Next Article in Journal
Research on Flower Pattern and Roll Positioning Optimization for Roll Forming Process of TA4 Coiled Tubing
Next Article in Special Issue
The Influence of the Strain Rate on Texture Formation During the Plane Strain Compression of AZ80 Magnesium Alloy
Previous Article in Journal
Study on the Curing Behaviors of Benzoxazine Nitrile-Based Resin Featuring Fluorene Structures and the Excellent Properties of Their Glass Fiber-Reinforced Laminates
Previous Article in Special Issue
Development of a Mathematical Model of the Self-Shielded Flux-Cored Arc Surfacing Process for the Determination of Deposition Rate
 
 
Font Type:
Arial Georgia Verdana
Font Size:
Aa Aa Aa
Line Spacing:
Column Width:
Background:
Article

Powder Metallurgy Processing to Enhance Superelasticity and Shape Memory in Polycrystalline Cu–Al–Ni Alloys: Reference Material for Additive Manufacturing

by
Mikel Pérez-Cerrato
1,
Jose F. Gómez-Cortés
1,
Ernesto Urionabarrenetxea
2,3,
Isabel Ruiz-Larrea
1,
Fernando Carreño
4,
Ízaro Ayesta
5,
María L. Nó
1,
Nerea Burgos
2,3 and
Jose M. San Juan
1,*
1
Department of Physics, Faculty of Science & Technology, University of the Basque Country, UPV/EHU, Apdo. 644, 48080 Bilbao, Spain
2
CEIT-Basque Research & Technology Alliance, BRTA, Manuel Lardizabal 15, 20018 Donostia/San Sebastián, Spain
3
Tecnun, Universidad de Navarra, Manuel Lardizabal 13, 20018 Donostia/San Sebastián, Spain
4
Department of Physical Metallurgy, Centro Nacional de Investigaciones Metalúrgicas (CENIM–CSIC), Avda. Gregorio del Amo 8, 28040 Madrid, Spain
5
Aeronautics Advanced Manufacturing Centre, CFAA, University of the Basque Country, UPV/EHU, 48170 Zamudio, Spain
*
Author to whom correspondence should be addressed.
Materials 2024, 17(24), 6165; https://doi.org/10.3390/ma17246165
Submission received: 15 October 2024 / Revised: 18 November 2024 / Accepted: 23 November 2024 / Published: 17 December 2024
(This article belongs to the Special Issue Advances in Materials Processing (3rd Edition))

Abstract

Shape memory alloys (SMAs) are functional materials with a wide range of applications, from the aerospace sector to the biomedical field. Nowadays, there is a worldwide interest in developing SMAs through powder metallurgy like additive manufacturing (AM), which allows innovative building processes. However, producing SMAs using AM techniques is particularly challenging because of the microstructure required to obtain optimal functional properties. This aspect is critical in the case of Cu–Al–based SMAs, due to their high elastic anisotropy, making them brittle in polycrystalline form. In this work, we approached the processing of a Cu–Al–Ni SMA following a specific powder metallurgy route: gas atomization of a pre-alloyed melt; compaction of the atomized powders through hot isostatic pressing; and a final hot rolling plus thermal treatments. Then, the microstructure of the material was characterized by electron microscopy showing a specific [001] texture in the rolling direction that improved the functional behavior. The successive processing steps produce an increase of about 40 °C in the martensitic transformation temperatures, which can be well controlled and reproduced through the developed methodology. The thermomechanical functional properties of superelasticity and shape memory were evaluated on the final SMA. Outstanding, fully recoverable superelastic behavior of 4.5% in tension, as well as a ±5% full shape memory recovery in bending, were reported for many cycles. These experiments demonstrate the enhanced mechanical and functional properties obtained in polycrystalline Cu–Al–Ni SMAs by powder metallurgy. The present results pave the road for producing this kind of SMA with the new AM technologies, which always produce polycrystalline components and can improve their processes taking the powder metallurgy SMA, here produced, as reference material.

1. Introduction

Additive manufacturing (AM) is the last generation of powder metallurgy (PM) technologies and emerged as a new paradigm in materials processing [1,2,3]. At present, the production of functional materials, such as shape memory alloys (SMA), is a challenge for AM, due to the well-controlled pores-free microstructure required to obtain good and reproducible functional properties. Indeed, the specific SMA thermomechanical properties of shape memory and superelasticity are associated with a diffusionless phase transition between a high-temperature (and high-symmetry) phase called austenite and a low-temperature (and low-symmetry) phase called martensite. This martensitic transformation (MT) is thermoelastic in SMAs and takes place through a reversible shearing of the atomic lattices, which is responsible for a noticeable change in shape that can reach up to 10% recoverable strain in single crystals [4,5]. The direct MT during cooling allows an easy change in shape, which is recovered by heating during the shape memory effect. Alternatively, during the superelastic effect (SE), at constant temperature, the MT is stress-induced by the application of an external stress promoting the lattice shearing and being responsible for a large superelastic strain, which is fully recovered when withdrawing the stress. These two properties allowed the development of a great number of technological applications in many industrial sectors, like robotic, aeronautic, civil engineering, and biomedical, among others [6,7]. However, the atomic shearing associated with the MT generates local strains and the development of a distributed field of experimentally measurable [8,9] internal stresses, which eventually could contribute to fissure propagation and premature fracture around microstructural defects and pores. In recent years, AM has faced this problem in SMAs, and many works have been devoted to optimizing the microstructure of Ni-Ti [10,11,12], Fe-based [13,14,15], and Ni-Mn-based [16,17,18] SMAs as well as Cu–Al–based SMA, which is the subject of our particular interest; a general review on SMAs produced by AM was recently published [19]. The interest in Cu–Al–based SMAs is motivated by different aspects: their capability of working at higher temperatures than the binary NiTi SMA [20,21]; their good behavior at the micro/nano scales in shape memory [22] and superelasticity [23,24], which makes this family of alloys excellent candidates for developing architected SMAs at different dimensional scales [25]; and also their mechanical damping performance [26]. Concerning the AM processing of Cu–Al–based SMA, some pioneering works were approached between 2015 and 2021 [27,28,29,30,31,32], which were focused on the processing parameters and general aspects of AM, including remelting through a double laser pass [30]. Then, a remarkable increase in interest was observed since 2022 in AM of Cu–Al–based SMAs looking for the optimization of the microstructure and mechanical properties [33,34,35,36,37,38,39,40,41]. Nevertheless, in order to establish the relationship between the AM processing parameters and the final functional performance, it is important to have a reference material for comparison. Obviously, this reference should not be the strongly textured polycrystalline wires of NiTi [42], nor the single crystal wires of Cu-based [21] SMAs, for instance, because they exhibit microstructures far different from the ones expected with AM processing. Thus, the reference material for AM performance comparisons should come from previous polycrystalline SMAs produced by PM processing routes.
In this scenario, the goal of the present work is focused on a twofold objective. Initially, the state of the art of the powder metallurgy processing route applied to SMA is overviewed. A historical approach is presented, including the NiTi and Cu–Al–based SMA families, looking for the similarities and the differences. Then, from the lessons learned, a complete powder metallurgy processing route is proposed and experimentally developed. The thermal transformation and the microstructure are characterized, and the functional properties of the processed SMA are studied. The methodology is presented in the next section and in the schema of Figure 1, and it may be advanced that outstanding superelastic and shape memory behaviors were obtained. The final aim of this work is to show that the SMA processed by this PM route could constitute a reference material to evaluate the progress of the AM processing routes.

2. The State of the Art in Powder Metallurgy of Shape Memory Alloys

A general characteristic of SMAs is the strong dependence of the transformation temperatures (Ms-martensite start and Mf-martensite finish during cooling as well as As-austenite start and Af-austenite finish during heating) on the concentration of the solid solution elements of the alloy. Indeed, 1 wt% of Ni in NiTi SMA changes the transformation temperatures between 80 and 120 K [43], and 1 wt% of Al in Cu–Al–Ni SMA changes such temperatures by more than 170 K [44]. Furthermore, oxidation must be well controlled because oxygen will react with Ti (in NiTi) and with Al (in Cu–Al–based), depleting its concentration in solid solution and producing strong deviations in the transformation temperatures [4]. As a consequence, water atomization was soon discarded and the production of the powders was approached by gas atomization; see classic textbooks for a description of this technology [45,46,47]. Nevertheless, the motivations for using the powder metallurgy route instead of the traditional ingot metallurgy route are not the same for each family of SMA. However, these motivations are not described enough in a recent review on general processing methods in SMAs [48], and in this section, the motivation and the development of the powder metallurgy production route in the main SMA will be briefly overviewed.

2.1. Powder Metallurgy of NiTi Alloys

In the case of the Ni-Ti-based SMA families, the powder metallurgy route offered the attractive possibility of producing near-net-shape components to avoid the difficult machining process required in the ingot metallurgy route to obtain bulk components. The driving motivation was the interest in using Ni-Ti SMAs for biomedical applications [49,50]. Historically, due to the limited availability of gas-atomized powders of different Ni-Ti qualities, many works tried to produce bulk materials starting from mixed elemental powders and using several processing technologies, such as self-propagating high-temperature synthesis (SHS) [51,52], spark plasma sintering (SPS) [52,53,54], high-temperature sintering (HTS) [55,56,57], and hot isostatic pressing (HIP) [58,59,60], and in many cases, these techniques were applied to previously mechanically alloyed (MA) elemental powders [61,62,63,64,65,66,67,68]. However, the use of blended elemental powders makes it difficult to obtain a homogeneous microstructure and composition, and consequently, a good and reliable MT, as was already mentioned in early works [61]. Recent works on AM by electron-beam melting (EBM) [69] or by laser powder bed fusion (LPBF) [70] show that the use of elemental blended powders is not a good methodology to produce a functional Ni-Ti SMA. Alternatively, pre-alloyed NiTi powders were used through similar processing techniques like HIP [71,72,73], SPS [74], or even by metal injection molding (MIM) [60,75,76]. Nevertheless, a significant porosity was observed in most cases [77]. The transformation temperatures could be well controlled using these technologies, but the thermomechanical properties of shape memory and superelasticity are not usually reported because they may not exhibit good enough performance in comparison with that produced by the classic ingot metallurgy route [4,5] largely reported in bulk NiTi. Thus, in order to evaluate the progress, the fabrication of NiTi SMA components through AM [10,11,12] must still take as reference the shape memory and superelastic behavior previously obtained through the ingot metallurgy route [42,43].

2.2. Powder Metallurgy of Cu–Al–Based Alloys

In the case of Cu–Al–based SMAs, apart from the interest in producing near-net-shape components, there is another strong motivation for using the powder metallurgy route: to obtain a homogeneous microstructure with a fine grain size or, eventually, slightly textured to minimize the internal stresses between adjacent grains. Indeed, most of Cu–Al–based SMAs are Heusler alloys with a D03 or L21 atomic order exhibiting a high elastic anisotropy, which was observed by tensile tests on differently oriented single crystals of Cu-A-Ni [78] and determined through the measure of the elastic constants [79,80,81], showing an anisotropy factor A = 2·C44/(C11 − C12) ≈ 13; the elastic modulus, for instance, varies one order of magnitude between the [111] and [001] lattice directions. As a consequence, polycrystals of Cu–Al–based SMAs are very brittle, and during the required quenching from the high-temperature solid solution domain of the austenite (usually around 900 °C), the stress concentration at grain boundaries and triple points reaches very high values, producing intergranular fractures [82]. To solve this problem, several solutions were historically proposed to obtain SMAs with good performance. The first obvious solution was to use single crystals exhibiting exceptionally good shape memory and superelastic behavior, which have been studied for years by many research groups [78,83,84,85,86,87,88]. The second solution is looking in the opposite direction, and consists in decreasing the grain size in order to minimize the stress concentration at the grain boundaries. Different grain refiners are being used in Cu–Al–based SMAs, such as B and metallic elements like Ti, Zr, V [89,90,91,92,93], and recently, more exotic elements like Ce [94] and Gd [95]. However, the required solid solution high-temperature thermal treatment entails that the final refining effect is not as good as expected. Another solution to obtain fine-grained polycrystals in the Cu-based SMA was offered by powder metallurgy, and several technical solutions were approached. Many works used elemental powders that were blended by mechanical alloying, MA, followed by different compaction strategies: cold or hot preliminary compaction and a further HTS [96,97,98,99,100,101,102,103], hot sintering plus hot extrusion or rolling [104,105,106,107,108,109,110,111], as well as SPS [112]. Nevertheless, like in the case of Ti-Ni SMAs, the use of elemental powders through MA exhibits a rather high porosity [101] that, in the best of cases, is still about 1% [112]. In general, the use of elemental powders makes the control of the transformation temperatures difficult, and the final mechanical or functional properties are rather poor; in fact, none of the referred works [96,97,98,99,100,101,102,103,104,105,106,107,108,109,110,111,112] reported any superelastic behavior in the produced samples.
In parallel, other works used pre-alloyed powders that, in some cases, were cold compacted, sintered and hot-worked [113,114], or just hot-sintered at high pressure [115], but these preliminary works did not obtain good functional properties. Then, the use of pre-alloyed powders obtained by gas atomization followed by HIP compaction and hot rolling [116] succeeded in obtaining a 4% recoverable shape memory and a 1% fully recovered superelastic effect, which was extended later up to a 4% recoverable superelastic effect [117] with the same powder metallurgy methodology. Further developments by mechanical alloying of pre-alloyed powders of different compositions allowed a precise control of the transformation temperatures [118] and the texture [119]. However, MA introduces many oxide particles [119], and the final functional performances decreased with respect to the HIPed and rolled samples, obtaining a fully recoverable superelastic effect of 2% [120]. Recent works using pre-alloyed powders compacted by hot sintering [121] show that a higher porosity, about 10%, remains after sintering.

2.3. Conclusions from the Review on Powder Metallurgy of SMAs

From the above review of the state of the art in powder metallurgy of shape memory alloys, some lessons can be learned:
  • Powders should be produced by gas atomization.
  • The use of pre-alloyed powders is practically compulsory to obtain the required control and homogeneity of the martensitic transformation temperatures.
  • The best compaction method seems to be hot isostatic pressing (HIP).
  • Hot rolling breaks the oxide film surrounding the powder particles, improving the compaction and the texture of the material.
  • The use of grain refiners in the pre-alloyed powders is recommended in order to avoid a large recrystallization during hot rolling and during the required standard solid solution thermal treatment.
Then, from the lessons learned along the last decades, the PM processing route will be used to develop a polycrystalline Cu–Al–Ni SMA, exhibiting high thermomechanical performance in both shape memory and superelastic effects, which could be taken as reference material for further works in PM and, in particular, in AM of Cu-based SMAs.

3. Materials and Methods

3.1. Experimental Methodology

The procedure developed to produce and characterize the SMA by powder metallurgy is described in Figure 1, which schematically presents the flow of the whole experimental methodology. Initially, the SMA was pre-alloyed and atomized by gas to obtain spherical powders, which were chemically analyzed. The powders were sieved to use the same size fraction (between 15 and 45 μm) usually employed in AM by laser powder bed fusion [1,2,10,11], so that the PM material could be taken as reference for the counterparts produced by AM. Then, the powders were compacted by HIP and further hot-rolled before undergoing the standard thermal treatments for functionalization. During this process, the thermal martensitic transformation was measured to follow the influence of the processing steps on the transformation temperatures. Although the microstructure was also tested along the different steps, special attention was devoted to the microstructure of the final SMA in order to associate it with the thermomechanical functional properties evaluated through superelastic and shape memory experiments.

3.2. Selected Alloy and Powder Preparation

The Cu82.2Al13.3Ni4.5 (wt.%) SMA was selected for the production of the samples, which has a nominal transformation temperature above room temperature [44]. Moreover, the alloy had an extra addition (above the target 100 wt.% composition) of 0.2 wt.% of B and 0.1 wt.% of Zr, which would act as grain refiners to improve the mechanical properties of the final samples. The alloy was produced using high-purity elements, adding the Ni, B, and Zr as master Cu–Ni, Cu–B, and Cu–Zr alloys, respectively, in order to reduce the melting point and, consequently, the losses of Al by evaporation and oxidation during the melting process. The control of the chemical composition of the alloy had to be extremely precise, because the transformation temperatures of this family of SMAs have a great dependence on Al content, producing a decrease of approximately 17 °C per 0.1 wt% of Al [21,44].
The alloyed powder was produced using gas atomization in a research atomization unit PSI model HERMIGA 75/3VI (Phoenix Scientific Industries Ltd., Hailsham, UK) of the CEIT. A description of the equipment is given in a previous work [122]. The whole melting process was performed under a high-purity Ar atmosphere and using Ar as the atomization gas at a pressure between 55 and 60 bars. Once the powders were obtained, the material was sieved to separate particles with grain sizes between 15 and 45 μm so that the powders had sizes similar to the ones used in AM by the laser powder bed fusion (LPBF) technique.

3.3. Chemical and Thermal Powders Characterization

The chemical composition of the atomized powders was measured by inductive coupled plasma optical emission spectroscopy (ICP–OES) in a Varian 725–ES ICP–OES equipment (Agilent Technologies, Santa Clara, CA, USA). Oxygen content was measured with a LECO TC–400, while carbon and sulfur impurities were measured using a LECO CS–200 (LECO Corporation, St. Joseph, MI, USA). The results are presented in Table 1, showing a low content of both O and C and with N and S appearing as residual impurities. Table 1 also shows the exceptionally good control of the composition during the atomization process.
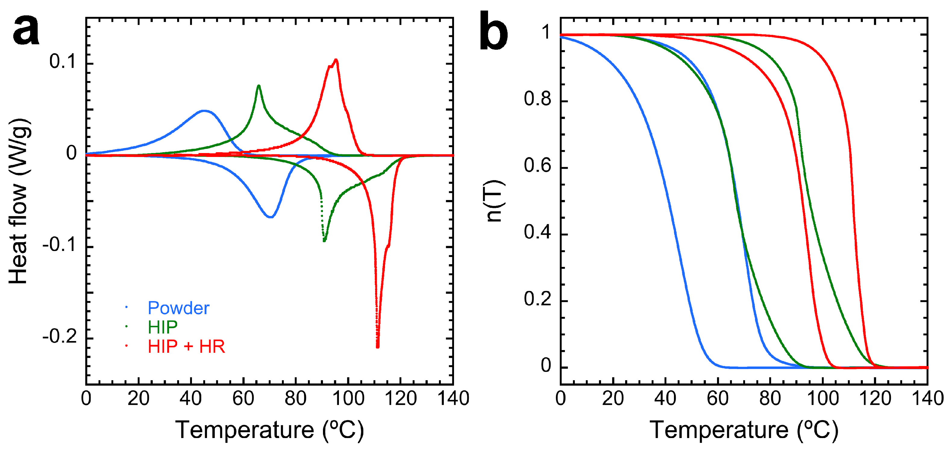
The fast quench during atomization stabilizes the austenite phase at low temperatures, allowing the powders to undergo the MT, because for this composition the alloy is in a martensitic state at room temperature. The thermal transformation was measured by differential scanning calorimetry (DSC) using a Discovery DSC TA 2500 (TA Instruments, New Castle, DE, USA), with a temperature rate of 10 °C/min between a range of –20 and 120 °C, under a N2 atmosphere. Figure 2a shows a scanning electron microscopy (SEM) image of the atomized powders used for the fabrication of the samples. In this image, the presence of the martensites can be observed on the surface of the particles. Then, Figure 2b shows the DSC curve of the MT with the direct transformation on cooling (shown in blue) and the reverse transformation on heating (shown in red).
From the integration of these curves, the transformed martensite fraction n(T) can be derived, as shown in Figure 2c, which depicts the amount of material of each phase (martensite and austenite) that is present at different temperature values. By looking at the n(T) function, the transformation temperatures of the material can be obtained. In this regard, we chose the transformation temperatures as follows: n(T) = 0.02 (2% of martensite in the sample) marks the martensite start (Ms) and austenite finish (Af) temperatures, and n(T) = 0.98 (98% of martensite in the sample) marks the martensite finish (Mf) and austenite start (As) temperatures. By applying these criteria, the transformation temperatures for the Cu–Al–Ni powders are Ms = 57.2 °C, Mf = 6.6 °C, As = 39.0 °C, and Af = 82.6 °C. Additionally, the thermal hysteresis of the MT, ΔT, can be calculated as the difference between the values of n(T) = 0.5, which gives a value for ΔT = 26.4 °C.

3.4. Fabrication of the Powder Metallurgy Samples

The process of obtaining samples from atomized powders began by applying hot isostatic pressing (HIP) to the alloyed powders. The material was set at a temperature of 850 °C and underwent a pressure of 140 MPa for a fixed duration of 2 h. The material after HIP was processed by hot rolling (HR) at the facilities of the CENIM-CSIC. The HIP ingots were cut in plates with an initial thickness of 7.4 mm, which was reduced to 1.1 mm after 30 rolling passes, undergoing a thickness reduction of 6–8% on each rolling step. From these sheets, dog-bone samples for the mechanical tensile tests were cut using wire electrical discharge machining (WEDM) at the facilities of the CFAA in an ONA AV35 machine (ONA EDM S.A., Durango, Spain) under low-energy conditions. After wire cutting, the samples were hand-polished to remove the recast layer generated during the EDM process. An image of the HR samples is presented in Figure 3a, and an example of the final tensile sample in Figure 3b.

3.5. Thermal Treatments

The applied processing method destroys the austenitic phase, as it is not one of the stable phases of the Cu–Al–Ni phase diagram [123], and during the high-temperature processing, the precipitation of the stable phases takes place starting at the grain boundaries [124]. The high-temperature phase, called β3 austenite according to the standard nomenclature [125], is metastable at low temperatures and must be frozen to allow the further martensitic transformation. In order to restore the β3 austenite, a solid solution thermal treatment is required. To perform this treatment, the alloy is heated up to 900 °C inside an Ar atmosphere to prevent oxidation. At these temperatures, the austenite becomes the stable phase, and the rest of the phases dissolve into the austenite matrix. After 30 min to let the material reach equilibrium, the alloy is quenched in iced water, blocking the diffusion processes. Later, the alloy must be aged for 24 h at 180 °C in order to stabilize the atomic order and, therefore, the transformation temperatures [126]. All samples were subjected to this standard thermal treatment. The transformation temperatures and hysteresis were measured via DSC using the same method and equipment described for the atomized powders.

3.6. Microstructural Characterization Techniques

The microstructure of the samples was characterized by optical microscopy with Nomarski interferential contrast in a Leica DMRXA 2 (Leica Microsystems GmbH, Wetzlar, Germany) and in a SEM, FEG JEOL JSM–7000F (JEOL Ltd., Tokyo, Japan). Samples were ground and polished down to a particle size of 0.25 μm. Electron backscatter diffraction (EBSD) was used to identify the martensites using an Oxford-Aztec system (Oxford Instruments plc., Abingdon, UK). As the studied SMA has transformation temperatures above room temperature, see Figure 2, in order to characterize the texture of the austenite grains, it was necessary to heat the sample above the Af to revert the MT. Then, an EBSD in situ SEM experiment was performed by heating up to 145 °C, using the heating–cooling stage Gatan C1003 (Gatan Inc, from AMETEK Inc. group, Berwyn, PA, USA), allowing the characterization and texture analysis of the austenite grains. In all cases, the EBSD study was performed at 20 KV, 2 nA, 70° tilt, and 13.6 mm of working distance.

3.7. Thermomechanical Tests

The mechanical tests to study the superelastic behavior were performed in an Instron 4467 inside the Instron 3119–006 thermal chamber (Instron, Norwood, MA, USA). The strain was measured with an extensometer Instron of 10 mm gauge length. This setup allowed for the measurement of the SE at different temperatures to obtain a wide range of data in order to determine the Clausius–Clapeyron coefficient. A sample of dimensions 82 × 5 × 1 mm3 was cut from the same rolled plate shown in Figure 3a to evaluate the shape memory behavior. After the standard thermal treatment, the sample was heated at 135 °C to transform into austenite, and a three-point bending force was applied at this temperature. Then, while maintaining the bending force, the material was cooled down to martensite. This way, the material was deformed to a specific radius with respect to the axis of the plate. Finally, the material was heated with hot air to induce the reverse MT, studying the recovery strain due to the shape memory effect.

4. Results and Discussion

4.1. Microstructural Characterization

The obtained microstructure for the alloy is presented in Figure 4. Figure 4a depicts the state of the material after the HIP process, showing that the grains have a mean size smaller than 30 μm. From the optical image presented in Figure 4b for the material after the HR, it can be observed that the grains are no longer spherical and tend to elongate along the direction of the lamination process, exhibiting a noticeable growth, with sizes between 40 and 500 μm, that can be attributed to the dynamic recrystallization during hot rolling. On the other hand, even though the atomization of the powders takes place under an Ar atmosphere, the formation of a thin layer of oxide on the surface of the powder is inevitable. For this reason, when the particles are compacted during the HIP process, these oxides are trapped inside the material. Later, during the HR process, these layers of oxides are broken and distribute through the material as thin lines inside the material aligned along the rolling direction. Actually, this effect can be observed with backscattered electrons (BSEs) in SEM as in Figure 4c,d. However, these inclusions do not hinder completely the recrystallization processes or the evolution of the martensite plates during the martensitic transformation [120]. As an inconvenience, the sample also presents a certain amount of precipitate caused by the presence of the Zr grain refiner, which is depleted from the solid solution during the high-temperature processing by HIP and hot rolling and eventually coalesces during the further thermal treatments. Along the work, we realize that whereas the B seems to be a good grain refiner, in agreement with previous works [90,91], the Zr loses the refining performance during the processing at high temperatures between 850 and 900 °C, as will be shown through the EBSD patterns.
The EBSD measurements performed on the HR sample, see Figure 4b, show that the material is fully transformed into martensite at room temperature, and the EBSD maps show that all variants are indexed as the monoclinic β’3 martensitic phase (C2/m) (with a = 1.3817 nm, b = 0.52856 nm, c = 0.43987 nm, β = 113.6°) [127]. As an example, the EBSD map of Figure 5a presents the different martensite variants, and the black lines indicate two grain boundaries with more than 10 degrees of disorientation. The martensites form self-accommodated groups of four variants, whose orientations and orientation relationships (ORs) are determined by the EBSD indexations. The different colors of the martensite variants (gray, purple, pink, and green) correspond to the orientations given by the three Euler angles. The colors of the interfaces in Figure 5a correspond to the different twin boundaries, twin I and twin II, and the twin compounds. In Figure 5b, the orientation relationships of the unit cells are represented in the same colors of the map in the biggest grain of Figure 5a. These martensite variants accommodate according to three different twinning types that are indicated by arrows in the schema of Figure 5b in agreement with a previous description [128]; the special boundaries in between the variants and their percentages are also indicated in Figure 5a.
Once the material was characterized at room temperature and the martensites were identified, the sample was heated in situ inside the SEM using the heating stage to retransform the material to austenite and stabilize the temperature at 145 °C. This way, the austenite grains were studied by EBSD in many points of the HR plate. Figure 6a shows one of these images with the X axis on the rolling direction and the Z axis perpendicular to the paper. We can see very few grains, because in spite of the use of grain refiners, the hot rolling at 850 °C produced a dynamic recrystallization. In fact, we realized that at so high a temperature, the Zr agglomerates in small precipitates, losing or decreasing its performance as a grain refiner. Nevertheless, the grains become strongly textured with a preferential orientation of the [001] crystallographic direction in the rolling direction, as evidenced in the left side of the inverse pole figure in Figure 6b, and a preferential [101] direction on the Z axis, which is perpendicular to the rolling plane, as shown in the right inverse pole figure of Figure 6b. The analysis of the grain boundaries disorientation presented in Figure 6c shows that the grain boundaries drawn in black in Figure 6a have a main disorientation of about 30 to 40 degrees. However, the histogram shows that there is an extremely high density of low-angle disorientation sub-boundaries below 10 degrees, which are not plotted in Figure 6a for clarity because they really fill the image.
The same results were obtained in several fields of observation, and it can be concluded that there is a clear texture on Cu–Al–Ni SMAs processed through the proposed powder metallurgy route that was not previously reported. This texture could have an influence on the thermomechanical properties of these SMAs, because in Cu–Al–Ni single crystals, the higher transformation strain is measured for the [001] crystalline orientation [21,78].

4.2. Thermal Characterization

The thermal transformation of the Cu–Al–Ni sample is depicted in Figure 7. Figure 7a gathers the DSC curves of the atomized powders, the HIPed alloy, and the final HR sample. From these curves, the transformed martensite fraction (Figure 7b) is calculated to obtain the transformation temperatures, which are presented in Table 2. From these results, some important information can be derived. A noteworthy shift to higher temperatures is clearly observed in the processed samples compared with the original powders. It is a general observation performed in Cu-based SMAs produced by powder metallurgy [96,97,98], and the explanation is associated with the influence of the internal stresses on the martensitic transformation. The powder particles solidify in a very relaxed condition, even with a high cooling rate, because of the large free surface with respect to the volume, and consequently, the MT takes place in a low-stress condition. This means that the MT is dominated by the thermal transformation, taking place at lower temperatures. However, both the HIP and the HR processes induce high stress levels over the material, producing a shift in the transformation to higher temperatures. The influence of the internal stresses and their relaxation on the MT in Cu–Al–Ni alloys was quantified through adiabatic calorimetry and neutron diffraction [8,9].

4.3. Functional Behavior

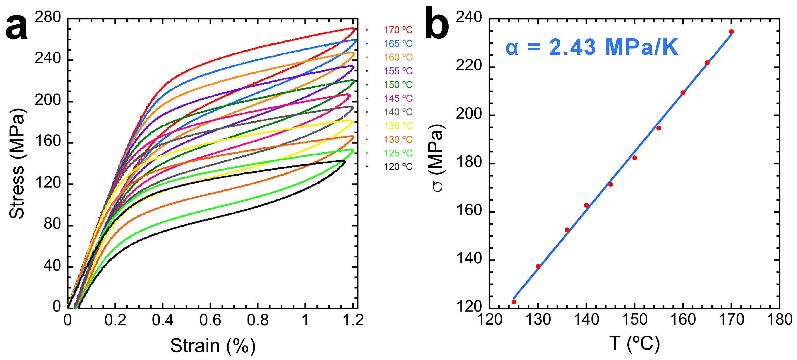
The thermomechanical properties of the SMA have been studied through tensile experiments of the SE. For the mechanical properties of the HR samples, a 4.75% recoverable strain was achieved in tension tests, as shown in Figure 8, with less than a 0.1% residual deformation. These measurements of the SE were conducted at 135 °C, a temperature value above Af, to ensure that the sample was completely in austenite. These results show an improved superelastic behavior in comparison with previous results in samples of the same family [117], exhibiting higher critical stresses as well as slightly higher maximum recoverable superelastic strain. This last result could be attributed to the preferential [001] texture obtained in the rolling direction, which is the tensile direction of the tested sample.
In Figure 9a, the evolution of the superelastic cycle is studied as a function of the experimental temperature. All cycles were carried out for a 1.2% maximum strain value. As the temperature increases, so does the critical stress σc for the stress-induced martensitic transformation. In single-crystal samples, this value can be clearly determined as the change in the slope is very steep. However, due to the high anisotropy of Cu–Al–Ni SMA [79,80,81], in the produced polycrystalline samples, each orientation presents a different value for σc. For this reason, we observe a curve with an almost constant hardening as the transformation progresses.
In the present case, the numerical value for σc was determined by calculating the cut point between the straight line that arises by extrapolating the elastic stress–strain curve and the tangent straight line obtained from the plateau of the stress-induced MT. Furthermore, the evolution of σc on temperature is a very interesting property of thermoelastic SMA, commonly referred to as the Clausius–Clapeyron coefficient, α. This linear relationship can be fitted using the results of the experiments at different temperatures, giving a value of α = 2.43 MPa/K, represented in Figure 9b. This result of the Clausius–Clapeyron coefficient is very similar to, although slightly higher than, other results obtained for single crystals of alloys with similar compositions [21]. However, it is worthy of remark the fact that the hardening slope of the superelastic curve is not as high as could be expected for a polycrystal, and it could be also attributed to the [001] preferential texture in the rolling direction being also the one of the tensile tests.
Additionally, a shape memory effect experiment was conducted using the laminated HR sample. The sample, indicated in Section 3.5, was deformed to a radius of 10 mm, corresponding up to ±5% strain with respect to the axis of the plate, as shown in the left image of Figure 10. Then, the material was heated with hot air to induce the reverse MT to austenite, recovering the 5% induced strain by the shape memory effect. The evolution of the reverse MT during the shape memory effect can be appreciated in the sequences of images in Figure 10. The experiment was repeated more than ten times with an exceptional reproducibility. The sequence of the shape memory recovery was recorded and is presented in Supplementary Video S1.
It is worthy of remark that the presented series of superelastic and shape memory results was obtained on polycrystalline materials of a Cu–Al–based SMA, which traditionally are considered as brittle alloys. This means that this powder metallurgy processing route allows overcoming such drawbacks and offers the possibility of taking the obtained performance of this PM SMA as reference material for the additive manufacturing processing methods producing Cu–Al-based polycrystalline SMAs. This will be particularly relevant because in the case of SMAs, their performance should be analyzed in terms of their functional properties.

5. Conclusions

In the present work, the complete processing route of a Cu-13.3Al-4.5Ni (wt%) shape memory alloy was approached from the powder production by gas atomization to the final processing through hot isostatic pressing and hot rolling. The alloy was designed to exhibit the martensitic transformation above room temperature. The martensitic transformation and the microstructure of the samples were studied alongside the production process, mentioning the heat treatments needed for the functionalization of the material. From the data extracted from the presented results, the conclusions can be summarized as follows:
  • The presented powder metallurgy processing route based on pre-alloying before gas atomization, compaction by hot isostatic pressing (HIP), and hot rolling through small rolling steps, was revealed as an optimal process to improve the functional behavior of the alloy.
  • Once the functionalization thermal treatments were applied to the material, the processed Cu–Al–Ni samples exhibited a highly reproducible martensitic transformation with a low hysteresis associated with the β’3 martensite.
  • Even though polycrystalline Cu–Al–Ni SMAs tend to be fragile, the presented powder metallurgy processing route allowed obtaining samples with a specific [001] texture that contributed to their good functional properties.
  • An impressive recoverable 4.75% superelastic deformation can be achieved in tensile experiments, as well as a ±5% fully recoverable shape memory effect, which was tested in bending.
  • These outstanding results in polycrystalline Cu–Al–Ni SMAs pave the road for further advanced works and applications of these types of polycrystalline materials.
The present results validate the technique of powder metallurgy for Cu–Al–Ni SMAs and, in general, for any Cu–Al–based SMA, offering good functional performance that could be competitive with single crystals of similar alloys in applications where the maximum strain remains moderate. For this reason, we conclude that powder metallurgy can be an accessible technique for the design and fabrication of SMA components. The ability to modify and improve the microstructure and, therefore, the properties of the material with post-processing methods could be an advantage over the components processed by additive manufacturing. However, additive manufacturing techniques, like LPBF, EBM, or LMD, are producing polycrystalline near-net-shape components, and although such techniques have more limited post-processing capabilities, they could take the present powder metallurgy-produced material as a reference for the functional performances that could be obtained in polycrystalline SMAs produced by AM.

Supplementary Materials

The following supporting information can be downloaded at: https://www.mdpi.com/article/10.3390/ma17246165/s1. Video S1: Shape memory recovery of the sample produced by powder metallurgy.

Author Contributions

Conceptualization, M.P.-C., M.L.N., N.B. and J.M.S.J.; methodology, M.P.-C., E.U., M.L.N., N.B. and J.M.S.J.; investigation, M.P.-C., J.F.G.-C., E.U., I.R.-L., F.C., Í.A., M.L.N., N.B. and J.M.S.J.; resources, E.U., M.L.N., N.B. and J.M.S.J.; writing—original draft preparation, M.P.-C. and J.M.S.J.; writing—review and editing, M.P.-C., J.F.G.-C., E.U., I.R.-L., F.C., Í.A., M.L.N., N.B. and J.M.S.J.; supervision, M.L.N., N.B. and J.M.S.J.; funding acquisition, M.L.N., N.B. and J.M.S.J. All authors have read and agreed to the published version of the manuscript.

Funding

This research was supported by the Industry Department of the Basque Government through the ELKARTEK-ATLANTIS (KK-2024/00061) project, by the Spanish Ministry of Science and Innovation through the Projects PID2021-122160NB-I00 and PID2020-118626RB-I00, and from the GIU-21/024 from the University of the Basque Country UPV/EHU. This work made use of the electron microscopy facilities of the SGIKER from the UPV/EHU. M. Pérez-Cerrato acknowledges the Pre-Doctoral grant (PRE_2019_2_0268) from the Education Department of the Basque Country. J.F. Gómez-Cortés thanks the Post-Doctoral Grant (ESPDOC18/37) from the UPV/EHU.

Data Availability Statement

The original contributions presented in the study are included in the article/Supplementary Material, further inquiries can be directed to the corresponding author.

Conflicts of Interest

The authors declare no conflicts of interest.

References

  1. Herzog, D.; Seyda, V.; Wycisk, E.; Emmelmann, C. Additive manufacturing of metals. Acta Mater. 2016, 117, 371–392. [Google Scholar] [CrossRef]
  2. Milewski, J.O. Additive Manufacturing of Metals; Springer: Cham, Switzerland, 2017; ISBN 978-3-319-58204-7. [Google Scholar]
  3. DebRoy, T.; Wei, H.L.; Zuback, J.S.; Mukherjee, T.; Elmer, J.W.; Milewski, J.O.; Beese, A.M.; Wilson-Heid, A.; De, A.; Zhang, W. Additive manufacturing of metallic components—Process, structure and properties. Prog. Mater. Sci. 2018, 92, 112–224. [Google Scholar] [CrossRef]
  4. Otsuka, K.; Wayman, C.M. Shape Memory Materials; Cambridge University Press: Cambridge, UK, 1998; ISBN 052144487X. [Google Scholar]
  5. Yamauchi, K.; Ohkata, I.; Tsuchiya, K.; Miyazaki, S. Shape Memory and Superelastic Alloys; Woodhead Publishing: Cambridge, UK, 2011; ISBN 9780081017012. [Google Scholar]
  6. Jani, J.M.; Leary, M.; Subic, A.M.; Gibson, A. A review of shape memory alloy research, applications and opportunities. Mater Design 2014, 56, 1078–1113. [Google Scholar] [CrossRef]
  7. Costanza, G.; Tata, M.E. Shape Memory Alloys for Aerospace, Recent Developments, and New Applications: A Short Review. Materials 2020, 13, 1856. [Google Scholar] [CrossRef]
  8. Rodríguez-Aseguinolaza, J.; Ruiz-Larrea, I.; Nó, M.L.; López-Echarri, A.; San Juan, J. A new quantitative approach to the thermoelastic martensitic transformation: The density of elastic states. Acta Mater. 2008, 56, 6283–6290. [Google Scholar] [CrossRef]
  9. Ruiz-Larrea, I.; López-Echarri, A.; Gómez-Cortés, J.F.; Nó, M.L.; Brown, D.W.; Balogh, L.; Breczewski, T.; San Juan, J. Strain relaxation in Cu–Al–Ni shape memory alloys studied by in situ neutron diffraction experiments. J. Appl. Phys. 2019, 125, 082536. [Google Scholar] [CrossRef]
  10. Elahinia, M.; Moghaddam, N.S.; Andani, M.T.; Amerinatanzi, A.; Bimber, B.A.; Hamilton, R.F. Fabrication of NiTi through additive manufacturing: A review. Prog. Mater. Sci. 2016, 83, 630–663. [Google Scholar] [CrossRef]
  11. Van Humbeeck, J. Additive Manufacturing of Shape Memory Alloys. Shape Mem. Superelasticity 2018, 4, 309–312. [Google Scholar] [CrossRef]
  12. Xue, L.; Atli, K.C.; Zhang, C.; Hite, N.; Srivastava, A.; Leff, A.C.; Wilson, A.A.; Sharar, D.J.; Elvany, A.; Arroyave, R.; et al. Laser Powder Bed Fusion of defect-free NiTi shape memory alloy parts with superior tensile superelasticity. Acta Mater. 2022, 229, 117781. [Google Scholar] [CrossRef]
  13. Ferretto, I.; Kim, D.; Della-Ventura, N.M.; Shahverdi, M.; Lee, W.; Leinenbach, C. Laser powder bed fusion of a Fe–Mn–Si shape memory alloy. Add. Manuf. 2021, 46, 102071. [Google Scholar] [CrossRef]
  14. Ferretto, I.; Borzi, À.; Kim, D.; Della Ventura, N.M.; Hosseini, E.; Lee, W.J.; Leinenbach, C. Control of microstructure and shape memory properties of a Fe-Mn-Si-based shape memory alloy during laser powder bed fusion. Add. Manuf. Lett. 2022, 3, 100091. [Google Scholar] [CrossRef]
  15. Del-Río, L.; Nó, M.L.; Gómez, R.; García-Sesma, L.; Urionabarrenetxea, E.; Ortega, P.; Mancisidor, A.M.; San Sebastian, M.; Burgos, N.; San Juan, J.M. Additive Manufacturing of Fe-Mn-Si-based Shape Memory Alloys: State of the Art, Challenges and Opportunities. Materials 2023, 16, 7517. [Google Scholar] [CrossRef] [PubMed]
  16. Nilsén, F.; Ituarte, I.F.; Salmi, M.; Partanen, J.; Hannula, S.-P. Effect of process parameters on non-modulated Ni-Mn-Ga alloy manufactured using powder bed fusion. Addit. Manuf. 2019, 28, 464–474. [Google Scholar] [CrossRef]
  17. Laitinen, V.; Sozinov, A.; Saren, A.; Salminen, A.; Ullakko, K. Laser powder bed fusion of Ni-Mn-Ga magnetic shape memory alloy. Addit. Manuf. 2019, 30, 100891. [Google Scholar] [CrossRef]
  18. Rittinghaus, S.-K.; Shokri, H.; Shkodich, N.; Bruder, E.; Farle, M.; Gökce, B. Comparative insights into microstructure and magnetism of Ni-Mn-Sn Heusler alloys manufactured by electron beam and laser beam powder bed fusion. Addit. Manuf. Let. 2023, 7, 100159. [Google Scholar] [CrossRef]
  19. Alagha, A.N.; Hussain, S.; Zaki, W. Additive manufacturing of shape memory alloys: A review with emphasis on powder bed systems. Mater. Des. 2021, 204, 109654. [Google Scholar] [CrossRef]
  20. Ma, J.; Karaman, I.; Noebe, R.D. High temperature shape memory alloys. Inter. Mater. Rev. 2010, 55, 257–315. [Google Scholar] [CrossRef]
  21. López-Ferreño, I.; Gómez-Cortés, J.F.; Breczewski, T.; Ruiz-Larrea, I.; Nó, M.L.; San Juan, J.M. High-temperature shape memory alloys based on the Cu–Al–Ni system: Design and thermomechanical characterization. J. Mater. Res. Technol. 2020, 9, 9972–9984. [Google Scholar] [CrossRef]
  22. San Juan, J.; Nó, M.L.; Schuh, C.A. Thermomechanical behavior at the nanoscale and size effects in shape memory alloys. J. Mater. Res. 2011, 26, 2461–2469. [Google Scholar] [CrossRef]
  23. Gómez-Cortés, J.F.; Nó, M.L.; López-Ferreño, I.; Hernandez-Saz, J.; Molina, S.I.; Chuvilin, A.; San Juan, J.M. Size effect and scaling power-law for superelasticity in shape-memory alloys at the nanoscale. Nat. Nanotechnol. 2017, 12, 790–796. [Google Scholar] [CrossRef] [PubMed]
  24. Karami, M.; Chen, X. Nanomechanics of shape memory alloys. Mater. Today Adv. 2021, 10, 100141. [Google Scholar] [CrossRef]
  25. Mehrpouya, M.; Biffi, C.A.; Lemke, J.N.; Bregoli, C.; Fiocchi, J.; Mohajerani, S.; Tuissi, A.; Elahinia, M. Additive manufacturing of architected shape memory alloys: A review. Virtual Phys. Prot. 2024, 19, e2414395. [Google Scholar] [CrossRef]
  26. Yang, L.; Jiang, X.; Sun, H.; Shao, Z.; Fang, Y.; Shu, R. Effects of alloying, heat treatment and nanoreinforcement on mechanical properties and damping performances of Cu–Al–based alloys: A review. Nanotechnol. Rev. 2021, 10, 1560–1591. [Google Scholar] [CrossRef]
  27. Gargarella, P.; Kiminami, C.S.; Mazzer, E.M.; Cava, R.D.; Basilio, L.A.; Bolfarini, C.; Botta, W.J.; Eckert, J.; Gustmann, T.; Pauly, S. Phase Formation, Thermal Stability and Mechanical Properties of a Cu–Al–Ni-Mn Shape Memory Alloy Prepared by Selective Laser Melting. Mater. Res. 2015, 18, 35–38. [Google Scholar] [CrossRef]
  28. Gustmann, T.; Neves, A.; Kühn, U.; Gargarella, P.; Kiminami, C.S.; Bolfarini, C.; Eckert, J.; Pauly, S. Influence of processing parameters on the fabrication of a Cu–Al–Ni-Mn shape-memory alloy by selective laser melting. Addit. Manuf. 2016, 11, 23–31. [Google Scholar] [CrossRef]
  29. Gustmann, T.; dos Santos, J.M.; Gargarella, P.; Kühn, U.; Van Humbeeck, J.; Pauly, S. Properties of Cu-Based Shape-Memory Alloys Prepared by Selective Laser Melting. Shape Mem. Superelasticity 2017, 3, 24–36. [Google Scholar] [CrossRef]
  30. Gustmann, T.; Schwab, H.; Kühn, U.; Pauly, S. Selective laser remelting of an additively manufactured Cu–Al–Ni-Mn shape-memory alloy. Mater. Des. 2018, 153, 129–138. [Google Scholar] [CrossRef]
  31. Tian, J.; Zhu, W.; Wei, Q.; Wen, S.; Li, S.; Song, B.; Shi, Y. Process optimization, microstructures and mechanical properties of a Cu-based shape memory alloy fabricated by selective laser melting. J. Alloys Comp. 2019, 785, 754–764. [Google Scholar] [CrossRef]
  32. Babacan, N.; Pauly, S.; Gustmann, T. Laser powder bed fusion of a superelastic Cu-Al-Mn shape memory alloy. Mater. Des. 2021, 203, 109625. [Google Scholar] [CrossRef]
  33. Pérez-Cerrato, M.; Fraile, I.; Gómez-Cortés, J.F.; Urionabarrenetxea, E.; Ruiz-Larrea, I.; Gonzalez, I.; Nó, M.L.; Burgos, N.; San Juan, J.M. Designing for Shape Memory in Additive Manufacturing of Cu–Al–Ni Shape Memory Alloy Processed by Laser Powder Bed Fusion. Materials 2022, 15, 6284. [Google Scholar] [CrossRef] [PubMed]
  34. Babacan, N.; Pilz, S.; Pauly, S.; Hufenbach, J.; Gustmann, T. Tailoring the superelastic properties of an additively manufactured Cu–Al–Mn shape memory alloy via adjusting the scanning strategy. Mater. Sci. Eng. A 2023, 862, 144412. [Google Scholar] [CrossRef]
  35. Zhang, Y.; Xu, L.; Zhao, L.; Lin, D.; Liu, M.; Qi, X.; Han, Y. Process-microstructure-properties of CuAlNi shape memory alloys fabricated by laser powder bed fusion. J. Mater. Sci. Technol. 2023, 152, 1–15. [Google Scholar] [CrossRef]
  36. Gao, Y.; Jian, Z.; Wang, B.; Zhang, Z.; Jian, J.; Gao, Q. 4D forming shape memory component of Cu-13Al-5Fe alloy based on laser powder bed fusion of metal powders. Mater. Sci. Eng. A 2023, 866, 144693. [Google Scholar] [CrossRef]
  37. Zhang, Y.; Xu, L.; Zhao, L.; Lin, D.; Liu, M.; Chen, W.; Han, Y. Deformation mechanism of Cu–Al–Ni shape memory alloys fabricated via laser powder bed fusion: Tension-compression asymmetry. J. Mater. Sci. Technol. 2023, 167, 14–26. [Google Scholar] [CrossRef]
  38. Babacan, N.; Pilz, S.; Hufenbach, J.; Gustmann, T. Effects of Remelting on the Properties of a superelastic Cu-Al-Mn Shape Memory Alloy Fabricated by Laser Powder Bed Fusion. Shape Mem. Superelasticity 2023, 9, 447–459. [Google Scholar] [CrossRef]
  39. Dang, M.; Xiang, H.; Li, J.; Cai, C.; Wei, Q. Laser powder bed fusion of full martensite Cu-Al-Mn-Ti alloy with good superelasticity and shape memory effect. Mater. Sci. Eng. A 2023, 884, 145475. [Google Scholar] [CrossRef]
  40. Gao, Y.; Jian, Z.; Wang, B. Effect of laser power on the microstructure, shape memory effect and mechanical properties of Cu-13Al-5Fe high temperature shape memory alloy by laser powder bed fusion. Appl. Phys. A Mater. Sci. Proc. 2023, 129, 836. [Google Scholar] [CrossRef]
  41. Xu, D.; Wang, H.; Yuan, X.; Sun, H.; Feng, J. Comparison of shape memory properties between Cu-12.5Al-3Mn and Cu-12.5Al-3Mn-1Ni produced by additive manufacturing technology. J. Mater. Res. Technol. 2023, 26, 4070–4077. [Google Scholar] [CrossRef]
  42. Otsuka, K.; Ren, X. Physical Metallurgy of Ti-Ni-based shape memory alloys. Prog. Mater. Sci. 2005, 50, 511–678. [Google Scholar] [CrossRef]
  43. Frenzel, J.; George, E.P.; Dlouhy, A.; Somsen, C.; Wagner, M.F.X.; Eggeler, G. Influence of Ni on martensitic phase transformations in NiTi shape memory alloys. Acta Mater. 2010, 58, 3444–3458. [Google Scholar] [CrossRef]
  44. Recarte, V.; Pérez-Sáez, R.B.; Bocanegra, E.H.; Nó, M.L.; San Juan, J. Dependence of the martensitic transformation characteristics on concentration on Cu–Al–Ni shape memory alloys. Mater. Sci. Eng. A 1999, 273–275, 380–384. [Google Scholar] [CrossRef]
  45. Lawley, A. Atomization: The Production of Metal Powders; MPIF: Princeton, NJ, USA, 1992. [Google Scholar]
  46. Yule, A.J.; Dunkey, J.J. Atomization of Melts for Powder Production and Spray Deposition; Oxford University Press: Oxford, UK, 1994. [Google Scholar]
  47. German, R.M. Powder Metallurgy and Particulate Materials Processing; MPIF: Princeton, NJ, USA, 2005. [Google Scholar]
  48. Mehta, A.; Singh, G.; Vasudev, H. Processing of shape memory alloys research, applications and opportunities: A review. Phys. Scr. 2024, 99, 062006. [Google Scholar] [CrossRef]
  49. Elahinia, M.H.; Hashemi, M.; Tabesh, M. Manufacturing and processing of NiTi implants: A review. Prog. Mater. Sci. 2012, 57, 911–946. [Google Scholar] [CrossRef]
  50. Li, Y.; Yang, C.; Zhao, H.; Qu, S.; Li, X.; Li, Y. New Developments of Ti-Based Alloys for Biomedical Applications. Materials 2014, 7, 1709–1800. [Google Scholar] [CrossRef] [PubMed]
  51. Yi, H.C.; Moore, J.J. SHS synthesized Ni-Ti based shape memory alloys for both low- and high-temperature applications. J. Mater. Sci. Lett. 1989, 8, 1182–1184. [Google Scholar] [CrossRef]
  52. Salvetr, P.; Kubatik, T.F.; Pignol, D.; Novak, P. Fabrication of Ni-Ti Alloy by Self-Propagating High-Temperature Synthesis and Spark Plasma Sintering Technique. Met. Mater. Trans. B 2017, 48, 772–778. [Google Scholar] [CrossRef]
  53. Soba, R.; Tanabe, Y.; Yonezawa, T.; Umeda, J.; Kondoh, K. Microstructure and Mechanical Properties of Shape Memory Alloys Using Pre-Mixed TiNi Powders with TiO2 Particles. Mater. Trans. 2018, 59, 117–122. [Google Scholar] [CrossRef]
  54. Soba, R.; Tanabe, Y.; Yonezawa, T.; Umeda, J.; Kondoh, K. Effect of Shape Memory Heat Treatment on Microstructure and Mechanical Properties of Powder Metallurgy TiNi Shape Memory Alloy. Mater. Trans. 2018, 59, 805–810. [Google Scholar] [CrossRef]
  55. Monastyrsky, G.E.; Odnosum, V.; Van Humbeeck, J.; Kolomytsev, V.I.; Koval, Y.N. Powder metallurgical processing of Ni-Ti-Zr alloys undergoing martensitic transformation: Part I. Intermetallics 2002, 10, 95–103. [Google Scholar] [CrossRef]
  56. Goryczka, T.; Van Humbeeck, J. NiTiCu shape memory alloy produced by powder technology. J. Alloys Comp. 2008, 456, 194–200. [Google Scholar] [CrossRef]
  57. Parida, J.; Mishra, S.C.; Marupalli, B.C.G.; Behera, A. Fabrication of nickel-titanium-iron shape memory alloys by powder metallurgy route and analyses of their physical and mechanical behavior. Powder Metall. 2023, 66, 557–570. [Google Scholar] [CrossRef]
  58. McNeese, M.D.; Lagoudas, D.; Pollock, T.C. Processing from elemental powders by hot isostatic pressing. Mater. Sci. Eng. A 2000, 280, 334–348. [Google Scholar] [CrossRef]
  59. Bram, M.; Ahmad-Khanlou, A.; Heckmann, A.; Fuchs, B.; Buchkremer, H.P.; Stöver, D. Powder metallurgical fabrication processes for NiTi shape memory alloy parts. Mater. Sci. Eng. A 2002, 337, 254–263. [Google Scholar] [CrossRef]
  60. Krone, L.; Schüller, E.; Bram, M.; Hamed, O.; Buchkremer, H.P.; Stöver, D. Mechanical behaviour of NiTi parts prepared by poder metallurgical methods. Mater. Sci. Eng. A 2004, 378, 185–190. [Google Scholar] [CrossRef]
  61. Morris, D.G.; Morris, M.A. NiTi intermetallic by mixing, milling and interdiffusion elemental components. Mater. Sci. Eng. A 1989, 110, 139–149. [Google Scholar] [CrossRef]
  62. Terayama, A.; Nagai, K.; Kyogoku, H. Fabrication of Ti-Ni-Zr shape memory alloy by P/M process. Mater. Trans. 2009, 50, 2446–2450. [Google Scholar] [CrossRef]
  63. Terayama, A.; Kyogoku, H. Shape memory characteristics of the P/M-processed Ti-Ni-Cu alloys. Mater. Sci. Eng. A 2010, 527, 5484–5491. [Google Scholar] [CrossRef]
  64. Valeanu, M.; Lucaci, M.; Crisan, A.D.; Sofronie, M.; Leonat, L.; Kuncser, V. Martensitic transformation of Ti50Ni30Cu20 alloy prepared by poder metallurgy. J. Alloys Comp. 2011, 509, 4495–4498. [Google Scholar] [CrossRef]
  65. Novák, P.; Moravec, H.; Salvetr, P.; Prusa, F.; Drahokoupil, J.; Kopecek, J.; Karlík, M.; Kubatík, T.F. Preparation of nitinol by non-conventional powder metallurgy techniques. Mater. Sci. Technol. 2016, 31, 1886–1893. [Google Scholar] [CrossRef]
  66. Goryczka, T.; Salwa, P.; Zubko, M. High-Energy Ball Milling Conditions in Formation of NiTiCu Shape Memory Alloys. Microsc. Microanal. 2022, 28, 939–945. [Google Scholar] [CrossRef]
  67. Parida, J.; Mishra, S.C.; Behera, A. Microstructure and Mechanical Properties of Ti50Ni(50−X)FeX Alloys Fabricated by Powder Metallurgy Process. Metall. Mater. Trans. A 2023, 54, 2585–2604. [Google Scholar] [CrossRef]
  68. Parida, J.; Mishra, S.C.; Behera, A. Synthesis and Characterization of Ti50Ni(50−X)FeX Alloy Produced by Mechanical Alloying and Pressure-Less Sintering. Metals Mater. Int. 2023, 29, 1145–1164. [Google Scholar] [CrossRef]
  69. Wang, C.; Tan, X.P.; Du, Z.; Chandra, S.; Sun, Z.; Lim, C.W.J.; Tor, S.B.; Lim, C.S.; Wong, C.H. Additive manufacturing of NiTi shape memory alloys using pre-mixed powders. J. Mater. Process. Technol. 2019, 271, 152–161. [Google Scholar] [CrossRef]
  70. Chmielewska, A.; Wysocki, B.; Kwasniak, P.; Kruszewski, M.J.; Michalski, B.; Zielinska, A.; Adamczyk-Cieslak, B.; Krawczybska, A.; Buhagiar, J.; Swieszkowski, W. Heat Treatment of NiTi Alloys Fabricated Using Laser Powder Bed Fusion (LPBF) from Elementally Blended Powders. Materials 2022, 15, 3304. [Google Scholar] [CrossRef]
  71. Wei, Z.G.; Tang, C.Y.; Lee, W.B.; Cui, L.S.; Yang, D.Z. Preparation of Smart composite material with TiNiCu shape memory particulates in an aluminium matrix. Mater. Let. 1997, 32, 313–317. [Google Scholar] [CrossRef]
  72. Mentz, J.; Bram, M.; Buchkremer, H.P.; Stöver, D. Influence of heat treatments on the mechanical properties of high-quality Ni-rich NiTi produced by powder metallurgical methods. Mater. Sci. Eng. A 2008, 481–482, 630–634. [Google Scholar] [CrossRef]
  73. Mentz, J.; Frenzel, J.; Wagner, M.F.X.; Neuking, K.; Eggeler, G.; Buchkremer, H.P.; Stöver, D. Powder metallurgical processing of NiTi shape memory alloys with elevated transformation temperatures. Mater. Sci. Eng. A 2008, 491, 270–278. [Google Scholar] [CrossRef]
  74. Kim, Y.W.; Chung, Y.S.; Choi, E.; Nam, T.H. Microstructure and shape memory characteristics of Powder–Metallurgical-Processing Ti-Ni-Cu Alloys. Metall. Mater. Trans. A 2012, 43, 2932–2938. [Google Scholar] [CrossRef]
  75. Zheng, H.X.; Mentz, J.; Bram, M.; Buchkremer, H.P.; Stöver, D. Powder metallurgical production of TiNiNb and TiNiCu shape memory alloys by combination of pre-alloyed and elemental powders. J. Alloys Comp. 2008, 463, 250–256. [Google Scholar] [CrossRef]
  76. Bram, M.; Bitzer, M.; Buchkremer, H.P.; Stöver, D. Reproducibility Study of NiTi Parts Made by Metal Injection Molding. J. Mater. Eng. Perform. 2012, 21, 2701–2712. [Google Scholar] [CrossRef]
  77. Parvizi, S.; Hashemi, S.M.; Asgarinia, F.; Nematollahi, M.; Elahinia, M. Effective parameters on the final properties of NiTi-based alloys manufactured by powder metallurgy methods: A review. Prog. Mater. Sci. 2021, 117, 100739. [Google Scholar] [CrossRef]
  78. Horikawa, H.; Ichinose, S.; Morii, K.; Miyazaki, S.; Otsuka, K. Orientation dependence of β1 → β1′ stress-induced martensitic transformation in Cu–Al–Ni alloy. Metall. Trans. A 1988, 19, 915–923. [Google Scholar] [CrossRef]
  79. Mañosa, L.; Jurado, M.; Planes, A.; Zarestky, J.; Lograsso, T.; Stassis, C. Elastic constants of bcc Cu–Al–Ni alloys. Phys. Rev. B 1994, 49, 9969–9972. [Google Scholar] [CrossRef]
  80. Pérez-Landazabal, J.I.; Recarte, V.; Ezpeleta, J.M.; Rodríguez, P.P.; San Juan, J.; Nó, M.L. Vibrational behavior of the β phase near martensitic transformation in Cu–Al–Ni shape memory alloys. Mater. Sci. Eng. A 2004, 378, 243–247. [Google Scholar] [CrossRef]
  81. Graczykowski, B.; Mroz, B.; Mielcarek, S.; Breczewski, T.; Nó, M.L.; San Juan, J. Surface acoustic waves and elastic constants of Cu14%Al4%Ni shape memory alloys studied by Brillouin light scattering. J. Phys. D Appl. Phys. 2011, 44, 455307. [Google Scholar] [CrossRef]
  82. Miyazaki, S.; Kawai, T.; Otsuka, K. On the origin of intergranular fracture in β phase shape memory alloys. Scripta Metall. 1982, 16, 431–436. [Google Scholar] [CrossRef]
  83. Otsuka, K.; Sakamoto, H.; Shimizu, K. Successive stress-induced martensitic transformations and associated transformation pseudoelasticity in Cu–Al–Ni alloys. Acta Metall. 1979, 27, 585–601. [Google Scholar] [CrossRef]
  84. Novák, V.; Sittner, P.; Zárubová, N. Anisotropy of transformation characteristics of Cu-base shape memory alloys. Mater. Sci. Eng. A 1997, 234–236, 414–417. [Google Scholar] [CrossRef]
  85. Sittner, P.; Novák, V. Anisotropy of martensitic transformations in modeling of shape memory alloy polycrystals. Int. J. Plast. 2000, 16, 1243–1268. [Google Scholar] [CrossRef]
  86. Gastien, R.; Corbellani, C.E.; Alvarez-Villar, H.N.; Sade, M.; Lovey, F.C. Pseudoelastic cycling in Cu–14.3Al–4.1Ni (wt.%) single crystals. Mater. Sci. Eng. A 2003, 349, 191–196. [Google Scholar] [CrossRef]
  87. Ibarra, A.; San Juan, J.; Bocanegra, E.H.; Nó, M.L. Evolution of microstructure and thermomechanical properties during superelastic compression cycling in Cu–Al–Ni single crystals. Acta Mater. 2007, 55, 4789–4798. [Google Scholar] [CrossRef]
  88. Nó, M.L.; Ibarra, A.; Caillard, D.; San Juan, J. Quantitative analysis of stress-induced martensites by in-situ transmission electron microscopy superelastic tests in Cu–Al–Ni shape memory alloys. Acta Mater. 2010, 58, 6181–6193. [Google Scholar] [CrossRef]
  89. Tadaki, T. Cu-Based Shape Memory Alloys; Cambridge University Press: Cambridge, UK, 1998; Chapter 4; pp. 97–116. [Google Scholar]
  90. Sure, G.N.; Brown, L.C. The mechanical properties of grain refined β-CuAlNi strain-memory alloys. Metall. Trans. A 1984, 15, 1613–1621. [Google Scholar] [CrossRef]
  91. Sugimoto, K.; Kamei, K.; Matsumoto, H.; Somatsu, S.; Akamatsu, K.; Sugimoto, T. Grain refinement and the related phenomena in quaternary Cu–Al–Ni-Ti shape memory alloys. J. Phys. Colloq. 1982, C4, 761–766. [Google Scholar] [CrossRef]
  92. Lee, J.S.; Wayman, C.M. Grain refinement of a Cu–Al–Ni shape memory alloy by Ti and Zr additions. Trans. Jpn. Inst. Met. 1986, 27, 584–591. [Google Scholar] [CrossRef]
  93. Sutou, Y.; Omori, T.; Yamauchi, K.; Ono, N.; Kainuma, R.; Ishida, K. Effect of grain size and texture on pseuoelasticity in Cu-Al-Mn-based shape memory wire. Acta Mater. 2005, 53, 4121–4133. [Google Scholar] [CrossRef]
  94. Lu, X.; Chen, F.; Li, W.; Zheng, Y. Effect of Ce addition on the microstructure and damping properties of Cu-Al-Mn shape memory alloys. J. Alloys Comp. 2009, 480, 608–611. [Google Scholar] [CrossRef]
  95. Zhang, X.; Sui, J.; Liu, Q.; Cai, W. Effects of Gd addition on the microstructure, mechanical properties and shape memory effect of polycrystalline Cu–Al–Ni shape memory alloy. Mater. Lett. 2016, 180, 223–227. [Google Scholar] [CrossRef]
  96. Tang, S.M.; Chung, C.Y.; Liu, W.G. Preparation of Cu–Al–Ni-based Shape memory Alloys by Mechanical Alloying and Powder Metallurgy Method. J. Mater. Process. Technol. 1997, 63, 307–312. [Google Scholar] [CrossRef]
  97. Xiao, Z.; Fang, M.; Li, Z.; Xiao, T.; Lei, Q. Structure and properties of ductile CuAlMn shape memory alloy synthesized by mechanical alloying and powder metallurgy. Mater. Des. 2014, 58, 451–456. [Google Scholar] [CrossRef]
  98. Shafeeq, M.; Gupta, G.K.; Hirshikesh; Malik, M.M.; Modi, O.P. Effect of milling parameters on processing, microstructure and properties of Cu–Al–Ni–Ti shape memory alloys. Powder Metall. 2015, 58, 265–272. [Google Scholar] [CrossRef]
  99. Saud, S.N.; Hamzah, E.; Abubakar, T.; Bakhsheshi-Rad, H.R.; Mohammed, M.N. Influence of Tin additions on the phase transformation characteristics of mechanical alloyed Cu–Al–Ni shape memory alloy. Metall. Mater. Trans. A 2016, 47, 5242–5255. [Google Scholar] [CrossRef]
  100. Deng, Z.; Yin, H.; Zhang, C.; Zhang, G.; Li, W.; Zhang, T.; Zhang, R.; Jiang, X.; Qu, X. Microstructure and mechanical properties of Cu-12Al-xNi alloy prepared using powder metallurgy. Mater. Sci. Eng. A 2019, 759, 241–251. [Google Scholar] [CrossRef]
  101. Gohar, G.A.; Manzoor, T.; Ahmad, A.; Raza, H.; Farooq, A.; Karim, I.; Iftikhar, W.; Umar, M.; Asad, F. Synthesis and investigate the properties of Cu–Al–Ni alloys with Ag addition using powder metallurgy technique. J. Alloys Comp. 2020, 817, 153281. [Google Scholar] [CrossRef]
  102. Gómez, A.P.; Urretavizcaya, G.; Baruj, A.L.; Malachevsky, M.T. Consolidation and properties of porous Cu–Al–Ni shape memory alloys manufactured by powder metallurgy. Powder Metall. 2023, 66, 548–556. [Google Scholar] [CrossRef]
  103. Shafeeq, M.M.; Hirshikesh; Gupta, G.K.; Mondal, D.P. Influence of Mn on the Mechanical and Shape memory Transformation Behaviors of Powder Metallurgy Processed Cu–Al–Ni SMAs. Met. Mater. Int. 2024, 30, 211–219. [Google Scholar] [CrossRef]
  104. Li, Z.; Pan, Z.Y.; Tang, N.; Jiang, Y.B.; Liu, N.; Fang, M.; Zheng, F. Cu–Al–Ni-Mn shape memory alloys processed by mechanical alloying and powder metallurgy. Mater. Sci. Eng. A 2006, 417, 225–229. [Google Scholar] [CrossRef]
  105. Xiao, Z.; Li, Z.; Fang, M.; Xiong, S.; Sheng, X.; Zhou, M. Effect of processing of mechanical alloying and powder metallurgy on microstructure and properties of Cu–Al–Ni–Mn alloy. Mater. Sci. Eng. A 2008, 488, 266–272. [Google Scholar] [CrossRef]
  106. Sharma, M.; Vajpai, S.K.; Dube, R.K. Processing and characterization of Cu–Al–Ni shape memory alloy strips prepared from elemental powder via a novel powder metallurgy route. Metall. Mater. Trans. A 2010, 41, 2905–2913. [Google Scholar] [CrossRef]
  107. Sharma, M.; Vajpai, S.K.; Dube, R.K. Synthesis and properties of Cu–Al–Ni shape memory alloy strips prepared via hot densification rolling of powder preforms. Powder Metall. 2011, 54, 620–627. [Google Scholar] [CrossRef]
  108. Pourkhorshidi, S.; Parvin, N.; Kenevisi, M.S.; Naeimi, M.; Khaniki, H.E. A study on the microstructure and properties of Cu-based shape memory alloy produced by hot extrusion of mechanically alloyed powders. Mater. Sci. Eng. A 2012, 556, 658–663. [Google Scholar] [CrossRef]
  109. Vajpai, S.K.; Dube, R.K.; Chatterjee, P.; Sangal, S. A novel Powder Metallurgy processing Approach to prepare Fine-Grained Cu–Al–Ni Shape Memory Alloy Strips from Elemental Powders. Metall. Mater. Trans. A 2012, 43, 2484–2499. [Google Scholar] [CrossRef]
  110. Rezvani, M.R.; Shokuhfar, A. Synthesis and characterization of nano structures Cu-Al-Mn shape memory alloy by mechanical alloying. Mater. Sci. Eng. A 2012, 532, 282–286. [Google Scholar] [CrossRef]
  111. Yavuzer, B.; Bicakci, U.; Simsek, D.; Ozyurek, D. Effect of alloying time and heat treatment on microstructure and tribological properties of mechanical alloyed Cu–Al–Ni shape memory alloy. J. Mater. Eng. Perform. 2024, 33, 11176–11187. [Google Scholar] [CrossRef]
  112. Thiruppathi, K.; Raj-Mohan, R.; Raghuraman, S. Study of the densification behaviour of copper with aluminum & nickel powders though spark plasma sintering. J. Mech. Sci. Technol. 2020, 34, 3233–3237. [Google Scholar] [CrossRef]
  113. Duerig, T.W.; Albrecht, J.; Gessinger, G.H. A Shape-Memory Alloy for High-Temperature Applications. J. Metals 1982, 34, 14–20. [Google Scholar] [CrossRef]
  114. Duerig, T.W.; Albrecht, J. Reverse springback: A curious manifestation of thermoelasticity. Acta Metall. 1983, 31, 1013–1018. [Google Scholar] [CrossRef]
  115. Jean, R.D.; Wu, T.Y.; Leu, S.S. The effect of powder metallurgy on Cu–Al–Ni shape memory alloys. Scripta Metall. Mater. 1991, 25, 883–888. [Google Scholar] [CrossRef]
  116. San Juan, J.; Pérez-Sáez, R.B.; Recarte, V.; Nó, M.L.; Caruana, G.; Lieblich, M.; Ruano, O. Martensitic Transformation in Cu–Al–Ni Shape Memory Alloys Processed by Powder Metallurgy. J. Phys. IV 1995, 5, 919–924. [Google Scholar] [CrossRef]
  117. Pérez-Sáez, R.B.; Recarte, V.; Nó, M.L.; Ruano, O.A.; San Juan, J. Advanced Shape Memory Alloys Processed by Powder Metallurgy. Adv. Eng. Mater. 2000, 2, 49–53. [Google Scholar] [CrossRef]
  118. Ibarra, A.; Rodriguez, P.P.; Recarte, V.; Pérez-landazabal, J.I.; Nó, M.L.; San Juan, J. Internal friction behavior during martensitic transformation in shape memory alloys processed by poder metallurgy. Mater. Sci. Eng. A 2004, 370, 492–496. [Google Scholar] [CrossRef]
  119. Rodriguez, P.P.; Ibarra, A.; Iza-Mendia, A.; Recarte, V.; Pérez-Landazabal, J.I.; San Juan, J.; Nó, M.L. Influence of thermomechanical processing on the microstructure of Cu-based shape memory alloys produced by powder metallurgy. Mater. Sci. Eng. A 2004, 378, 263–268. [Google Scholar] [CrossRef]
  120. Ibarra, A.; San Juan, J.M.; Bocanegra, E.H.; Nó, M.L. Thermo-mechanical characterization of Cu–Al–Ni shape memory alloys elaborated by powder metallurgy. Mater. Sci. Eng. A 2006, 438–440, 782–786. [Google Scholar] [CrossRef]
  121. Gera, D.B.; Soyama, J.; Cava, R.D.; Spinelli, J.E.; Kiminami, C.S. The influence of Sintering Parameters in the Microstructure and Mechanical Properties of a Cu–Al–Ni-Mn-Zr Shape Memory Alloy. Adv. Eng. Mater. 2018, 20, 1800372. [Google Scholar] [CrossRef]
  122. Urionabarrenetxea, E.; Avello, A.; Rivas, A.; Martín, J.M. Experimental study of the influence of operational and geometric variables on the powders produced by close-coupled gas atomization. Mater. Des. 2021, 199, 109441. [Google Scholar] [CrossRef]
  123. Sun, Y.S.; Lorimer, G.W.; Ridley, N. Microstructure and its development in Cu–Al–Ni alloys. Metall. Trans. A 1990, 21, 578–588. [Google Scholar] [CrossRef]
  124. Recarte, V.; Hurtado, I.; Herreros, J.; Nó, M.L.; San Juan, J. Precipitation of the stable phases in Cu–Al–Ni shape memory alloys. Scripta Mater. 1996, 34, 255–260. [Google Scholar] [CrossRef]
  125. Delaey, L.; Chandrasekaran, M. Comments on “New description of long period stacking order structures of martensites in β-phase alloys” by K. Oksuka, T. Ohba, M. Tokonami and C.M. Wayman. Scripta Metall. Mater. 1994, 30, 1605–1610. [Google Scholar] [CrossRef]
  126. Recarte, V.; Pérez-Sáez, R.B.; Nó, M.L.; San Juan, J. Evolution of martensitic transformation in Cu–Al–Ni shape memory alloys during low-temperature aging. J. Mater. Res. 1999, 14, 2806–2813. [Google Scholar] [CrossRef]
  127. Ibarra, A.; San Juan, J.M.; Bocanegra, E.H.; Caillard, D.; Nó, M.L. “In-situ” and “Post-Mortem” TEM study of the super-elastic effect in Cu–Al–Ni shape memory alloys. Mater. Sci. Eng. A 2006, 438–440, 787–790. [Google Scholar] [CrossRef]
  128. Saburi, T.; Wayman, C.M. Crystallographic similarities in Shape Memory Martensites. Acta Metall. 1979, 28, 979–995. [Google Scholar] [CrossRef]
Figure 1. Flow chart of the complete processing procedure, in blue cases at the left, together with the characterizations performed along the study; microstructure in red and functional in green.
Figure 1. Flow chart of the complete processing procedure, in blue cases at the left, together with the characterizations performed along the study; microstructure in red and functional in green.
Materials 17 06165 g001
Figure 2. (a) SEM-SE image of a powder grain. The martensite variants can be appreciated on its surface in some of the grains. (b) DSC results for the powder material. (c) Phase-transformed fractions n(T) obtained by integration of the DSC results in (b), which are used for the determination of the MT temperatures.
Figure 2. (a) SEM-SE image of a powder grain. The martensite variants can be appreciated on its surface in some of the grains. (b) DSC results for the powder material. (c) Phase-transformed fractions n(T) obtained by integration of the DSC results in (b), which are used for the determination of the MT temperatures.
Materials 17 06165 g002
Figure 3. (a) Sample produced using a conventional method of powder metallurgy, HIP followed by hot rolling down to 1.1 mm thickness. (b) Dog-bone-shaped sample cut by EDM from the plate in (a), for the realizations of tensile mechanical tests.
Figure 3. (a) Sample produced using a conventional method of powder metallurgy, HIP followed by hot rolling down to 1.1 mm thickness. (b) Dog-bone-shaped sample cut by EDM from the plate in (a), for the realizations of tensile mechanical tests.
Materials 17 06165 g003
Figure 4. Microstructure of the Cu–Al–Ni HR sample. (a) Optical microscope image of the alloy after HIP but before the lamination process. (b) Optical microscope image depicting the elongation of the grains along the direction of the lamination (x direction). (c,d) SEM (BSE) images taken at 20 KV showing some precipitates at the grain boundaries as well as the oxide nanoparticles coming from the surface of the powder particles, which remain decorating the grain boundaries.
Figure 4. Microstructure of the Cu–Al–Ni HR sample. (a) Optical microscope image of the alloy after HIP but before the lamination process. (b) Optical microscope image depicting the elongation of the grains along the direction of the lamination (x direction). (c,d) SEM (BSE) images taken at 20 KV showing some precipitates at the grain boundaries as well as the oxide nanoparticles coming from the surface of the powder particles, which remain decorating the grain boundaries.
Materials 17 06165 g004
Figure 5. (a) EBSD map of the Cu–Al–Ni HR sample taken at room temperature in martensite, with a step size of 50 nm. (b) All variants correspond to the β’3 martensite, with the orientations indicated in the figures. The red interfaces are twin I, the greens are twin II, and the blues are the twin compound.
Figure 5. (a) EBSD map of the Cu–Al–Ni HR sample taken at room temperature in martensite, with a step size of 50 nm. (b) All variants correspond to the β’3 martensite, with the orientations indicated in the figures. The red interfaces are twin I, the greens are twin II, and the blues are the twin compound.
Materials 17 06165 g005
Figure 6. (a) EBSD map of the Cu–Al–Ni HR sample taken at 145 °C in austenite where the high-angle grain boundaries (θ ≥ 10°) are plotted; some boundaries are not closed because the disorientations below 10° are not plotted. (b) Inverse pole figures showing the crystallographic orientation densities (in arbitrary units on the right bar) corresponding to the rolling direction (X axis) and to the perpendicular to the rolling plane (Z axis). (c) Plot of the relative frequency of the grain boundaries as a function of their disorientation.
Figure 6. (a) EBSD map of the Cu–Al–Ni HR sample taken at 145 °C in austenite where the high-angle grain boundaries (θ ≥ 10°) are plotted; some boundaries are not closed because the disorientations below 10° are not plotted. (b) Inverse pole figures showing the crystallographic orientation densities (in arbitrary units on the right bar) corresponding to the rolling direction (X axis) and to the perpendicular to the rolling plane (Z axis). (c) Plot of the relative frequency of the grain boundaries as a function of their disorientation.
Materials 17 06165 g006
Figure 7. Transformation temperatures measured by DSC. (a) Transformation curves for the alloyed powders (in blue), HIPed samples (in green), and HR samples (in red). (b) Transformed martensite fraction for the curves presented in (a).
Figure 7. Transformation temperatures measured by DSC. (a) Transformation curves for the alloyed powders (in blue), HIPed samples (in green), and HR samples (in red). (b) Transformed martensite fraction for the curves presented in (a).
Materials 17 06165 g007
Figure 8. Tensile superelastic effect observed for the hot-rolled sample at different values of the maximum strain, up to 4.75%.
Figure 8. Tensile superelastic effect observed for the hot-rolled sample at different values of the maximum strain, up to 4.75%.
Materials 17 06165 g008
Figure 9. (a) SE at different temperatures, from 120 up to 170 °C every 5 °C, at 1.2% maximum strain. (b) Clausius–Clapeyron coefficient fitted from the data obtained in (a).
Figure 9. (a) SE at different temperatures, from 120 up to 170 °C every 5 °C, at 1.2% maximum strain. (b) Clausius–Clapeyron coefficient fitted from the data obtained in (a).
Materials 17 06165 g009
Figure 10. Sequence of the images showing the initial strained sample in martensite in the left image, and the evolution of the shape memory recovery by heating until the complete transformation to austenite, in the right image.
Figure 10. Sequence of the images showing the initial strained sample in martensite in the left image, and the evolution of the shape memory recovery by heating until the complete transformation to austenite, in the right image.
Materials 17 06165 g010
Table 1. Obtained chemical composition measured by ICP and LECO for the powders obtained by gas atomization of the Cu–Al–Ni alloy.
Table 1. Obtained chemical composition measured by ICP and LECO for the powders obtained by gas atomization of the Cu–Al–Ni alloy.
MaterialsCu
(wt.%)
Al
(wt.%)
Ni
(wt.%)
B
(wt.%)
Zr
(wt.%)
O
ppm
N
ppm
C
ppm
S
ppm
Target82.213.34.50.20.1----
Obtained81.9513.454.60.20.125413441
Table 2. Transformation temperatures and hysteresis from the n(T) curves shown in Figure 7.
Table 2. Transformation temperatures and hysteresis from the n(T) curves shown in Figure 7.
CANBZ°C
MsMfAsAfΔT
HIP + HR102.355.090.9118.419.3
HIP89.533.569.1117.528.0
Powder57.26.639.082.626.4
Disclaimer/Publisher’s Note: The statements, opinions and data contained in all publications are solely those of the individual author(s) and contributor(s) and not of MDPI and/or the editor(s). MDPI and/or the editor(s) disclaim responsibility for any injury to people or property resulting from any ideas, methods, instructions or products referred to in the content.

Share and Cite

MDPI and ACS Style

Pérez-Cerrato, M.; Gómez-Cortés, J.F.; Urionabarrenetxea, E.; Ruiz-Larrea, I.; Carreño, F.; Ayesta, Í.; Nó, M.L.; Burgos, N.; San Juan, J.M. Powder Metallurgy Processing to Enhance Superelasticity and Shape Memory in Polycrystalline Cu–Al–Ni Alloys: Reference Material for Additive Manufacturing. Materials 2024, 17, 6165. https://doi.org/10.3390/ma17246165

AMA Style

Pérez-Cerrato M, Gómez-Cortés JF, Urionabarrenetxea E, Ruiz-Larrea I, Carreño F, Ayesta Í, Nó ML, Burgos N, San Juan JM. Powder Metallurgy Processing to Enhance Superelasticity and Shape Memory in Polycrystalline Cu–Al–Ni Alloys: Reference Material for Additive Manufacturing. Materials. 2024; 17(24):6165. https://doi.org/10.3390/ma17246165

Chicago/Turabian Style

Pérez-Cerrato, Mikel, Jose F. Gómez-Cortés, Ernesto Urionabarrenetxea, Isabel Ruiz-Larrea, Fernando Carreño, Ízaro Ayesta, María L. Nó, Nerea Burgos, and Jose M. San Juan. 2024. "Powder Metallurgy Processing to Enhance Superelasticity and Shape Memory in Polycrystalline Cu–Al–Ni Alloys: Reference Material for Additive Manufacturing" Materials 17, no. 24: 6165. https://doi.org/10.3390/ma17246165

APA Style

Pérez-Cerrato, M., Gómez-Cortés, J. F., Urionabarrenetxea, E., Ruiz-Larrea, I., Carreño, F., Ayesta, Í., Nó, M. L., Burgos, N., & San Juan, J. M. (2024). Powder Metallurgy Processing to Enhance Superelasticity and Shape Memory in Polycrystalline Cu–Al–Ni Alloys: Reference Material for Additive Manufacturing. Materials, 17(24), 6165. https://doi.org/10.3390/ma17246165

Note that from the first issue of 2016, this journal uses article numbers instead of page numbers. See further details here.

Article Metrics

Back to TopTop