Zinc Complexes of Fluorosubstituted N-[2-(Phenyliminomethyl)phenyl]-4-methylbenzenesulfamides: Synthesis, Structure, Luminescent Properties, and Biological Activity
Abstract
1. Introduction
2. Materials and Methods
2.1. General Procedure for the Synthesis of Azomethines 1a–h
- N-[2-[(E)-(2-Fluorophenyl)iminomethyl]phenyl]-4-methyl-benzenesulfonamide (1a) was prepared from 1.38 g (5 mmol) of 2-(N-tosylamino)benzaldehyde and 0.56 g (5 mmol) 2-fluoroaniline. Yield 1.60 g (87%), orange powder, m.p. 133–134 °C (AcOH). IR spectrum (vas. oil), ν, cm−1: 3285 (NH), 1624 s (CH=N), 1599, 1574, 1488, 1456, 1416, 1377, 1342 s (as SO2), 1308, 1288, 1248, 1161 s (s SO2), 1120, 1091, 1047, 971, 946, 879, 840, 814, 798, 759, 661, 619, 560. 1HNMR (300 MHz, DMSO-d6) δ: 2.28 (s, 3H, CH3), 7.20 (tt, 1H, 3J = 7.4 Hz, 4J = 1.2 Hz, CAr-H), 7.30–7.38 (m, 5H, CAr-H), 7.43–7.53 (m, 3H, CAr-H), 7. 68 (d, 2H, 3J = 8.1 Hz, CAr-H), 7.76 (dd, 1H, 3J = 7.8 Hz, 4J = 1.2 Hz, CAr-H), 8.83 (s, 1H, CH=N), 12.46 (s, 1H, NH). Found, %: C 65.24; N 4.71; N 7.65. C20H17FN2O2S. Calculated, %: C 65.20; N 4.65; N 7.60.
- N-[2-[(E)-(4-Fluorophenyl)iminomethyl]phenyl]-4-methyl-benzenesulfonamide (1b) was prepared from 1.38 g (5 mmol) of 2-(N-tosylamino)benzaldehyde and 0.56 g (5 mmol) 4-fluoroaniline. Yield 1.55 g (85%), orange powder, m.p. 146–147 °C (AcOH). IR spectrum (vas. oil), ν, cm−1: 3287, 3210 (NH), 1621 s (CH=N), 1596, 1573, 1497, 1463, 1455, 1427, 1402, 1378, 1338 s (as SO2), 1309, 1292, 1243, 1228, 1167 s (s SO2), 1155, 1117, 1090, 1047, 1019, 950, 884, 853, 833, 799, 776, 751, 728, 707, 662, 637, 616, 592, 568. 1H NMR (300 MHz, DMSO-d6) δ: 2.28 (s, 3H, CH3), 7.17–7.22 (m, 1H, CAr-H), 7.29–7.41 (m, 6H, CAr-H), 7.44 (d, 2H, 4J = 3.6 Hz, CAr-H), 7.67 (d, 2H, 3J = 8.4 Hz, CAr-H), 7.74 (d, 1H, 3J = 7.5 Hz, CAr-H), 8.74 (s, 1H, CH=N), 12.43 (s, 1H, NH). Found, %: C 65.10; N 4.75; N 7.54. C20H17FN2O2S. Calculated, %: C 65.20; N 4.65; N 7.60.
- N-[2-[[(E)-(2,4-Difluorophenyl)iminomethyl]phenyl]phenyl]-4-methyl-benzenesulfonamide (1c) was prepared from 1.38 g (5 mmol) of 2-(N-tosylamino)benzaldehyde and 0.65 g (5 mmol) 2,4-difluoroaniline. The yield is 1.69 g (88%), an orange powder, m.p. 176–177 °C (AcOH). IR spectrum (vas. oil), ν, cm−1: 3057 (NH), 1626 s (CH=N), 1597, 1574, 1540, 1495, 1463, 1403, 1377, 1339 s (as SO2), 1291, 1267, 1229, 1168 s (s SO2), 1156, 1142, 1116, 1092, 1047, 1047, 966, 944, 944, 875, 839, 823, 809, 751, 728, 708, 663, 638, 619, 567. 1H NMR (300 MHz, DMSO-d6) δ: 2.29 (s, 3H, CH3), 7.18–7.24 (m, 2H, CAr-H), 7.31 (d, 2H, 3J = 8.1 Hz, CAr-H), 7.40–7.58 (m, 4H, CAr-H), 7.66 (d, 2H, 3J = 8.1 Hz, CAr-H), 7.75 (d, 1H, 3J = 7.8 Hz, CAr-H), 8.82 (s, 1H, CH=N), 12.36 (s, 1H, NH). Found, %: C 62.09; N 4.28; N 7.32. C20H16F2N2O2S. Calculated, %: C 62.16; N 4.17; N 7.25.
- N-[2-[[(E)-(2,5-Difluorophenyl)iminomethyl]phenyl]phenyl]-4-methyl-benzenesulfonamide (1d) was prepared from 1.38 g (5 mmol) of 2-(N-tosylamino)benzaldehyde and 0.65 g (5 mmol) 2,5-difluoroaniline. The yield is 1.53 g (79%), orange powder, m.p. 170–171 °C (AcOH). IR spectrum (vas. oil), ν, cm−1: 3254 (NH), 1629 m (CH=N), 1603, 1573, 1495, 1463, 1418, 1404, 1378, 1342 s (as SO2), 1309, 1289, 1273, 1251, 1224, 1166, 1161 s (s SO2), 1143, 1119, 1091, 1049, 1022, 971, 941, 873, 855, 842, 824, 814, 805, 761, 748, 724, 706, 662, 620, 607, 590, 563. 1H NMR (300 MHz, DMSO-d6) δ: 2.28 (s, 3H, CH3), 7.19–7.25 (m, 2H, CAr-H), 7.31 (d, 2H, 3J = 8.4 Hz, CAr-H), 7.36–7.43 (m, 2H, CAr-H), 7.48–7.50 (m, 2H, CAr-H), 7.67 (d, 2H, 3J = 8.4 Hz, CAr-H), 7.76 (d, 1H, 3J = 7.8 Hz, CAr-H), 8.82 (s, 1H, CH=N), 12.22 (s, 1H, NH). Found, %: C 62.07; N 4.25; N 7.36. C20H16F2N2O2S. Calculated, %: C 62.16; N 4.17; N 7.25.
- N-[2-[(E)-(2,6-Difluorophenyl)iminomethyl]phenyl]-4-methyl-benzenesulfonamide (1e) was prepared from 1.38 g (5 mmol) of 2-(N-tosylamino)benzaldehyde and 0.65 g (5 mmol) of 2,6-difluoroaniline. The yield is 1.78 g (92%), orange powder, m.p. 153–154 °C (AcOH). IR spectrum (vas. oil), ν, cm−1: 3287, 3210, 3127 (NH), 1668, 1625 s (CH=N), 1600, 1572, 1495, 1479, 1470, 1407, 1379, 1343 s (as SO2), 1311, 1285, 1244, 1221, 1121, 1184, 1171 s (as SO2), 1157, 1117, 1091, 1047, 1013, 973, 937, 837, 871, 847, 817, 798, 779, 755, 737, 719, 661, 627, 565. 1HNMR (300 MHz, DMSO-d6) δ: 2.30 (s, 3H, CH3), 7.21–7.33 (m, 6H, CAr-H), 7.49 (dd, 2H, 3J = 7.5 Hz, 4J = 1.5 Hz, CAr-H), 7.66 (d, 2H, 3J = 8.4 Hz, CAr-H), 7.77 (d, 1H, 3J = 7.5 Hz, CAr-H), 8.87 (s, 1H, CH=N), 11.98 (s, 1H, NH). Found, %: C 62.08; N 4.24; N 7.32. C20H16F2N2O2S. Calculated, %: C 62.16; N 4.17; N 7.25.
- N-[2-[[[(E)-(3,4-Difluorophenyl)iminomethyl]phenyl]phenyl]-4-methyl-benzenesulfonamide (1f) was prepared from 1.38 g (5 mmol) of 2-(N-tosylamino)benzaldehyde and 0.65 g (5 mmol) 3,4-difluoroaniline. The yield is 1.69 g (88%), an orange powder, m.p. 174–175 °C (AcOH). IR spectrum (vas. oil), ν, cm−1: 3058 (NH), 1627 m (CH=N), 1600, 1573, 1549, 1514, 1456, 1418, 1399, 1377, 1338 s (as SO2), 1310, 1292, 1283, 1259, 1217, 1203, 1169 s (as SO2), 1157, 1140, 1120, 1105, 1090, 1047, 1019, 957, 947, 879, 864, 851, 822, 806, 786, 758, 739, 723, 707, 693, 662, 638, 618, 594, 567. 1HNMR (300 MHz, DMSO-d6) δ: 2.28 (s, 3H, CH3), 7.15–7.24 (m, 2H, CAr-H), 7.31 (d, 2H, 3J = 8.1 Hz, CAr-H), 7.40–7.59 (m, 4H, CAr-H), 7.67 (d, 2H, 3J = 8.1 Hz, CAr-H) 7.76 (dd, 1H, 3J = 7.6 Hz, 4J = 1.4 Hz, CAr-H), 8.71 (s, 1H, CH=N), 12.06 (s, 1H, NH). Found, %: C 62.10; N 4.28; N 7.32. C20H16F2N2O2S. Calculated, %: C 62.16; N 4.17; N 7.25.
- N-[2-[(E)-(3,5-Difluorophenyl)iminomethyl]phenyl]-4-methyl-benzenesulfonamide (1g) was prepared from 1.38 g (5 mmol) of 2-(N-tosylamino)benzaldehyde and 0.65 g (5 mmol) of 3,5-difluoroaniline. The yield is 1.60 g (83%), orange powder, m.p. 146–147 °C (AcOH). IR spectrum (vas. oil), ν, cm−1: 3130, 3088 (NH), 1600 s (CH=N), 1572, 1522, 1503, 1495, 1464, 1454, 1415, 1378, 1346 s (as SO2), 1323, 1307, 1290, 1251, 1226, 1208, 1187, 1169 s (s SO2), 1156, 1131, 1119, 1090, 1048, 1020, 1008, 997, 986, 943, 869, 852, 841, 818, 804, 790, 762, 737, 724, 706, 660, 624, 583, 565. 1HNMR (300 MHz, DMSO-d6) δ: 2. 29 (s, 3H, CH3), 7.03 (dd, 2H, 3J = 8.5 Hz, 4J = 2.2 Hz, CAr-H), 7.15–7.26 (m, 2H, CAr-H), 7.31 (d, 2H, 3J = 8.4 Hz, CAr-H), 7.39 (d, 1H, 3J = 8.1 Hz, CAr-H), 7.48 (tt, 1H, 3J = 8.4 Hz, 4J = 1.5 Hz, CAr-H), 7.66 (d, 2H, 3J = 8.4 Hz, CAr-H), 7.79 (dd, 1H, 3J = 7.8 Hz, 4J = 1.5 Hz, CAr-H), 8.68 (s, 1H, CH=N), 11.75 (s, 1H, NH). Found, %: C 62.07; N 4.28; N 7.33 C20H16F2N2O2S. Calculated, %: C 62.16; N 4.17; N 7.25.
- 4-Methyl-N-[2-[(E)-(2,4,6-trifluorophenyl)iminomethyl]phenyl]-benzenesulfonamide (1h) was prepared from 1.38 g (5 mmol) of 2-(N-tosylamino)benzaldehyde and 0.74 g (5 mmol) 2,4,6-trifluoroaniline. The yield is 1.72 g (85%), white powder, m.p. 170–171 °C (AcOH). IR spectrum (vas. oil), ν, cm−1: 3129, 3056 (NH), 1634 s (CH=N), 1613, 1595, 1572, 1486, 1461, 1403, 1379, 1341 s (as SO2), 1310, 1286, 1237, 1223, 1186, 1171 s (s SO2), 1155, 1121, 1091, 1048, 1020, 1000, 974, 936, 869, 850, 842, 821, 799, 756, 707, 664, 630, 609, 567. 1HNMR (300 MHz, DMSO-d6) δ: 2.30 (s, 3H, CH3), 7.22 (tt, 1H, 3J = 7.4 Hz, 4J = 1.5 Hz, CAr-H), 7.32 (d, 2H, 3J = 8.1 Hz, CAr-H), 7.37–7.50 (m, 4H, CAr-H), 7.65 (d, 2H, 3J = 8.4 Hz, CAr-H), 7.78 (dd, 1H, 3J = 8.7 Hz, 4J = 1.2 Hz, CAr-H), 8.86 (s, 1H, CH=N), 11.89 (s, 1H, NH). Found, %: C 59.32; N 3.79; N 7.01. C20H15F3N2O2S. Calculated, %: C 59.40; N 3.74; N 6.93.
2.2. General Procedure for the Synthesis of Complexes 2a–h
- Bis[2-[[(E)-(2-fluorophenyl)iminomethyl]-N-(p-tolylsulfonyl)anilino]zinc(II) (2a) was obtained from 0.74 g (2 mmol) of azomethine 1a. The yield is 0.60 g (75%), yellow powder, m.p. > 300 °C. IR spectrum (vas. oil), ν, cm−1: 1615 s (CH=N), 1605, 1555, 1480, 1461, 1403, 1377, 1300 s (as SO2), 1284, 1266, 1207, 1172, 1139 s (s SO2), 1104, 1081, 1056, 954, 932, 901, 861, 846, 833, 812, 787, 756, 722, 666, 617, 594, 567. 1H NMR (300 MHz, DMSO-d6) δ: 2.28 (s, 3H, CH3), 6.90 (t, 1H, 3J = 6.3 Hz, CAr-H), 7.10–7.33 (m, 7H, CAr-H), 7.39 (t, 1H, 3J = 7.8 Hz, CAr-H), 7.65–7.73 (m, 3H, CAr-H), 8.74 (s, 1H, CH=N). Found, %: C 59.96; H 4.15; N 7.09; Zn 8.10. C40H32F2N4O4S2Zn. Calculated, %: C 60.04; H 4.03; N 7.00; Zn 8.17.
- Bis[2-[[(E)-(4-fluorophenyl)iminomethyl]-N-(p-tolylsulfonyl)anilino]zinc(II) (2b) was prepared from 0.74 g (2 mmol) of azomethine 1b. The yield is 0.58 g (73%), yellow powder, m.p. > 300 °C. IR spectrum (vas. oil), ν, cm−1: 1613 s (CH=N), 1598, 1556, 1504, 1480, 1464, 1446, 1399, 1377, 1297 s (as SO2), 1287, 1258, 1233, 1176, 1138 s (s SO2), 1081, 1056, 1022, 955, 905, 902, 880, 856, 833, 813, 780, 758, 713, 666, 645, 619, 585, 560. 1H NMR (300 MHz, DMSO-d6) δ: 2.30 (s, 3H, CH3), 6.92–6.96 (m, 1H, CAr-H), 7.15–7.22 (m, 4H, CAr-H), 7.32–7.36 (m, 4H, CAr-H), 7.65 (d, 2H, 3J = 8.1 Hz, CAr-H), 7.74 (d, 1H, 3J = 7.8 Hz, CAr-H), 8.74 (s, 1H, CH=N). Found, %: C 60.00; H 4.14; N 6.91; Zn 8.10. C40H32F2N4O4S2Zn. Calculated, %: C 60.04; H 4.03; N 7.00; Zn 8.17.
- Bis[2-[[(E)-(2,4-difluorophenyl)iminomethyl]-N-(p-tolylsulfonyl)anilino] zinc(II) (2c) was prepared from 0.77 g (2 mmol) of azomethine 1c. The yield is 0.60 g (72%), yellow powder, m.p. > 300 °C. IR spectrum (vas. oil), ν, cm−1: 1613 s (CH=N), 1556, 1503, 1482, 1462, 1445, 1402, 1377, 1301 s (as SO2), 1283, 1264, 1219, 1172, 1139 (s SO2), 1097, 1081, 1022, 1007, 970, 954, 933, 933, 898, 850, 842, 813, 757, 738, 713, 665, 646, 611, 578. 1HNMR (300 MHz, DMSO-d6) δ: 2.27 (s, 3H, CH3), 6.91 (t, 1H, 3J = 7.1 Hz, CAr-H), 7.04 (t, 1H, 3J = 7.5 Hz, CAr-H), 7.17 (d, 2H, 3J = 7.8 Hz, CAr-H),7.21–7.30 (m, 3H, CAr-H), 7.43 (q, 1H, 3J = 6.3 Hz, CAr-H), 7.66 (d, 1H, 3J = 7.5 Hz, CAr-H), 7.77 (d, 2H, 3J = 7.8 Hz, CAr-H), 8.74 (s, 1H, CH=N). Found, %: C 57.40; H 3.69; N 6.75; Zn 7.72. C40H30F4N4O4S2Zn. Calculated, %: C 57.45; H 3.62; N 6.70; Zn 7.82.
- Bis[2-[[(E)-(2,5-difluorophenyl)iminomethyl]-N-(p-tolylsulfonyl)anilino]zinc(II) (2d) was prepared from 0.77 g (2 mmol) of azomethine 1d. The yield is 0.57 g (68%), yellow powder, m.p. 289–290 °C. IR spectrum (vas. oil), ν, cm−1: 1603 s (CH=N), 1553, 1525, 1495, 1481, 1463, 1454, 1434, 1409, 1377, 1338, 1302 s (as SO2), 1290, 1263, 1207, 1193, 1148, 1134 s (s SO2), 1100, 1081, 1061, 1021, 1011, 969, 942, 895, 895, 874, 842, 822, 814, 786, 758, 734, 711, 664, 643, 610, 574, 552. 1HNMR (300 MHz, DMSO-d6) δ: 2.27 (s, 3H, CH3), 6.92 (t, 1H, 3J = 7.2 Hz, CAr-H), 7.09–7.34 (m, 7H, CAr-H), 7. 67 (d, 1H, 3J = 7.8 Hz, CAr-H), 7.77 (d, 2H, 3J = 8.1 Hz, CAr-H), 8.77 (s, 1H, CH=N). Found, %: C 57.39; H 3.68; N 6.74; Zn 7.89. C40H30F4N4O4S2Zn. Calculated, %: C 57.45; H 3.62; N 6.70; Zn 7.82.
- Bis[2-[[(E)-(2,6-difluorophenyl)iminomethyl]-N-(p-tolylsulfonyl)anilino]zinc(II) (2e) was prepared from 0.77 g (2 mmol) of azomethine 1e. The yield is 0.64 g (77%), yellow powder, m.p. > 300 °C. IR spectrum (vas. oil), ν, cm−1: 1615 s (CH=N), 1603, 1552, 1476, 1441, 1413, 1377, 1301 s (as SO2), 1287, 1263, 1242, 1182, 1172, 1140 s (s SO2), 1081, 1055, 1017, 982, 946, 896, 849, 827, 811, 772, 757, 738, 713, 663, 642, 617, 598, 578. 1H NMR (300 MHz, DMSO-d6) δ: 2.24 (s, 3H, CH3), 6.87–7.25 (m, 8H, CAr-H), 7.64–7.86 (m, 3H, CAr-H), 8.84 (s, 1H, CH=N). Found, %: C 57.40; H 3.69; N 6.75; Zn 7.76. C40H30F4N4O4S2Zn. Calculated, %: C 57.45; H 3.62; N 6.70; Zn 7.82.
- Bis[2-[[(E)-(3,4-difluorophenyl)iminomethyl]-N-(p-tolylsulfonyl)anilino]zinc(II) (2f) was prepared from 0.77 g (2 mmol) of azomethine 1f. The yield is 0.59 g (70%), yellow powder, m.p. > 300 °C. IR spectrum (vas. oil), ν, cm−1: 1599 s (CH=N), 1555, 1510, 1479, 1464, 1448, 1396, 1377, 1300 s (as SO2), 1263, 1199, 1177, 1135 s (s SO2), 1112, 1081, 1057, 1023, 974, 947, 895, 864, 839, 814, 788, 756, 723, 708, 666, 635, 620, 578. 1HNMR (300 MHz, DMSO-d6) δ: 2.30 (s, 3H, CH3), 6.96 (t, 1H, 3J = 7.2 Hz, CAr-H), 7.12–7.20 (m, 3H, CAr-H), 7.29–7.48 (m, 4H, CAr-H), 7.69 (d, 2H, 3J = 8.4 Hz, CAr-H), 7.74 (d, 1H, 4J = 1.5 Hz, CAr-H), 8.73 (s, 1H, CH=N). Found, %: C 57.40; H 3.68; N 6.95; Zn 7.88. C40H30F4N4O4S2Zn. Calculated, %: C 57.45; H 3.62; N 6.70; Zn 7.82.
- Bis[2-[[(E)-(3,5-difluorophenyl)iminomethyl]-N-(p-tolylsulfonyl)anilino]zinc(II) (2g) was prepared from 0.77 g (2 mmol) of azomethine 1g. The yield is 0.66 g (79%), yellow powder, m.p. > 300 °C. IR spectrum (vas. oil), ν, cm−1: 1601 s (CH=N), 1555, 1519, 1486, 1468, 1456, 1420, 1377, 1326, 1299 s (as SO2), 1263, 1220, 1207, 1186, 1152, 1131 s (s SO2), 1081, 1062, 1041, 1016, 988, 968, 944, 894, 867, 846, 835, 822, 756, 721, 710, 679, 663, 646, 624, 567. 1H NMR (300 MHz, DMSO-d6) δ: 2.30 (s, 3H, CH3), 6.95–7.02 (m, 3H, CAr-H), 7.17–7.30 (m, 4H, CAr-H), 7.37 (tt, 1H, 3J = 8. 4 Hz, 4J = 1.2 Hz, CAr-H), 7.71 (d, 2H, 3J = 8.1 Hz, CAr-H), 7.74 (s, 1H, CAr-H), 8.77 (s, 1H, CH=N). Found, %: C 57.40; H 3.72; N 6.78; Zn 7.88. C40H30F4N4O4S2Zn. Calculated, %: C 57.45; H 3.62; N 6.70; Zn 7.82.
- Bis[N-(p-tolylsulfonyl)-2-[(E)-(2,4,6-trifluorophenyl)iminomethyl]anilino]zinc(II) (2h) was prepared from 0.81 g (2 mmol) of azomethine 1h. The yield is 0.67 g (77%), yellow powder, m.p. > 300 °C. IR spectrum (vas. oil), ν, cm−1: 1610 s (CH=N), 1556, 1501, 1479, 1454, 1441, 1406, 1377, 1358, 1302 s (as SO2), 1280, 1266, 1230, 1181, 1141 s (s SO2), 1119, 1084, 1047, 1021, 9921, 998, 954, 898, 898, 862, 836, 826, 767, 757, 730, 709, 667, 645, 610, 579, 554. 1HNMR (300 MHz, DMSO-d6) δ: 2.23 (s, 3H, CH3), 6.88 (t, 1H, 3J = 7.2 Hz, CAr-H), 7.16 (d, 4H, 3J = 8.1 Hz, CAr-H), 7.22–7.31 (m, 2H, CAr-H), 7.62 (d, 1H, 3J = 6.9 Hz, CAr-H), 7.90 (d, 2H, 3J = 7.8 Hz, CAr-H), 8.85 (s, 1H, CH=N). Found, %: C 55.01; H 3.29; N 6.47; Zn 7.38. C40H28F6N4O4S2Zn. Calculated, %: C 55.08; H 3.24; N 6.42; Zn 7.50.
3. Results
3.1. Synthesis and Spectroscopic Studies of Azomethines 1a–h and Zinc(II) Complexes 2a–h
3.2. Crystal Structures of 1d,f
3.3. X-ray Absorption Spectroscopy of Zinc(II) Complexes 2a–h
3.4. A Single-Crystal X-ray Diffraction of Zinc(II) Complexes 2d,h,f
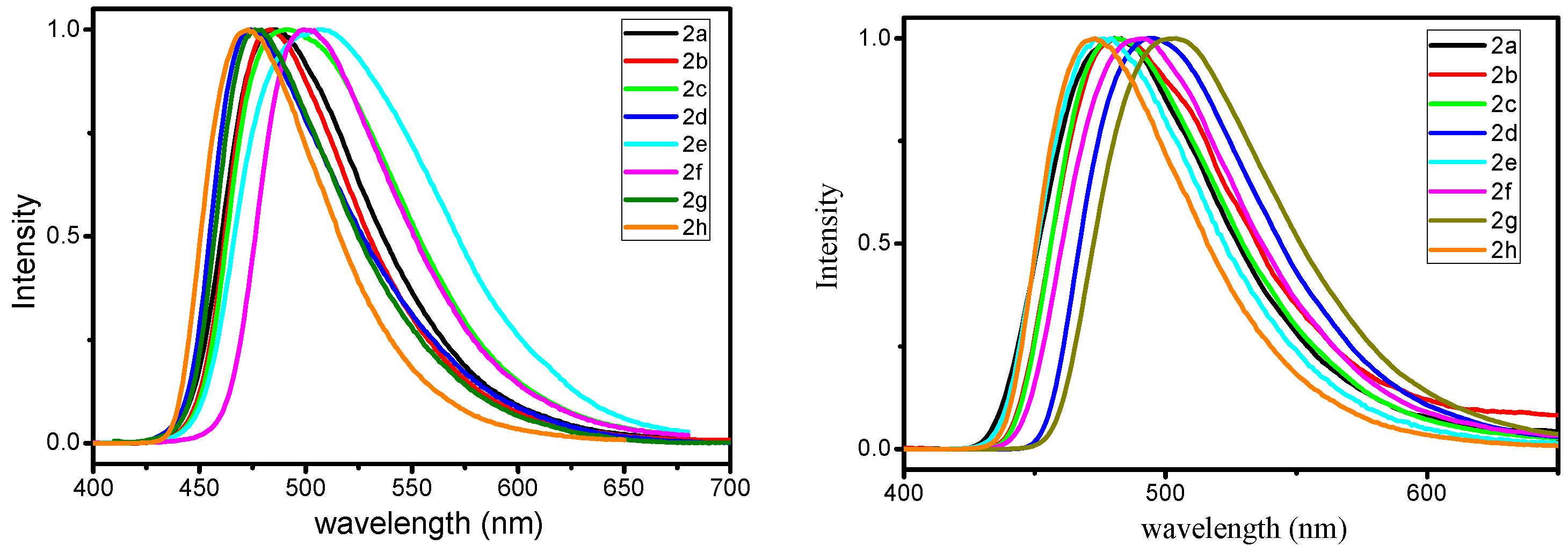
3.5. The Photoluminescent Properties
3.6. OLED—Performances
3.7. Biological Activity
4. Conclusions
Supplementary Materials
Author Contributions
Funding
Institutional Review Board Statement
Informed Consent Statement
Data Availability Statement
Acknowledgments
Conflicts of Interest
References
- Pushkarev, A.P.; Bochkarev, M.N. Organic electroluminescent materials and devices emitting in the UV and NIR regions. Russ. Chem. Rev. 2016, 85, 1338. [Google Scholar] [CrossRef]
- Kozlov, M.I.; Aslandukov, A.N.; Vashchenko, A.A.; Medvedko, A.V.; Aleksandrov, A.E.; Grzibovskis, R.; Goloveshkin, A.S.; Lepnev, L.S.; Tameev, A.R.; Vembris, A.; et al. On the development of a new approach to the design of lanthanide-based materials for solution-processed OLEDs. Dalton Trans. 2019, 48, 17298–17309. [Google Scholar] [CrossRef] [PubMed]
- Nehra, K.; Dalal, A.; Hooda, A.; Bhagwan, S.; Saini, R.K.; Mari, B.; Kumar, S.; Singh, D. Lanthanides β-diketonate complexes as energy-efficient emissive materials: A review. J. Mol. Struct. 2022, 1249, 131531. [Google Scholar] [CrossRef]
- Tan, R.H.C.; Motevalli, M.; Abrahams, I.; Wyatt, P.B.; Gillin, W.P. Quenching of IR Luminescence of Erbium, Neodymium, and Ytterbium β-Diketonate Complexes by Ligand C–H and C–D Bonds. J. Phys. Chem. B 2006, 110, 24476–24479. [Google Scholar] [CrossRef] [PubMed]
- Hyre, A.S.; Doerrer, L.H. A structural and spectroscopic overview of molecular lanthanide complexes with fluorinated O-donor ligands. Coord. Chem. Rev. 2020, 404, 213098. [Google Scholar] [CrossRef]
- Winkless, L.; Tan, R.H.C.; Zheng, Y.; Motevalli, M.; Wyatt, P.B.; Gillin, W.P. Quenching of Er(III) luminescence by ligand C–H vibrations: Implications for the use of erbium complexes in telecommunications. Appl. Phys. Lett. 2006, 89, 111115. [Google Scholar] [CrossRef]
- Hasegawa, Y.; Wada, Y.; Yanagida, S. Strategies for the design of luminescent lanthanide(III) complexes and their photonic applications. J. Photochem. Photobio. C Photochem. Rev. 2004, 5, 183–202. [Google Scholar] [CrossRef]
- Artizzu, F.; Mercuri, M.L.; Serpe, A.; Deplano, P. NIR-emissive erbium–quinolinolate complexes. Coord. Chem. Rev. 2011, 255, 2514–2529. [Google Scholar] [CrossRef]
- Zheng, Y.; Motevalli, M.; Tan, R.H.C.; Abrahams, I.; Gillin, W.P.; Wyatt, P.B. Near IR luminescent rare earth 3,4,5,6-tetrafluoro-2-nitrophenoxide complexes: Synthesis, X-ray crystallography and spectroscopy. Polyhedron 2008, 27, 1503–1510. [Google Scholar] [CrossRef]
- Burlov, A.S.; Vlasenko, V.G.; Milutka, M.S.; Koshchienko, Y.V.; Makarova, N.I.; Lazarenko, V.A.; Trigub, A.L.; Kolodina, A.A.; Zubenko, A.A.; Metelitsa, A.V.; et al. Synthesis, structure, spectral-luminescent properties and biological activity of chlorine-substituted N-[2-(phenyliminomethyl)phenyl]-4-methylbenzenesulfamide and their zinc(II) complexes. Int. J. Mol. Sci. 2022, 23, 15259. [Google Scholar] [CrossRef]
- Milutka, M.S.; Burlov, A.S.; Vlasenko, V.G.; Koshchienko, Y.V.; Makarova, N.I.; Metelitsa, A.V.; Korshunova, E.V.; Trigub, A.L.; Zubenko, A.A.; Klimenko, A.I. Synthesis, Structure, Spectral-Luminescent Properties, and Biological Activity of Chlorine-Substituted Azomethines and Their Zinc(II) Complexes. Russ. J. Gen. Chem. 2021, 91, 1706–1716. [Google Scholar] [CrossRef]
- Chernyshov, A.A.; Veligzhanin, A.A.; Zubavichus, Y.V. Structural Materials Science End-Station at the Kurchatov Synchrotron Radiation Source: Recent Instrumentation Upgrades and Experimental Results. Nucl. Instrum. Methods Phys. Res. Sect. A 2009, 603, 95–98. [Google Scholar] [CrossRef]
- Newville, M. EXAFS analysis using FEFF and FEFFIT. J. Synchrotron Radiat. 2001, 8, 96–100. [Google Scholar] [CrossRef] [PubMed]
- Zabinski, S.I.; Rehr, J.J.; Ankudinov, A.; Alber, R.C. Multiple-scattering calculations of x-ray-absorption spectra. Phys. Rev. 1995, 52, 2995–3009. [Google Scholar] [CrossRef]
- Svetogorov, R.D.; Dorovatovskii, P.V.; Lazarenko, V.A. Belok/XSA diffraction beamline for studying crystalline samples at Kurchatov Synchrotron Radiation Source. Cryst. Res. Technol. 2020, 55, 1900184. [Google Scholar] [CrossRef]
- Kabsch, W. XDS. Acta Crystallogr. Sect. D Biol. Crystallogr. 2010, 66, 125–132. [Google Scholar] [CrossRef]
- Sheldrick, G.M. SHELXT–Integrated space-group and crystal-structure determination. Acta Crystallogr. Sect. A Found. Adv. 2015, 71, 3–8. [Google Scholar] [CrossRef]
- Dolomanov, O.V.; Bourhis, L.J.; Gildea, R.J.; Howard, J.A.; Puschmann, H. OLEX2: A complete structure solution, refinement and analysis program. J. Appl. Crystallogr. 2009, 42, 339–341. [Google Scholar] [CrossRef]
- Sheldrick, G.M. Crystal structure refinement with SHELXL. Acta Crystallogr. Sect. C Struct. Chem. 2015, 71, 3–8. [Google Scholar] [CrossRef]
- Burlov, A.S.; Vlasenko, V.G.; Koshchienko, Y.V.; Makarova, N.I.; Zubenko, A.A.; Drobin, Y.D.; Fetisov, L.N.; Kolodina, A.A.; Zubavichus, Y.V.; Trigub, A.L.; et al. Synthesis, characterization, luminescent properties and biological activities of zinc complexes with bidentate azomethine Schiff-base ligands. Polyhedron 2018, 154, 65–76. [Google Scholar] [CrossRef]
- Burlov, A.S.; Vlasenko, V.G.; Koshchienko, Y.V.; Makarova, N.I.; Zubenko, A.A.; Drobin, Y.D.; Borodkin, G.S.; Metelitsa, A.V.; Zubavichus, Y.V.; Garnovskii, D.A. Complexes of zinc(II) with N-[2-(hydroxyalkyliminomethyl)phenyl]-4-methylbenzenesulfonamides: Synthesis, structure, photoluminescence properties and biological activity. Polyhedron 2018, 144, 249–258. [Google Scholar] [CrossRef]
- Chernova, N.I.; Ryabokobylko, Y.S.; Brudz’, V.G.; Bolotin, B.M. 2-Tosylaminobenzaldehyde and its substitutes. Zh. Org. Khim. 1971, 7, 1680–1687. [Google Scholar]
- Obodovskaya, A.E.; Starikova, Z.A.; Trunov, V.K.; Bolotin, B.M. Crystal and molecular structure of N-(2-tosylaminobenzylidene)aniline. J. Struct. Chem. 1981, 22, 78–81. [Google Scholar] [CrossRef]
- Obodovskaya, A.E.; Starikova, Z.A.; Trunov, V.K.; Bolotin, B.M. Intramolecular hydrogen bonds and the crystal structure of N-(2-tosylaminobenzylidene)benzylamine. J. Struct. Chem. 1981, 22, 82–85. [Google Scholar] [CrossRef]
- Desiraju, G.R. (Ed.) Crystal Design: Structure and Function. Perspectives in Supramolecular Chemistry; Wiley-VCH: Chichester, UK, 2002. [Google Scholar]
- Castro, J.; Cabaleiro, S.; Perez-Lourido, P.; Romero, J.; Garcıa-Vazquez, J.A.; Sousa, A. Electrochemical Synthesis and Characterization of Zinc(II) Complexes with [(4-Methylphenyl)Sulfonyl]-1H-Amido-2-Phenyl-2-Oxazolines. Z. Anorg. Allg. Chem. 2002, 628, 1210–1217. [Google Scholar] [CrossRef]
- Yang, L.; Powell, D.R.; Houser, R.P. Structural variation in copper(I) complexes with pyridylmethylamide ligands: Structural analysis with a new four-coordinate geometry index, τ4. Dalton Trans. 2007, 9, 955–964. [Google Scholar] [CrossRef] [PubMed]
- Dumur, F. Zinc complexes in OLEDs: An overview. Synth. Met. 2014, 195, 241–251. [Google Scholar] [CrossRef]
- Bizzarri, C.; Spuling, E.; Knoll, D.M.; Volz, D.; Brase, S. Sustainable metal complexes for organic light-emitting diodes (OLEDs). Coord. Chem. Rev. 2018, 373, 49–82. [Google Scholar] [CrossRef]
- Singh, D.; Nishal, V.; Bhagwan, S.; Saini, R.K.; Singh, I. Electroluminescent materials: Metal complexes of 8-hydroxyquinoline—A review. Mater. Des. 2018, 156, 215–228. [Google Scholar] [CrossRef]
- Rashamuse, T.J.; Mohlala, R.L.; Coyanis, E.M.; Magwa, N.P. A Review: Blue Fluorescent Zinc (II) Complexes for OLEDs—A Last Five-Year Recap. Molecules 2023, 28, 5272. [Google Scholar] [CrossRef]
- Diana, R.; Panunzi, B.; Tuzi, A.; Caruso, U.J. Two tridentate pyridinyl-hydrazone zinc (II) complexes as fluorophores for blue emitting layers. Mol. Struct. 2019, 1197, 672–680. [Google Scholar] [CrossRef]










| Compound/Parameter | 1d | 1f |
|---|---|---|
| Bond Distances, Å | ||
| N1-S1/N1A-S1A | 1.7366(2), 1.7327(2) | 1.7267(1) |
| C1-S1/C1A-S1A | 1.8782(2), 1.8719(2) | 1.8765(2) |
| N1-C8/N1A-C8A | 1.5061(2), 1.4945(3) | 1.4931(2) |
| O1-S1/O1A-S1A | 1.5265(2)/1.5258(2) | 1.5250(2) |
| O2-S1/O2A-S1A | 1.5209(2)/1.5240(2) | 1.5278(1) |
| N2-C14/N2A-C14A | 1.3574(2), 1.3594(3) | 1.3644(2) |
| N2-C15/N2A-C15A | 1.4980(3), 1.4990(3) | 1.5060(2) |
| Angles, deg. | ||
| C1-S1-N1/C1A-S1A-N1A | 106.22(9), 105.77(9) | 106.43(7) |
| C8-N1-S1/C8A-N1A-S1A | 127.24(1), 127.65(1) | 129.89(9) |
| O1-S1-O2/O1A-S1A-O2A | 119.71(9), 119.78(9) | 119.69(7) |
| C14-N2-C15/C14A-N2A-C15A | 123.07(2), 121.60(2) | 121.87(1) |
| Torsion Angles, deg. | ||
| C1-S1-N1-C8/C1A-S1A-N1A-C8A | 67.38(2), 73.58(2), | 80.99(9) |
| C13-C14-N2-C15/C13A-C14A-N2A-C15A | 175.57(2), 179.19(2) | 177.55(2) |
| Compound/Parameter | H-Bond | D-H, Å | H…A, Å | D…A, Å | D-H…A, deg. |
|---|---|---|---|---|---|
| 1d | N2-H2…N1 | 0.880(3) | 2.098(2) | 2.806(2) | 136.98(3) |
| N2A-H2A…N1A | 0.880(3) | 2.119(3) | 2.815(3) | 135.53(3) | |
| C9-H9…O2 | 0.95 | 2.537(3) | 3.214(3) | 128.40(3) | |
| C9A-H9A…O2A | 0.95 | 2.477(3) | 3.159(3) | 128.65(3) | |
| C5A-H5A…O4Aa | 0.95 | 2.711(3) | 3.530(3) | 144.80(3) | |
| C7A-H7A…O4Aa | 0.95 | 2.691(3) | 3.600(3) | 154.37(3) | |
| C17-H17…O1Ab | 0.95 | 2.651(3) | 3.377(3) | 133.52(3) | |
| 1f | N1-H1…N2 | 0.953(2) | 1.999(2) | 2.808(19) | 141.59(2) |
| C9-H9…O2 | 0.95 | 2.564(2) | 3.198(2) | 124.37(2) | |
| C4-H4…O1Aa | 0.95 | 2.685(2) | 3.580(2) | 159.14(2) |
| Compound | Bond | N | R, Å | σ2, Å2 | Q, % |
|---|---|---|---|---|---|
| 2a | Zn–N Zn–N | 2 2 | 1.99 2.03 | 0.0030 0.0030 | 1.3 |
| 2b | Zn–N Zn–N | 2 2 | 2.00 2.04 | 0.0030 0.0030 | 1.5 |
| 2c | Zn–N Zn–N | 2 2 | 1.97 2.02 | 0.0030 0.0030 | 1.4 |
| 2d | Zn–N Zn–N | 2 2 | 1.98 2.05 | 0.0030 0.0030 | 1.0 |
| 2e | Zn–N Zn–N | 2 2 | 1.98 2.01 | 0.0030 0.0030 | 3.9 |
| Zn–F | 2 | 3.24 | 0.0035 | ||
| 2f | Zn–N Zn–N | 2 2 | 1.98 2.04 | 0.0034 0.0034 | 1.4 |
| 2g | Zn–N Zn–N | 2 2 | 1.97 2.04 | 0.0032 0.0032 | 1.6 |
| 2h | Zn–N Zn–N | 2 2 | 1.98 2.02 | 0.0030 0.0030 | 4.6 |
| Zn–F | 2 | 3.20 | 0.0035 |
| Compound/Parameter | 2d | 2h | 2f | |
|---|---|---|---|---|
| Bond Distances, Å | ||||
| Zn—N1 | 2.0561(19) | 2.0396(11) | Zn1—N1 | 2.0566(16) |
| Zn—N1ai | 2.0561(19) i | 2.0396(11) i | Zn1—N2 | 2.0589(14) |
| Zn—N2 | 1.9857(19) | 1.9938(11) | Zn1—N3 | 1.9863(14) |
| Zn—N2ai | 1.9857(19) i | 1.9938(11) i | Zn1—N4 | 1.9904(14) |
| S1—O1 | 1.4409(19) | 1.4412(11) | S1—O1 | 1.4450(13) |
| S1—O2 | 1.4504(17) | 1.4558(11) | S1—O2 | 1.4521(13) |
| Angles, deg. | ||||
| N2-Zn1-N2a | 139.97(11) | 145.68(7) | N3-Zn1-N4 | 149.27(6) |
| N2-Zn1-N1 | 113.23(8) | 103.98(5) | N2-Zn1-N4 | 103.73(6) |
| N2a-Zn1-N1a | 113.22(8) | 103.98(5) | N1-Zn1-N3 | 110.13(6) |
| N2-Zn1-N1a | 93.22(8) | 93.21(5) | N1-Zn1-N4 | 91.17(7) |
| N1-Zn1-N2a | 93.22(8) | 93.21(5) | N2-Zn1-N3 | 90.83(6) |
| N1-Zn1-N1a | 97.68(11) | 119.44(7) | N1-Zn1-N2 | 107.96(6) |
| Torsion Angles, deg. | ||||
| C14-S1-N2-C13 | 68.80(3) | 62.92(3) | C27-S1-N3-C14 | 63.05(14) |
| C14a-S1a-N2a-C13ai | 68.80(3) | 62.92(3) | C34-S2-N4-C13 | 69.41(15) |
| C8-C7-N1a-C4a | 174.62(3) | 176.45(3) | C8-C7-N1-C6 | 178.55(3) |
| C8a-C7a-N1-C4i | 174.62(3) | 176.45(3) | C19-C20-N2-C21 | 178.18(3) |
| Compound | H-Bond | D-H, Å | H…A, Å | D…A, Å | D-H…A, deg. |
|---|---|---|---|---|---|
| 2d | C18-H18…F2 | 0.95 | 2.552 | 3.410 | 151.11 |
| C16-H16…F1 | 0.95 | 2.591 | 3.136 | 116.80 | |
| C20-H20B…O1 | 0.98 | 2.579 | 3.497 | 156.02 | |
| 2h | O3-H3…O2 | 0.84 | 2.030 | 2.861 | 170.19 |
| C6-H7…O3 | 0.95 | 2.375 | 3.298 | 163.77 | |
| C9-H9…O3 | 0.95 | 2.655 | 3.523 | 152.09 | |
| C6-H6…F2 | 0.95 | 2.578 | 3.315 | 134.69 | |
| 2f | C10-H10…F2 | 0.95 | 2.330 | 3.273 | 171.86 |
| C5-H5A…F4 | 0.84 | 2.340 | 3.130 | 157.04 | |
| O5-H5A…F5 | 0.84 | 2.402 | 3.034 | 132.60 | |
| C18-H18…O1 | 0.95 | 2.410 | 3.260 | 149.78 | |
| C2-H2…O5 | 0.95 | 2.416 | 3.328 | 160.73 | |
| C22-H22…F2 | 0.95 | 2.421 | 3.266 | 148.08 | |
| C33-H33A…O3 | 0.98 | 2.560 | 3.527 | 168.98 | |
| C7-H7…O5 | 0.95 | 2.577 | 3.522 | 172.93 | |
| C26-H26…O2 | 0.95 | 2.594 | 3.275 | 128.94 | |
| C11-H11…O1 | 0.95 | 2.602 | 3.458 | 150.11 |
| Compound | Solid | CH2Cl2 | |||||
|---|---|---|---|---|---|---|---|
| λmax (nm) | QY % | Lifetime (ns) | CIE | λmax (nm) | QY % | Lifetime (ns) | |
| 1a | 580 | 25.75 | 3.7 | 0.526; 0.476 | - | - | - |
| 1b | 579 | 43.89 | 3.8 | 0.489; 0.509 | - | - | - |
| 1c | 572 | 23.59 | 3.4 | 0.507; 0.499 | - | - | - |
| 1d | 577 | 17.00 | 3.7 | 0.540; 0.458 | - | - | - |
| 1e | 572 | 25.36 | 3.2 | 0.504; 0.500 | - | - | - |
| 1f | 581 | 16.36 | 3.5 | 0.532; 0.466 | - | - | - |
| 1g | 589 | 10.33 | 3.2 | 0.546; 0.435 | - | - | - |
| 1h | 567 | 15.12 | 3.4 | 0.492; 0.511 | - | - | - |
| 2a | 485 | 31.98 | 7.1 | 0.170; 0.376 | 480 | 2.35 | 3.7 |
| 2b | 484 | 31.34 | 6.7 | 0.162; 0.371 | 481 | 2.24 | 3.5 |
| 2c | 491 | 37.0 | 6.6 | 0.181; 0.432 | 481 | 0.50 | 3.0 |
| 2d | 475 | 40.59 | 6.9 | 0.173; 0.310 | 493 | 0.95 | 3.5 |
| 2e | 506 | 22.31 | 6.5 | 0.230; 0.490 | 473 | 1.05 | 3.8 |
| 2f | 499 | 42.18 | 6.2 | 0.232; 0.528 | 491 | 2.64 | 3.7 |
| 2g | 476 | 34.49 | 6.8 | 0.165; 0.321 | 504 | 0.88 | 3.6 |
| 2h | 475 | 18.5 | 9.1 | 0.169; 0.260 | 473 | 4.8 | 3.5 |
| Device | EL λmax, nm | Turn-On Voltage, V | Max. Brightness (cd/m2) | Current Efficiency cd/A | EQEmax/EQE100Cd, % |
|---|---|---|---|---|---|
| 2a | 486 | 4.8 | 1100 | 12.6 | 2.1/1.9 |
| 2b | 488 | 4.1 | 3240 | 15.0 | 4.3/3.9 |
| 2c | 488 | 4.6 | 5850 | 15.4 | 2.4/2.2 |
| 2d | 474 | 4.5 | 4550 | 18.0 | 4.1/3.6 |
| 2e | 501 | 4.4 | 1450 | 12.2 | 2.2/2.0 |
| 2f | 499 | 4.5 | 5910 | 16.9 | 4.1/3.8 |
| 2g | 479 | 4.0 | 6300 | 19.7 | 4.8/4.5 |
| 2h | 468 | 4.2 | 3650 | 11.1 | 2.1/1.8 |
| Host Matrix | EL λmax, nm | Max. Brightness (Cd/m2) | Current Efficiency Cd/A | EQEmax/EQE100Cd, % |
|---|---|---|---|---|
| mCP | 478 | 8120 | 21.1 | 5.1/4.7 |
| NPB | 480 | 3150 | 11.6 | 2.2/2.0 |
| TAPC | 476, 409 | 950 | 6.9 | 0.9/0.5 |
| CBP | 477, 405 | 1400 | 7.5 | 0.95/0.5 |
| Compound | Protistocidal Activity Colpoda Steinii, µg/mL | Fungistatic Activity, Inhibition Zone Diameter, mm Penicillium italicum | Antibacterial Activity, Inhibition Zone Diameter, mm | |
|---|---|---|---|---|
| Staphylococcus aureus | Escherichia coli | |||
| 1a (2-F) | 15.6 | 0 | 8 | 10 |
| 1b (4-F) | 7.8 | 0 | 10 | 8 |
| 1c (2,4-F2) | 250 | 0 | 0 | 7 |
| 1d (2,5-F2) | >500 | 0 | 0 | 10 |
| 1e (2,6-F2) | 125 | 0 | 7 | 0 |
| 1f (3,4-F2) | >500 | 0 | 0 | 8 |
| 1g (3,5-F2) | 500 | 0 | 0 | 8 |
| 1h (2,4,6-F3) | 62.5 | 0 | 0 | 0 |
| 2a (2-F) | >500 | 0 | 8 | 7 |
| 2b (4-F) | 125 | 0 | 0 | 0 |
| 2c (2,4-F2) | >500 | 0 | 0 | 7 |
| 2d (2,5-F2) | >500 | 0 | 7 | 0 |
| 2e (2,6-F2) | >500 | 0 | 8 | 7 |
| 2f (3,4-F2) | 1.9 | 0 | 0 | 8 |
| 2g (3,5-F2) | 500 | 0 | 10 | 7 |
| 2h (2,4,6-F3) | 250 | 0 | 0 | 0 |
| Chloroquine (Delaguil). | 7.8 | - | - | - |
| Baycox (Toltrazuril) | 62.5 | - | - | - |
| Fundazol | - | 40 | - | - |
| Furazolidone | - | - | 20 | 18 |
Disclaimer/Publisher’s Note: The statements, opinions and data contained in all publications are solely those of the individual author(s) and contributor(s) and not of MDPI and/or the editor(s). MDPI and/or the editor(s) disclaim responsibility for any injury to people or property resulting from any ideas, methods, instructions or products referred to in the content. |
© 2024 by the authors. Licensee MDPI, Basel, Switzerland. This article is an open access article distributed under the terms and conditions of the Creative Commons Attribution (CC BY) license (https://creativecommons.org/licenses/by/4.0/).
Share and Cite
Burlov, A.S.; Vlasenko, V.G.; Milutka, M.S.; Koshchienko, Y.V.; Lazarenko, V.A.; Trigub, A.L.; Kolodina, A.A.; Zubenko, A.A.; Braga, E.V.; Gusev, A.N.; et al. Zinc Complexes of Fluorosubstituted N-[2-(Phenyliminomethyl)phenyl]-4-methylbenzenesulfamides: Synthesis, Structure, Luminescent Properties, and Biological Activity. Materials 2024, 17, 438. https://doi.org/10.3390/ma17020438
Burlov AS, Vlasenko VG, Milutka MS, Koshchienko YV, Lazarenko VA, Trigub AL, Kolodina AA, Zubenko AA, Braga EV, Gusev AN, et al. Zinc Complexes of Fluorosubstituted N-[2-(Phenyliminomethyl)phenyl]-4-methylbenzenesulfamides: Synthesis, Structure, Luminescent Properties, and Biological Activity. Materials. 2024; 17(2):438. https://doi.org/10.3390/ma17020438
Chicago/Turabian StyleBurlov, Anatolii S., Valery G. Vlasenko, Maxim S. Milutka, Yurii V. Koshchienko, Vladimir A. Lazarenko, Alexander L. Trigub, Alexandra A. Kolodina, Alexander A. Zubenko, Elena V. Braga, Alexey N. Gusev, and et al. 2024. "Zinc Complexes of Fluorosubstituted N-[2-(Phenyliminomethyl)phenyl]-4-methylbenzenesulfamides: Synthesis, Structure, Luminescent Properties, and Biological Activity" Materials 17, no. 2: 438. https://doi.org/10.3390/ma17020438
APA StyleBurlov, A. S., Vlasenko, V. G., Milutka, M. S., Koshchienko, Y. V., Lazarenko, V. A., Trigub, A. L., Kolodina, A. A., Zubenko, A. A., Braga, E. V., Gusev, A. N., & Linert, W. (2024). Zinc Complexes of Fluorosubstituted N-[2-(Phenyliminomethyl)phenyl]-4-methylbenzenesulfamides: Synthesis, Structure, Luminescent Properties, and Biological Activity. Materials, 17(2), 438. https://doi.org/10.3390/ma17020438

