Thermal Stability and Flame Retardancy of Rigid Polyurethane Foam Composites Filled with Phase-Change Microcapsule
Abstract
1. Introduction
2. Materials and Methods
2.1. Materials
2.2. Preparation of Composite Materials
2.2.1. Preparation of Phase-Change Capsules
2.2.2. Preparation of Composite Materials
2.3. Characterization
3. Results and Discussion
3.1. Surface Topography Analysis
3.2. Fourier-Transform Infrared (FT-IR) Spectra Analysis
3.3. XRD Analysis
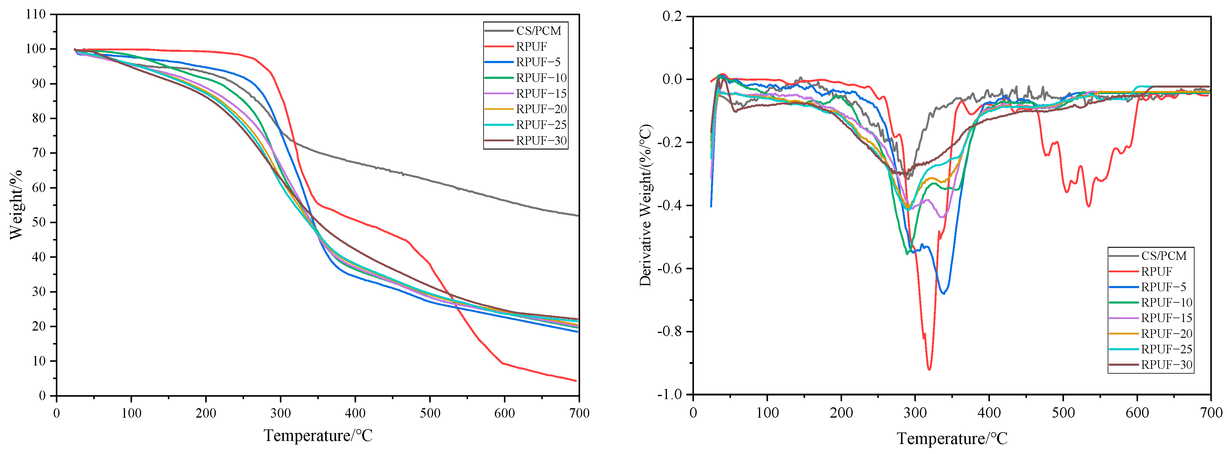
3.4. Thermogravimetric (TG) Analysis
3.5. DSC Analysis
3.6. Thermal Conductivity Evaluation and Analysis
3.7. Flame-Retardant Performance
3.8. Flame-Retardant Mechanism Analysis
4. Conclusions
Author Contributions
Funding
Institutional Review Board Statement
Informed Consent Statement
Data Availability Statement
Conflicts of Interest
References
- Chen, Y.; Bai, Z.Y.; Xu, X.Y.; Guo, J.B.; Chen, X.L.; Hsu, S.L.; Lu, Z.C.; Wu, H. Phosphonitrile decorating expandable graphite as a high-efficient flame retardant for rigid polyurethane foams. Polymer 2023, 283, 126268. [Google Scholar] [CrossRef]
- Skleničková, K.; Abbrent, S.; Halecký, M.; Kočí, V.; Beneš, H. Biodegradability and ecotoxicity of polyurethane foams: A review. Crit. Rev. Environ. Sci. Technol. 2022, 52, 157–202. [Google Scholar] [CrossRef]
- Choi, J.; Min, K.H.; Kim, B.S.; Baeck, S.H.; Shim, S.E.; Qian, Y. Preparation of Ar–P–N-structured flame retardant via Kabachnik–Fields reaction for fire safety and mechanical reinforcement of polyurethane. Prog. Org. Coat. 2024, 186, 108081. [Google Scholar] [CrossRef]
- Członka, S.; Kairytė, A.; Miedzinska, K.; Strąkowska, A. Polyurethane composites reinforced with walnut shell filler treated with perlite, montmorillonite and halloysite. Int. J. Mol. Sci. 2021, 22, 7304. [Google Scholar] [CrossRef] [PubMed]
- Vlasov, R.R.; Ryabova, D.; Zeynalova, S.Z.; Sokolov, D.V.; Ryabov, S.A. The influence of nanoclays on the mechanical and thermal properties of rigid PIR and PUR foams. J. Serb. Chem. Soc. 2023, 88, 409–421. [Google Scholar] [CrossRef]
- Akdogan, E.; Erdem, M.; Ureyen, M.E.; Kaya, M. Rigid polyurethane foams with halogen-free flame retardants: Thermal insulation, mechanical, and flame retardant properties. J. Appl. Polym. Sci. 2020, 137, 47611. [Google Scholar] [CrossRef]
- Oenema, J.; Liu, H.R.; Coensel, D.N.; Eschenbacher, A.; Vijver, R.V.D.; Weng, J.; Li, L.; Wang, C.; Geem, K.M.V. Review on the pyrolysis products and thermal decomposition mechanisms of polyurethanes. J. Anal. Appl. Pyrol. 2022, 168, 105723. [Google Scholar] [CrossRef]
- Chen, L.; Lv, J.; Ding, L.; Yang, G.; Mao, Z.; Wang, B.; Feng, X.; Zapotoczny, S.; Sui, X. A shape-stable phase change composite prepared from cellulose nanofiber/polypyrrole/polyethylene glycol for electric-thermal energy conversion and storage. Chem. Eng. J. 2020, 400, 125950. [Google Scholar] [CrossRef]
- Borreguero, A.M.; Rodríguez, J.F.; Valverde, J.L. Characterization of rigid polyurethane foams containing microencapsulted phase change materials: Microcapsules type effect. J. Appl. Polym. Sci. 2012, 128, 582–590. [Google Scholar] [CrossRef]
- Serrano, A.; Borreguero, A.M.; Garrido, I.; Rodríguez, J.F.; Carmona, M. Reducing heat loss through the building envelope by using polyurethane foams containing thermoregulating microcapsules. Appl. Therm. Eng. 2016, 103, 226–232. [Google Scholar] [CrossRef]
- Wang, X.C.; You, M.; Zhang, X.X.; Li, W. The Effects of MicroPCMs on High-Resilience PU Foams. Polyurethane Ind. 2011, 26, 17–20, 28. [Google Scholar]
- You, M.; Zhang, X.X.; Li, W.; Wang, X.C. Effects of MicroPCMs on the fabrication of MicroPCMs/polyurethane composite foams. Thermochim. Acta 2008, 472, 20–24. [Google Scholar] [CrossRef]
- You, M.; Zhang, X.X.; Wang, J.P.; Wang, X.C. Polyurethane foam containing microencapsulated phase-change materials with styrene-divinybenzene co-polymer shells. J. Mater. Sci. 2009, 44, 3141–3147. [Google Scholar] [CrossRef]
- Niu, S.S.; Kang, M.Y.; Liu, Y.Q.; Lin, W.; Liang, C.C.; Zhao, Y.Q.; Cheng, J.J. The preparation and characterization of phase change material microcapsules with multifunctional carbon nanotubes for controlling temperature. Energy 2023, 268, 126652. [Google Scholar] [CrossRef]
- Sadrameli, S.M.; Motaharinejad, F.; Mohammadpour, M.; Dorkoosh, F. An experimental investigation to the thermal conductivity enhancement of paraffin wax as a phase change material using diamond nanoparticles as a promoting factor. Heat Mass Transfer. 2019, 55, 1801–1808. [Google Scholar] [CrossRef]
- Thakur, V.K.; Thakur, M.K. Recent advances in graft copolymerization and applications of chitosan: A review. ACS Sustain. Chem. Eng. 2014, 12, 2637–2652. [Google Scholar] [CrossRef]
- Thakur, V.K.; Voicu, S.I. Recent advances in cellulose and chitosan based membranes for water purification: A concise review. Carbohyd. Polym. 2016, 146, 148–164. [Google Scholar] [CrossRef] [PubMed]
- ISO 5660-1:2015; Heat Release, Smoke Production and Mass Loss Rate. International Organization for Standardization: Geneva, Switzerland, 2015.
- Zhang, Z.; Zhang, Z.; Chang, T.; Wang, J.; Wang, X.; Zhou, G. Phase change material microcapsules with melamine resin shell via cellulose nanocrystal stabilized Pickering emulsion in-situ polymerization. Chem. Eng. J. 2022, 428, 131164. [Google Scholar] [CrossRef]
- Dessie, W.; Tang, J.C.; Wang, M.F.; Luo, X.F.; Liu, X.X.; Qin, Z.D. One-pot conversion of industrial hemp residue into fermentable feedstocks using green catalyst and enzyme cocktails generated by solid-state fermentation. Ind. Crop. Prod. 2022, 182, 114885. [Google Scholar] [CrossRef]
- Min, S.; Ezati, P.; Rhim, J.W. Gelatin-based packaging material incorporated with potato skins carbon dots as functional filler. Ind. Crop. Prod. 2022, 181, 114820. [Google Scholar] [CrossRef]
- Shaikh, N.; Pamidimukkala, P. Magnetic chitosan stabilized palladium nanostructures: Potential catalysts for aqueous Suzuki coupling reactions. Int. J. Biol. Macromol. 2021, 183, 1560–1573. [Google Scholar] [CrossRef] [PubMed]
- Burgaz, E.; Kendirlioglu, C. Thermomechanical behavior and thermal stability of polyurethane rigid nanocomposite foams containing binary nanoparticle mixtures. Polym. Test. 2019, 77, 105930. [Google Scholar] [CrossRef]
- Sharshir, S.W.; El-Shafai, N.M.; Ibrahim, M.M.; Kandeal, A.W.; El-Sheshtawy, H.S.; Ramadan, M.S.; Rashad, M.; El-Mehasseb, I.M. Effect of copper oxide/cobalt oxide nanocomposite on phase change material for direct/indirect solar energy applications: Experimental investigation. J. Energy Stor. 2021, 38, 102526. [Google Scholar] [CrossRef]
- Członka, S.; Strąkowska, A. Rigid Polyurethane Foams Based on Bio-Polyol and Additionally Reinforced with Silanized and Acetylated Walnut Shells for the Synthesis of Environmentally Friendly Insulating. Materials 2020, 13, 3245. [Google Scholar] [CrossRef]
- Szczotok, A.M.; Madsen, D.; Serrano Casero, Á.; Carmona, M.; Van Hees, P.; Rodríguez Romero, J.F.; Kjøniksen, A.L. Flame retardancy of rigid polyurethane foams containing thermoregulating microcapsules with phosphazene based monomers. J. Mater. Sci. 2021, 56, 1172–1188. [Google Scholar] [CrossRef]
- Acharya, S.R.; Palai, A.K.; Mohanty, S. Greener rigid polyurethane nanocomposite foams: Investigation of physico-mechanical properties formulated with eco-friendly blowing agents. J. Polym. Res. 2023, 30, 19. [Google Scholar] [CrossRef]
- Jia, X.L.; Xu, L.J.; Hu, Y.Y.; Li, C.; Geng, X.H.; Guo, H.Y.; Liu, X.W.; Tan, Y.X.; Wang, J.Y. Preparation of agglomeration-free composite energetic microspheres taking PMMA-PVA with honeycomb structure as template via the molecular collaborative self-assembly. J. Energ. Mater. 2021, 39, 182–196. [Google Scholar] [CrossRef]
- Jędrzejczak, P.; Collins, M.N.; Jesionowski, T.; Klapiszewski, Ł. The role of lignin and lignin-based materials in sustainable construction-a comprehensive review. Int. Biol. Macromol. 2021, 187, 624–650. [Google Scholar] [CrossRef]
- Vahabi, H.; Kandola, B.; Saeb, M. Flame retardancy index for thermoplastic composites. Polymers 2019, 11, 407. [Google Scholar] [CrossRef]
- Vahabi, H.; Laoutid, F.; Movahedifar, E.; Khalili, R.; Rahmati, N.; Vagner, C.; Cochez, M.; Brison, L.; Ducos, F.; Ganjali, M.R.; et al. Description of complementary actions of mineral and organic additives in thermoplastic polymer composites by flame retardancy index. Polym. Advan. Technol. 2019, 30, 2056–2066. [Google Scholar] [CrossRef]
- Pan, Y.; Zhan, J.; Pan, H.F.; Wang, W.; Tang, G.; Song, L.; Hu, Y. Effect of Fully Biobased Coatings Constructed via Layer-by-Layer Assembly of Chitosan and Lignosulfonate on the Thermal, Flame Retardant, and Mechanical Properties of Flexible Polyurethane Foam. ACS Sustain. Chem. Eng. 2016, 4, 1431–1438. [Google Scholar] [CrossRef]
- Kameda, T.; Horikoshi, K.; Kikuchi, H.; Kitagawa, F.; Kumagai, S.; Saito, Y.; Kondo, M.; Jimbo, Y.; Yoshioka, T. Kinetic and equilibrium analyses of lactate adsorption by Cu-Al and Mg-Al layered double hydroxides (Cu-Al LDH and Mg-Al LDH) and Cu-Al and Mg-Al layered double oxides (Cu-Al LDO and Mg-Al LDO). Nano-Struct. Nano-Objects 2021, 25, 100656. [Google Scholar] [CrossRef]
- Zhang, Z.T.; Du, W.N.; Liu, Y.; Liang, Z.; Li, F.F.; Yong, Y.; Li, Z.J. Thermal management ability and flame retardancy of silicone rubber foam filled with flame retardant phase change capsules. Appl. Clay Sci. 2023, 240, 106977. [Google Scholar] [CrossRef]
- Nguyen-Ha, T.M.; Nguyen, T.B.; Nguyen, T.A.; Pham, L.H.; Nguyen, D.H.; Nguyen, D.M.; Hoang, D.Q.; Oh, E.; Suhr, J. Novel high-performance sustainable polyurethane nanocomposite foams: Fire resistance, thermal stability, thermal conductivity, and mechanical properties. Chem. Eng. J. 2023, 474, 145585. [Google Scholar] [CrossRef]














| Samples | Ea1 | Ea2 | Ea3 | Ea | lgA | R2 |
|---|---|---|---|---|---|---|
| CS/PCM | 404.65 | 390.03 | 403.70 | 399.46 | 64.54 | 0.99 |
| RPUF-20 | 665.74 | 638.44 | 663.85 | 656.01 | 105.43 | 0.99 |
| RPUF-30 | 869.66 | 832.23 | 864.53 | 855.47 | 138.04 | 0.98 |
| Samples | TTI /(s) | PHRR /(kW/m2) | tPHRR /(s) | THR /(kJ/m2) | PSPR /(m2/s) | FIGRA | FRI |
|---|---|---|---|---|---|---|---|
| RPUF | 2 | 279.58 | 20 | 17.57 | 0.1263 | 13.98 | / |
| RPUF-10 | 2 | 190.83 | 22 | 12.85 | 0.0771 | 8.67 | 2.00 |
| RPUF-20 | 3 | 126.01 | 25 | 9.21 | 0.0584 | 5.04 | 6.35 |
| RPUF-30 | 3 | 93.57 | 25 | 7.58 | 0.0558 | 3.74 | 10.39 |
Disclaimer/Publisher’s Note: The statements, opinions and data contained in all publications are solely those of the individual author(s) and contributor(s) and not of MDPI and/or the editor(s). MDPI and/or the editor(s) disclaim responsibility for any injury to people or property resulting from any ideas, methods, instructions or products referred to in the content. |
© 2024 by the authors. Licensee MDPI, Basel, Switzerland. This article is an open access article distributed under the terms and conditions of the Creative Commons Attribution (CC BY) license (https://creativecommons.org/licenses/by/4.0/).
Share and Cite
Cao, Q.; Cao, Q.; Zhou, L.; Yu, K. Thermal Stability and Flame Retardancy of Rigid Polyurethane Foam Composites Filled with Phase-Change Microcapsule. Materials 2024, 17, 888. https://doi.org/10.3390/ma17040888
Cao Q, Cao Q, Zhou L, Yu K. Thermal Stability and Flame Retardancy of Rigid Polyurethane Foam Composites Filled with Phase-Change Microcapsule. Materials. 2024; 17(4):888. https://doi.org/10.3390/ma17040888
Chicago/Turabian StyleCao, Qing, Qinggui Cao, Lujie Zhou, and Kai Yu. 2024. "Thermal Stability and Flame Retardancy of Rigid Polyurethane Foam Composites Filled with Phase-Change Microcapsule" Materials 17, no. 4: 888. https://doi.org/10.3390/ma17040888
APA StyleCao, Q., Cao, Q., Zhou, L., & Yu, K. (2024). Thermal Stability and Flame Retardancy of Rigid Polyurethane Foam Composites Filled with Phase-Change Microcapsule. Materials, 17(4), 888. https://doi.org/10.3390/ma17040888

