Evolutionary Algorithm-Based Iterated Local Search Hyper-Heuristic for Combinatorial Optimization Problems
Abstract
1. Introduction
- The application of a novel mutation evolutionary operator to construct promising perturbative heuristic sequences of variable length of 1 or 2 to address a weakness of the previous ILS-based hyper-heuristics is an important contribution of the present study;
- The design of the EA-ILS hyper-heuristic algorithm that combines the capability of ILS with a specialized mutation evolutionary operator for improved performance in solving numerous COPs is a unique contribution of this study;
- The experimental comparison of the EA-ILS hyper-heuristic with the existing hyper-heuristics in the HyFlex framework to demonstrate the effectiveness of the introduced algorithm is a distinctive contribution.
2. Related Studies
3. Materials and Methods
3.1. Materials
3.2. Methods
3.2.1. Basic Iterated Local Search Algorithm
| Algorithm 1: Basic Iterated Local Search |
| generateInitialSolution () |
| stopping_condition |
| 7. end while |
3.2.2. Evolutionary Algorithm-Based Iterated Local Search
| Algorithm 2: The EA-ILS hyper-heuristic |
| Variable: runtime |
| 1. generateInitialSolution() |
| 2. |
| 3. init() |
| 4. while getElapsedTime() < runTime |
| 5. rndSel() |
| 6. for is the number of offspring |
| 7. if i > 1 8. H mutate(H) |
| 9. end if |
| 10. setParam() |
| 11. while nH < |
| 12. Apply the operation sequence on |
| 13. set_accept_strategy() |
| 14. |
| 15. updateParam() if replaces |
| 16. if better() |
| 17. |
| 18. updateLS() |
| 19. |
| 20. |
| 21. |
| 22. |
| 23. else |
| 24. |
| 25. |
| 26. end if |
| 27. end while |
| 28. if > 0 |
| 29. A.add(H, , ) add H to archive A |
| 30. end if |
| 31. end for |
| 32. end while |
- Initialization of the bounded lists for parameters and such that each element in the initial lists and is represented at least once within and , respectively. The size of these bounded lists at the initialization stage is ;
- Initialization of the bounded list for acceptance strategies () with a shuffled version of the array {0.38, 0.25, 0.15}. This means that the highest value of the temperature parameter for the accept probabilistic worse (APW) acceptance mechanism is initially set to 0.38;
- Randomly selecting a member of as the starting parameter value of the acceptance strategy before the search process begins.
| Algorithm 3: setParam() |
| else |
| end if |
| Apply the selected parameter value |
- The sequence of perturbative LLHs is discovered by an evolutionary algorithm, which means that the EA-ILS hyper-heuristic does not use a mainstream selection mechanism;
- The temperature parameter of the acceptance mechanism, that is, the APW of the present study, oscillated during the search process;
- The intensification phase in most ILS-based hyper-heuristics such as the FS-ILS algorithm was achieved through a local search procedure based on the VND. The EA-ILS hyper-heuristic carries out intensification through a procedure based on the HMM. The algorithmic details of LS-Seq and the local search procedure of the EA-ILS hyper-heuristic can be found in [48];
- The parameter values of the LLHs in the EA-ILS hyper-heuristic are learned over time using bounded lists.
| Algorithm 4: set_accept_strategy() |
| if |
| linear_mutation() |
| else |
| ) |
| end if |
| 0 |
| ) |
| end if |
| a |
| 0 |
| 0 |
| end if |
| Algorithm 5: linear_mutation() |
| ) |
| ) |
| p1 + p1_add |
| if p2 > 1.0 |
| p2 – 1.0 |
| end if |
| Output: p2 |
| Algorithm 6: updateParam() |
| 0 |
| while |
| ) |
| i + 1 |
| end while |
| if |p_list| > 0 |
| ) |
| end for |
| end if |
3.2.3. Evolutionary Operator of EA-ILS Hyper-Heuristic
- Wild mutation: This is the first case; it occurs (pw ∗ 100) % of the time when mutation takes place. The value pw represents the probability of ”wild mutation”, which was set at 0.5 in this study. If {3, 2} is changed to {4, 0}, for example, it would be noticed that the two pairs are not similar, hence the name “wild mutation”;
- Add random: Since the maximum length of a sequence is 2, there are two cases when adding a new perturbative LLH to a sequence. Case 2a: If the randomly generated position (tagged loc) is 0, which denotes adding the new LLH at the first position, randomly select a perturbative LLH and add it to position 0, replacing the incumbent occupant of position 0. Case 2b: This is similar to Case 2a, only that the newly generated member is fixed at position 1;
- Remove random: The remove random case selects a random position and the LLH at that position is removed or replaced. This case presents three possible sub-cases as follows: The first two sub-cases are triggered when the position to remove from is the first position, i.e., position 0. The last sub-case is when a LLH at position 1 is to be removed; in this sub-case, the LLH at this position is simply removed. Case 3a: If a sequence is full, i.e., there are two perturbative LLHs in the sequence, remove the LLH
- at position 0 and move the LLH at the next position to position 0. Case 3b: The current perturbative LLH at position 0 in the sequence is replaced with randomly generated LLH while the second position is still vacant.
| Algorithm 7. mutate() |
| Input: an operation sequence H Rnd.Real(0,1) |
| if Begin Case 1 |
| ) |
| ) |
| Return |
| End Case 1 |
| Rnd.Int [0, 2) |
| Begin Case 2 |
| ) |
| h |
| Begin Case 3 |
| ) |
| h |
| else |
| −1 |
| end if |
| end if |
3.2.4. Local Search Procedure of EA-ILS Hyper-Heuristic
| Algorithm 8: LS-Seq procedure |
| Input:, the solution from the perturbation stage |
| /*Based on iScore, select the index of the current LLH*/ |
| /*get HyFlex id of the LLH*/ |
| /*apply the LLH*/ |
| while |
| /*update the index of the previous local search LLH*/ |
| /*select the index of the next LLH*/ |
| end while |
| Output:, the best solution produced from the LS-Seq procedure |
4. Experimental Results
4.1. Comparison of Hyper-Heuristic Algorithms
4.2. Statistical Significance of Hyper-Heuristic Algorithms
4.2.1. Friedman Test
4.2.2. Boxplot Analysis
4.3. Application of EA-ILS Hyper-Heuristic to HyFlex Version 1.0
4.4. Effect of Local Search Procedure
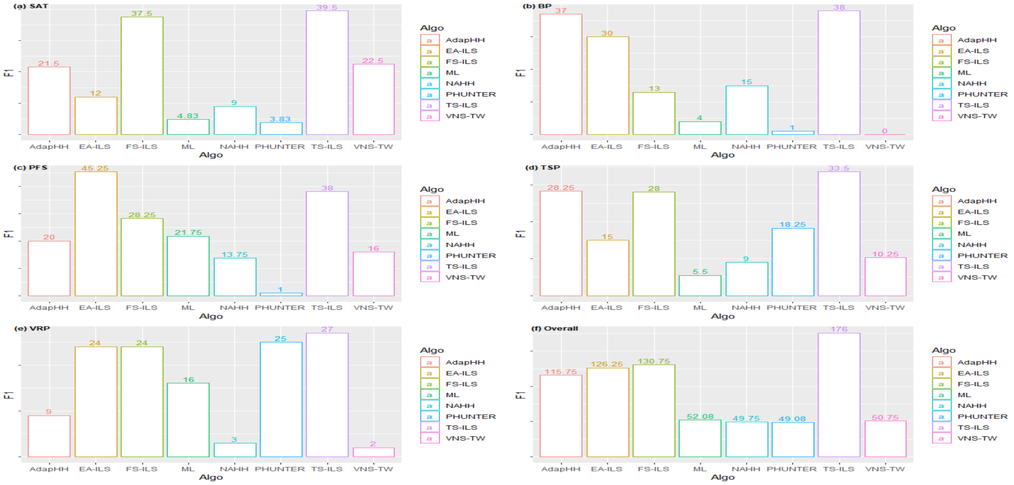
4.5. Analysis of Effective Heuristics for EA-ILS Hyper-Heuristic
5. Conclusions
Author Contributions
Funding
Conflicts of Interest
References
- Chen, B.; Qu, R.; Bai, R.; Laesanklang, W. A Hyper-Heuristic with Two Guidance Indicators for Bi-Objective Mixed-Shift Vehicle Routing Problem with Time Windows. Appl. Intell. 2018, 48, 4937–4959. [Google Scholar] [CrossRef]
- Chen, Y.; Mourdjis, P.; Polack, F.; Cowling, P.; Remde, S. Evaluating Hyperheuristics and Local Search Operators for Periodic Routing Problems. In Proceedings of the Evolutionary Computation in Combinatorial Optimization; Springer: Cham, Switzerland, 2016; pp. 104–120. [Google Scholar]
- Yska, D.; Mei, Y.; Zhang, M. Genetic Programming Hyper-Heuristic with Cooperative Coevolution for Dynamic Flexible Job Shop Scheduling. In Proceedings of the European Conference on Genetic Programming; Springer: Cham, Switzerland, 2018; pp. 306–321. [Google Scholar]
- Park, J.; Mei, Y.; Nguyen, S.; Chen, A.; Johnston, M.; Zhang, M. Genetic Programming Based Hyper-Heuristics for Dynamic Job Shop Scheduling: Cooperative Coevolutionary Approaches. In Proceedings of the European Conference on Genetic Programming; Springer: Cham, Switzerland, 2016; pp. 115–132. [Google Scholar]
- Sabar, N.R.; Turky, A.; Song, A.; Sattar, A. Optimising Deep Belief Networks by Hyper-Heuristic Approach. In Proceedings of the 2017 IEEE Congress on Evolutionary Computation (CEC), Donostia-San Sebastián, Spain, 5–8 June 2017; pp. 2738–2745. [Google Scholar]
- ul Hassan, M.; Sabar, N.R.; Song, A. Optimising Deep Learning by Hyper-Heuristic Approach for Classifying Good Quality Images. In Proceedings of the International Conference on Computational Science; Springer: Cham, Switzerland, 2018; pp. 528–539. [Google Scholar]
- Ortiz-Bayliss, J.C.; Terashima-Marín, H.; Conant-Pablos, S.E. A Neuro-Evolutionary Hyper-Heuristic Approach for Constraint Satisfaction Problems. Cognit. Comput. 2016, 8, 429–441. [Google Scholar] [CrossRef]
- Ahmed, B.S.; Enoiu, E.; Afzal, W.; Zamli, K.Z. An Evaluation of Monte Carlo-Based Hyper-Heuristic for Interaction Testing of Industrial Embedded Software Applications. Soft Comput. 2020, 24, 13929–13954. [Google Scholar] [CrossRef]
- de Andrade, J.; Silva, L.; Britto, A.; Amaral, R. Solving the Software Project Scheduling Problem with Hyper-Heuristics. In Proceedings of the International Conference on Artificial Intelligence and Soft Computing, Zakopane, Poland, 16–20 June 2019; pp. 399–411. [Google Scholar]
- Zhang, Y.; Harman, M.; Ochoa, G.; Ruhe, G.; Brinkkemper, S. An Empirical Study of Meta- and Hyper-Heuristic Search for Multi-Objective Release Planning. ACM Trans. Softw. Eng. Methodol. 2018, 27, 1–32. [Google Scholar] [CrossRef]
- Drake, J.H.; Kheiri, A.; Özcan, E.; Burke, E.K. Recent Advances in Selection Hyper-Heuristics. Eur. J. Oper. Res. 2020, 285, 405–428. [Google Scholar] [CrossRef]
- Burke, E.K.; Hyde, M.R.; Kendall, G.; Ochoa, G.; Özcan, E.; Woodward, J.R. A Classification of Hyper-Heuristic Approaches: Revisited. In Handbook of Metaheuristics; Gendreau, M., Potvin, J.-Y., Eds.; Springer: Cham, Switzerland, 2019; pp. 453–477. [Google Scholar]
- Ortiz-Aguilar, L.; Carpio, M.; Rojas-Domínguez, A.; Ornelas-Rodriguez, M.; Puga-Soberanes, H.J.; Soria-Alcaraz, J.A. A Methodology to Determine the Subset of Heuristics for Hyperheuristics through Metalearning for Solving Graph Coloring and Capacitated Vehicle Routing Problems. Complexity 2021, 6660572. [Google Scholar] [CrossRef]
- Zhang, F.; Mei, Y.; Nguyen, S.; Zhang, M. Correlation Coefficient-Based Recombinative Guidance for Genetic Programming Hyperheuristics in Dynamic Flexible Job Shop Scheduling. IEEE Trans. Evol. Comput. 2021, 25, 552–566. [Google Scholar] [CrossRef]
- Olivas, F.; Amaya, I.; Ortiz-Bayliss, J.C.; Conant-Pablos, S.E.; Terashima-Marín, H. Enhancing Hyperheuristics for the Knapsack Problem through Fuzzy Logic. Comput. Intell. Neurosci. 2021, 8834324. [Google Scholar] [CrossRef]
- Zhang, F.; Mei, Y.; Nguyen, S.; Tan, K.C.; Zhang, M. Multitask Genetic Programming-Based Generative Hyperheuristics: A Case Study in Dynamic Scheduling. IEEE Trans. Cybern. 2022, 52, 10515–10528. [Google Scholar] [CrossRef]
- Tapia-Avitia, J.M.; Cruz-Duarte, J.M.; Amaya, I.; Ortiz-Bayliss, J.C.; Terashima-Marin, H.; Pillay, N. A Primary Study on Hyper-Heuristics Powered by Artificial Neural Networks for Customising Population-Based Metaheuristics in Continuous Optimisation Problems. In Proceedings of the 2022 IEEE Congress on Evolutionary Computation (CEC), Padua, Italy, 18–23 July 2022. [Google Scholar] [CrossRef]
- Zhang, Y.; Bai, R.; Qu, R.; Tu, C.; Jin, J. A Deep Reinforcement Learning Based Hyper-Heuristic for Combinatorial Optimisation with Uncertainties. Eur. J. Oper. Res. 2022, 300, 418–427. [Google Scholar] [CrossRef]
- Ochoa, G.; Hyde, M.; Curtois, T.; Vazquez-Rodriguez, J.A.; Walker, J.; Gendreau, M.; Kendall, G.; McCollum, B.; Parkes, A.J.; Petrovic, S.; et al. HyFlex: A Benchmark Framework for Cross-Domain Heuristic Search. In Proceedings of the European Conference on Evolutionary Computation in Combinatorial Optimization; Springer: Berlin/Heidelberg, Germany, 2012; pp. 136–147. [Google Scholar]
- Misir, M.; Verbeeck, K.; De Causmaecker, P.; Berghe, G. Vanden An Intelligent Hyper-Heuristic Framework for CHeSC 2011. In Proceedings of the International Conference on Learning and Intelligent Optimization; Springer: Berlin/Heidelberg, Germany, 2012; pp. 461–466. [Google Scholar]
- Adriaensen, S.; Brys, T.; Nowé, A. Fair-Share ILS: A Simple State of the Art Iterated Local Search Hyperheuristic. In Proceedings of the Proceedings of the 2014 Annual Conference on Genetic and Evolutionary Computation, Vancouver, BC, Canada, 12–16 July 2014; pp. 1303–1310. [Google Scholar]
- Alanazi, F. Adaptive Thompson Sampling for Hyper-Heuristics. In Proceedings of the 2016 IEEE Symposium Series on Computational Intelligence, Athens, Greece, 6–9 December 2016; pp. 1–8. [Google Scholar]
- Ferreira, A.S.; Gonçalves, R.A.; Pozo, A. A Multi-Armed Bandit Selection Strategy for Hyper-Heuristics. In Proceedings of the 2017 IEEE Congress on Evolutionary Computation, San Sebastián, Spain, 5–8 June 2017; pp. 525–532. [Google Scholar]
- Adriaensen, S.; Ochoa, G.; Nowé, A. A Benchmark Set Extension and Comparative Study for the HyFlex Framework. In Proceedings of the 2015 IEEE Congress on Evolutionary Computation, Sandai, Japan, 25–28 May 2015; pp. 784–791. [Google Scholar]
- Almutairi, A.; Özcan, E.; Kheiri, A.; Jackson, W.G. Performance of Selection Hyper-Heuristics on the Extended HyFlex Domains. In Proceedings of the International Symposium on Computer and Information Sciences; Springer: Cham, Switzerland, 2016; pp. 154–162. [Google Scholar]
- Gümüş, D.B.; Özcan, E.; Atkin, J. An Analysis of the Taguchi Method for Tuning a Memetic Algorithm with Reduced Computational Time Budget. In Proceedings of the International Symposium on Computer and Information Sciences, Krakow, Poland, 27–28 October 2016; pp. 12–20. [Google Scholar]
- Gümüş, D.B.; Özcan, E.; Atkin, J. An Investigation of Tuning a Memetic Algorithm for Cross-Domain Search. In Proceedings of the 2016 IEEE Congress on Evolutionary Computation, Vancouver, BC, Canada, 24–29 July 2016; pp. 135–142. [Google Scholar]
- Akbay, M.A.; Kalayci, C.B.; Polat, O. A Parallel Variable Neighborhood Search Algorithm with Quadratic Programming for Cardinality Constrained Portfolio Optimization. Knowl.-Based Syst. 2020, 198, 105944. [Google Scholar] [CrossRef]
- Baniamerian, A.; Bashiri, M.; Tavakkoli-Moghaddam, R. Modified Variable Neighborhood Search and Genetic Algorithm for Profitable Heterogeneous Vehicle Routing Problem with Cross-Docking. Appl. Soft Comput. J. 2019, 75, 441–460. [Google Scholar] [CrossRef]
- Tinos, R.; Przewozniczek, M.W.; Whitley, D. Iterated Local Search with Perturbation Based on Variables Interaction for Pseudo-Boolean Optimization. In Proceedings of the Proceedings of the Genetic and Evolutionary Computation Conference, Boston, MA, USA, 9–13 July 2022; pp. 296–304. [Google Scholar]
- Hammouri, A.I.; Braik, M.S.; Al-Betar, M.A.; Awadallah, M.A. ISA: A Hybridization between Iterated Local Search and Simulated Annealing for Multiple-Runway Aircraft Landing Problem. Neural Comput. Appl. 2020, 32, 11745–11765. [Google Scholar] [CrossRef]
- Gunawan, A.; Lau, H.C.; Lu, K. An Iterated Local Search Algorithm for Solving the Orienteering Problem with Time Windows. In Proceedings of the European Conference on Evolutionary Computation in Combinatorial Optimization; Springer: Cham, Switzerland, 2015; pp. 61–73. [Google Scholar]
- Vansteenwegen, P.; Mateo, M. An Iterated Local Search Algorithm for the Single-Vehicle Cyclic Inventory Routing Problem. Eur. J. Oper. Res. 2014, 237, 802–813. [Google Scholar] [CrossRef]
- Avci, M.; Topaloglu, S. A Multi-Start Iterated Local Search Algorithm for the Generalized Quadratic Multiple Knapsack Problem. Comput. Oper. Res. 2017, 83, 54–65. [Google Scholar] [CrossRef]
- Sabar, N.R.; Goh, S.L.; Turky, A.; Kendall, G. Population-Based Iterated Local Search Approach for Dynamic Vehicle Routing Problems. IEEE Trans. Autom. Sci. Eng. 2021, 19, 2933–2943. [Google Scholar] [CrossRef]
- Brandão, J. Iterated Local Search Algorithm with Ejection Chains for the Open Vehicle Routing Problem with Time Windows. Comput. Ind. Eng. 2018, 120, 146–159. [Google Scholar] [CrossRef]
- Brandão, J. A Memory-Based Iterated Local Search Algorithm for the Multi-Depot Open Vehicle Routing Problem. Eur. J. Oper. Res. 2020, 284, 559–571. [Google Scholar] [CrossRef]
- Soria-Alcaraz, J.A.; Özcan, E.; Swan, J.; Kendall, G.; Carpio, M. Iterated Local Search Using an Add and Delete Hyper-Heuristic for University Course Timetabling. Appl. Soft Comput. J. 2016, 40, 581–593. [Google Scholar] [CrossRef]
- Soria-Alcaraz, J.A.; Ochoa, G.; Sotelo-Figeroa, M.A.; Burke, E.K. A Methodology for Determining an Effective Subset of Heuristics in Selection Hyper-Heuristics. Eur. J. Oper. Res. 2017, 260, 972–983. [Google Scholar] [CrossRef]
- Song, T.; Liu, S.; Tang, X.; Peng, X.; Chen, M. An Iterated Local Search Algorithm for the University Course Timetabling Problem. Appl. Soft Comput. J. 2018, 68, 597–608. [Google Scholar] [CrossRef]
- Kizys, R.; Juan, A.A.; Sawik, B.; Calvet, L. A Biased-Randomized Iterated Local Search Algorithm for Rich Portfolio Optimization. Appl. Sci. 2019, 9, 3509. [Google Scholar] [CrossRef]
- Ren, J.; Hao, J.-K.; Rodriguez-Tello, E.; Li, L.; He, K. A New Iterated Local Search Algorithm for the Cyclic Bandwidth Problem. Knowl.-Based Syst. 2020, 203, 106136. [Google Scholar] [CrossRef]
- Alvarez, A.; Munari, P.; Morabito, R. Iterated Local Search and Simulated Annealing Algorithms for the Inventory Routing Problem. Int. Trans. Oper. Res. 2018, 25, 1785–1809. [Google Scholar] [CrossRef]
- Goh, S.L.; Kendall, G.; Sabar, N.R.; Abdullah, S. An Effective Hybrid Local Search Approach for the Post Enrolment Course Timetabling Problem. Opsearch 2020, 57, 1131–1163. [Google Scholar] [CrossRef]
- Turky, A.; Sabar, N.R.; Sattar, A.; Song, A. Evolutionary Learning Based Iterated Local Search for Google Machine Reassignment Problems. In Proceedings of the Asia-Pacific Conference on Simulated Evolution and Learning, Shenzhen, China, 10–13 November 2017; pp. 409–421. [Google Scholar]
- Hu, S.; Liu, H.; Wu, X.; Li, R.; Zhou, J.; Wang, J. A Hybrid Framework Combining Genetic Algorithm with Iterated Local Search for the Dominating Tree Problem. Mathematics 2019, 7, 359. [Google Scholar] [CrossRef]
- Zhao, F.; He, X.; Yang, G.; Ma, W.; Zhang, C.; Song, H. A Hybrid Iterated Local Search Algorithm with Adaptive Perturbation Mechanism by Success-History Based Parameter Adaptation for Differential Evolution (SHADE). Eng. Optim. 2020, 52, 367–383. [Google Scholar] [CrossRef]
- Adubi, S.A.; Oladipupo, O.O.; Olugbara, O.O. Configuring the Perturbation Operations of an Iterated Local Search Algorithm for Cross-Domain Search: A Probabilistic Learning Approach. In Proceedings of the 2021 IEEE Congress on Evolutionary Computation (CEC), Kraków, Poland, 28 June–1 July 2021; pp. 1372–1379. [Google Scholar]
- Choong, S.S.; Wong, L.P.; Lim, C.P. Automatic Design of Hyper-Heuristic Based on Reinforcement Learning. Inf. Sci. 2018, 436, 89–107. [Google Scholar] [CrossRef]
- Duhart, B.; Camarena, F.; Ortiz-Bayliss, J.C.; Amaya, I.; Terashima-Marín, H. An Experimental Study on Ant Colony Optimization Hyper-Heuristics for Solving the Knapsack Problem. In Proceedings of the Mexican Conference on Pattern Recognition, Puebla, Mexico, 27–30 June 2018; pp. 62–71. [Google Scholar]
- Sanchez-Diaz, X.F.C.; Ortiz-Bayliss, J.C.; Amaya, I.; Cruz-Duarte, J.M.; Conant-Pablos, S.E.; Terashima-Marin, H. A Preliminary Study on Feature-Independent Hyper-Heuristics for the 0/1 Knapsack Problem. In Proceedings of the 2020 IEEE Congress on Evolutionary Computation, Glasgow, UK, 19–24 July 2020; pp. 1–8. [Google Scholar]
- Sánchez-Díaz, X.; Ortiz-Bayliss, J.C.; Amaya, I.; Cruz-Duarte, J.M.; Conant-Pablos, S.E.; Terashima-Marín, H. A Feature-Independent Hyper-Heuristic Approach for Solving the Knapsack Problem. Appl. Sci. 2021, 11, 10209. [Google Scholar] [CrossRef]
- Olivas, F.; Amaya, I.; Ortiz-Bayliss, J.C.; Conant-Pablos, S.E.; Terashima-Marin, H. A Fuzzy Hyper-Heuristic Approach for the 0-1 Knapsack Problem. In Proceedings of the 2020 IEEE Congress on Evolutionary Computation, Glasgow, UK, 19–24 July 2020; pp. 1–8. [Google Scholar]
- Feng, Y.; Wang, G.G.; Deb, S.; Lu, M.; Zhao, X.J. Solving 0–1 Knapsack Problem by a Novel Binary Monarch Butterfly Optimization. Neural Comput. Appl. 2017, 28, 1619–1634. [Google Scholar] [CrossRef]
- Rizk-Allah, R.M.; Hassanien, A.E. New Binary Bat Algorithm for Solving 0–1 Knapsack Problem. Complex Intell. Syst. 2018, 4, 31–53. [Google Scholar] [CrossRef]
- Abdel-Basset, M.; El-Shahat, D.; Sangaiah, A.K. A Modified Nature Inspired Meta-Heuristic Whale Optimization Algorithm for Solving 0–1 Knapsack Problem. Int. J. Mach. Learn. Cybern. 2019, 10, 495–514. [Google Scholar] [CrossRef]
- Zhan, S.H.; Zhang, Z.J.; Wang, L.J.; Zhong, Y.W. List-Based Simulated Annealing Algorithm with Hybrid Greedy Repair and Optimization Operator for 0-1 Knapsack Problem. IEEE Access 2018, 6, 54447–54458. [Google Scholar] [CrossRef]
- Zhang, S.; Liu, S. A Discrete Improved Artificial Bee Colony Algorithm for 0-1 Knapsack Problem. IEEE Access 2019, 7, 104982–104991. [Google Scholar] [CrossRef]
- Ezugwu, A.E.; Pillay, V.; Hirasen, D.; Sivanarain, K.; Govender, M. A Comparative Study of Meta-Heuristic Optimization Algorithms for 0-1 Knapsack Problem: Some Initial Results. IEEE Access 2019, 7, 43979–44001. [Google Scholar] [CrossRef]
- Senzaki, B.N.; Venske, S.M.; Almeida, C.P. Multi-Objective Quadratic Assignment Problem: An Approach Using a Hyper-Heuristic Based on the Choice Function. In Proceedings of the Brazilian Conference on Intelligent Systems, Rio Grande, Brazil, 20–23 October 2020; pp. 136–150. [Google Scholar]
- Chmiel, W.; Kwiecień, J. Quantum-Inspired Evolutionary Approach for the Quadratic Assignment Problem. Entropy 2018, 20, 781. [Google Scholar] [CrossRef]
- Abdel-Basset, M.; Manogaran, G.; El-Shahat, D.; Mirjalili, S. Integrating the Whale Algorithm with Tabu Search for Quadratic Assignment Problem: A New Approach for Locating Hospital Departments. Appl. Soft Comput. J. 2018, 73, 530–546. [Google Scholar] [CrossRef]
- Zhang, H.; Liu, F.; Zhou, Y.; Zhang, Z. A Hybrid Method Integrating an Elite Genetic Algorithm with Tabu Search for the Quadratic Assignment Problem. Inf. Sci. 2020, 539, 347–374. [Google Scholar] [CrossRef]
- Dokeroglu, T.; Sevinc, E.; Cosar, A. Artificial Bee Colony Optimization for the Quadratic Assignment Problem. Appl. Soft Comput. J. 2019, 76, 595–606. [Google Scholar] [CrossRef]
- Misevičius, A.; Verenė, D. A Hybrid Genetic-Hierarchical Algorithm for the Quadratic Assignment Problem. Entropy 2021, 23, 108. [Google Scholar] [CrossRef]
- Wu, Q.; Wang, Y.; Lü, Z. A Tabu Search Based Hybrid Evolutionary Algorithm for the Max-Cut Problem. Appl. Soft Comput. J. 2015, 34, 827–837. [Google Scholar] [CrossRef]
- Chen, X.; Lin, G.; Xu, M. Applying a Binary Artificial Bee Colony Algorithm to the Max-Cut Problem. In Proceedings of the Proceedings-2019 12th International Congress on Image and Signal Processing, BioMedical Engineering and Informatics, Suzhou, China, 19–21 October 2019; pp. 12–15. [Google Scholar]
- Kim, Y.H.; Yoon, Y.; Geem, Z.W. A Comparison Study of Harmony Search and Genetic Algorithm for the Max-Cut Problem. Swarm Evol. Comput. 2019, 44, 130–135. [Google Scholar] [CrossRef]
- Barrett, T.D.; Clements, W.R.; Foerster, J.N.; Lvovsky, A.I. Exploratory Combinatorial Optimization with Reinforcement Learning. In Proceedings of the 34th AAAI Conference on Artificial Intelligence, New York, NY, USA, 7–12 February 2020; pp. 3243–3250. [Google Scholar]
- Kheiri, A.; Keedwell, E. A Sequence-Based Selection Hyper-Heuristic Utilising a Hidden Markov Model. In Proceedings of the GECCO 2015-Proceedings of the 2015 Genetic and Evolutionary Computation Conference, Madrid, Spain, 11–15 July 2015; pp. 417–424. [Google Scholar]
- Zhao, Y.; Leng, L.; Zhang, C. A Novel Framework of Hyper-Heuristic Approach and Its Application in Location-Routing Problem with Simultaneous Pickup and Delivery; Springer: Berlin/Heidelberg, Germany, 2021; Volume 21, ISBN 0123456789. [Google Scholar]
- Olgun, B.; Koç, Ç.; Altıparmak, F. A Hyper Heuristic for the Green Vehicle Routing Problem with Simultaneous Pickup and Delivery. Comput. Ind. Eng. 2021, 153, 107010. [Google Scholar] [CrossRef]
- Asta, S.; Özcan, E. A Tensor-Based Selection Hyper-Heuristic for Cross-Domain Heuristic Search. Inf. Sci. 2015, 299, 412–432. [Google Scholar] [CrossRef]
- Sabar, N.R.; Ayob, M.; Kendall, G.; Qu, R. Automatic Design of Hyper-Heuristic Framework with Gene Expression Programming for Combinatorial Optimization Problems. IEEE Trans. Evol. Comput. 2015, 19, 309–325. [Google Scholar] [CrossRef]
- Kheiri, A.; Özcan, E. An Iterated Multi-Stage Selection Hyper-Heuristic. Eur. J. Oper. Res. 2016, 250, 77–90. [Google Scholar] [CrossRef]
- Burkard, R.E.; Karisch, S.E.; Rendl, F. QAPLIB–a Quadratic Assignment Problem Library. J. Glob. Optim. 1997, 10, 391–403. [Google Scholar] [CrossRef]
- Yang, Q.; Li, Y.; Huang, P. A Novel Formulation of the Max-Cut Problem and Related Algorithm. Appl. Math. Comput. 2020, 371, 124970. [Google Scholar] [CrossRef]
- Lourenço, H.R.; Martin, O.C.; Stützle, T. Iterated Local Search: Framework and Applications. In Handbook of Metaheuristics; Gendreau, M., Potvin, J.-Y., Eds.; Springer: Cham, Switzerland, 2019; pp. 129–168. [Google Scholar]








| Problem | Mutation | Ruin-Recreate | Local Search | Total |
|---|---|---|---|---|
| Knapsack problem (KP) | 5 | 2 | 6 | 13 |
| Quadratic assignment problem (QAP) | 2 | 3 | 2 | 7 |
| Maximum-cut problem (MAC) | 2 | 3 | 3 | 8 |
| Operation | Description |
|---|---|
| X.add(x, L) | Add a new member x to a bounded list X with bound size L such that when a new entry updates the size of X to L + 1, the item at the top of the list is removed. |
| X.add(x, L, t) | The addition of x from the previous operation is repeated t times. |
| H | An operation sequence or simply a sequence. |
| A | The bounded list for storing the most recent sequences that improved the best global solution. |
| Rnd.Real(x, y) | . |
| Rnd.Int(x, y) | . |
| Rnd.Bool() | Randomly generate a Boolean variable. |
| better(x, y) | based on their objective function values. |
| Bounded lists for recently rewarding parameter values for the LLHs. The former is kept for perturbative LLHs while the latter is kept for local search LLHs. | |
| The fixed lists of all possible parameter values available for the perturbative and local search LLHs, respectively. | |
| lists. | |
| The number of consecutive non-improving iterations allowed for an acceptance strategy. Experimental value = 15. | |
| , but applied to the operation sequences. Experimental value = 1. | |
| nA | The number of non-improving iterations completed so far for an acceptance strategy. |
| nH | Similar to nA, but applied to the operation sequences. |
| The number of improving iterations completed so far for an acceptance strategy. | |
| , but for LLHs | |
| A pre-determined list of possible values that could be added to the value of the current acceptance strategy during its mutation. | |
| A bounded list of rewarding acceptance strategies based on the improvement of the global best solution. | |
| A list of combinations of mutation and ruin-recreate LLHs perturbative heuristics for a problem domain. | |
| rndSel() | A function that returns a random member of a list. |
| A | The current value of the temperature parameter being used by the acceptance mechanism. |
| cur_a | The currently engaged acceptance strategy. |
| The best solution found so far. | |
| The proposed solution after a perturbation–intensification cycle. | |
| The incumbent solution during the search process. |
| Domain | I | EA-ILS | AdapHH | FS-ILS | NR-FS-ILS | EPH | SSHH | SR-AM | |
|---|---|---|---|---|---|---|---|---|---|
| Knapsack Problem | 0 | 0.0000 | −104,046 | −104,046 | −104,046 | −104,046 | −104,046 | −104,046 | −104,046 |
| 1 | 0.0026 | −1,263,828 | −1,263,317 | −1,238,256 | −1,251,478 | −1,257,833 | −1,261,320 | −1,218,285 | |
| 2 | 0.0592 | −243,001 | −242,841 | −239,378 | −241,794 | −242,198 | −242,963 | −239,346 | |
| 3 | 0.0009 | −431,359 | −431,363 | −431,347 | −431,354 | −431,350 | −431,362 | −431,330 | |
| 4 | 0.0000 | −396,167 | −396,167 | −396,167 | −396,167 | −396,167 | −396,167 | −396,167 | |
| 5 | 1.8119 | −4,337,691 | −4,378,410 | −4,266,654 | −4,248,962 | −4,341,328 | −4,268,665 | −4,264,094 | |
| 6 | 0.7982 | −946,555 | −943,371 | −938,125 | −938,646 | −943,247 | −943,136 | −934,838 | |
| 7 | 0.0000 | −1,577,175 | −1,577,175 | −1577,166 | −1,577,166 | −1,577,175 | −1,577,175 | −1,577,175 | |
| 8 | 0.0014 | −1,530,515 | −1,530,497 | −1530,479 | −1,530,480 | −1,530,514 | −1,530,511 | −1,530,476 | |
| 9 | 0.0063 | −1,467,362 | −1,467,362 | −1467,357 | −1,467,353 | −1,467,387 | −1,467,362 | −1,467,357 | |
| Quadratic Assignment Problem | 0 | 0.0000 | 152,002 | 152,046 | 152,002 | 152,044 | 152,116 | 152,224 | 152,280 |
| 1 | 0.0065 | 153,900 | 153,890 | 153,916 | 153,890 | 153,942 | 154,130 | 154,160 | |
| 2 | 0.0000 | 147,862 | 147,868 | 147,898 | 147,866 | 147,872 | 147,930 | 148,058 | |
| 3 | 0.0013 | 149,578 | 149,672 | 149,596 | 149,594 | 149,762 | 149,782 | 149,846 | |
| 4 | 0.7836 | 21,217,438 | 21,303,448 | 21,246,800 | 21,242,104 | 21,279,308 | 21,325,030 | 21,454,914 | |
| 5 | 0.0000 | 1,185,996,137 | 1,185,996,137 | 1,186,007,112 | 1,186,055,449 | 1,185,996,137 | 1,186,663,179 | 1,187,672,220 | |
| 6 | 13.1320 | 499,802,038 | 500,066,316 | 499,728,427 | 499,571,734 | 500,645,098 | 500,015,697 | 499,912,219 | |
| 7 | 2.2737 | 44,846,660 | 44,825,454 | 44,840,214 | 44,843,206 | 44,817,780 | 44,855,568 | 44,850,886 | |
| 8 | 6.8364 | 8,141,608 | 8,148,152 | 8,152,748 | 8,147,252 | 8,140,772 | 8,151,040 | 8,154,234 | |
| 9 | 0.0022 | 273,044 | 273,054 | 273,112 | 273,054 | 273,276 | 273,216 | 273,262 | |
| Maximum-cut Problem | 0 | 0.0000 | −41,684,814 | −41,684,814 | −41,684,814 | −41,684,814 | −41,446,603 | −41,517,765 | −40,699,212 |
| 1 | 1.2953 | −279,538,175 | −274,477,564 | −263,474,137 | −261,502,273 | −269,348,577 | −277,548,425 | −265,390,780 | |
| 2 | 0.0979 | −3061 | −3053 | −3057 | −3056 | −3041 | −3062 | −3056 | |
| 3 | 0.0328 | −3049 | −3032 | −3033 | −3042 | −3017 | −3050 | −3044 | |
| 4 | 0.2621 | −3044 | −3037 | −3037 | −3043 | −3017 | −3051 | −3043 | |
| 5 | 0.8159 | −13,250 | −13,177 | −13,158 | −13,152 | −13,140 | −13,300 | −13,230 | |
| 6 | 1.3006 | −1366 | −1334 | −1318 | −1332 | −1272 | −1358 | −1332 | |
| 7 | 1.4856 | −10,146 | −9929 | −9744 | −9765 | −9851 | −10,125 | −9951 | |
| 8 | 0.0000 | −458 | −458 | −456 | −456 | −440 | −458 | −456 | |
| 9 | 2.3889 | −2942 | −2832 | −2718 | −2730 | −2760 | −2960 | −2862 |
| Domain | I | EA-ILS | AdapHH | FS-ILS | NR-FS-ILS | EPH | SSHH | SR-AM |
|---|---|---|---|---|---|---|---|---|
| Knapsack Problem | 0 | −104,046 | −104,046 | −104,046 | −104,046 | −104,046 | −104,046 | −104,025 |
| 1 | −1,262,154 | −1,258,634 | −1,220,103 | −1,231,767 | −1,253,074 | −1,247,642 | −1,209,914 | |
| 2 | −242,603 | −242,104 | −236,813 | −239,578 | −240,663 | −241,934 | −238,397 | |
| 3 | −431,344 | −431,351 | −431,297 | −431,312 | −431,333 | −431,350 | −431,311 | |
| 4 | −396,167 | −396,167 | −395,941 | −395,654 | −396,167 | −396,167 | −396,167 | |
| 5 | −4,256,586 | −4,328,770 | −3,756,992 | −3,697,266 | −4,283,926 | −4,251,693 | −4,248,962 | |
| 6 | −940,291 | −937,868 | −906,490 | −895,516 | −936,200 | −929,052 | −923,973 | |
| 7 | −1,577,175 | −1,577,175 | −1,572,999 | −1,572,999 | −1,577,175 | −1,577,175 | −1,577,175 | |
| 8 | −1,530,477 | −1,530,463 | −1,347,297 | −1,346,608 | −1,530,471 | −1,530,477 | −1,530,453 | |
| 9 | −1,467,357 | −1,467,353 | −1,463,681 | −1,462,759 | −1,467,357 | −1,467,357 | −1,467,353 | |
| Quadratic Assignment Problem | 0 | 152,102 | 152,214 | 152,196 | 152,196 | 152,388 | 152,572 | 152,402 |
| 1 | 154,010 | 154,164 | 154,088 | 154,166 | 154,390 | 154,492 | 154,290 | |
| 2 | 147,890 | 147,970 | 148,002 | 147,978 | 148,122 | 148,374 | 148,190 | |
| 3 | 149,722 | 149,850 | 149,858 | 149,828 | 150,144 | 150,366 | 149,992 | |
| 4 | 21,306,194 | 21,366,688 | 21,309,208 | 21,321,554 | 21,401,254 | 21,419,490 | 21,518,130 | |
| 5 | 1,187,379,429 | 1,187,875,748 | 1,187,490,923 | 1,187,383,316 | 1,189,221,001 | 1,190,346,287 | 1,189,321,259 | |
| 6 | 501,094,667 | 502,937,700 | 503,088,738 | 502,654,006 | 502,409,100 | 504,406,437 | 502,293,807 | |
| 7 | 44,867,334 | 44,858,394 | 44,874,028 | 44,873,022 | 44,860,940 | 44,892,452 | 44,866,876 | |
| 8 | 8,152,360 | 8,163,764 | 8,169,250 | 8,162,592 | 8,163,304 | 8,179,752 | 8,168,990 | |
| 9 | 273,312 | 273,414 | 273,362 | 273,336 | 273,630 | 273,622 | 273,512 | |
| Maximum-cut Problem | 0 | −41,398,025 | −41,348,693 | −41,348,693 | −41,145,032 | −40,953,212 | −41,101,646 | −40,502,841 |
| 1 | −276,571,977 | −255,265,025 | −255,265,025 | −257,764,081 | −260,608,752 | −273,938,900 | −263,151,470 | |
| 2 | −3051 | −3044 | −3041 | −3044 | −3023 | −3056 | −3046 | |
| 3 | −3035 | −3025 | −3020 | −3025 | −3004 | −3040 | −3033 | |
| 4 | −3039 | −3026 | −3026 | −3028 | −3004 | −3041 | −3035 | |
| 5 | −13,211 | −13,126 | −13,083 | −13,091 | −13,065 | −13,243 | −13,177 | |
| 6 | −1356 | −1314 | −1302 | −1304 | −1206 | −1352 | −1322 | |
| 7 | −10,078 | −9823 | −9632 | −9668 | −9794 | −10,074 | −9878 | |
| 8 | −456 | −450 | −450 | −450 | −430 | −454 | −454 | |
| 9 | −2902 | −2786 | −2676 | −2680 | −2,648 | −2912 | −2814 |
| Rank | Hyper-Heuristic | µ-Norm | µ-Rank | Best | Worst |
|---|---|---|---|---|---|
| 1 | EA-ILS | 0.0210 | 1.30 | 8 | 0 |
| 2 | AdapHH | 0.0302 | 1.70 | 5 | 0 |
| 3 | EPH | 0.0556 | 2.00 | 4 | 0 |
| 4 | SR-AM | 0.1507 | 4.00 | 2 | 0 |
| 5 | SR-IE | 0.3300 | 5.50 | 0 | 4 |
| 6 | NR-FS-ILS | 0.3628 | 5.30 | 1 | 6 |
| 7 | FS-ILS | 0.3967 | 5.40 | 1 | 2 |
| Rank | Hyper-Heuristic | µ-Norm | µ-Rank | Best | Worst |
|---|---|---|---|---|---|
| 1 | EA-ILS | 0.0727 | 1.30 | 9 | 0 |
| 2 | NR-FS-ILS | 0.1036 | 2.90 | 0 | 0 |
| 3 | AdapHH | 0.1063 | 3.40 | 1 | 0 |
| 4 | FS-ILS | 0.1071 | 3.80 | 0 | 0 |
| 5 | EPH | 0.1369 | 4.60 | 0 | 0 |
| 6 | SR-AM | 0.1486 | 4.90 | 0 | 0 |
| 7 | SR-IE | 0.6355 | 7.00 | 0 | 10 |
| Rank | Hyper-Heuristic | µ-Norm | µ-Rank | Best | Worst |
|---|---|---|---|---|---|
| 1 | EA-ILS | 0.0886 | 1.00 | 10 | 0 |
| 2 | SR-AM | 0.2392 | 2.50 | 0 | 0 |
| 3 | AdapHH | 0.2658 | 3.00 | 0 | 0 |
| 4 | NR-FS-ILS | 0.3634 | 3.90 | 0 | 0 |
| 5 | FS-ILS | 0.3811 | 4.80 | 0 | 2 |
| 6 | EPH | 0.5116 | 5.60 | 0 | 1 |
| 7 | SR-IE | 0.7305 | 6.60 | 0 | 7 |
| Rank | Hyper-Heuristic | µ-Norm | µ-Rank | Best | Worst |
|---|---|---|---|---|---|
| 1 | EA-ILS | 0.0608 | 1.20 | 27 | 0 |
| 2 | AdapHH | 0.1341 | 2.70 | 6 | 0 |
| 3 | SR-AM | 0.1795 | 3.80 | 2 | 0 |
| 4 | EPH | 0.2347 | 4.07 | 4 | 1 |
| 5 | NR-FS-ILS | 0.2766 | 4.03 | 1 | 6 |
| 6 | FS-ILS | 0.2950 | 4.67 | 1 | 4 |
| 7 | SR-IE | 0.5653 | 6.37 | 0 | 21 |
| S/N | Hyper-Heuristic | Rank |
|---|---|---|
| 1 | EA-ILS | 1.67 |
| 2 | AdapHH | 3.38 |
| 3 | SSHH | 3.88 |
| 4 | SR-AM | 4.58 |
| 5 | EPH | 4.78 |
| 6 | NR-FS-ILS | 4.83 |
| 7 | FS-ILS | 5.45 |
| 8 | SR-IE | 7.35 |
| Domain | Instance | EA-ILS | AdapHH | FS-ILS | TS-ILS |
|---|---|---|---|---|---|
| MAX-SAT | SAT3 | 1.0 | 1.0 | 1.0 | 0.0 |
| SAT5 | 1.0 | 3.0 | 1.0 | 1.0 | |
| SAT4 | 0.0 | 1.0 | 0.0 | 0.0 | |
| SAT10 | 1.0 | 1.0 | 1.0 | 1.0 | |
| SAT11 | 7.0 | 7.0 | 7.0 | 7.0 | |
| Bin Packing | BP7 | 0.01107109 | 0.0131 | 0.01384737 | 0.01569294 |
| BP1 | 0.00339113 | 0.0028 | 0.00666972 | 0.00306951 | |
| BP9 | 0.00162385 | 0.0004 | 0.01004134 | 0.00049110 | |
| BP10 | 0.10829805 | 0.1083 | 0.10833606 | 0.10827981 | |
| BP11 | 0.00431172 | 0.0031 | 0.01047079 | 0.00115128 | |
| Personnel Scheduling | PS5 | 15.0 | - | 17.0 | 15.0 |
| PS9 | 9176.0 | - | 9486.0 | 9291.0 | |
| PS8 | 3136.0 | - | 3148.0 | 3142.0 | |
| PS10 | 1380.0 | - | 1360.0 | 1453.0 | |
| PS11 | 305.0 | - | 325.0 | 315.0 | |
| Flowshop | PFS1 | 6210.0 | 6214.0 | 6214.0 | 6210.0 |
| PFS8 | 26700.0 | 26757.0 | 26743.0 | 26744.0 | |
| PFS3 | 6303.0 | 6303.0 | 6303.0 | 6303.0 | |
| PFS10 | 11308.0 | 11318.0 | 11332.0 | 11308.0 | |
| PFS11 | 26511.0 | 26541.0 | 26547.0 | 26516.0 | |
| Travelling Salesman | TSP0 | 48194.9 | 48194.9 | 48194.9 | 48194.9 |
| TSP8 | 20732537.2 | 20752853.8 | 20933386.7 | 20662037.2 | |
| TSP2 | 6798.8 | 6797.5 | 6796.5 | 6798.6 | |
| TSP7 | 66017.2 | 66277.1 | 65748.4 | 65592.7 | |
| TSP6 | 52545.2 | 52383.8 | 52385.5 | 52308.7 | |
| Vehicle Routing | VRP6 | 61943.4 | 58052.1 | 63429.7 | 60145.1 |
| VRP2 | 12270.1 | 13304.9 | 12277.1 | 12266.9 | |
| VRP5 | 143902.4 | 145481.5 | 142481.3 | 142607.9 | |
| VRP1 | 20652.2 | 20652.3 | 20651.6 | 20652.2 | |
| VRP9 | 144030.2 | 146154.1 | 144686.3 | 143479.0 |
| Domain | Instance | EA-ILS | AdapHH | FS-ILS | TS-ILS |
|---|---|---|---|---|---|
| MAX-SAT | SAT3 | 4.0 | 3.0 | 2.0 | 2.0 |
| SAT5 | 5.0 | 5.0 | 3.0 | 3.0 | |
| SAT4 | 2.0 | 2.0 | 1.0 | 1.0 | |
| SAT10 | 6.0 | 3.0 | 2.0 | 1.0 | |
| SAT11 | 9.0 | 8.0 | 8.0 | 8.0 | |
| Bin Packing | BP7 | 0.01612590 | 0.01607535 | 0.01851932 | 0.01876799 |
| BP1 | 0.00354067 | 0.00360372 | 0.00751493 | 0.00350695 | |
| BP9 | 0.00267695 | 0.00356587 | 0.01122520 | 0.00052035 | |
| BP10 | 0.10831818 | 0.10828303 | 0.10840170 | 0.10828402 | |
| BP11 | 0.00755952 | 0.00354259 | 0.01355520 | 0.00142866 | |
| Personnel Scheduling | PS5 | 20.0 | - | 23.0 | 21.0 |
| PS9 | 9560.0 | - | 9763.0 | 9548.0 | |
| PS8 | 3164.0 | - | 3236.0 | 3181.0 | |
| PS10 | 1550.0 | - | 1635.0 | 1550.0 | |
| PS11 | 325.0 | - | 345.0 | 330.0 | |
| Flowshop | PFS1 | 6224.0 | 6240.0 | 6241.0 | 6232.0 |
| PFS8 | 26769.0 | 26814.0 | 26797.0 | 26785.0 | |
| PFS3 | 6323.0 | 6326.0 | 6323.0 | 6325.0 | |
| PFS10 | 11344.0 | 11359.0 | 11374.0 | 11340.0 | |
| PFS11 | 26583.0 | 26643.0 | 26605.0 | 26601.0 | |
| Travelling Salesman | TSP0 | 48194.9 | 48194.9 | 48194.9 | 48194.9 |
| TSP8 | 21333200.2 | 20822145.6 | 21172591.7 | 20779493.2 | |
| TSP2 | 6805.8 | 6810.5 | 6806.7 | 6805.3 | |
| TSP7 | 66483.8 | 66879.8 | 66415.3 | 66133.0 | |
| TSP6 | 53997.5 | 53099.8 | 52840.8 | 53762.4 | |
| Vehicle Routing | VRP6 | 66178.5 | 60900.6 | 65638.8 | 63709.0 |
| VRP2 | 13286.3 | 13347.6 | 12308.0 | 13292.8 | |
| VRP5 | 146813.7 | 148516.8 | 146871.0 | 145401.5 | |
| VRP1 | 20654.1 | 20656.6 | 20654.1 | 20654.7 | |
| VRP9 | 145765.2 | 148689.2 | 146242.7 | 145205.4 |
| Problem Domains | ||||||
|---|---|---|---|---|---|---|
| Hyper-Heuristic | SAT | BP | PFS | TSP | VRP | Overall |
| EA-ILS | 21.2 | 36.0 | 48.0 | 24.0 | 29.5 | 158.7 |
| AdapHH | 33.6 | 42.0 | 30.0 | 36.25 | 13.0 | 154.85 |
| ML | 11.0 | 8.0 | 31.5 | 11.0 | 19.5 | 81.0 |
| VNS-TW | 33.6 | 2.0 | 26.0 | 15.25 | 4.0 | 80.85 |
| PHUNTER | 8.0 | 2.0 | 6.0 | 24.25 | 30.0 | 70.25 |
| EPH | 0.0 | 6.0 | 16.0 | 32.25 | 11.0 | 65.25 |
| NAHH | 11.5 | 18.0 | 18.5 | 11.0 | 5.0 | 64.0 |
| Hyper-Heuristic | Problem Domains | ||||||
|---|---|---|---|---|---|---|---|
| SAT | BP | PS | PFS | TSP | VRP | Overall | |
| TS-ILS | 0.1341 | 0.1052 | 0.3735 | 0.4515 | 0.2852 | 0.3514 | 0.2835 |
| EA-ILS | 0.3677 | 0.1779 | 0.3418 | 0.3964 | 0.4435 | 0.3982 | 0.3542 |
| FS-ILS | 0.1365 | 0.5547 | 0.5505 | 0.5601 | 0.2692 | 0.3653 | 0.4061 |
| KP1-1 | −1,262,437 | −1,255,857 | 1561 | 414 | 6.52 | 31.09 |
| KP1-2 | −1,260,453 | −1,256,773 | 1234 | 368 | 5.95 | 35.49 |
| KP1-3 | −1,262,433 | −1,259,963 | 1655 | 356 | 7.00 | 39.09 |
| KP1-4 | −1,263,828 | −1,256,390 | 1929 | 385 | 9.87 | 34.76 |
| KP1-5 | −1,254,789 | −1,259,903 | 2089 | 382 | 5.07 | 34.47 |
| KP5-1 | −4,276,582 | −4,258,774 | 182 | 15 | 10.13 | 114.20 |
| KP5-2 | −4,258,106 | −3,974,568 | 145 | 16 | 3.16 | 111.25 |
| KP5-3 | −4,251,970 | −4,248,962 | 100 | 7 | 14.17 | 199.14 |
| KP5-4 | −4,259,539 | −3,683,130 | 158 | 8 | 9. 53 | 203. 50 |
| KP5-5 | −4,270,759 | −4,248,962 | 177 | 9 | 6.06 | 162.89 |
| QAP0-1 | 152,068 | 152,164 | 1876 | 2273 | 1.89 | 2.84 |
| QAP0-2 | 152,360 | 152,026 | 1594 | 2928 | 1.80 | 2.92 |
| QAP0-3 | 152,398 | 152,070 | 2408 | 2234 | 1.83 | 2.87 |
| QAP0-4 | 152,076 | 152,086 | 1895 | 2559 | 1.82 | 2.83 |
| QAP0-5 | 152,048 | 152,060 | 3466 | 2099 | 1.83 | 2.81 |
| QAP7-1 | 44,884,414 | 44,870,046 | 68 | 81 | 1.78 | 2.79 |
| QAP7-2 | 44,866,080 | 44,882,160 | 180 | 156 | 1.90 | 2.96 |
| QAP7-3 | 44,859,006 | 44,873,662 | 164 | 187 | 1.86 | 2.84 |
| QAP7-4 | 44,870,856 | 44,854,654 | 131 | 233 | 1.79 | 2.83 |
| QAP7-5 | 44,879,374 | 44,843,808 | 180 | 251 | 1.89 | 2.87 |
| MAC5-1 | −13,217 | −13,172 | 10,718 | 6931 | 2.17 | 4.25 |
| MAC5-2 | −13,226 | −13,139 | 13,920 | 6733 | 2.27 | 4.28 |
| MAC5-3 | −13,193 | −13,246 | 10,297 | 6740 | 2.23 | 4.36 |
| MAC5-4 | −13,227 | −13,214 | 10,923 | 6696 | 2.25 | 4.38 |
| MAC5-5 | −13,186 | −13,166 | 10,494 | 6732 | 2.27 | 4.33 |
| MAC6-1 | −1358 | −1354 | 38,313 | 23,406 | 1.91 | 4.19 |
| MAC6-2 | −1352 | −1358 | 38,719 | 22,350 | 2.05 | 4.29 |
| MAC6-3 | −1362 | −1344 | 38,209 | 23,286 | 1.92 | 4.25 |
| MAC6-4 | −1350 | −1352 | 49,983 | 24,363 | 1.86 | 4.18 |
| MAC6-5 | −1356 | −1350 | 33,797 | 26,373 | 2.04 | 4.04 |
Publisher’s Note: MDPI stays neutral with regard to jurisdictional claims in published maps and institutional affiliations. |
© 2022 by the authors. Licensee MDPI, Basel, Switzerland. This article is an open access article distributed under the terms and conditions of the Creative Commons Attribution (CC BY) license (https://creativecommons.org/licenses/by/4.0/).
Share and Cite
Adubi, S.A.; Oladipupo, O.O.; Olugbara, O.O. Evolutionary Algorithm-Based Iterated Local Search Hyper-Heuristic for Combinatorial Optimization Problems. Algorithms 2022, 15, 405. https://doi.org/10.3390/a15110405
Adubi SA, Oladipupo OO, Olugbara OO. Evolutionary Algorithm-Based Iterated Local Search Hyper-Heuristic for Combinatorial Optimization Problems. Algorithms. 2022; 15(11):405. https://doi.org/10.3390/a15110405
Chicago/Turabian StyleAdubi, Stephen A., Olufunke O. Oladipupo, and Oludayo O. Olugbara. 2022. "Evolutionary Algorithm-Based Iterated Local Search Hyper-Heuristic for Combinatorial Optimization Problems" Algorithms 15, no. 11: 405. https://doi.org/10.3390/a15110405
APA StyleAdubi, S. A., Oladipupo, O. O., & Olugbara, O. O. (2022). Evolutionary Algorithm-Based Iterated Local Search Hyper-Heuristic for Combinatorial Optimization Problems. Algorithms, 15(11), 405. https://doi.org/10.3390/a15110405

