Effects of Polybutylene Succinate Content on the Rheological Properties of Polylactic Acid/Polybutylene Succinate Blends and the Characteristics of Their Fibers
Abstract
1. Introduction
2. Materials and Methods
2.1. Materials
2.2. Preparation of PLA/PBS Blends
2.3. Preparation of PLA/PBS Blend Fibers
2.4. Characterization of PLA/PBS Blends and PLA/PBS Blend Fibers
3. Results and Discussion
3.1. Characterization of PLA/PBS Blends
3.1.1. Rheological Properties of PLA/PBS Blends
3.1.2. Morphology of PLA/PBS Blends
3.1.3. FT-IR Analysis of PLA/PBS Blends
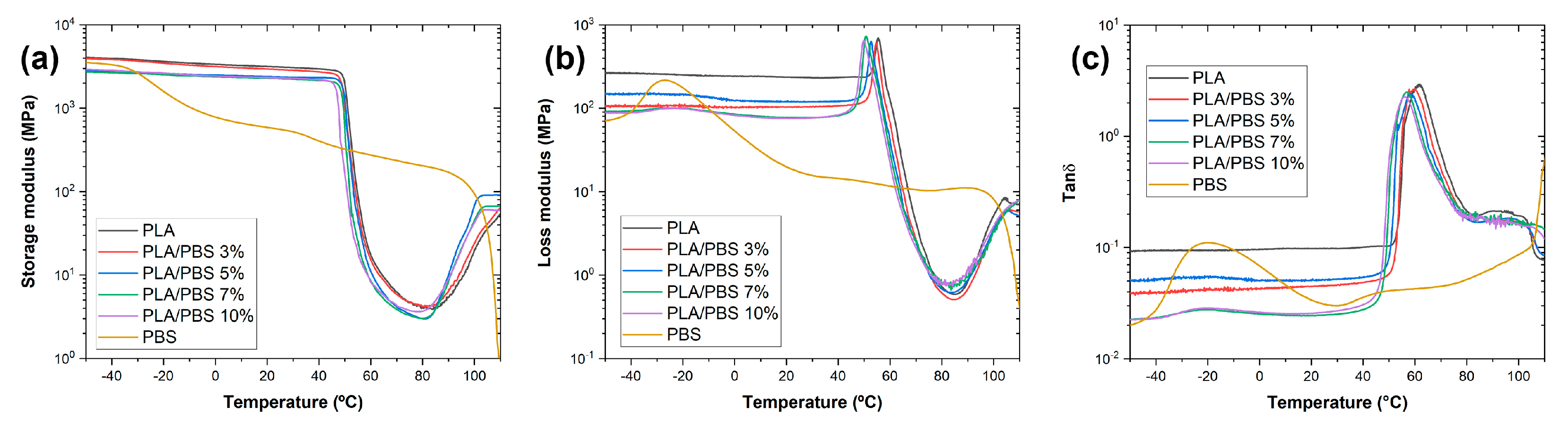
3.1.4. DMA Analysis of PLA/PBS Blends
3.1.5. Thermal Properties and Crystallinity of PLA/PBS Blends
3.2. Characterization of PLA/PBS Blend Fibers
3.2.1. Cross-Sectional Morphology of PLA/PBS Blend Fibers
3.2.2. Effects of PBS Content on the Crystallinity of PLA/PBS Blend Fibers
3.2.3. Mechanical Properties of PLA/PBS Blend Fibers
4. Conclusions
Author Contributions
Funding
Institutional Review Board Statement
Informed Consent Statement
Data Availability Statement
Conflicts of Interest
References
- Deng, Y.; Thomas, N.L. Blending poly(butylene succinate) with poly(lactic acid): Ductility and phase inversion effects. Eur. Polym. J. 2015, 71, 534–546. [Google Scholar] [CrossRef]
- Chang, F.-L.; Hu, B.; Huang, W.-T.; Chen, L.; Yin, X.-C.; Cao, X.-W.; He, G.-J. Improvement of rheology and mechanical properties of PLA/PBS blends by in-situ UV-induced reactive extrusion. Polymer 2022, 259, 125336. [Google Scholar] [CrossRef]
- Zhang, K.; Mohanty, A.K.; Misra, M. Fully Biodegradable and Biorenewable Ternary Blends from Polylactide, Poly(3-hydroxybutyrate-co-hydroxyvalerate) and Poly(butylene succinate) with Balanced Properties. ACS Appl. Mater. Interfaces 2012, 4, 3091–3101. [Google Scholar] [CrossRef] [PubMed]
- Mehta, R.; Kumar, V.; Bhunia, H.; Upadhyay, S.N. Synthesis of Poly(Lactic Acid): A Review. J. Macromol. Sci. Part C 2005, 45, 325–349. [Google Scholar] [CrossRef]
- Rasal, R.M.; Janorkar, A.V.; Hirt, D.E. Poly(lactic acid) modifications. Prog. Polym. Sci. 2010, 35, 338–356. [Google Scholar] [CrossRef]
- He, L.; Song, F.; Li, D.-F.; Zhao, X.; Wang, X.-L.; Wang, Y.-Z. Strong and Tough Polylactic Acid Based Composites Enabled by Simultaneous Reinforcement and Interfacial Compatibilization of Microfibrillated Cellulose. ACS Sustain. Chem. Eng. 2020, 8, 1573–1582. [Google Scholar] [CrossRef]
- Zolali, A.M.; Favis, B.D. Toughening of Cocontinuous Polylactide/Polyethylene Blends via an Interfacially Percolated Intermediate Phase. Macromolecules 2018, 51, 3572–3581. [Google Scholar] [CrossRef]
- Sun, M.; Huang, S.; Yu, M.; Han, K. Toughening Modification of Polylactic Acid by Thermoplastic Silicone Polyurethane Elastomer. Polymers 2021, 13, 1953. [Google Scholar] [CrossRef] [PubMed]
- Oh, J.; Kim, Y.K.; Hwang, S.-H.; Kim, H.-C.; Jung, J.-H.; Jeon, C.-H.; Kim, J.; Lim, S.K. Preparation of Side-By-Side Bicomponent Fibers Using Bio Polyol Based Thermoplastic Polyurethane (TPU) and TPU/Polylactic Acid Blends. Fibers 2022, 10, 95. [Google Scholar] [CrossRef]
- Harada, M.; Ohya, T.; Iida, K.; Hayashi, H.; Hirano, K.; Fukuda, H. Increased impact strength of biodegradable poly(lactic acid)/poly(butylene succinate) blend composites by using isocyanate as a reactive processing agent. J. Appl. Polym. Sci. 2007, 106, 1813–1820. [Google Scholar] [CrossRef]
- Yokohara, T.; Yamaguchi, M. Structure and Properties for Biomass-Based Polyester Blends of PLA and PBS. Eur. Polym. J. 2008, 44, 677–685. [Google Scholar] [CrossRef]
- Tokiwa, Y.; Calabia, B.P.; Ugwu, C.U.; Aiba, S. Biodegradability of Plastics. Int. J. Mol. Sci. 2009, 10, 3722–3742. [Google Scholar] [CrossRef] [PubMed]
- Su, S.; Kopitzky, R.; Tolga, S.; Kabasci, S. Polylactide (PLA) and Its Blends with Poly(butylene succinate) (PBS): A Brief Review. Polymers 2019, 11, 1193. [Google Scholar] [CrossRef] [PubMed]
- Weise, B.; Huysman, S.; Manvi, P.; Theunissen, L. PBS-based Fibres for Renewable Textiles. Bioplatics Mag 2018, 5, 24–25. [Google Scholar]
- Yang, H.J.; Kim, Y.K.; Son, J.A.; Choi, I.S.; Lim, S.K. Preparation of modified polylactic acid fiber containing anti-hydrolysis agents. J. Appl. Polym. Sci. 2023, 140, e54436. [Google Scholar] [CrossRef]
- Qiu, T.Y.; Song, M.; Zhao, L.G. Testing, characterization and modeling of mechanical behaviour of poly (lactic-acid) and poly (butylene succinate) blends. Mech. Adv. Mater. Mod. Process. 2016, 2, 7. [Google Scholar] [CrossRef]
- Ou-Yang, Q.; Guo, B.; Xu, J. Preparation and Characterization of Poly(butylene succinate)/Polylactide Blends for Fused Deposition Modeling 3D Printing. ACS Omega 2018, 3, 14309–14317. [Google Scholar] [CrossRef]
- Yamaguchi, M.; Wagner, M.H. Impact of processing history on rheological properties for branched polypropylene. Polymer 2006, 47, 3629–3635. [Google Scholar] [CrossRef]
- Jompang, L.; Thumsorn, S.; On, J.W.; Surin, P.; Apawet, C.; Chaichalermwong, T.; Kaabbuathong, N.; O-Charoen, N.; Srisawat, N. Poly(Lactic Acid) and Poly(Butylene Succinate) Blend Fibers Prepared by Melt Spinning Technique. Energy Procedia 2013, 34, 493–499. [Google Scholar] [CrossRef]
- Xie, L.; Xu, H.; Niu, B.; Ji, X.; Chen, J.; Li, Z.-M.; Hsiao, B.S.; Zhong, G.-J. Unprecedented Access to Strong and Ductile Poly(lactic acid) by Introducing In Situ Nanofibrillar Poly(butylene succinate) for Green Packaging. Biomacromolecules 2014, 15, 4054–4064. [Google Scholar] [CrossRef]
- Lee, D.H.; Park, K.H.; Kim, Y.H.; Lee, H.S. Surface Chain Orientation during Crystallization Induction Period of Poly(pentamethylene 2,6-naphthalate) Studied with Polarized FTIR-ATR. Macromolecules 2007, 40, 6277–6282. [Google Scholar] [CrossRef]
- Rasheed, M.; Jawaid, M.; Parveez, B.; Hussain Bhat, A.; Alamery, S. Morphology, Structural, Thermal, and Tensile Properties of Bamboo Microcrystalline Cellulose/Poly(Lactic Acid)/Poly(Butylene Succinate) Composites. Polymers 2021, 13, 465. [Google Scholar] [CrossRef] [PubMed]
- Núñez, M.; Muñoz-Guerra, S.; Martínez de Ilarduya, A. Poly(butylene succinate-co-ε-caprolactone) Copolyesters: Enzymatic Synthesis in Bulk and Thermal Properties. Polymers 2021, 13, 2679. [Google Scholar] [CrossRef] [PubMed]
- Kantor-Malujdy, N.; Skowron, S.; Michalkiewicz, B.; El Fray, M. Poly(butylene-succinate)-based blends with enhanced oxygen permeability. Mater. Today Commun. 2022, 33, 104306. [Google Scholar] [CrossRef]
- Chieng, B.W.; Ibrahim, N.A.; Yunus, W.M.Z.W.; Hussein, M.Z. Poly(lactic acid)/Poly(ethylene glycol) Polymer Nanocomposites: Effects of Graphene Nanoplatelets. Polymers 2014, 6, 93–104. [Google Scholar] [CrossRef]
- Xie, L.; Xu, H.; Li, L.-B.; Hsiao, B.S.; Zhong, G.-J.; Li, Z.-M. Biomimetic Nanofibrillation in Two-Component Biopolymer Blends with Structural Analogs to Spider Silk. Sci. Rep. 2016, 6, 34572. [Google Scholar] [CrossRef] [PubMed]
- Oh, J.; Kim, Y.K.; Hwang, S.-H.; Kim, H.-C.; Jung, J.-H.; Jeon, C.-H.; Lim, S.K. Synthesis and characterization of improved bio-based carbon content thermoplastic polyurethane with bio-aliphatic and petro-aromatic diisocyanate. J. Appl. Polym. Sci. 2023, 140, e54088. [Google Scholar] [CrossRef]
- Zhao, T.; Yu, J.; Zhang, X.; Han, W.; Zhang, S.; Pan, H.; Zhang, Q.; Yu, X.; Bian, J.; Zhang, H. Thermal, crystallization, and mechanical properties of polylactic acid (PLA)/poly(butylene succinate) (PBS) blends. Polym. Bull. 2023, 81, 2481–2504. [Google Scholar] [CrossRef]
- Hu, X.; Su, T.; Li, P.; Wang, Z. Blending modification of PBS/PLA and its enzymatic degradation. Polym. Bull. 2018, 75, 533–546. [Google Scholar] [CrossRef]











| Property | PLA | PBS |
|---|---|---|
| Glass transition temperature (°C) | 55–60 | −32 |
| Melting point (°C) | 150–175 | 114 |
| Modulus of elasticity (MPa) | 3500–4150 | 550–700 |
| Tensile strength (MPa) | 50–70 | 34 |
| Elongation at break (%) | 4–7 | 560 |
| Biodegradability at 70 °C | Yes | Yes |
| Biodegradability at 30 °C | No | Yes |
| Sample | Melt Flow Index (g/10 min) | ||
|---|---|---|---|
| At 190 °C | At 210 °C | At 230 °C | |
| PLA | 3.36 | 8.47 | 10.69 |
| PBS | 22.62 | 34.51 | 48.26 |
| PLA/PBS 3% | 3.42 | 8.65 | 11.63 |
| PLA/PBS 5% | 3.42 | 8.68 | 12.13 |
| PLA/PBS 7% | 3.44 | 8.91 | 12.25 |
| PLA/PBS 10% | 3.47 | 9.36 | 13.61 |
| Sample | K (Pa·s) | n |
|---|---|---|
| PLA | 159.2 | 0.97 |
| PBS | 0.09 | 0.11 |
| PLA/PBS 3% | 30.0 | 0.86 |
| PLA/PBS 5% | 7.2 | 0.84 |
| PLA/PBS 7% | 4.9 | 0.82 |
| PLA/PBS 10% | 0.2 | 0.29 |
| Sample | TgPLA (°C) | TccPLA (°C) | Tm1PLA (°C) | Tm2PLA (°C) | ΔHccPLA (J g−1) | ΔHmPLA (J g−1) | χcPLA (%) |
|---|---|---|---|---|---|---|---|
| PLA | 53.36 | 100.68 | 143.91 | 152.54 | 30.74 | 34.31 | 3.84 |
| PBS | - | - | - | - | - | - | - |
| PLA/PBS 3% | 54.30 | 101.69 | 144.38 | 152.56 | 19.05 | 30.91 | 13.15 |
| PLA/PBS 5% | 54.43 | 105.70 | 145.21 | 152.66 | 17.34 | 29.09 | 13.27 |
| PLA/PBS 7% | 53.96 | 102.23 | 144.19 | 151.36 | 19.55 | 26.20 | 7.69 |
| PLA/PBS 10% | 53.66 | 101.97 | 143.75 | 150.36 | 17.33 | 23.38 | 7.23 |
| Sample | TgPLA (°C) | TmPLA (°C) | ΔHmPLA (J g−1) | χcPLA (%) | TmPBS (°C) | ΔHmPBS (J g−1) | χcPBS (%) |
|---|---|---|---|---|---|---|---|
| PLA | 59.48 | 150.17 | 32.59 | 35.04 | - | - | - |
| PBS | - | - | - | - | 113.08 | 72.51 | 34.53 |
| PLA/PBS 3% | 59.27 | 149.49 | 33.13 | 36.73 | 108.57 | 0.51 | 8.10 |
| PLA/PBS 5% | 59.12 | 149.89 | 33.01 | 37.36 | 110.79 | 1.52 | 14.48 |
| PLA/PBS 7% | 58.62 | 150.59 | 32.75 | 37.87 | 109.80 | 2.15 | 14.63 |
| PLA/PBS 10% | 53.66 | 150.77 | 29.53 | 35.28 | 110.21 | 3.61 | 17.19 |
| Sample | Xc(200)/(110)PLA (%) | Xc(203)PLA (%) | XamorPLA (%) | XmesoPLA (%) | X(110)PBS (%) | X(020)PBS (%) | X(021)PBS (%) | XcPLA (%) |
|---|---|---|---|---|---|---|---|---|
| PLA | 41.19 | 24.05 | 23.51 | 11.25 | - | - | - | 65.24 |
| PBS | - | - | - | - | 4.84 | 22.71 | 72.45 | - |
| PLA/PBS 3% | 36.04 | 32.15 | 23.60 | 8.21 | - | - | - | 68.19 |
| PLA/PBS 5% | 37.08 | 33.61 | 24.62 | - | 3.89 | - | - | 70.69 |
| PLA/PBS 7% | 37.62 | 38.51 | 14.23 | - | 9.64 | - | - | 76.13 |
| PLA/PBS 10% | 27.76 | 34.12 | 23.00 | - | - | - | 15.12 | 61.88 |
| Sample | Wh | fc | fH | Tensile Strength (MPa) | Elongation at Break (%) |
|---|---|---|---|---|---|
| PLA | 8.865 | 0.951 | 0.718 | 3.58 ± 0.51 | 10.24 ± 0.40 |
| PBS | 164.24 | 0.085 | 0.016 | 1.66 ± 0.16 | 58.61 ± 0.21 |
| PLA/PBS 3% | 32.41 | 0.820 | 0.321 | 3.55 ± 0.35 | 11.63 ± 0.18 |
| PLA/PBS 5% | 29.06 | 0.839 | 0.541 | 3.28 ± 0.21 | 12.36 ± 0.28 |
| PLA/PBS 7% | 10.58 | 0.941 | 0.719 | 3.16 ± 0.14 | 16.58 ± 0.36 |
| PLA/PBS 10% | 38.90 | 0.784 | 0.265 | 2.55 ± 0.27 | 19.22 ± 0.49 |
Disclaimer/Publisher’s Note: The statements, opinions and data contained in all publications are solely those of the individual author(s) and contributor(s) and not of MDPI and/or the editor(s). MDPI and/or the editor(s) disclaim responsibility for any injury to people or property resulting from any ideas, methods, instructions or products referred to in the content. |
© 2024 by the authors. Licensee MDPI, Basel, Switzerland. This article is an open access article distributed under the terms and conditions of the Creative Commons Attribution (CC BY) license (https://creativecommons.org/licenses/by/4.0/).
Share and Cite
Choi, I.S.; Kim, Y.K.; Hong, S.H.; Seo, H.-J.; Hwang, S.-H.; Kim, J.; Lim, S.K. Effects of Polybutylene Succinate Content on the Rheological Properties of Polylactic Acid/Polybutylene Succinate Blends and the Characteristics of Their Fibers. Materials 2024, 17, 662. https://doi.org/10.3390/ma17030662
Choi IS, Kim YK, Hong SH, Seo H-J, Hwang S-H, Kim J, Lim SK. Effects of Polybutylene Succinate Content on the Rheological Properties of Polylactic Acid/Polybutylene Succinate Blends and the Characteristics of Their Fibers. Materials. 2024; 17(3):662. https://doi.org/10.3390/ma17030662
Chicago/Turabian StyleChoi, Ik Sung, Young Kwang Kim, Seong Hui Hong, Hye-Jin Seo, Sung-Ho Hwang, Jongwon Kim, and Sang Kyoo Lim. 2024. "Effects of Polybutylene Succinate Content on the Rheological Properties of Polylactic Acid/Polybutylene Succinate Blends and the Characteristics of Their Fibers" Materials 17, no. 3: 662. https://doi.org/10.3390/ma17030662
APA StyleChoi, I. S., Kim, Y. K., Hong, S. H., Seo, H.-J., Hwang, S.-H., Kim, J., & Lim, S. K. (2024). Effects of Polybutylene Succinate Content on the Rheological Properties of Polylactic Acid/Polybutylene Succinate Blends and the Characteristics of Their Fibers. Materials, 17(3), 662. https://doi.org/10.3390/ma17030662

