Effect of Particle Strength on SiCp/Al Composite Properties with Network Architecture Design
Abstract
1. Introduction
2. Finite Element Method (FEM)
2.1. Micro-Structural Modeling
2.2. Material Properties
3. Result and Discussion


4. Conclusions
- (1)
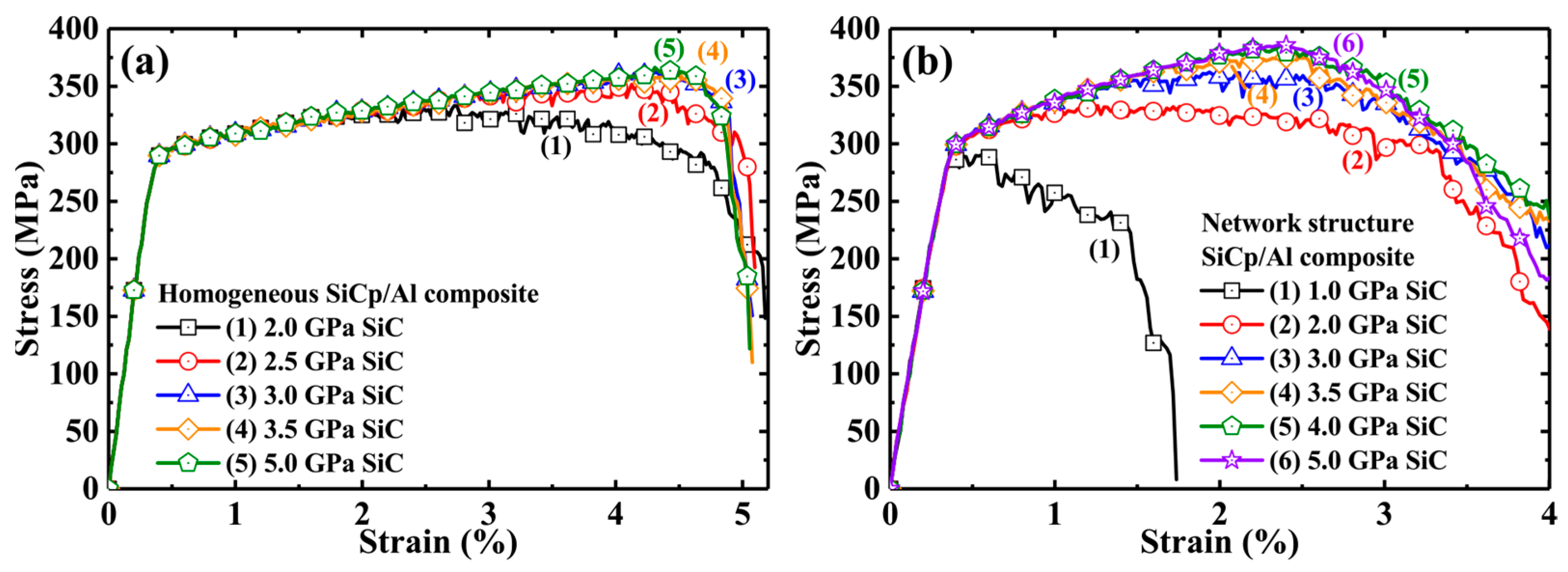
- The particle fracture strength was significant for the failure behavior of the SiCp/Al composite. Low particle fracture strength (1 GPa) led to network composite failure at the elastic stage (εxx = 0.38%). Contours of equivalent plastic strain showed that the brittle fracture occurred along the network layer perpendicular to the load direction. In the composite with medium particle fracture strength (2 GPa), failure was initiated at the small plastic strain (εxx = 1.2%), and network boundaries could slow the crack propagation rate. High particle fracture strength (5 GPa) led to late composite failure initiation (εxx = 2.4%), which showed ductile fracturing along the ‘interface’ of SiC/Al–Al. When the failure mechanism became ductile fracture, further increasing particle fracture strength did not enhance the composite strength.
- (2)
- The particle fracture strength significantly affected the ultimate tensile strength (UTS) of network composites. The UTSs of composites reinforced by particles with low (1 GPa), medium (2 GPa), and high strengths (5 GPa) were 290, 330, and 385 MPa, respectively. The network composite with 1 GPa SiCp failed before the yield point, which was seriously harmful to the elongation. By contrast, the composites with 2 and 5 GPa SiCp failed at higher strains, resulting in more elongation of the composites.
- (3)
- Network particle distribution favored the composite strength. The stress concentration factor of SiCp indicated that the network particle distribution benefited the enhanced load-bearing capability of SiC particles, which improved the mechanical properties in the elastic/plastic stages. Compared to the homogeneous composite, the network architecture design with 2 GPa SiCp successfully enhanced the elastic modulus from 86 GPa to 90 GPa and the yield stress from 299 MPa to 315 MPa. However, the network design lost the strengthening effect when particle fracture strength was too low (1 GPa). It proved that a high enough fracture strength of reinforcement was the prerequisite for the efficient strengthening of the network design.
- (4)
- The threshold strength of the particle was different between homogeneous and network composites. The threshold value was ~2.75 GPa for the homogeneous SiCp/Al composite, while it increased to ~3.75 GPa for the network SiCp/Al composite because the network architecture promoted load-bearing capacity in reinforcement-rich regions. High local volume fraction and low aligning orientation of the particle increased the threshold value. Moreover, reduced particle size was favorable for a better strength–ductility match in the network composite.
Supplementary Materials
Author Contributions
Funding
Institutional Review Board Statement
Informed Consent Statement
Data Availability Statement
Conflicts of Interest
References
- Bagheri, B.; Shamsipur, A.; Abdollahzadeh, A.; Mirsalehi, S.E. Investigation of SiC Nanoparticle Size and Distribution Effects on Microstructure and Mechanical Properties of Al/SiC/Cu Composite during the FSSW Process: Experimental and Simulation. Met. Mater. Int. 2023, 29, 1095–1112. [Google Scholar] [CrossRef]
- Polayya, C.; Rao, C.S.P.; Veeresh Kumar, G.B.; Surakasi, R. Synthesis and mechanical properties of graphene nanoparticles reinforced with aluminium alloy matrix composites. Nanotechnol. Environ. Eng. 2023, 8, 469–480. [Google Scholar] [CrossRef]
- Bouville, F. Strong and tough nacre-like aluminas: Process–structure–performance relationships and position within the nacre-inspired composite landscape. J. Mater. Res. 2020, 35, 1076–1094. [Google Scholar] [CrossRef]
- Fernández-Rico, C.; Schreiber, S.; Oudich, H.; Lorenz, C.; Sicher, A.; Sai, T.; Bauernfeind, V.; Heyden, S.; Carrara, P.; Lorenzis, L.D.; et al. Elastic microphase separation produces robust bicontinuous materials. Nat. Mater. 2023. [Google Scholar] [CrossRef] [PubMed]
- Lee, J.I.; Wat, A.; Kim, J.; Ryu, C.W.; Chang, H.J.; Park, E.S.; Ritchie, R.O. Synthesis of bioinspired ice-templated bulk metallic glass-alumina composites with intertwined dendritic structure. Scr. Mater. 2019, 172, 159–164. [Google Scholar] [CrossRef]
- Bauer, J.; Sala-Casanovas, M.; Amiri, M.; Valdevit, L. Nanoarchitected metal/ceramic interpenetrating phase composites. Sci. Adv. 2022, 8, eabo3080. [Google Scholar] [CrossRef] [PubMed]
- Zhang, X.; Xu, Y.; Wang, X.; Liu, E.; Zhao, N.; Shi, C.; Lin, D.; Zhu, F.; He, C. A powder-metallurgy-based strategy toward three dimensional graphene-like network for reinforcing copper matrix composites. Nat. Commun. 2020, 11, 2775. [Google Scholar] [CrossRef]
- Yu, J.; Zhao, Y.; Zhang, W.; Zhao, Q.; Lu, J.; Huo, W.; Zhang, Y. A novel heterogeneous network structure titanium matrix composite with a combination of strength and ductility. Mater. Sci. Eng. A 2021, 840, 142954. [Google Scholar] [CrossRef]
- Zhou, X.; Gao, Y.; Wang, Y.; Huang, X.; Xiao, P. The improved strength and ductility of ZrCp/2024Al composites with a quasi-network microstructure fabricated by spark plasma sintering and T6 heat treatment. Mater. Sci. Eng. A 2022, 841, 142675. [Google Scholar] [CrossRef]
- Yajima, S.; Okamura, K.; Hayashi, J.; Omori, M. Synthesis of continuous SiC fibers with high tensile strength. J. Am. Ceram. Soc. 1976, 59, 324–327. [Google Scholar] [CrossRef]
- Dastgerdi, J.N.; Marquis, G.; Anbarlooie, B.; Sankaranarayanan, S.; Gupta, M. Microstructure-sensitive investigation on the plastic deformation and damage initiation of amorphous particles reinforced composites. Compos. Struct. 2016, 142, 130–139. [Google Scholar] [CrossRef]
- Gao, X.; Peng, M.Y.; Zhang, X.X.; Qian, M.F.; Li, A.B.; Geng, L.; Wang, H.; Peng, H.-X. Profound strengthening and toughening effect of reinforcement aspect ratio in composite with network architecture. J. Alloys Compd. 2023, 931, 167444. [Google Scholar] [CrossRef]
- Ureña, A.; Escalera, M.D.; Gil, L. Influence of interface reactions on fracture mechanisms in TIG arc-welded aluminium matrix composites. Compos. Sci. Technol. 2000, 60, 613–622. [Google Scholar] [CrossRef]
- Zhang, J.F.; Zhang, X.X.; Wang, Q.Z.; Xiao, B.L.; Ma, Z.Y. Simulations of deformation and damage processes of SiCp/Al composites during tension. J. Mater. Sci. Technol. 2018, 34, 627–634. [Google Scholar] [CrossRef]
- Segurado, J.; Gonzalez, C.; Llorca, J. A numerical investigation of the effect of particle clustering on the mechanical properties of composites. Acta Mater. 2003, 51, 2355–2369. [Google Scholar] [CrossRef]
- Gao, X.; Zhang, X.X.; Li, A.B. Numerical study on mechanical properties of quasi-continuous SiCp/Al network composites with various particle size ratios (PSRs). Int. J. Appl. Mech. 2019, 11, 1950065. [Google Scholar] [CrossRef]
- Gao, X.; Zhang, X.X.; Qian, M.F.; Li, A.B.; Wang, G.S.; Geng, L.; Peng, H.-X. Enhanced stress concentration sensitivity of SiCp/Al composite with network architecture. J. Compos. Mater. 2022, 56, 1165–1174. [Google Scholar] [CrossRef]
- Deng, X.; Chawla, N. Modeling the effect of particle clustering on the mechanical behavior of SiC particle reinforced Al matrix composites. J. Mater. Sci. 2006, 41, 5731–5734. [Google Scholar] [CrossRef]
- Mayer, C.R.; Yang, L.W.; Singh, S.S.; Llorca, J.; Molina-Aldareguia, J.M.; Shen, Y.L.; Chawla, N. Anisotropy, size, and aspect ratio effects on micropillar compression of Al-SiC nanolaminate composites. Acta Mater. 2016, 114, 25–32. [Google Scholar] [CrossRef]
- Mirkhalaf, S.M.; Eggels, E.H.; van Beurden, T.J.H.; Larsson, F.; Fagerström, M. A finite element based orientation averaging method for predicting elastic properties of short fiber reinforced composites. Compos. B Eng. 2020, 202, 108388. [Google Scholar] [CrossRef]
- Trofimov, A.; Drach, B.; Sevostianov, I. Effective elastic properties of composites with particles of polyhedral shapes. Int. J. Solids Struct. 2017, 120, 157–170. [Google Scholar] [CrossRef]
- Dewangan, M.K.; Panigrahi, S.K. Finite element analysis of hybrid 3D orthogonal woven composite subjected to ballistic impact with multi-scale modeling. Polym. Adv. Technol. 2021, 32, 964–979. [Google Scholar] [CrossRef]
- Pabst, W.; Uhlířová, T.; Gregorová, E.; Wiegmann, S. Young’s modulus and thermal conductivity of closed-cell, open-cell and inverse ceramic foams—model-based predictions, cross-property predictions and numerical calculations. J. Eur. Ceram. Soc. 2018, 38, 2570–2578. [Google Scholar] [CrossRef]
- Pham, Q.-H.; Nguyen, P.-C.; Tran, T.T.; Nguyen-Thoi, T. Free vibration analysis of nanoplates with auxetic honeycomb core using a new third-order finite element method and nonlocal elasticity theory. Eng. Comput. 2023, 39, 233–251. [Google Scholar] [CrossRef]
- Bora, R.; Shukla, M.; Kumar, A. Finite element analysis based design of biomimetic functionally graded Ti-6Al-4V alloy scaffolds for human cortical bone applications. Mater. Today Proc. 2023, 90, 81–85. [Google Scholar] [CrossRef]
- Rasul, S.; Kumar, V. Finite element analysis of interlocking masonry subjected to static loading. Asian J. Civ. Eng. 2023. [Google Scholar] [CrossRef]
- Li, G.J.; Zhang, X.; Fan, Q.B.; Wang, L.L.; Zhang, H.M.; Wang, F.C.; Wang, Y.W. Simulation of damage and failure processes of interpenetrating SiC/Al composites subjected to dynamic compressive loading. Acta Mater. 2014, 78, 190–202. [Google Scholar] [CrossRef]
- Chen, H.; Xu, B.; Mod, Y.L.; Zhou, T. Behavior of meso-scale heterogeneous concrete under uniaxial tensile and compressive loadings. Constr. Build. Mater. 2018, 178, 418–431. [Google Scholar] [CrossRef]
- Liu, N.; Zhang, Q.; Zhang, H.; Cao, F.; Feng, P.; Zuo, Y.; Jiang, Y.; Tang, W.; Liang, S. Experimental verification and numerical analysis on plastic deformation and mechanical properties of the in-situ TiB2 homogeneous composites and TiB2/Cu network composites prepared by powder metallurgy. J. Alloys Compd. 2022, 920, 165897. [Google Scholar] [CrossRef]
- Quey, R.; Dawson, P.R.; Barbe, F. Large-scale 3D random polycrystals for the finite element method: Generation, meshing and remeshing. Comput. Methods Appl. Mech. Eng. 2011, 200, 1729–1745. [Google Scholar] [CrossRef]
- Quey, R.; Renversade, L. Optimal polyhedral description of 3D polycrystals: Method and application to statistical and synchrotron X-ray diffraction data. Comput. Methods Appl. Mech. Eng. 2018, 330, 308–333. [Google Scholar] [CrossRef]
- Gopinath, K.; Narayanamurthy, V.; Khaderi, S.N.; Rao, Y.V.D. Determination of Parameters for Johnson-Cook Dynamic Constitutive and Damage Models for E250 Structural Steel and Experimental Validations. J. Mater. Eng. Perform. 2023. [Google Scholar] [CrossRef]
- Li, F.; Yuan, H.; Liu, H. Implementation of metal ductile damage criteria in Abaqus FEA. J. Phys. Conf. Ser. 2021, 1906, 012058. [Google Scholar] [CrossRef]
- Riahi, M.M. Numerical and Experimental Studies of the Mechanical Behaviour at the Ice/Aluminium Interface. Ph.D. Thesis, Université du Québec à Chicoutimi, Chicoutimi, QC, Canada, 2007. [Google Scholar]
- Zhang, J.; Ouyang, Q.B.; Guo, Q.; Li, Z.Q.; Fan, G.L.; Su, Y.S.; Jiang, L.; Lavernia, E.J.; Schoenung, J.M.; Zhang, D. 3D Microstructure-based finite element modeling of deformation and fracture of SiCp/Al composites. Compos. Sci. Technol. 2016, 123, 1–9. [Google Scholar] [CrossRef]
- Gao, X.; Zhang, X.X.; Qian, M.F.; Li, A.B.; Geng, L.; Peng, H.-X. Fracture behaviour of SiCp/Al composites with network architecture. Materialia 2020, 12, 100725. [Google Scholar] [CrossRef]
- Gao, X.; Zhang, X.; Geng, L. Strengthening and fracture behaviors in SiCp/Al composites with network particle distribution architecture. Mater. Sci. Eng. A 2019, 740–741, 353–362. [Google Scholar] [CrossRef]
- Shin, C.S.; Huang, J.C. Effect of temper, specimen orientation and test temperature on the tensile and fatigue properties of SiC particles reinforced PM 6061 Al alloy. Int. J. Fatigue 2010, 32, 1573–1581. [Google Scholar] [CrossRef]
- Hilfi, H.; Brar, N.S. Evaluation of Johnson-Cook model constants for aluminum based particulate metal matrix composites. AIP Conf. Proc. 1996, 370, 559–562. [Google Scholar] [CrossRef]
- Zhang, W.; Wang, M.; Chen, W.; Feng, Y.; Yu, Y. Preparation of TiBw/Ti–6Al–4V composite with an inhomogeneous reinforced structure by a canned hot extrusion process. J. Alloys Compd. 2016, 669, 79–90. [Google Scholar] [CrossRef]
- Liu, G.F.; Chen, T.J. Enhancement of strength–ductility synergy in heterostructured 2024Al alloy through tailoring heterogeneity level. J. Mater. Sci. 2023, 58, 11820–11839. [Google Scholar] [CrossRef]
- Rong, X.; Zhang, X.; Zhao, D.; He, C.; Shi, C.; Liu, E.; Zhao, N. In-situ Al2O3 -Al interface contribution towards the strength-ductility synergy of Al-CuO composite fabricated by solid-state reactive sintering. Scr. Mater. 2021, 198, 113825. [Google Scholar] [CrossRef]
- Zhang, F.; Wang, J.; Liu, T.; Shang, C. Enhanced mechanical properties of few-layer graphene reinforced titanium alloy matrix nanocomposites with a network architecture. Mater. Des. 2020, 186, 108330. [Google Scholar] [CrossRef]
- Zhang, J.F.; Zhang, X.X.; Wang, Q.Z.; Xiao, B.L.; Ma, Z.Y. Simulation of anisotropic load transfer and stress distribution in SiCp/Al composites subjected to tensile loading. Mech. Mater. 2018, 122, 96–103. [Google Scholar] [CrossRef]
- Roy, S.; Gibmeier, J.; Kostov, V.; Weidenmann, K.A.; Nagel, A.; Wanner, A. Internal load transfer in a metal matrix composite with a three-dimensional interpenetrating structure. Acta Mater. 2011, 59, 1424–1435. [Google Scholar] [CrossRef]
- Abedini, A.; Butcher, C.; Chen, Z.T. Numerical simulation of the influence of particle clustering on tensile behavior of particle-reinforced composites. Comput. Mater. Sci. 2013, 73, 15–23. [Google Scholar] [CrossRef]
- Lee, W.J.; Kim, Y.J.; Kang, N.H.; Park, I.M.; Park, Y.H. Finite-element modeling of the particle clustering effect in a powder-metallurgy-processed ceramic-particle-reinforced metal matrix composite on its mechanical properties. Mech. Compos. Mater. 2011, 46, 639–648. [Google Scholar] [CrossRef]
- Sadeghi, B.; Cavaliere, P.; Balog, M.; Pruncu, C.I.; Shabani, A. Microstructure dependent dislocation density evolution in micro-macro rolled Al2O3/Al laminated composite. Mater. Sci. Eng. A 2022, 830, 142317. [Google Scholar] [CrossRef]
- Qin, S.Y.; Zhang, G.D. Analyses on fracture characteristics of SiCp-6061Al/6061Al composites extruded by different ratios. J. Mater. Sci. 2002, 37, 879–883. [Google Scholar] [CrossRef]
- McLelland, A.R.A.; Atkinson, H.V.; Anderson, P.R.G. Thixoforming of a novel layered metal matrix composite. Mater. Sci. Technol. 1999, 15, 939–945. [Google Scholar] [CrossRef]
- Nan, C.W.; Clarke, D.R. The influence of particle size and particle fracture on the elastic/plastic deformation of metal matrix composites. Acta Mater. 1996, 44, 3701–3811. [Google Scholar] [CrossRef]
- Flom, Y.; Arsenault, R.J. Effect of particle size on fracture toughness of SiC/Al composite material. Acta Metall. 1989, 37, 2413–2423. [Google Scholar] [CrossRef]





Disclaimer/Publisher’s Note: The statements, opinions and data contained in all publications are solely those of the individual author(s) and contributor(s) and not of MDPI and/or the editor(s). MDPI and/or the editor(s) disclaim responsibility for any injury to people or property resulting from any ideas, methods, instructions or products referred to in the content. |
© 2024 by the authors. Licensee MDPI, Basel, Switzerland. This article is an open access article distributed under the terms and conditions of the Creative Commons Attribution (CC BY) license (https://creativecommons.org/licenses/by/4.0/).
Share and Cite
Gao, X.; Lu, X.; Zhang, X.; Qian, M.; Li, A.; Geng, L.; Wang, H.; Liu, C.; Ouyang, W.; Peng, H.-X. Effect of Particle Strength on SiCp/Al Composite Properties with Network Architecture Design. Materials 2024, 17, 597. https://doi.org/10.3390/ma17030597
Gao X, Lu X, Zhang X, Qian M, Li A, Geng L, Wang H, Liu C, Ouyang W, Peng H-X. Effect of Particle Strength on SiCp/Al Composite Properties with Network Architecture Design. Materials. 2024; 17(3):597. https://doi.org/10.3390/ma17030597
Chicago/Turabian StyleGao, Xiang, Xiaonan Lu, Xuexi Zhang, Mingfang Qian, Aibin Li, Lin Geng, Huan Wang, Cheng Liu, Wenting Ouyang, and Hua-Xin Peng. 2024. "Effect of Particle Strength on SiCp/Al Composite Properties with Network Architecture Design" Materials 17, no. 3: 597. https://doi.org/10.3390/ma17030597
APA StyleGao, X., Lu, X., Zhang, X., Qian, M., Li, A., Geng, L., Wang, H., Liu, C., Ouyang, W., & Peng, H.-X. (2024). Effect of Particle Strength on SiCp/Al Composite Properties with Network Architecture Design. Materials, 17(3), 597. https://doi.org/10.3390/ma17030597

