Thermal Behavior and Mechanical Properties of Different Lattice Structures Fabricated Using Selective Laser Melting
Abstract
1. Introduction
2. Materials and Methods
2.1. Materials and Manufacturing
2.2. Numerical Simulation
3. Optimization of SLM Processing Parameters
3.1. The Influence of Processing Parameters on the Molten Pool
3.2. The Influence of Processing Parameters on Porosity
4. Thermal Behavior
4.1. Temperature Distribution of Different Cell Lattice Structures
4.2. Residual Stress of Different Cell Lattice Structures
5. Results and Discussion
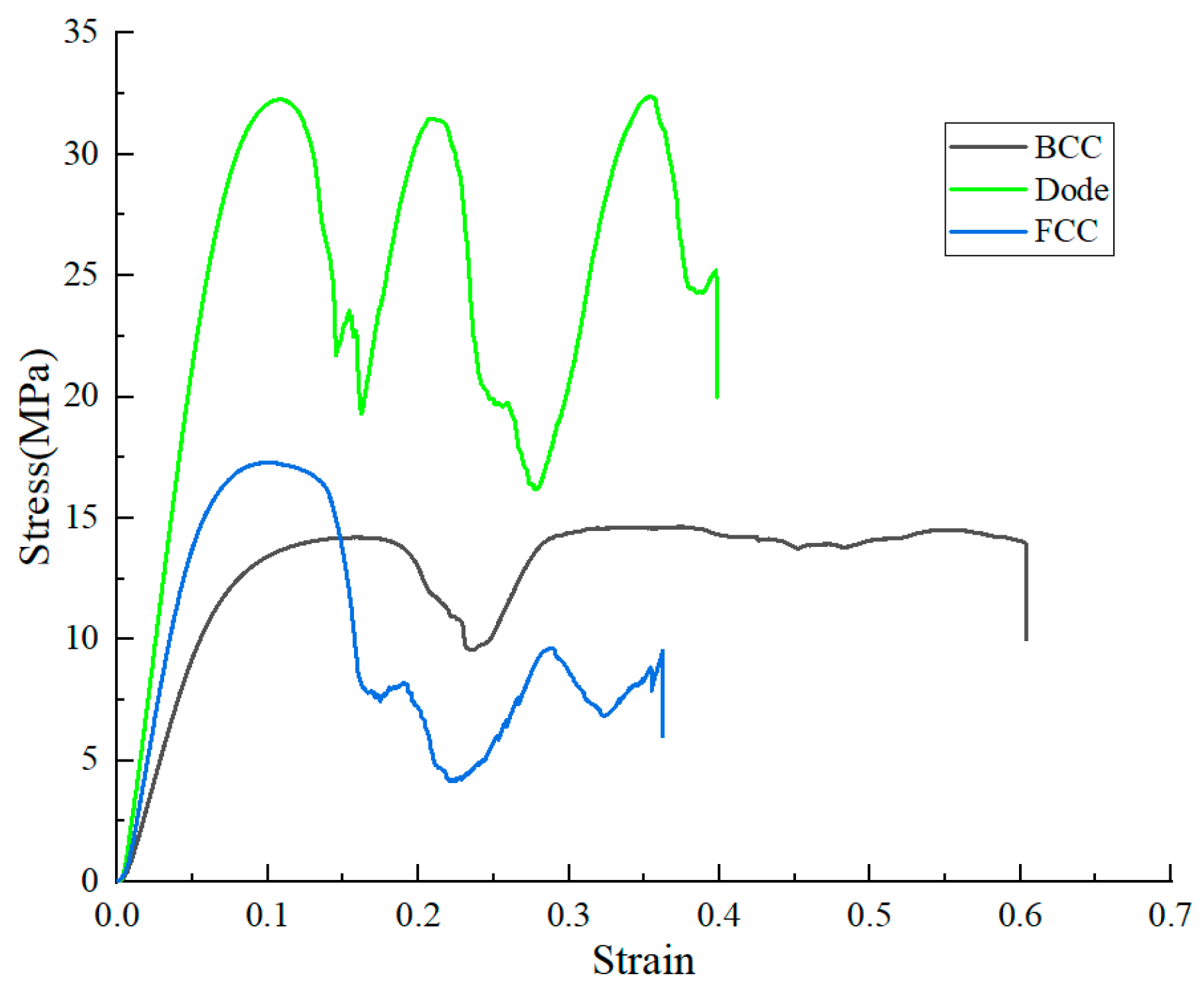
5.1. Quasi-Static Compression Experiment
5.2. Deformation Behavior
5.3. Fracture Morphology
6. Conclusions
- (1)
- The influence of different processing parameters on the molten pool and porosity were studied, and the optimization was carried out based on this. The optimized parameters were: laser power 300 W, scanning speed 1000 mm/s, powder thickness 0.03 mm and scanning spacing 0.1 mm.
- (2)
- The thermal behavior evolution of the Ti6Al4V lattice structure in the SLM forming process was studied. The high temperature parts of the three structures are all on the lower side of the node and its adjacent pillars, and the closer to the node, the higher the temperature. The temperature of the Dode structure reaches the highest, followed by the BCC structure, and the smallest is the FCC.
- (3)
- The node of the lattice structure is the main area of residual stress distribution, which is closely related to the high temperature distribution at the node. From the residual stress in different directions, the residual compressive stress exists at both ends of the part. The residual stress in the X and Y directions is close, and the residual stress in the Z direction has the greatest influence on the forming process. Moreover, the residual stress of the lattice structure of different cells is significantly different. The residual stress of Dode is the highest, reaching 1218.2 MPa. FCC is the second, and BCC is the lowest.
- (4)
- The compression performance of different cell lattice structures is very different. The Dode structure has the highest elastic modulus and compressive strength, reaching 478.72 MPa and 32.25 MPa, showing the best compression performance among the three.
Author Contributions
Funding
Institutional Review Board Statement
Informed Consent Statement
Data Availability Statement
Conflicts of Interest
References
- Yang, X.; Ma, W.J.; Zhang, Z.Y.; Liu, S.F.; Tang, H.P. Ultra-high specific strength Ti6Al4V alloy lattice material manufactured via selective laser melting. Mater. Sci. Eng. A-Struct. 2022, 840, 142956. [Google Scholar] [CrossRef]
- Yuan, B.G.; Liu, X.; Du, J.F.; Chen, Q.; Wan, Y.Y.; Xiang, Y.L.; Tang, Y.; Zhang, X.X.; Huang, Z.Y. Effects of hydrogenation temperature on room-temperature compressive properties of CMHT-treated Ti6Al4V alloy. J. Mater. Sci. Technol. 2021, 72, 132–143. [Google Scholar] [CrossRef]
- Bhardwaj, A.; Mudaliar, V.; Gohil, N.; Gupta, A.K.; Kumar, S.S.S. Evolution of microstructure and mechanical properties of Ti6Al4V alloy by multiple passes of constrained groove pressing at elevated temperature. J. Mater. Process. Tech. 2021, 288, 116891. [Google Scholar] [CrossRef]
- Ding, J.H.; Qu, S.; Zhang, L.; Wang, M.Y.; Song, X. Geometric deviation and compensation for thin-walled shell lattice structures fabricated by high precision laser powder bed fusion. Addit. Manuf. 2022, 58, 103061. [Google Scholar] [CrossRef]
- Fan, X.J.; Tang, Q.; Feng, Q.X.; Ma, S.; Song, J.; Jin, M.X.; Guo, F.Y.; Jin, P. Design, mechanical properties and energy absorption capability of graded-thickness triply periodic minimal surface structures fabricated by selective laser melting. Int. J. Mech. Sci. 2021, 204, 106586. [Google Scholar] [CrossRef]
- Pan, C.; Han, Y.F.; Lu, J.P. Design and optimization of lattice structures: A review. Appl. Sci-Basel. 2020, 10, 6374. [Google Scholar] [CrossRef]
- Zhang, L.; Chen, Y.F.; He, R.J.; Bai, X.J.; Zhang, K.Q.; Ai, S.G.; Yang, Y.Z.; Fang, D.N. Bending behavior of lightweight C/SiC pyramidal lattice core sandwich panels. Int. J. Mech. Sci. 2020, 171, 105409. [Google Scholar] [CrossRef]
- Meyer, G.; Wang, H.; Mittelstedt, C. Influence of geometrical notches and form optimization on the mechanical properties of additively manufactured lattice structures. Mater. Des. 2022, 222, 111082. [Google Scholar] [CrossRef]
- Kuai, Z.Z.; Li, Z.H.; Liu, B.; Chen, Y.L.; Lu, S.Y.; Bai, P.K. Effect of heat treatment on CuCrZr alloy fabricated by selective laser melting: Microstructure evolution, mechanical properties and fracture mechanism. J. Mater. Res. Technol. 2023, 23, 2658–2671. [Google Scholar] [CrossRef]
- Jiang, Z.H.; Xu, P.W.; Liang, Y.L.; Liang, Y. Deformation effect of melt pool boundaries on the mechanical property anisotropy in the SLM AlSi10Mg. Mater. Today. Commun. 2023, 36, 106879. [Google Scholar] [CrossRef]
- Sefene, E.M. State-of-the-art of selective laser melting process: A comprehensive review. J. Manuf. Syst. 2022, 63, 250–274. [Google Scholar] [CrossRef]
- Daloadulo, E.; Pini, F.; Leali, F. Powder bed fusion integrated product and process design for additive manufacturing: A systematic approach driven by simulation. Int. J. Adv. Manuf. Technol. 2024, 130, 5440–5452. [Google Scholar]
- Zhang, T.; Zhang, K.F.; Chen, Q. Study on the effects of the processing parameters on the single tracks and the block support structures fabricated by selective laser melting. J. Laser Appl. 2024, 36, 012024. [Google Scholar] [CrossRef]
- Jia, H.L.; Sun, H.; Wang, H.Z.; Wu, Y.; Wang, H.W. Scanning strategy in selective laser melting (SLM): A review. Int. J. Adv. Manuf. Technol. 2021, 113, 2413–2435. [Google Scholar] [CrossRef]
- Gockel, J.; Sheridan, L.; Koerper, B.; Whip, B. The Influence of Additive Manufacturing Processing Parameters on Surface Roughness and Fatigue Life. Int. J. Fatigue 2019, 124, 380–384. [Google Scholar] [CrossRef]
- Zhao, Z.Y.; Wang, J.B.; Du, W.B.; Bai, P.K.; Wu, X.Y. Numerical simulation and experimental study of the 7075 aluminum alloy during selective laser melting. Opt. Laser Technol. 2023, 163, 109814. [Google Scholar] [CrossRef]
- Wang, L.F.; Jiang, X.H.; Zhu, Y.H.; Zhu, X.G.; Sun, J.; Yan, B. An approach to predict the residual stress and distortion during the selective laser melting of AlSi10Mg parts. Int. J. Adv. Manuf. Techol. 2018, 97, 3535–3546. [Google Scholar] [CrossRef]
- Gan, M.J.; Wu, Q.; Long, L.C. Prediction of Residual Deformation and Stress of Laser Powder Bed Fusion Manufactured Ti-6Al-4V Lattice Structures Based on Inherent Strain Method. Mater. Res-Ibero-Am. J. 2023, 26, e20220516. [Google Scholar] [CrossRef]
- Jiang, X.H.; Ye, T.; Zhu, Y.H. Effect of process parameters on residual stress in selective laser melting of AlSi10Mg. Mater. Sci. Technol. 2019, 69, 342–352. [Google Scholar] [CrossRef]
- Fritsch, T.; Sprengel, M.; Evans, A.; Farahbod-Sternahl, L.; Saliwan-Neumann, R.; Hofmann, M.; Bruno, G. On the determination of residual stresses in additively manufactured lattice structures. J. Appl. Crystallogr. 2021, 54, 228–236. [Google Scholar] [CrossRef]
- Luo, C.; Qiu, J.H.; Yan, Y.G.; Yang, J.H.; Uher, C.; Tang, X.F. Finite element analysis of temperature and stress fields during the selective laser melting process of thermoelectric SnTe. J. Mater. Process. Tech. 2018, 261, 74–85. [Google Scholar] [CrossRef]
- Shibata, K.; Kovács, A.; Kiselev, N.S.; Kanazawa, N.; Dunin-Borkowski, R.E.; Tokura, Y. Temperature and magnetic field dependence of the internal and lattice structures of skyrmions by off-axis electron holography. Phys. Rev. Lett. 2017, 118, 087202. [Google Scholar] [CrossRef] [PubMed]
- Hu, B.; Cai, G.S.; Deng, J.L.; Peng, K.; Wang, B.X. Study on Thermodynamic Behavior, Microstructure and Mechanical Properties of Thin-Walled Parts by Selective Laser Melting. Met. Mater. Int. 2024, 3, 194–210. [Google Scholar] [CrossRef]
- Jamnikar, N.; Liu, S.; Brice, C.; Zhang, X.L. Comprehensive molten pool condition-process relations modeling using CNN for wire-feed laser additive manufacturing. J. Manuf. Process. 2023, 98, 42–53. [Google Scholar] [CrossRef]
- Ge, J.G.; Huang, J.; Lei, Y.P.; O’Reilly, P.; Ahmed, M.; Zhang, C.; Yan, X.C. Microstructural features and compressive properties of SLM Ti6Al4V lattice structures. Surf. Coat. Technol. 2020, 403, 126419. [Google Scholar] [CrossRef]
- Chen, D.J.; Li, G.; Wang, P.; Zeng, Z.Q.; Tang, Y.H. Numerical simulation of melt pool size and flow evolution for laser powder bed fusion of powder grade Ti6Al4V. Finite Elem. Anal. Des. 2023, 223, 103971. [Google Scholar] [CrossRef]
- Zhao, M.Z.; Wei, H.L.; Mao, Y.M.; Zhang, C.D.; Liu, T.T.; Liao, W.H. Predictions of Additive Manufacturing Process Parameters and Molten Pool Dimensions with a Physics-Informed Deep Learning Model. Engineering 2023, 23, 181–195. [Google Scholar] [CrossRef]
- Yu, G.Q.; Gux, G.Q.; Dai, D.H.; Xia, M.J.; Ma, C.L.; Chang, K. Influence of processing parameters on laser penetration depth and melting/re-melting densification during selective laser melting of aluminum alloy. Appl. Phys. A-Mater. 2016, 122, 891. [Google Scholar] [CrossRef]













| Alloying Elements | Ti | Al | V | Fe | C | N | H | O |
|---|---|---|---|---|---|---|---|---|
| wt.% | Bal. | 5.5–6.75 | 3.5–4.5 | ≤0.30 | ≤0.08 | ≤0.05 | ≤0.015 | 0.08–0.13 |
| Temperature (K) | Coefficient of Thermal Expansion (×106/K) | Modulus of Elasticity (GPa) | The Yield Strength (MPa) | Poisson’s Ratio | Shear Modulus (MPa) |
|---|---|---|---|---|---|
| 298 | 8.91 | 107 | 1098 | 0.323 | 0.7 |
| 589 | 10.12 | 91.8 | 844 | 0.339 | 2.2 |
| 700 | 10.82 | 82.4 | 663 | 0.347 | 2.2 |
| 811 | 11.31 | 69.6 | 527 | 0.354 | 1.9 |
| 923 | 11.71 | 54.7 | 300 | 0.361 | 1.9 |
| 1073 | 12.21 | 35.3 | 60 | 0.369 | 2 |
| 1123 | 12.37 | 29.3 | 5 | 0.371 | 2 |
| 1473 | 12.44 | 6.6 | 2 | 0.392 | 2 |
| 1923 | 12.51 | 0.1 | 0.1 | 0.415 | 0.1 |
| Sample | Elastic Modulus (MPa) | Compressive Strength (MPa) | Plateau Stress (MPa) | Yield Strength (MPa) |
|---|---|---|---|---|
| BCC | 208.46 | 14.2 | 13.61 | 10.5 |
| Dode | 478.72 | 32.26 | 25.69 | 23.4 |
| FCC | 340.96 | 17.29 | 8.871 | 14.59 |
Disclaimer/Publisher’s Note: The statements, opinions and data contained in all publications are solely those of the individual author(s) and contributor(s) and not of MDPI and/or the editor(s). MDPI and/or the editor(s) disclaim responsibility for any injury to people or property resulting from any ideas, methods, instructions or products referred to in the content. |
© 2024 by the authors. Licensee MDPI, Basel, Switzerland. This article is an open access article distributed under the terms and conditions of the Creative Commons Attribution (CC BY) license (https://creativecommons.org/licenses/by/4.0/).
Share and Cite
Liu, H.; Cai, G.; Peng, K.; Jin, H.; Alexander, A. Thermal Behavior and Mechanical Properties of Different Lattice Structures Fabricated Using Selective Laser Melting. Materials 2024, 17, 5603. https://doi.org/10.3390/ma17225603
Liu H, Cai G, Peng K, Jin H, Alexander A. Thermal Behavior and Mechanical Properties of Different Lattice Structures Fabricated Using Selective Laser Melting. Materials. 2024; 17(22):5603. https://doi.org/10.3390/ma17225603
Chicago/Turabian StyleLiu, Hui, Gaoshen Cai, Kai Peng, Haozhe Jin, and Antonov Alexander. 2024. "Thermal Behavior and Mechanical Properties of Different Lattice Structures Fabricated Using Selective Laser Melting" Materials 17, no. 22: 5603. https://doi.org/10.3390/ma17225603
APA StyleLiu, H., Cai, G., Peng, K., Jin, H., & Alexander, A. (2024). Thermal Behavior and Mechanical Properties of Different Lattice Structures Fabricated Using Selective Laser Melting. Materials, 17(22), 5603. https://doi.org/10.3390/ma17225603

