Elemental Design of Alkali-Activated Materials with Solid Wastes Using Machine Learning
Abstract
1. Introduction
2. Dataset Description
- (1)
- The UCS data were extracted from studies published in internationally recognized journals, ensuring that the data used in this research were of high quality and peer-reviewed.
- (2)
- Only datasets involving AAMs using FA and GBFS as precursors were considered. This selection criterion was established to maintain consistency in the chemical composition and reaction mechanisms across all samples, thereby eliminating the influence of other precursor materials such as metakaolin or rice husk ash.
- (3)
- The dataset excluded any AAMs that included aggregates in their composition. This decision was made to focus solely on the binder’s properties without the additional variability introduced by different aggregate types.
- (4)
- All selected data pertained to AAMs that were formulated and cured under controlled laboratory conditions. Specifically, the samples were prepared and cured in curing chambers, ensuring uniform curing periods, temperatures, and humidity levels. This consistency is crucial for the accurate modeling of UCS development.
- (5)
- Only studies that clearly reported the chemical composition and proportions of the alkali activators used (e.g., sodium hydroxide, sodium silicate) were included. This transparency allows for precise replication of the mix design and activation process in future studies.
3. Methodology
3.1. Machine Learning Methods
3.1.1. Random Forest Regression
- From the total dataset , samples are randomly selected for training a decision tree. As they are put back in the selection process, it is almost impossible to select all the samples, although samples are selected, and each choice will not be exactly the same. These samples serve as the data points at the root node of the decision tree.
- At each node where a decision tree requires splitting, attributes are randomly selected from the attributes, given that each sample has attributes. Subsequently, one attribute is chosen from this subset of attributes to serve as the splitting attribute for that particular node.
- Step (b) is repeated until the decision tree can no longer be divided, and the entire decision tree is not pruned during the formation process.
- By repeating steps (a)~(b), an extensive array of decision trees is constructed to form random forests.
- Randomly selecting features and a subset of data to train all decision trees in the set helps reduce the correlation between each tree in the set and prevents overfitting.
- The average of all decision tree predictions in the set is taken as the final regression value of the model.
3.1.2. Extremely Randomized Trees
3.1.3. Gradient Boosting Regression
3.1.4. Extreme Gradient Boosting Regression
3.2. Hyper-Parameter Tuning
3.3. Performance Evaluation Methods
3.4. SHAP Analysis
3.5. Limitation of the Methodology
4. Results & Discussion
4.1. Hyper-Parameter Tuning Results
4.2. Prediction Performance of the ML Models
4.3. Feature Analysis of the Input Variables
4.4. Sensitivity Study
5. Validation of the Design Model by Laboratory Experiments
5.1. Raw Materials
5.2. Sample Preparation
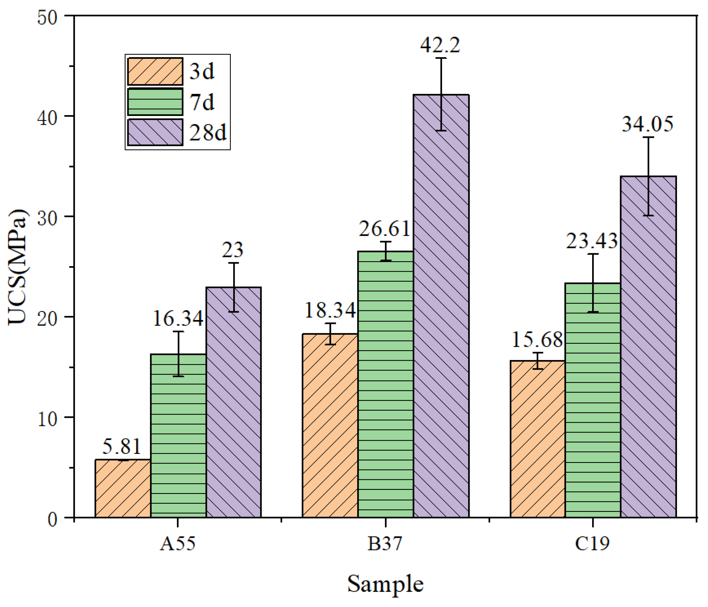
5.3. Experimental Results
5.4. Simulation Results
6. Conclusions
- (1)
- The performance of GBR is the most outstanding, with an R value of 0.970, an MAE of 2.821 MPa, and an RMSE of 4.110 MPa. The GBR model is recommended for molding the UCS of binary AAMs.
- (2)
- The water content and curing periods were the most important variables affecting the development of UCS of AAMs, while humidity had a minimal effect on the UCS of AAMs.
- (3)
- To design high-performance AAMs, it is recommended to maintain the Ca/Si, Na/Al, and Si/Al ratios at approximately 1.3, 1, and 3, respectively. Additionally, the moisture content should be around 0.2 while maintaining the temperature and humidity at approximately 30 °C and around 0.8, respectively.
Supplementary Materials
Author Contributions
Funding
Data Availability Statement
Conflicts of Interest
Abbreviations and Their Full Names in the Paper
| AAMs | Alkali-Activated Materials |
| R | Correlation Coefficient |
| UCS | Uniaxial Compressive Strength |
| FA | Fly Ash |
| R² | Coefficient Of Determination |
| RFR | Random Forest Regression |
| GBFS | Granulated Blast Furnace Slag |
| MAE | Mean Absolute Error |
| ERT | Extremely Randomized Trees |
| OPC | Ordinary Portland Cement |
| RMSE | Root Mean Square Error |
| GBR | Gradient Boosting Regression |
| ML | Machine Learning |
| SD | Standard Deviation |
| XGBR | Extreme Gradient Boosting Regression |
| SVM | Support Vector Machine |
| SHAP | SHapley Additive exPlanations |
| CART | Classification And Regression Trees |
| RF | Random Forest |
| WC | Water Content |
| PS | -Si-O-Al- |
| ANN | Artificial Neural Network |
| CP | Curing Periods |
| PSS | -Si-O-Al-O-Si- |
| LSTM | Long Short-Term Memory |
| CT | Curing Temperature |
| PSDS | -Si-O-Al-O-Si-O-Si- |
| BOA | Bayesian Optimization Algorithm |
| H | Humidity |
References
- U.N. Environment; Scrivener, K.L.; John, V.M.; Gartner, E.M. Eco-efficient cements: Potential economically viable solutions for a low-CO2 cement-based materials industry. Cem. Concr. Res. 2018, 114, 2–26. [Google Scholar] [CrossRef]
- Aghapour, A.H.; Yazdani, M.; Jolai, F.; Mojtahedi, M. Capacity planning and reconfiguration for disaster-resilient health infrastructure. J. Build. Eng. 2019, 26, 100853. [Google Scholar] [CrossRef]
- Fathollahi-Fard, A.M.; Govindan, K.; Hajiaghaei-Keshteli, M.; Ahmadi, A. A green home health care supply chain: New modified simulated annealing algorithms. J. Clean. Prod. 2019, 240, 118200. [Google Scholar] [CrossRef]
- Revelle, J. Carbon dioxide and world climate. Sci. Am. 1982, 247, 35–43. [Google Scholar] [CrossRef]
- Töbelmann, D.; Wendler, T. The impact of environmental innovation on carbon dioxide emissions. J. Clean. Prod. 2020, 244, 118787. [Google Scholar] [CrossRef]
- Khasreen, M.M.; Banfill, P.F.G.; Menzies, G.F. Life-cycle assessment and the environmental impact of buildings: A review. Sustainability 2009, 1, 674–701. [Google Scholar] [CrossRef]
- McGrath, T.; Kwasny, J.; Aiken, T.; Cox, S.; Soutsos, M.; Chen, J.F.; Mariotti, J.; Sha, W.; Lopes, R.F.C. Demonstration of using low carbon precast concrete products for an energy efficient built environment. In Proceedings of the Fifth International Conference on Sustainable Construction Materials and Technologies, London, UK, 15–17 July 2019; p. IDSMT5076. [Google Scholar]
- Gökçe, H.S.; Tuyan, M.; Nehdi, M.L. Alkali-activated and geopolymer materials developed using innovative manufacturing techniques: A critical review. Constr. Build. Mater. 2021, 303, 124483. [Google Scholar] [CrossRef]
- Avram, S.E.; Tudoran, L.B.; Cuc, S.; Borodi, G.; Birle, B.V.; Petean, I. Conditioning Influence of Kaolinite Matrices on Flexural Strength of Raw Pressed Slurry Collected from Ceramic Tile Production Wastewater. J. Compos. Sci. 2024, 8, 219. [Google Scholar] [CrossRef]
- Siddique, S.; Jang, J.G. Acid and sulfate resistance of seawater based alkali activated fly ash: A sustainable and durable approach. Constr. Build. Mater. 2021, 281, 122601. [Google Scholar] [CrossRef]
- Kim, T. Characteristics of alkali-activated slag cement-based ultra-lightweight concrete with high-volume cenosphere. Constr. Build. Mater. 2021, 302, 124165. [Google Scholar] [CrossRef]
- Sun, K.; Peng, X.; Wang, S.; Zeng, L.; Ran, P.; Ji, G. Effect of nano-SiO2 on the efflorescence of an alkali-activated metakaolin mortar. Constr. Build. Mater. 2020, 53, 118952. [Google Scholar] [CrossRef]
- He, J.; Jie, Y.; Zhang, J.; Yu, Y.; Zhang, G. Synthesis and characterization of red mud and rice husk ash-based geopolymer composites. Cem. Concr. Compos. 2013, 37, 108–118. [Google Scholar] [CrossRef]
- Puertas, F.; Palacios, M.; Gil-Maroto, A.; Vázquez, T. Alkali-aggregate behaviour of alkali-activated slag mortars: Effect of aggregate type. Cem. Concr. Compos. 2009, 31, 277–284. [Google Scholar] [CrossRef]
- Temuujin, J.; Rickard, W.; Lee, M.; van Riessen, A. Preparation and thermal properties of fire resistant metakaolin-based geopolymer-type coatings. J. Non Cryst. Solids 2011, 357, 1399–1404. [Google Scholar] [CrossRef]
- Brooks, R.; Bahadory, M.; Tovia, F.; Rostami, H. Properties of alkali-activated fly ash: High performance to lightweight. Int. J. Sustain. Eng. 2010, 3, 211–218. [Google Scholar] [CrossRef]
- Pacheco-Torgal, F.; Jalali, S. Influence of sodium carbonate addition on the thermal reactivity of tungsten mine waste mud based binders. Constr. Build. Mater. 2010, 24, 56–60. [Google Scholar] [CrossRef]
- Nguyen, K.T.; Lee, Y.H.; Lee, J.; Ahn, N. Acid resistance and curing properties for green fly ash-geopolymer concrete. J. Asian Archit. Build. Eng. 2013, 12, 317–322. [Google Scholar] [CrossRef]
- Shi, C.; Stegemann, J.A. Acid corrosion resistance of different cementing materials. Cem. Concr. Res. 2000, 30, 803–808. [Google Scholar] [CrossRef]
- Gavali, H.R.; Ralegaonkar, R.V. Design of eco-efficient housing with sustainable alkali-activated bricks. J. Clean. Prod. 2020, 254, 120061. [Google Scholar] [CrossRef]
- Tian, X.; Rao, F.; Morales-Estrella, R.; Song, S. Effects of aluminum dosage on gel formation and heavy metal immobilization in alkali-activated municipal solid waste incineration fly ash. Energy Fuels 2020, 34, 4727–4733. [Google Scholar] [CrossRef]
- Provis, J.L.; Bernal, S.A. Geopolymers and related alkali-activated materials. Annu. Rev. Mater. Res. 2014, 44, 299–327. [Google Scholar] [CrossRef]
- Criado, M.; Provis, J.L. Alkali activated slag mortars provide high resistance to chloride-induced corrosion of steel. Front. Mater. 2018, 5, 34. [Google Scholar] [CrossRef]
- Marvila, M.T.; de Azevedo, A.R.G.; Júnior, J.A.T.L.; Vieira, C.M.F. Technology, Activated alkali cement based on blast furnace slag: Effect of curing type and concentration of Na20. J. Mater. Res. Technol. 2023, 23, 4551–4565. [Google Scholar] [CrossRef]
- Zhang, M.; Zhang, C.; Zhang, J.; Wang, L.; Wang, F.J.C.; Materials, B. Effect of composition and curing on alkali activated fly ash-slag binders: Machine learning prediction with a random forest-genetic algorithm hybrid model. Constr. Build. Mater. 2023, 366, 129940. [Google Scholar] [CrossRef]
- Luukkonen, T.; Abdollahnejad, Z.; Yliniemi, J.; Kinnunen, P.; Illikainen, M. One-part alkali-activated materials: A review. Cem. Concr. Res. 2018, 103, 21–34. [Google Scholar] [CrossRef]
- Kashani, A.; Ngo, T.D.; Walkley, B.; Mendis, P.J.C. B Materials, Thermal performance of calcium-rich alkali-activated materials: A microstructural and mechanical study. Constr. Build. Mater. 2017, 153, 225–237. [Google Scholar] [CrossRef]
- Kong, D.L.Y.; Sanjayan, J.G.; Sagoe-Crentsil, K. Comparative performance of geopolymers made with metakaolin and fly ash after exposure to elevated temperatures. Cem. Concr. Res. 2007, 37, 1583–1589. [Google Scholar] [CrossRef]
- Kong, D.L.Y.; Sanjayan, J.G. Effect of elevated temperatures on geopolymer paste, mortar and concrete. Cem. Concr. Res. 2010, 40, 334–339. [Google Scholar] [CrossRef]
- De Vargas, A.S.; Molin, D.C.C.D.; Vilela, A.C.F.; Da Silva, F.J.; Pavao, B.; Veit, H. The effects of Na2O/SiO2 molar ratio, curing temperature and age on compressive strength, morphology and microstructure of alkali-activated fly ash-based geopolymers. Cem. Concr. Compos. 2011, 33, 653–660. [Google Scholar] [CrossRef]
- Nguyen, K.T.; Nguyen, Q.D.; Le, T.A.; Shin, J.; Lee, K. Analyzing the compressive strength of green fly ash based geopolymer concrete using experiment and machine learning approaches. Constr. Build. Mater. 2020, 247, 118581. [Google Scholar] [CrossRef]
- Yeh, I.C. Computer-aided design for optimum concrete mixtures. Cem. Concr. Compos. 2007, 29, 193–202. [Google Scholar] [CrossRef]
- Wang, X.-Y. Optimal mix design of low-CO2 blended concrete with limestone powder. Constr. Build. Mater. 2020, 263, 121006. [Google Scholar] [CrossRef]
- Wang, X.-Y. Design of low-cost and low-CO2 air-entrained fly ash-blended concrete considering carbonation and frost durability. J. Clean. Prod. 2020, 272, 122675. [Google Scholar] [CrossRef]
- Ju, H.; Yerzhanov, M.; Serik, A.; Lee, D.; Kim, J.R. Statistical and reliability study on shear strength of recycled coarse aggregate reinforced concrete beams. Materials 2021, 14, 3321. [Google Scholar] [CrossRef]
- Le, J.-L.; Bažant, Z.P. Failure probability of concrete specimens of uncertain mean strength in large database. J. Eng. Mech. 2020, 146, 04020039. [Google Scholar] [CrossRef]
- Prasad, B.K.R.; Eskandari, H.; Reddy, B.V.V. Prediction of compressive strength of SCC and HPC with high volume fly ash using ANN. Constr. Build. Mater. 2009, 23, 117–128. [Google Scholar] [CrossRef]
- Sun, J.; Zhang, J.; Gu, Y.; Huang, Y.; Sun, Y.; Ma, G. Prediction of permeability and unconfined compressive strength of pervious concrete using evolved support vector regression. Constr. Build. Mater. 2019, 207, 440–449. [Google Scholar] [CrossRef]
- Sun, J.; Ma, Y.; Li, J.; Zhang, J.; Ren, Z.; Wang, X. Machine learning-aided design and prediction of cementitious composites containing graphite and slag powder. J. Build. Eng. 2021, 43, 102544. [Google Scholar] [CrossRef]
- Young, B.A.; Hall, A.; Pilon, L.; Gupta, P.; Sant, G. Can the compressive strength of concrete be estimated from knowledge of the mixture proportions? New insights from statistical analysis and machine learning methods. Cem. Concr. Res. 2019, 115, 379–388. [Google Scholar] [CrossRef]
- Tanyildizi, H. Predicting the geopolymerization process of fly ash-based geopolymer using deep long short-term memory and machine learning. Cem. Concr. Compos. 2021, 123, 104177. [Google Scholar] [CrossRef]
- Zhang, L.V.; Marani, A.; Nehdi, M.L. Chemistry-informed machine learning prediction of compressive strength for alkali-activated materials. Constr. Build. Mater. 2022, 316, 126103. [Google Scholar] [CrossRef]
- Huang, Y.; Huo, Z.; Ma, G.; Zhang, L.; Wang, F.; Zhang, J. Multi-objective optimization of fly ash-slag based geopolymer considering strength, cost and CO2 emission: A new framework based on tree-based ensemble models and NSGA-II. J. Build. Eng. 2023, 68, 106070. [Google Scholar] [CrossRef]
- Wu, Y.; Zhou, Y. Hybrid machine learning model and Shapley additive explanations for compressive strength of sustainable concrete. Constr. Build. Mater. 2022, 330, 127298. [Google Scholar] [CrossRef]
- Xiao, R.; Huang, B.; Zhou, H.; Ma, Y.; Jiang, X. A state-of-the-art review of crushed urban waste glass used in OPC and AAMs (geopolymer): Progress and challenges. Clean. Mater. 2022, 4, 100083. [Google Scholar] [CrossRef]
- Song, W.; Zhu, Z.; Pu, S.; Wan, Y.; Xu, X.; Song, S.; Zhang, J.; Yao, K.; Hu, L. Multi-technical characterization and correlations between properties of standard cured alkali-activated high-calcium FA binders with GGBS as additive. Constr. Build. Mater. 2020, 241, 117996. [Google Scholar] [CrossRef]
- Wei, X.; Ming, F.; Li, D.; Chen, L.; Liu, Y. Influence of water content on mechanical strength and microstructure of alkali-activated fly ash/GGBFS mortars cured at cold and polar regions. Materials 2019, 13, 138. [Google Scholar] [CrossRef]
- Zhang, J.; Li, S.; Li, Z.; Zhang, Q.; Li, H.; Du, J.; Qi, Y. Properties of fresh and hardened geopolymer-based grouts. Ceram. Silik. 2019, 63, 164–173. [Google Scholar] [CrossRef]
- Yazdi, M.A.; Liebscher, M.; Hempel, S.; Yang, J.; Mechtcherine, V. Correlation of microstructural and mechanical properties of geopolymers produced from fly ash and slag at room temperature. Constr. Build. Mater. 2018, 191, 330–341. [Google Scholar] [CrossRef]
- Tu, W.; Zhu, Y.; Fang, G.; Wang, X.; Zhang, M. Internal curing of alkali-activated fly ash-slag pastes using superabsorbent polymer. Cem. Concr. Res. 2019, 116, 179–190. [Google Scholar] [CrossRef]
- Lee, N.K.; Jang, J.G.; Lee, H.-K. Shrinkage characteristics of alkali-activated fly ash/slag paste and mortar at early ages. Cem. Concr. Compos. 2014, 53, 239–248. [Google Scholar] [CrossRef]
- Zhang, W.; Yao, X.; Yang, T.; Zhang, Z. The degradation mechanisms of alkali-activated fly ash/slag blend cements exposed to sulphuric acid. Constr. Build. Mater. 2018, 186, 1177–1187. [Google Scholar] [CrossRef]
- Chi, M.; Huang, R. Binding mechanism and properties of alkali-activated fly ash/slag mortars. Constr. Build. Mater. 2013, 40, 291–298. [Google Scholar] [CrossRef]
- Sasui, S.; Kim, G.; Nam, J.; Koyama, T.; Chansomsak, S. Strength and microstructure of class-C fly ash and GGBS blend geopolymer activated in NaOH & NaOH + Na2SiO3. Materials 2019, 13, 59. [Google Scholar] [CrossRef] [PubMed]
- Oh, J.E.; Monteiro, P.J.M.; Jun, S.S.; Choi, S.; Clark, S.M. The evolution of strength and crystalline phases for alkali-activated ground blast furnace slag and fly ash-based geopolymers. Cem. Concr. Res. 2010, 40, 189–196. [Google Scholar] [CrossRef]
- Pinheiro, C.; Rios, S.; da Fonseca, A.V.; Fernández-Jiménez, A.; Cristelo, N. Application of the response surface method to optimize alkali activated cements based on low-reactivity ladle furnace slag. Constr. Build. Mater. 2020, 264, 120271. [Google Scholar] [CrossRef]
- Chen, K.; Lin, W.-T.; Liu, W. Microstructures and mechanical properties of sodium-silicate-activated slag/co-fired fly ash cementless composites. J. Clean. Prod. 2020, 277, 124025. [Google Scholar] [CrossRef]
- Dong, M.; Elchalakani, M.; Karrech, A. Curing conditions of alkali-activated fly ash and slag mortar. J. Mater. Civ. Eng. 2020, 32, 04020122. [Google Scholar] [CrossRef]
- Dong, M.; Elchalakani, M.; Karrech, A.; Yang, B. Long-term strength of alkali-activated mortars with steel fibres cured in various conditions. J. Mar. Sci. Eng. 2020, 8, 278. [Google Scholar] [CrossRef]
- Song, W.; Zhu, Z.; Pu, S.; Wan, Y.; Huo, W.; Song, S.; Zhang, J.; Yao, K.; Hu, L. Efficient use of steel slag in alkali-activated fly ash-steel slag-ground granulated blast furnace slag ternary blends. Constr. Build. Mater. 2020, 259, 119814. [Google Scholar] [CrossRef]
- Puertas, F.; Martı, S.; Alonso, S.; Vázquez, T. Alkali-activated fly ash/slag cements: Strength behaviour and hydration products. Cem. Concr. Res. 2000, 30, 1625–1632. [Google Scholar] [CrossRef]
- Shah, S.F.A.; Chen, B.; Oderji, S.Y.; Haque, M.A.; Ahmad, M.R. Comparative study on the effect of fiber type and content on the performance of one-part alkali-activated mortar. Constr. Build. Mater. 2020, 243, 118221. [Google Scholar] [CrossRef]
- Wan, X.; Shen, C.; Wang, P.; Zhao, T.; Lu, Y. A study on fracture toughness of ultra-high toughness geopolymer composites based on Double-K Criterion. Constr. Build. Mater. 2020, 251, 118851. [Google Scholar] [CrossRef]
- Huseien, G.F.; Shah, K.W. Performance evaluation of alkali-activated mortars containing industrial wastes as surface repair materials. J. Build. Eng. 2020, 30, 101234. [Google Scholar] [CrossRef]
- Liu, W.; Lin, L.; Wang, S.; Peng, X.; Wu, B.; Sun, K.; Zeng, L. Setting and Hardening Behaviour of Alkali-Activated Landfilled Fly Ash–Slag Binder at Room Temperature. Materials 2020, 13, 3130. [Google Scholar] [CrossRef]
- Oderji, S.Y.; Chen, B.; Shakya, C.; Ahmad, M.R.; Shah, S.F.A. Influence of superplasticizers and retarders on the workability and strength of one-part alkali-activated fly ash/slag binders cured at room temperature. Constr. Build. Mater. 2019, 229, 116891. [Google Scholar] [CrossRef]
- Rafeet, A.; Vinai, R.; Soutsos, M.; Sha, W. Effects of slag substitution on physical and mechanical properties of fly ash-based alkali activated binders (AABs). Cem. Concr. Res. 2019, 122, 118–135. [Google Scholar] [CrossRef]
- Ouyang, X.; Ma, Y.; Liu, Z.; Liang, J.; Ye, G. Effect of the sodium silicate modulus and slag content on fresh and hardened properties of alkali-activated fly ash/slag. Minerals 2019, 10, 15. [Google Scholar] [CrossRef]
- Zhou, Y.; Sun, J.; Liao, Y. Influence of ground granulated blast furnace slag on the early hydration and microstructure of alkali-activated converter steel slag binder. J. Therm. Anal. Calorim. 2022, 147, 243–252. [Google Scholar] [CrossRef]
- Sun, B.; Ye, G.; De Schutter, G.J.C. A review: Reaction mechanism and strength of slag and fly ash-based alkali-activated materials. Constr. Build. Mater. 2022, 326, 126843. [Google Scholar] [CrossRef]
- Liang, K.; Cui, K.; Sabri, M.M.S.; Huang, J.J.M. Influence factors in the wide application of alkali-activated materials: A critical review about efflorescence. Materials 2022, 15, 6436. [Google Scholar] [CrossRef]
- Feng, D.-C.; Cetiner, B.; Kakavand, M.R.A.; Taciroglu, E. Data-driven approach to predict the plastic hinge length of reinforced concrete columns and its application. J. Struct. Eng. 2021, 147, 04020332. [Google Scholar] [CrossRef]
- Naser, M.Z. Observational analysis of fire-induced spalling of concrete through ensemble machine learning and surrogate modeling. J. Mater. Civ. Eng. 2021, 33, 04020428. [Google Scholar] [CrossRef]
- Soleimani, F. Analytical Seismic Performance and Sensitivity Evaluation of Bridges Based on Random Decision Forest Framework. Structures 2021, 32, 329–341. [Google Scholar] [CrossRef]
- Belgiu, M.; Drăguţ, L. Random forest in remote sensing: A review of applications and future directions. ISPRS J. Photogramm. Remote Sens. 2016, 114, 24–31. [Google Scholar] [CrossRef]
- Breiman, L.; Cutler, R.A. Random forests machine learning. J. Clin. Microbiol. 2001, 2, 199–228. [Google Scholar]
- Geurts, P.; Ernst, D.; Wehenkel, L. Extremely randomized trees. Mach. Learn. 2006, 63, 3–42. [Google Scholar] [CrossRef]
- Band, S.S.; Janizadeh, S.; Pal, S.C.; Saha, A.; Chakrabortty, R.; Melesse, A.M.; Mosavi, A. Flash flood susceptibility modeling using new approaches of hybrid and ensemble tree-based machine learning algorithms. Remote Sens. 2020, 12, 3568. [Google Scholar] [CrossRef]
- Das, M.; Deb, C.K.; Pal, R.; Marwaha, S. A Machine Learning Approach for the Non-Destructive Estimation of Leaf Area in Medicinal Orchid Dendrobium nobile L. Appl. Sci. 2022, 12, 4770. [Google Scholar] [CrossRef]
- Chen, T.; Guestrin, C. Xgboost: A scalable tree boosting system. In Proceedings of the 22nd ACM SIGKDD International Conference on Knowledge Discovery and Data Mining, San Francisco, CA, USA, 13–17 August 2016; pp. 785–794. [Google Scholar]
- Alam, M.S.; Sultana, N.; Hossain, S.M.Z. Bayesian optimization algorithm based support vector regression analysis for estimation of shear capacity of FRP reinforced concrete members. Appl. Soft Comput. 2021, 105, 107281. [Google Scholar] [CrossRef]
- Frazier, P.I. A tutorial on Bayesian optimization. arXiv 2018, arXiv:1807.02811. [Google Scholar]
- Cawley, G.C.; Talbot, N.L.C. On over-fitting in model selection and subsequent selection bias in performance evaluation. J. Mach. Learn. Res. 2010, 11, 2079–2107. [Google Scholar]
- Zhang, J.; Huang, Y.; Wang, Y.; Ma, G. Multi-objective optimization of concrete mixture proportions using machine learning and metaheuristic algorithms. Constr. Build. Mater. 2020, 253, 119208. [Google Scholar] [CrossRef]
- Mangalathu, S.; Hwang, S.-H.; Jeon, J.-S. Failure mode and effects analysis of RC members based on machine-learning-based SHapley Additive exPlanations (SHAP) approach. Eng. Struct. 2020, 219, 110927. [Google Scholar] [CrossRef]
- Lyngdoh, G.A.; Zaki, M.; Krishnan, N.M.A.; Das, S. Prediction of concrete strengths enabled by missing data imputation and interpretable machine learning. Cem. Concr. Compos. 2022, 128, 104414. [Google Scholar] [CrossRef]
- Taylor, K.E. Summarizing multiple aspects of model performance in a single diagram. J. Geophys. Res. Atmos. 2001, 106, 7183–7192. [Google Scholar] [CrossRef]
- Biau, G.; Scornet, E. A random forest guided tour. Test 2016, 25, 197–227. [Google Scholar] [CrossRef]
- Agarwal, S.; Mehta, S.; Joshi, K. Understanding the ml black box with simple descriptors to predict cluster–adsorbate interaction energy. New J. Chem. 2020, 44, 8545–8553. [Google Scholar] [CrossRef]
- Ali, R.; Muayad, M.; Mohammed, A.S.; Asteris, P.G. Analysis and prediction of the effect of Nanosilica on the compressive strength of concrete with different mix proportions and specimen sizes using various numerical approaches. Struct. Concr. 2023, 24, 4161–4184. [Google Scholar] [CrossRef]
- Chindaprasirt, P.; Chareerat, T.; Sirivivatnanon, V. Workability and strength of coarse high calcium fly ash geopolymer. Cem. Concr. Compos. 2007, 29, 224–229. [Google Scholar] [CrossRef]
- Ahmari, S.; Zhang, L. Production of eco-friendly bricks from copper mine tailings through geopolymerization. Constr. Build. Mater. 2012, 29, 323–331. [Google Scholar] [CrossRef]
- Zhao, F.-Q.; Zhao, J.; Liu, H.-J. Autoclaved brick from low-silicon tailings. Constr. Build. Mater. 2009, 23, 538–541. [Google Scholar] [CrossRef]
- Luga, E.; Atis, C.D. Optimization of heat cured fly ash/slag blend geopolymer mortars designed by “Combined Design” method: Part 1. Constr. Build. Mater. 2018, 178, 393–404. [Google Scholar] [CrossRef]
- Zhang, Z.; Wang, H. Analysing the relation between pore structure and permeability of alkali-activated concrete binders, Handbook of Alkali-Activated Cements. In Handbook of Alkali-Activated Cements, Mortars and Concretes; Pacheco-Torgal, F., Labrincha, J.A., Leonelli, C., Palomo, A., Chindaprasirt, P., Eds.; Elsevier: Amsterdam, The Netherlands, 2015; pp. 235–264. [Google Scholar]
- Pavithra, P.; Reddy, M.S.; Dinakar, P.; Rao, B.H.; Satpathy, B.K.; Mohanty, A.N. Effect of the Na2SiO3/NaOH ratio and NaOH molarity on the synthesis of fly ash-based geopolymer mortar. In Proceedings of the Geo-Chicago, Chicago, IL, USA, 14–18 August 2016; pp. 336–344. [Google Scholar]
- John, S.K.; Nadir, Y.; Girija, K. Effect of source materials, additives on the mechanical properties and durability of fly ash and fly ash-slag geopolymer mortar: A review. Constr. Build. Mater. 2021, 280, 122443. [Google Scholar] [CrossRef]
- Zhou, H.; Pozrikidis, C. The flow of ordered and random suspensions of two-dimensional drops in a channel. J. Fluid Mech. 1993, 255, 103–127. [Google Scholar] [CrossRef]
- Gomaa, E.; Han, T.; ElGawady, M.; Huang, J.; Kumar, A. Machine learning to predict properties of fresh and hardened alkali-activated concrete. Cem. Concr. Compos. 2021, 115, 103863. [Google Scholar] [CrossRef]
- Provis, J.L.; Van Deventer, J.S.J. Geopolymers: Structures; Processing, Properties and Industrial Applications; Elsevier: Amsterdam, The Netherlands, 2009. [Google Scholar]
- Duxson, P.; Provis, J.L.; Lukey, G.C.; Mallicoat, S.W.; Kriven, W.M.; Van Deventer, J.S.J. Understanding the relationship between geopolymer composition, microstructure and mechanical properties. Colloids Surf. A Physicochem. Eng. Asp. 2005, 269, 47–58. [Google Scholar] [CrossRef]
- Van Jaarsveld, J.G.S.; Van Deventer, J.S.J.; Lukey, G.C. The effect of composition and temperature on the properties of fly ash-and kaolinite-based geopolymers. Chem. Eng. J. 2002, 89, 63–73. [Google Scholar] [CrossRef]
- Puligilla, S.; Mondal, P. Role of slag in microstructural development and hardening of fly ash-slag geopolymer. Cem. Concr. Res. 2013, 43, 70–80. [Google Scholar] [CrossRef]
- Yip, C.K.; Lukey, G.C.; Provis, J.L.; Van Deventer, J.S.J. Effect of calcium silicate sources on geopolymerisation. Cem. Concr. Res. 2008, 38, 554–564. [Google Scholar] [CrossRef]
- Richardson, I.G. Model structures for c-(a)-sh (i), Acta Crystallographica Section B: Structural Science. Cryst. Eng. Mater. 2014, 70, 903–923. [Google Scholar]
- Zhang, S.; Li, Z.; Ghiassi, B.; Yin, S.; Ye, G. Fracture properties and microstructure formation of hardened alkali-activated slag/fly ash pastes. Cem. Concr. Res. 2021, 144, 106447. [Google Scholar] [CrossRef]
- Shi, C.; Roy, D.; Krivenko, P. Alkali-Activated Cements and Concretes; CRC Press: Boca Raton, FL, USA, 2003. [Google Scholar]
- Liew, Y.-M.; Heah, C.-Y.; Kamarudin, H. Structure and properties of clay-based geopolymer cements: A review. Prog. Mater. Sci. 2016, 83, 595–629. [Google Scholar] [CrossRef]
- Davidovits, J. Geopolymers: Inorganic polymeric new materials. J. Therm. Anal. Calorim. 1991, 37, 1633–1656. [Google Scholar] [CrossRef]
- Zhang, M.; Zhao, M.; Zhang, G.; El-Korchi, T.; Tao, M. A multiscale investigation of reaction kinetics, phase formation, and mechanical properties of metakaolin geopolymers. Cem. Concr. Compos. 2017, 78, 21–32. [Google Scholar] [CrossRef]
- Zhang, M.; Zhao, M.; Zhang, G.; Sietins, J.M.; Granados-Focil, S.; Pepi, M.S.; Xu, Y.; Tao, M. Reaction kinetics of red mud-fly ash based geopolymers: Effects of curing temperature on chemical bonding, porosity, and mechanical strength. Cem. Concr. Compos. 2018, 93, 175–185. [Google Scholar] [CrossRef]
- Davidovits, J. Geopolymer, green chemistry and sustainable development solutions. In Geopolymer, Green Chemistry and Sustainable Development Solutions: Proceedings of the World Congress Geopolymer; Geopolymer Institute: Saint-Quentin, France, 2005. [Google Scholar]
- Hajimohammadi, A.; Ngo, T.; Kashani, A. Glass waste versus sand as aggregates: The characteristics of the evolving geopolymer binders. J. Clean. Prod. 2018, 193, 593–603. [Google Scholar] [CrossRef]
- Davidovits, J. Properties of geopolymer cements. In Proceedings of the 1st International Conference on Alkaline Cements and Concretes, Kiev, Ukraine, 11–14 October 1994; pp. 131–149. [Google Scholar]
- Lee, B.; Kim, G.; Kim, R.; Cho, B.; Lee, S.; Chon, C.-M.J.C. Strength development properties of geopolymer paste and mortar with respect to amorphous Si/Al ratio of fly ash. Constr. Build. Mater. 2017, 151, 512–519. [Google Scholar] [CrossRef]
- He, P.; Wang, M.; Fu, S.; Jia, D.; Yan, S.; Yuan, J.; Xu, J.; Wang, P.; Zhou, Y. Effects of Si/Al ratio on the structure and properties of metakaolin based geopolymer. Ceram. Int. 2016, 42, 14416–14422. [Google Scholar] [CrossRef]
- Ravikumar, D.; Neithalath, N. Effects of activator characteristics on the reaction product formation in slag binders activated using alkali silicate powder and NaOH. Cem. Concr. Compos. 2012, 34, 809–818. [Google Scholar] [CrossRef]













| Type | Variables | Min | 25% | 50% | 75% | Max | Mean | SD |
|---|---|---|---|---|---|---|---|---|
| Input | Si/Al | 1.37 | 1.70 | 2.07 | 2.76 | 9.61 | 2.46 | 1.16 |
| Na/Al | 0.00 | 0.31 | 0.53 | 0.90 | 4.46 | 0.69 | 0.58 | |
| Ca/Si | 0.05 | 0.34 | 0.66 | 0.98 | 3.10 | 0.77 | 0.60 | |
| Water Content | 0.01 | 0.16 | 0.26 | 0.34 | 0.50 | 0.27 | 1.34 | |
| Curing Temperature (°C) | 20.00 | 20.00 | 21.00 | 25.00 | 80.00 | 28.67 | 18.39 | |
| Humidity | 0.50 | 0.75 | 0.95 | 0.98 | 1.00 | 0.86 | 0.18 | |
| Curing Periods (days) | 1.0 | 3.00 | 7.00 | 28.00 | 28.00 | 14.06 | 11.03 | |
| Output | UCS (MPa) | 0.00 | 5.19 | 14.93 | 27.95 | 72.46 | 19.17 | 16.90 |
| Model | Max_Depth | Max_Features | Min_Samples_Leaf | Min_Samples_Split | N_Estimators | Learning_Rate | ||||||
|---|---|---|---|---|---|---|---|---|---|---|---|---|
| Min | Max | Min | Max | Min | Max | Min | Max | Min | Max | Min | Max | |
| RFR | 1 | 30 | 1 | 7 | 1 | 40 | 2 | 40 | 100 | 500 | ||
| ERT | 1 | 30 | 1 | 7 | 1 | 40 | 2 | 40 | 50 | 500 | ||
| GBR | 1 | 30 | 1 | 7 | 1 | 30 | 2 | 30 | 200 | 800 | 0 | 1 |
| XGBR | 1 | 30 | 1 | 7 | 1 | 40 | 2 | 40 | 50 | 500 | 0 | 1 |
| Model | Max_Depth | Max_Features | Min_Samples_Leaf | Min_Samples_Split | N_Estimators | Learning_Rate |
|---|---|---|---|---|---|---|
| RFR | 24 | 4 | 1 | 2 | 412 | |
| ERT | 16 | 7 | 1 | 2 | 50 | |
| GBR | 4 | 3 | 1 | 2 | 800 | 0.077 |
| XGBR | 4 | 3 | 40 | 40 | 282 | 0.126 |
| RFR | ERT | GBR | XGBR | |||||
|---|---|---|---|---|---|---|---|---|
| Train Set | Test Set | Train Set | Test Set | Train Set | Test Set | Train Set | Test Set | |
| R | 0.992 | 0.949 | 0.998 | 0.942 | 0.998 | 0.970 | 0.998 | 0.942 |
| R2 | 0.981 | 0.895 | 0.996 | 0.886 | 0.996 | 0.940 | 0.996 | 0.885 |
| MAE (MPa) | 1.581 | 3.692 | 0.291 | 3.648 | 0.448 | 2.821 | 0.324 | 3.503 |
| RMSE (MPa) | 2.356 | 5.461 | 1.058 | 5.694 | 1.088 | 4.110 | 1.060 | 5.718 |
| Oxide | SiO2 | Al2O3 | Fe2O3 | CaO | MgO | SO3 | Other Minor Oxides |
|---|---|---|---|---|---|---|---|
| FA | 52.1 | 34.3 | 5.42 | 2.77 | 0.49 | 1.45 | 3.47 |
| GBFS | 28.04 | 14.33 | 0.88 | 44.99 | 5.086 | 3.15 | 3.524 |
| Solid Precursors | |||
|---|---|---|---|
| FA | 4.37 | 60.03 | 176.81 |
| GBFS | 1.07 | 8.35 | 30.56 |
| Sample ID | Components (wt.%) | |||
|---|---|---|---|---|
| FA | GBFS | Water | Sodium Silicate | |
| A55 | 50 | 50 | 41 | 8 |
| B37 | 30 | 70 | 41 | 8 |
| C19 | 10 | 90 | 41 | 8 |
| Sample ID | Ca/Si | Si/Al | Na/Al |
|---|---|---|---|
| A55 | 0.573 | 1.562 | 0.230 |
| B37 | 0.869 | 1.667 | 0.275 |
| C19 | 1.246 | 1.824 | 0.342 |
| Sample ID | MAE (MPa) | RMSE (MPa) |
|---|---|---|
| A55 | 0.59 | 0.52 |
| B37 | 0.77 | 0.58 |
| C19 | 0.78 | 0.52 |
Disclaimer/Publisher’s Note: The statements, opinions and data contained in all publications are solely those of the individual author(s) and contributor(s) and not of MDPI and/or the editor(s). MDPI and/or the editor(s) disclaim responsibility for any injury to people or property resulting from any ideas, methods, instructions or products referred to in the content. |
© 2024 by the authors. Licensee MDPI, Basel, Switzerland. This article is an open access article distributed under the terms and conditions of the Creative Commons Attribution (CC BY) license (https://creativecommons.org/licenses/by/4.0/).
Share and Cite
Zhang, J.; Shang, S.; Huo, Z.; Chen, J.; Wang, Y. Elemental Design of Alkali-Activated Materials with Solid Wastes Using Machine Learning. Materials 2024, 17, 4573. https://doi.org/10.3390/ma17184573
Zhang J, Shang S, Huo Z, Chen J, Wang Y. Elemental Design of Alkali-Activated Materials with Solid Wastes Using Machine Learning. Materials. 2024; 17(18):4573. https://doi.org/10.3390/ma17184573
Chicago/Turabian StyleZhang, Junfei, Shenyan Shang, Zehui Huo, Junlin Chen, and Yuhang Wang. 2024. "Elemental Design of Alkali-Activated Materials with Solid Wastes Using Machine Learning" Materials 17, no. 18: 4573. https://doi.org/10.3390/ma17184573
APA StyleZhang, J., Shang, S., Huo, Z., Chen, J., & Wang, Y. (2024). Elemental Design of Alkali-Activated Materials with Solid Wastes Using Machine Learning. Materials, 17(18), 4573. https://doi.org/10.3390/ma17184573

