Analysis and Correction of the Shrinkage Prediction Model for Manufactured Sand Concrete
Abstract
1. Introduction
2. Comparative Analysis of Typical Concrete Shrinkage Prediction Models
2.1. ACI 209 Model
2.2. CEB-FIP 2010 Model
2.3. B3 Model
2.4. GL2000 Model
3. Comparative Analysis Between Shrinkage Prediction Models and Experimental Results for MSC
3.1. Overview of Experimental Data and Methodology
3.2. MSC Shrinkage Test Result
3.3. Identification of Prediction Deviations in Existing Models
4. Analysis and Modification of MSC Shrinkage Models
4.1. B3 Model
4.2. CEB-FIP 2010 Model
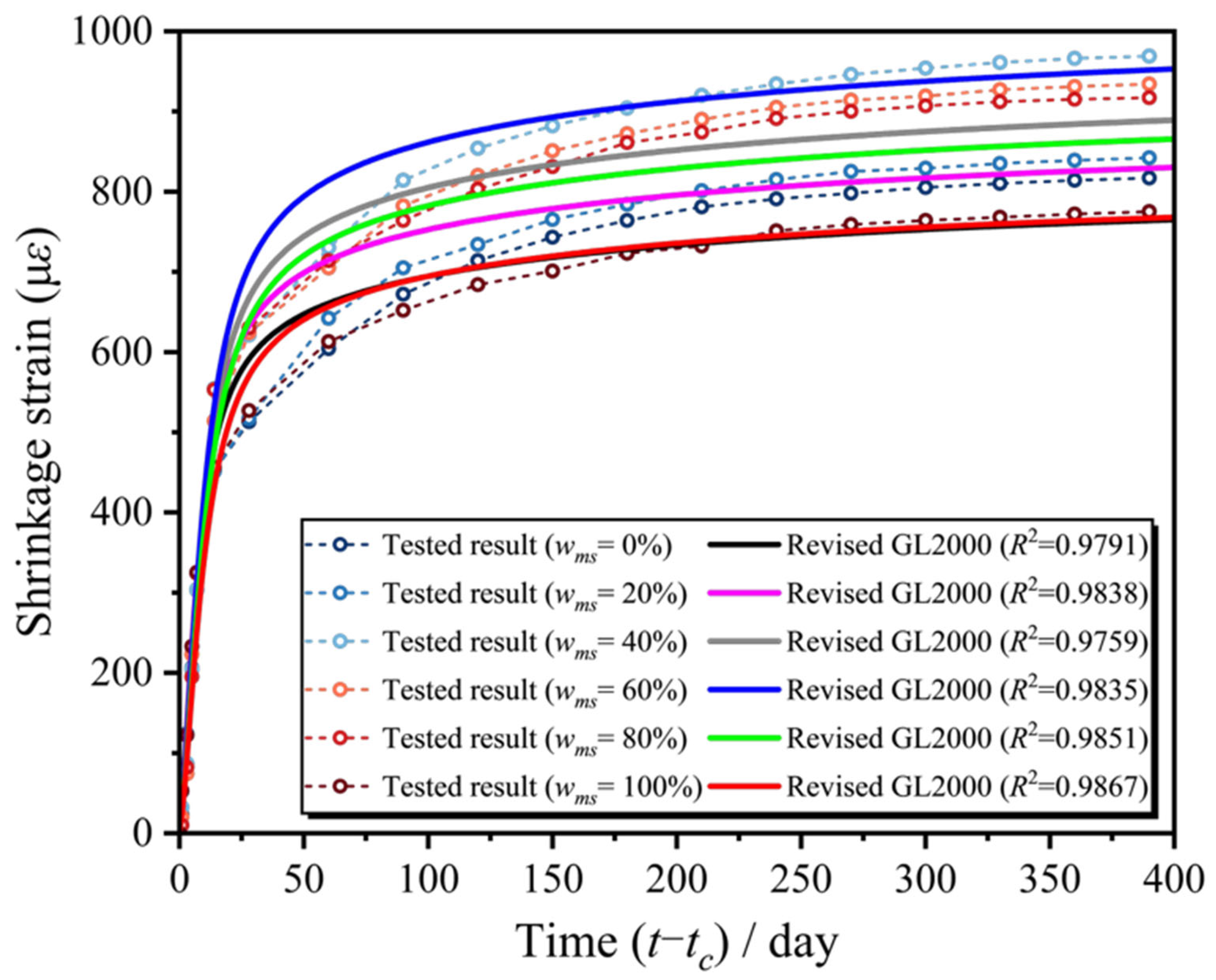
4.3. GL2000 Model
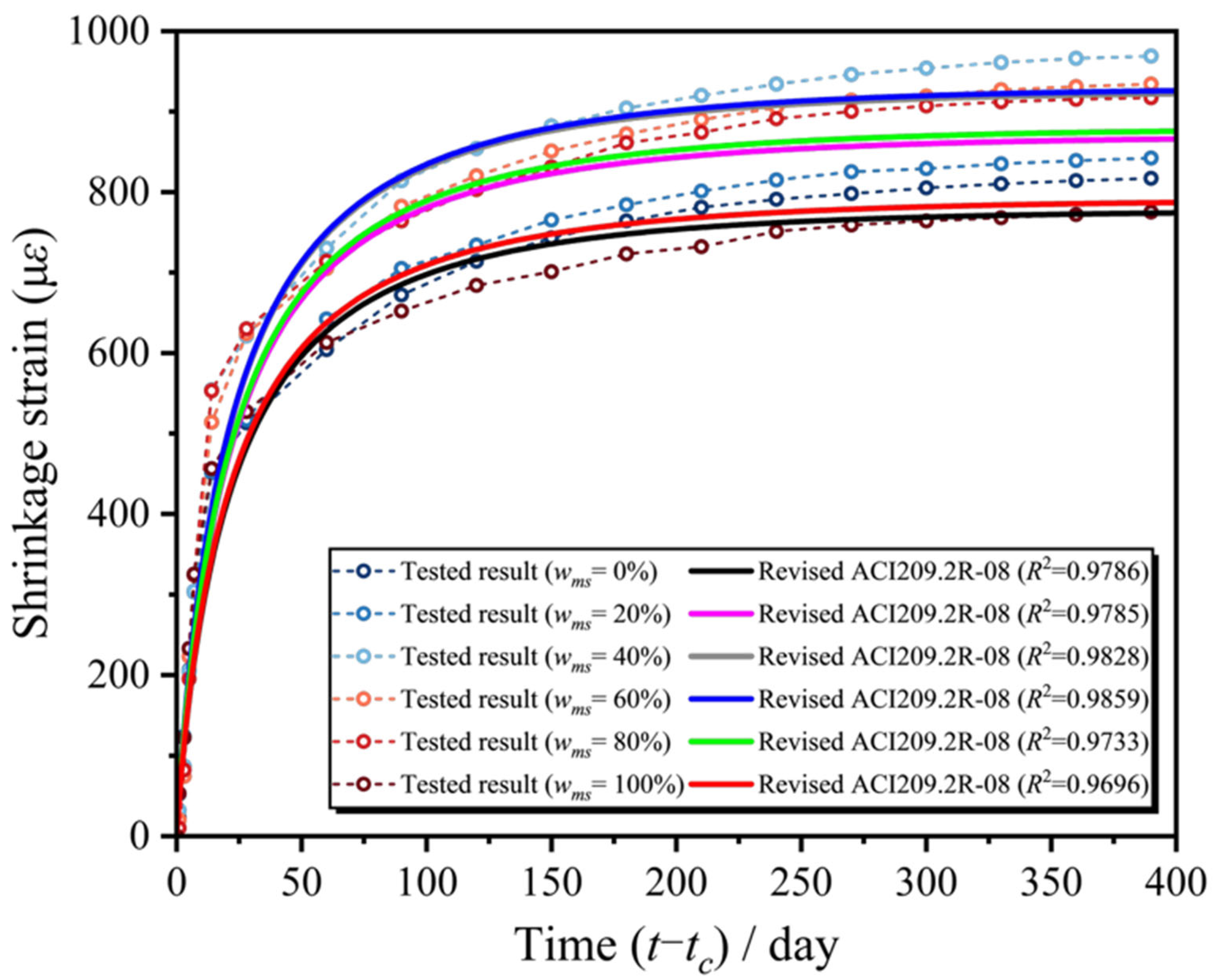
4.4. ACI 209 Model
5. Conclusions
- By comparing the shrinkage test results of MSC with classical shrinkage models, the gap between the predicted values of existing models and the measured shrinkage of MSC was identified. Among them, the B3 and CEB-FIP 2010 models significantly underestimated the shrinkage of MSC, while the ACI 209 and GL2000 models provided overall predictions that were closer to the measured values.
- Based on the experimental data, the GL2000 and ACI 209 models were modified to improve their shrinkage prediction for MSC. The revised models introduced the manufactured sand content as a new variable and showed overall shrinkage curves that more closely matched the actual shrinkage strain behavior of MSC.
- The research showed that the CEB-FIP 2010 and B3 models performed poorly in predicting the MSC shrinkage (R2 negative), while the original GL2000 and ACI 209.2R-08 models had a limited accuracy (R2 from 0.0667 to 0.8669). After introducing the manufactured sand dosage correction factor, the R2 of GL2000 and ACI models improved to 0.9696–0.9859, with the revised GL2000 model performing best and is recommended for MSC shrinkage prediction.
Author Contributions
Funding
Data Availability Statement
Conflicts of Interest
References
- Branavan, A.; Chaminda, K.; Anura, N. Performance Evaluation of Cement Mortar Produced with Manufactured Sand and Offshore Sand as Alternatives for River Sand. Constr. Build. Mater. 2021, 297, 123784. [Google Scholar] [CrossRef]
- Zhang, Y.Z.; Gu, L.Y.; Zhang, Q.L. Durability of Manufactured Sand Concrete in Atmospheric Acidification Environment. Case Stud. Constr. Mater. 2022, 17, e01613. [Google Scholar] [CrossRef]
- Zheng, S.B.; Chen, J.J.; Wang, W.X. Effects of Fines Content on Durability of High-Strength Manufactured Sand Concrete. Materials 2023, 16, 522. [Google Scholar] [CrossRef] [PubMed]
- Tang, C.; Dong, R.; Tang, Z.; Long, G.; Zeng, X.; Xie, Y.; Xie, Y.; Cheng, G.; Ma, G.; Wang, H.; et al. Effects of Shrinkage Reducing Admixture and Internal Curing Agent on Shrinkage and Creep of High Performance Concrete. J. Build. Eng. 2023, 71, 106446. [Google Scholar] [CrossRef]
- Yang, Y.M.; Liu, Z.H.; Tang, H.; Peng, J. Deflection-Based Failure Probability Analysis of Low Shrinkage-Creep Concrete Structures in Presence of Non-Stationary Evolution of Shrinkage and Creep Uncertainties. Constr. Build. Mater. 2023, 376, 131077. [Google Scholar] [CrossRef]
- Mahmoodi, M.J.; Khamehchi, M.; Safi, M. A Practical Model for Predicting the Dry Shrinkage Strain and Creep Coefficient of Concrete Containing Graphene Oxide Nanosheets. J. Sustain. Cem. Based Mater. 2022, 12, 246–258. [Google Scholar] [CrossRef]
- Yi, J.; Wei, Y.; Ding, M.; Xing, Z.; Al-Garbani, A.A.M. Axial Compression Performance of SSC Columns Tubed with Double-Layer Thin-Walled Corrugated Steel. J. Constr. Steel Res. 2025, 234, 109676. [Google Scholar] [CrossRef]
- Gailitis, R.; Figiela, B.; Abelkalns, K. Creep and Shrinkage Behaviour of Disintegrated and Non-Disintegrated Cement Mortar. Materials 2021, 14, 7510. [Google Scholar] [CrossRef]
- Comité Euro-International Du Béton (CEB). CEB Design Manual on Structural Effects of Time-Dependent Behavior of Concrete; Chiorino, M.A., Ed.; Georgi Publishing Co.: Cicero, IN, USA, 1984. [Google Scholar]
- Chiorino, M.A.; Lacidogna, G. Structural Effects of Time-Dependent Behaviour of Concrete in Accordance with the CEB/FIP Model Code 1990; Comité Euro-International du Béton: Lausanne, Switzerland, 1993; p. 215. [Google Scholar]
- Chiorino, M.A.; Lacidogna, G. General Unified approach for creep analysis of concrete structures—Design aids for different creep code type models. Creep Shrinkage Concr. 1999, 3, 173–217. [Google Scholar]
- Hojati, M.; Rajabipour, F.; Radlińska, A. Creep of Alkali-Activated Cement Mixtures. Case Stud. Constr. Mater. 2022, 16, e00954. [Google Scholar] [CrossRef]
- Dogan-Saglamtimur, N.; Bilgil, A. Reusability of Ashes for the Building Sector to Strengthen the Sustainability of Waste Management. In Handbook of Research on Supply Chain Management for Sustainable Development; IGI Global: Hershey, PA, USA, 2018; pp. 265–281. [Google Scholar]
- Zhang, N.X.; Yang, Q.; Li, D.P.; Yu, Y.; Jiang, X.Y.; Xu, J.J. Autogenous and Drying Shrinkage Properties of Precast Recycled Aggregate Concrete. Case Stud. Constr. Mater. 2025, 22, e04355. [Google Scholar] [CrossRef]
- Zhang, Y.; Wei, Y.; Jin, H.; Yi, J.; Liu, L.; Li, S. Behavior of underwater concrete columns confined by non-dispersive mortar and stainless steel tube subjected to core axial compression. Structures 2024, 68, 107193. [Google Scholar] [CrossRef]
- ACI 209; Prediction of Creep, Shrinkage and Temperature Effects in Concrete Structures. American Concrete Institute: Farmington Hills, MI, USA, 1992.
- Comité Euro-International Du Béton (CEB). CEB-FIP Model Code 2010 for Concrete Structures; Comité Euro-International Du Béton: Lausanne, Switzerland, 2010. [Google Scholar]
- Bažant, Z.P.; Baweja, S. Creep and Shrinkage Prediction Model for Analysis and Design of Concrete Structures: Model B3. Mater. Struct. 1995, 28, 357–365. [Google Scholar] [CrossRef]
- Gardner, N.J.; Lockman, M.J. Design Provisions for Drying Shrinkage and Creep of Normal-Strength Concrete. Mater. J. 2001, 98, 159–167. [Google Scholar]
- Zhou, Y.Q.; Du, H.; Liu, Y.H. An Experimental Study on Mechanical, Shrinkage and Creep Properties of Early-Age Concrete Affected by Clay Content on Coarse Aggregate. Case Stud. Constr. Mater. 2022, 16, 9–10. [Google Scholar] [CrossRef]
- Zhang, M.; Xu, J.; Li, M.; Yuan, X. Influence of Stone Powder Content from Manufactured Sand Concrete on Shrinkage, Cracking, Compressive Strength, and Penetration. Buildings 2023, 13, 1833. [Google Scholar] [CrossRef]
- Xi, F.; Zhao, L.; Wei, Y.; Yi, J.; Zhao, K. Effect of temperature on the bending and creep properties of wood plastic composites. Polym. Compos. 2023, 44, 4612–4622. [Google Scholar] [CrossRef]
- Zhang, Q.; Nie, Y.Q.; Zhao, W.G.; Du, L. Research on TBM Parameter Optimization Based on Failure Probability. Eng. Fail. Anal. 2025, 167 Pt B, 109036. [Google Scholar] [CrossRef]
- Yang, M.G.; Cai, C.S.; Chen, Y. Creep Performance of Concrete-Filled Steel Tubular (CFST) Columns and Applications to a CFST Arch Bridge. Steel Compos. Struct. 2015, 19, 111–129. [Google Scholar] [CrossRef]
- Ding, X.X.; Li, C.Y.; Xu, Y.Y.; Li, F.; Zhao, S. Experimental Study on Long-Term Compressive Strength of Concrete with Manufactured Sand. Constr. Build. Mater. 2016, 108, 67–73. [Google Scholar] [CrossRef]
- Gardner, N.J.; Zhao, J. Creep and Shrinkage Revisited. Mater. J. 1993, 90, 236–246. [Google Scholar]
- Dai, M.L.; Ou, H.Z.; Kuang, P.Z.; Lu, Z.; Yuan, B.; Xie, J. Study on the Mechanical Property and Durability of Alkali-Activated Seawater and Sea Sand Recycled Aggregate Concrete. J. Build. Eng. 2024, 98, 111157. [Google Scholar] [CrossRef]
- Hui, Q.X.; Yan, L.; Zhang, Z.Q.; Wang, A. Shrinkage and Creep Effect Analysis of Beam-Arch Composite Bridge Based on Field Test. Structures 2024, 62, 106187. [Google Scholar] [CrossRef]
- Ma, R.; Zhang, L.F.; Chen, Z.G.; Miao, C.; Zhang, C.; Fan, T.; Zhang, J.; Qian, X. Utilization of Solid Waste from Tunnel Excavation as Manufactured Sand with Different Lithology and Pre-Washing Process for Preparation of Eco-Friendly Ultra-High Performance Concretes: Properties and Microstructural Analysis. J. Build. Eng. 2024, 82, 108252. [Google Scholar] [CrossRef]
- Yu, P.; Li, R.Q.; Bie, D.P.; Yao, X.; Liu, X.; Duan, Y. A Coupled Creep and Damage Model of Concrete Considering Rate Effect. J. Build. Eng. 2022, 45, 103621. [Google Scholar] [CrossRef]
- Petr, B.; Adéla, K.; Jakub, H. Time-Dependent Strains of Prestressed Concrete Containment Vessels: Validation of Analytical Model by Real-World Data. Eng. Struct. 2022, 262, 114403. [Google Scholar]
- Wyrzykowski, M. M&S Highlight: Bažant and Baweja, Creep and Shrinkage Prediction Model for Analysis and Design of Concrete Structures—Model B3. Mater. Struct. 2022, 55, 48. [Google Scholar]
- Rabadia, K.; Aslani, F. Development of Creep and Shrinkage Prediction Models for Recycled Aggregate Concrete. Struct. Concr. 2023, 24, 6552–6643. [Google Scholar] [CrossRef]
- Jing, Y.; Lee, J.C.; Moon, W.C.; Ng, J.L.; Yew, M.K.; Jin, Y. Durability and Environmental Evaluation of Rice Husk Ash Sustainable Concrete Containing Carbon Nanotubes. Sci. Rep. 2025, 15, 4352. [Google Scholar] [CrossRef]
- ASTM C157; Standard Test Method for Length Change of Hardened Hydraulic-Cement Mortar and Concrete. ASTM International: West Conshohocken, PA, USA, 2024.
- GB/T 14685-2022; Pebble and Crushed Stone for Construction. National Standard of the People’s Republic of China: Beijing, China, 2022.
- GB/T 17431.2; Lightweight Aggregates and Its Test Methods—Part 2: Test Methods for Lightweight Aggregates. National Standard of the People’s Republic of China: Beijing, China, 2010.
- ASTM C136; Standard Test Method for Sieve Analysis of Fine and Coarse Aggregates. ASTM International: West Conshohocken, PA, USA, 2015.
- Chen, Z.; Xu, Y.; Hua, J.; Zhou, X.; Wang, X.; Huang, L. Modeling Shrinkage and Creep for Concrete with Graphene Oxide Nanosheets. Materials 2019, 12, 3153. [Google Scholar] [CrossRef]
- Saleh, A.A. Comparison of theoretical and experimental shrinkage in concrete. Constr. Build. Mater. 2014, 72, 326–332. [Google Scholar] [CrossRef]









| Feature | ACI 209 | CEB-FIP 2010 | B3 | GL2000 |
|---|---|---|---|---|
| Theoretical basis | Empirical | Semi-empirical | Semi-mechanistic | Empirical |
| Strength inclusion | × | √ | √ | √ |
| Shrinkage components | Total only | Drying + Autogenous | Basic + Drying | Total only |
| Key parameters | Sand ratio, slump, RH, size | Strength, cement type, RH, curing | w/c ratio, cement, density, RH, size | Strength, RH, curing, size |
| Complexity | Low | Medium | High | Medium |
| Parameter | River Sand | MSC | Standard |
|---|---|---|---|
| Apparent density | 2.63 ± 0.02 g/cm3 | 2.71 ± 0.03 g/cm3 | GB/T 14685-2022 [36] |
| Water absorption | 1.0 ± 0.1% | 2.3 ± 0.2% | GB/T 17431.2 [37] |
| Fineness modulus | 2.6 | 3.1 | ASTM C136 [38] |
| Strength Grade | Cement | Sand | Coarse Aggregate | Water | Water Reducing Agent |
|---|---|---|---|---|---|
| C30 | 395 | 810 | 1160 | 188 | 0.5 |
| Manufactured Sand Replacement Ratio | Coefficient of Determination (R2) | |||||||
|---|---|---|---|---|---|---|---|---|
| CEB-FIP 2010 | B3 | GL2000 | Revised GL2000 | Accuracy Improvement for GL2000 | ACI 209 | Revised ACI 209 | Accuracy Improvement for ACI 209 | |
| wms = 0% | −1.6643 | −0.7602 | 0.0667 | 0.9791 | 1367.9% | 0.8669 | 0.9786 | 12.9% |
| wms = 20% | −1.7677 | −0.8610 | 0.6878 | 0.9838 | 43.0% | 0.8372 | 0.9785 | 16.9% |
| wms = 40% | −1.8687 | −1.0748 | 0.7999 | 0.9759 | 22.0% | 0.6329 | 0.9828 | 55.3% |
| wms = 60% | −1.8572 | −1.0338 | 0.7816 | 0.9835 | 25.8% | 0.6854 | 0.9859 | 43.8% |
| wms = 80% | −1.8770 | −1.0362 | 0.6210 | 0.9851 | 58.6% | 0.6954 | 0.9733 | 40.0% |
| wms = 100% | −1.9597 | −0.9068 | 0.7865 | 0.9867 | 25.5% | 0.8658 | 0.9696 | 12.0% |
Disclaimer/Publisher’s Note: The statements, opinions and data contained in all publications are solely those of the individual author(s) and contributor(s) and not of MDPI and/or the editor(s). MDPI and/or the editor(s) disclaim responsibility for any injury to people or property resulting from any ideas, methods, instructions or products referred to in the content. |
© 2025 by the authors. Licensee MDPI, Basel, Switzerland. This article is an open access article distributed under the terms and conditions of the Creative Commons Attribution (CC BY) license (https://creativecommons.org/licenses/by/4.0/).
Share and Cite
Fan, W.; Wei, Y.; Yi, J.; Zhao, K.; Zhu, B.; Li, G. Analysis and Correction of the Shrinkage Prediction Model for Manufactured Sand Concrete. Materials 2025, 18, 3802. https://doi.org/10.3390/ma18163802
Fan W, Wei Y, Yi J, Zhao K, Zhu B, Li G. Analysis and Correction of the Shrinkage Prediction Model for Manufactured Sand Concrete. Materials. 2025; 18(16):3802. https://doi.org/10.3390/ma18163802
Chicago/Turabian StyleFan, Wei, Yang Wei, Jiyang Yi, Kang Zhao, Binrong Zhu, and Guofen Li. 2025. "Analysis and Correction of the Shrinkage Prediction Model for Manufactured Sand Concrete" Materials 18, no. 16: 3802. https://doi.org/10.3390/ma18163802
APA StyleFan, W., Wei, Y., Yi, J., Zhao, K., Zhu, B., & Li, G. (2025). Analysis and Correction of the Shrinkage Prediction Model for Manufactured Sand Concrete. Materials, 18(16), 3802. https://doi.org/10.3390/ma18163802

