter. 2004, 16, 5503–5518. [Google Scholar] [CrossRef]
- Furuuchi, F.; Wakeshima, M.; Hinatsu, Y. Magneticproperties and 151Eu Mo¨ssbauer effects of mixed valence europium copper sulfide, Eu2CuS3. J. Solid State Chem. 2004, 177, 3853–3858. [Google Scholar] [CrossRef]
- Ruseikina, A.V.; Chernyshev, V.A.; Velikanov, D.A.; Aleksandrovsky, A.S.; Shestakov, N.P.; Molokeev, M.S.; Grigoriev, M.V.; Andreev, O.V.; Garmonov, A.A.; Matigorov, A.V.; et al. Regularities of the property changes in the compounds EuLnCuS3 (Ln = La–Lu). J. Alloys Compd. 2021, 874, 159968. [Google Scholar] [CrossRef]
- Grigoriev, M.V.; Solovyov, L.A.; Ruseikina, A.V.; Aleksandrovsky, A.S.; Chernyshev, V.A.; Velikanov, D.A.; Garmonov, A.A.; Molokeev, M.S.; Oreshonkov, A.S.; Shestakov, N.P.; et al. Quaternary Selenides EuLnCuSe3: Synthesis, Structures, Properties and In Silico Studies. Int. J. Mol. Sci. 2022, 23, 1503. [Google Scholar] [CrossRef] [PubMed]
- Andreev, O.V.; Atuchin, V.V.; Aleksandrovsky, A.S.; Denisenko, Y.G.; Zakharov, B.A.; Tyutyunnik, A.P.; Habibullayev, N.N.; Velikanov, D.A.; Ulybin, D.A.; Shpindyuk, D.D. Synthesis, structure, and properties of EuLnCuSe3 (Ln = Nd, Sm, Gd, Er). Crystals 2022, 12, 17. [Google Scholar] [CrossRef]
- Shahid, O.; Ray, A.K.; Yadav, S.; Deepa, M.; Niranjan, M.K.; Prakash, J. Structure-property relationships and DFT studies of three quaternary chalcogenides: BaCeCuSe3, BaCeAgS3, and BaCeAgSe3. Mater. Res. Bull. 2023, 168, 112469. [Google Scholar] [CrossRef]
- Shahid, O.; Yadav, S.; Maity, D.; Deepa, M.; Niranjan, M.K.; Prakash, J. Synthesis, crystal structure, DFT, and photovoltaic studies of BaCeCuS3. New J. Chem. 2023, 47, 5378–5389. [Google Scholar] [CrossRef]
- Murashko, Y.A.; Ruseikina, A.V.; Kislitsyn, A.A.; Andreev, O.V. Optical and Thermal Properties of the EuLnCuS3 (Ln = La, Pr, Sm, Gd) Compounds. Inorg. Mater. 2015, 51, 1213–1218. [Google Scholar] [CrossRef]
- Yang, Y.; Ibers, J.A. Synthesis and characterization of a series of quaternary chalcogenides BaLnMQ3 (Ln = Rare Earth, M = Coinage Metal, Q = Se or Te). J. Solid State Chem. 1999, 147, 366–371. [Google Scholar] [CrossRef]
- Prakash, J.; Mesbah, A.; Beard, J.C.; Ibers, J.A. Syntheses and crystal structures of BaAgTbS3, BaCuGdTe3, BaCuTbTe3, BaAgTbTe3, and CsAgUTe3. Z. Anorg. Allg. Chem. 2015, 641, 1253–1257. [Google Scholar] [CrossRef]
- Shannon, R.D. Revised Effective Ionic Radii and Systematic Studies of Interatomic Distances in Halides and Chalcogenides. Acta Crystallogr. 1976, A32, 751–767. [Google Scholar] [CrossRef]
- Mansuetto, M.F.; Keane, P.M.; Ibers, J.A. Synthesis and Structures of the New Group IV Chalcogenides NaCuTiS3 and NaCuZrQ3 (Q = S, Se, Te). J. Solid State Chem. 1993, 105, 580–587. [Google Scholar] [CrossRef]
- Eberle, M.A.; Schleid, Th. Expanding the SrCuRES3 Series with the Rare-Earth Metals Scandium and Yttrium. Z. Kristallogr. 2016, S36, 82. [Google Scholar]
- Eberle, M.A. Darstellung und Charakterisierung Quaternärer Seltenerdmetall-Verbindungen in Kombination mit Kupfer und Schwefel. Ph.D. Thesis, University of Stuttgart, Stuttgart, Germany, 2016. [Google Scholar]
- Ruseikina, A.V.; Grigoriev, M.V.; Solovyov, L.A.; Chernyshev, V.A.; Aleksandrovsky, A.S.; Krylov, A.S.; Krylova, S.N.; Shestakov, N.P.; Velikanov, D.A.; Garmonov, A.A.; et al. A Challenge toward Novel Quaternary Sulfides SrLnCuS3 (Ln = La, Nd, Tm): Unraveling Synthetic Pathways, Structures and Properties. Int. J. Mol. Sci. 2022, 23, 12438. [Google Scholar] [CrossRef] [PubMed]
- Azarapin, N.O. Synthesis, Structure and Properties of Compounds BaRECuS3 (RE = Rare-Earth Element). Ph.D. Thesis, University of Tyumen, Tyumen, Russia, 4 October 2022. [Google Scholar]
- Wu, P.; Christuk, A.E.; Ibers, J.A. New Quaternary Chalcogenides BaLnMQ3 (Ln = Rare Earth or Sc; M = Cu, Ag; Q = S, Se). II. Structure and Property Variation vs. Rare-Earth Element. J. Solid State Chem. 1994, 110, 337–344. [Google Scholar] [CrossRef]
- Ruseikina, A.V.; Pinigina, A.N.; Grigoriev, M.V.; Safin, D.A. Elucidating a Series of the Quaternary Selenides BaRECuSe3 with a Rich Library of Optical Properties. Cryst. Growth Des. 2024, 24, 2485–2492. [Google Scholar] [CrossRef]
- Sheldrick, G.M. A short history of SHELX. Acta Crystallogr. 2008, A64, 112–122. [Google Scholar] [CrossRef]
- PLATON. A Multipurpose Crystallographic Tool; Utrecht University: Utrecht, The Netherlands, 2008. [Google Scholar]
- Becke, A.D. Density-functional thermochemistry. III. The role of exact exchange. J. Chem. Phys. 1993, 98, 5648–5652. [Google Scholar] [CrossRef]
- Crystal. Available online: http://www.crystal.unito.it/index.php (accessed on 10 April 2024).
- Energy-Consistent Pseudopotentials of the Stuttgart/Cologne Group. Available online: http://www.tc.uni-koeln.de/PP/clickpse.en.html (accessed on 10 April 2024).
- Towler, M. CRYSTAL Resourses Page. Available online: https://vallico.net/mike_towler/crystal.html (accessed on 10 April 2024).
- Yang, L.; Powell, D.R.; Houser, R.P. Structural variation in copper(I) complexes with pyridylmethylamide ligands: Structural analysis with a new four-coordinate geometry index, τ4. Dalton Trans. 2007, 9, 955–964. [Google Scholar] [CrossRef]
- Korabelnikov, D.V.; Zhuravlev, Y.N. Ab initio investigations of the elastic properties of chlorates and perchlorates. Phys. Solid State 2016, 58, 1166–1171. [Google Scholar] [CrossRef]
- Ranganathan, S.I.; Ostoja-Starzewski, M. Universal Elastic Anisotropy Index. Phys. Rev. Let. 2008, 101, 055504. [Google Scholar] [CrossRef] [PubMed]
- Tian, Y.; Xu, B.; Zhao, Z. Microscopic theory of hardness and design of novel superhard crystals. Int. J. Refract. Met. Hard Mater. 2012, 33, 93–106. [Google Scholar] [CrossRef]















| EuHoCuTe3 | EuTmCuTe3 | EuScCuTe3 | |
|---|---|---|---|
| Molecular weight (g/mol) | 765.56 | 767.23 | 643.26 |
| Space group | Cmcm (no. 63) | ||
| Structure type | KZrCuS3 | ||
| Z | 4 | ||
| a (Å) | 4.3129(3) | 4.3054(3) | 4.2341(3) |
| b (Å) | 14.3150(9) | 14.3017(9) | 14.1562(9) |
| c (Å) | 11.2312(7) | 11.1683(7) | 10.8698(7) |
| V (Å3) | 693.40(8) | 687.68(8) | 651.52(7) |
| ρcal (g/cm3) | 7.311 | 7.410 | 6.558 |
| μ (mm−1) | 35.512 | 37.203 | 26.781 |
| Reflections measured | 6492 | 6639 | 6286 |
| Reflections independent | 481 | 478 | 451 |
| Reflections with Fo > 4σ(Fo) | 0.030 | 0.021 | 0.031 |
| θmax (°) | 27.44 | 27.48 | 27.53 |
| h, k, l limits | −5 ≤ h ≤ 5, −18 ≤ k ≤ 18, −14 ≤ l ≤ 14 | ||
| Rint, Rσ | 0.109, 0.047 | 0.069, 0.024 | 0.065, 0.026 |
| Refinement results | |||
| Number of refinement parameters | 24 | ||
| R1 with Fo > 4σ(Fo) | 0.030 | 0.021 | 0.024 |
| wR2 | 0.062 | 0.047 | 0.052 |
| Goof | 1.084 | 1.117 | 1.056 |
| ∆ρmax (e/Å3) | 1.857 | 1.431 | 1.503 |
| ∆ρmin (e/Å3) | −1.783 | −1.362 | −1.467 |
| Extinction coefficient, ε | 0.00104(9) | 0.00141(8) | 0.0029(2) |
| CSD number | 2261646 | 2261648 | 2354996 |
| Crystal | Indirect (Г–Y) | Crystal | Indirect (Г–Y) | Crystal | Indirect (Г–Y) |
|---|---|---|---|---|---|
| EuHoCuTe3 | 1.72 | EuYbCuTe3 | 1.79 | EuLuCuTe3 | 1.81 |
| EuTmCuTe3 | 1.77 | EuErCuTe3 | 1.75 [19] | EuScCuTe3 | 1.19 |
| RE | C11 | C12 | C13 | C22 | C23 | C33 | C44 | C55 | C66 | Averaging Scheme | B | G | Y | Poisson Ratio | HV | AU |
|---|---|---|---|---|---|---|---|---|---|---|---|---|---|---|---|---|
| Ho | 121 | 52 | 40 | 94 | 47 | 113 | 9 | 31 | 45 | Voigt | 67 | 30 | 77 | 0.308 | 3.0 | 1.94 |
| Reuss | 67 | 21 | 58 | 0.356 | ||||||||||||
| Hill | 67 | 25 | 68 | 0.332 | ||||||||||||
| Tm | 121 | 52 | 40 | 96 | 48 | 114 | 11 | 31 | 45 | Voigt | 68 | 30 | 79 | 0.306 | 3.3 | 1.40 |
| Reuss | 68 | 24 | 64 | 0.343 | ||||||||||||
| Hill | 68 | 27 | 71 | 0.324 | ||||||||||||
| Yb | 122 | 52 | 40 | 96 | 47 | 114 | 11 | 31 | 45 | Voigt | 68 | 30 | 79 | 0.305 | 3.4 | 1.37 |
| Reuss | 68 | 24 | 64 | 0.342 | ||||||||||||
| Hill | 68 | 27 | 72 | 0.323 | ||||||||||||
| Lu | 122 | 52 | 40 | 97 | 48 | 115 | 12 | 31 | 45 | Voigt | 68 | 31 | 80 | 0.305 | 3.4 | 1.27 |
| Reuss | 68 | 24 | 65 | 0.339 | ||||||||||||
| Hill | 68 | 27 | 73 | 0.322 | ||||||||||||
| Sc | 127 | 59 | 42 | 103 | 50 | 127 | 18 | 33 | 45 | Voigt | 73 | 33 | 86 | 0.304 | 4.0 | 0.61 |
| Reuss | 73 | 29 | 78 | 0.322 | ||||||||||||
| Hill | 73 | 31 | 82 | 0.313 |
| Frequency, cm−1 | Type | IR | Raman | Involved Ions 1 | ||
|---|---|---|---|---|---|---|
| Active/Inactive | Intensity IR (km·mol−1) | Active/Inactive | Intensity Raman (Arbitrary Units) | |||
| 35 | B1u | A | 8.5 | I | Eu S, Yb S, Cu W, Te1 S, Te2 S | |
| 49 | Au | I | 0 | I | Yb S, Te2 S | |
| 53 | B1g | I | 0 | A | 384 | Eu S, Cu S, Te1 S, Te2 W |
| 60 | Ag | I | 0 | A | 576 | Eu S, Cu S, Te1 S, Te2 |
| 62 | B2g | I | 0 | A | 330 | Eu S, Cu W, Te2 |
| 66 | B2u | A | 10.5 | I | Eu, Yb S, Cu S, Te1 S, Te2 W | |
| 69 | B1u | A | 10.3 | I | Eu W, Yb S, Cu S, Te1, Te2 | |
| 79 | B2g | I | 0 | A | 346 | Eu, Cu S, Te2 |
| 82 | B3u | A | 39.1 | I | Eu, Yb, Cu S, Te1 W, Te2 | |
| 85 | B1g | I | 0 | A | 218 | Eu S, Cu S, Te1, Te2 |
| 86 | Ag | I | 0 | A | 138 | Eu S, Cu S, Te2 |
| 87.87 | B1u | A | 88.2 | I | Eu S, Yb, Cu S, Te2 | |
| 88.48 | B2u | A | 0.4 | I | Eu S, Yb, Cu S, Te1 W | |
| 92 | B3u | A | 128.3 | I | Eu S, Yb, Cu W, Te1 W, Te2 | |
| 110 | B3u | A | 13.5 | I | EuW, YbS, CuS, Te1 | |
| 112 | B3g | I | 0 | A | 133 | Te2 S |
| 117 | Au | I | 0 | I | Yb, Te2 | |
| 118.56 | B1u | A | 390.4 | I | Yb, Cu S, Te1 W, Te2 | |
| 118.83 | B1g | I | 0 | A | 37 | Eu, Cu, Te1 W, Te2 S |
| 122 | B2g | I | 0 | A | 0.00 | Eu, Cu, Te1, Te2 |
| 123 | B2u | A | 529.2 | I | Eu, Yb, Te2 | |
| 131.52 | B1g | I | 0 | A | 43 | Eu, Cu S, Te1 S |
| 132.12 | B3u | A | 78.8 | I | Eu W, Yb W, Cu W, Te1 S, Te2 | |
| 132.17 | B2u | A | 83.2 | I | Eu W, Cu S, Te1 S | |
| 132.34 | Ag | I | 0 | A | 93 | Eu, Te1, Te2 |
| 138 | Ag | I | 0 | A | 62 | Cu S, Te1, Te2 W |
| 143 | B2g | I | 0 | A | 174 | Eu W, Cu S, Te1, Te2 |
| 146 | Ag | I | 0 | A | 1000 | Cu, Te1, Te2 |
| 147 | B1u | A | 0.4 | I | Yb, Cu, Te2 | |
| 149 | B2g | I | 0 | A | 25 | Cu, Te1 S, Te2 |
| 153 | B1u | A | 111.2 | I | Yb, Cu, Te1 S, Te2 W | |
| 153 | B3u | A | 170.4 | I | Yb, Cu, Te2 | |
| 158 | B3u | A | 10.2 | I | Yb, Cu S, Te1, Te2 W | |
| Frequency, cm−1 | Type | IR | Raman | Involved Ions 1 | ||
|---|---|---|---|---|---|---|
| Active/Inactive | Intensity IR (km·mol−1) | Active/Inactive | Intensity Raman (Arbitrary Units) | |||
| 46 | B1u | A | 0 | I | Eu S, Sc S, Cu W, Te1 S, Te2 S | |
| 53 | B1g | I | 0 | A | 0.00 | Eu S, Cu S, Te1 S, Te2 W |
| 57 | B2u | A | 13.9 | I | Sc S, Cu S, Te1 S, Te2 | |
| 58.23 | B1u | A | 20.3 | I | Sc S, Cu S, Te1 S, Te2 S | |
| 58.30 | Au | I | 0 | I | Sc S, Te2 S | |
| 61 | Ag | I | 0 | A | 0.00 | Eu S, Cu S, Te1 S, Te2 |
| 71 | B2g | I | 0 | A | 896.00 | Eu S, Cu S, Te2 |
| 76 | B2g | I | 0 | A | 0.31 | Eu S, Cu S, Te2 |
| 81 | B1g | I | 0 | A | 0.00 | Eu S, Cu S, Te1, Te2 |
| 86 | Ag | I | 0 | A | 0.00 | Eu S, Cu S, Te1 W, Te2 |
| 89 | B3u | A | 142.4 | I | Eu S, Sc, Cu S, Te1 W, Te2 | |
| 94 | B1u | A | 192.2 | I | Eu S, Sc, Cu, Te2 | |
| 96 | B3u | A | 122.4 | I | Eu, Sc, Cu, Te1 W, Te2 | |
| 98 | B2u | A | 0.01 | I | Eu S, Sc S, Cu, Te1 W, Te2 W | |
| 106 | B3g | I | 0 | A | 0.00 | Te2 S |
| 118 | B1g | I | 0 | A | 0.00 | Eu, Cu W, Te2 |
| 119 | B2g | I | 0 | A | 89.31 | Eu W, Cu W, Te1 S, Te2 |
| 122 | Au | I | 0 | I | Sc S, Te2 | |
| 125 | B2u | A | 1388.7 | I | Eu W, Sc S, Te2 | |
| 137 | Ag | I | 0 | A | 0.00 | Eu W, Te1 W, Te2 |
| 141 | B3u | A | 30.2 | I | Eu W, Te1 S, Te2 | |
| 149 | B2g | I | 0 | A | 41.83 | Eu W, Cu W, Te1 S, Te2 |
| 150 | B1u | A | 1108.3 | I | Sc S, Cu, Te1, Te2 W | |
| 153 | Ag | I | 0 | A | 0.00 | Te1 S, Te2 |
| 155 | B3u | A | 5.3 | I | Sc S, Cu S, Te1 W, Te2 W | |
| 167.18 | B1u | A | 96.4 | I | Sc, Cu S, Te1, Te2 | |
| 167.26 | Ag | I | 0 | A | 0.00 | Cu S, Te1 W, Te2 |
| 169 | B2u | A | 131.6 | I | Sc W, Cu S, Te1 | |
| 170 | B1g | I | 0 | A | 0.00 | Cu S, Te1 |
| 172 | B2g | I | 0 | A | 1000.00 | Cu S, Te2 |
| 207 | B1u | A | 0.5 | I | Sc S, Cu W, Te2 W | |
| 210 | B3u | A | 33.6 | I | Sc S, Cu W, Te2 W | |
| 225 | B3u | A | 276.5 | I | Sc S, Cu W | |
Disclaimer/Publisher’s Note: The statements, opinions and data contained in all publications are solely those of the individual author(s) and contributor(s) and not of MDPI and/or the editor(s). MDPI and/or the editor(s) disclaim responsibility for any injury to people or property resulting from any ideas, methods, instructions or products referred to in the content. |
© 2024 by the authors. Licensee MDPI, Basel, Switzerland. This article is an open access article distributed under the terms and conditions of the Creative Commons Attribution (CC BY) license (https://creativecommons.org/licenses/by/4.0/).
Share and Cite
Ruseikina, A.V.; Grigoriev, M.V.; Locke, R.J.C.; Chernyshev, V.A.; Schleid, T. Syntheses and Patterns of Changes in Structural Parameters of the New Quaternary Tellurides EuRECuTe3 (RE = Ho, Tm, and Sc): Experiment and Theory. Materials 2024, 17, 3378. https://doi.org/10.3390/ma17143378
Ruseikina AV, Grigoriev MV, Locke RJC, Chernyshev VA, Schleid T. Syntheses and Patterns of Changes in Structural Parameters of the New Quaternary Tellurides EuRECuTe3 (RE = Ho, Tm, and Sc): Experiment and Theory. Materials. 2024; 17(14):3378. https://doi.org/10.3390/ma17143378
Chicago/Turabian StyleRuseikina, Anna V., Maxim V. Grigoriev, Ralf J. C. Locke, Vladimir A. Chernyshev, and Thomas Schleid. 2024. "Syntheses and Patterns of Changes in Structural Parameters of the New Quaternary Tellurides EuRECuTe3 (RE = Ho, Tm, and Sc): Experiment and Theory" Materials 17, no. 14: 3378. https://doi.org/10.3390/ma17143378
APA StyleRuseikina, A. V., Grigoriev, M. V., Locke, R. J. C., Chernyshev, V. A., & Schleid, T. (2024). Syntheses and Patterns of Changes in Structural Parameters of the New Quaternary Tellurides EuRECuTe3 (RE = Ho, Tm, and Sc): Experiment and Theory. Materials, 17(14), 3378. https://doi.org/10.3390/ma17143378

