Variational Bayes to Accelerate the Lagrange Multipliers towards the Dual Optimization of Reliability and Cost in Renewable Energy Systems
Abstract
:1. Introduction
2. Dual Problem Formulation
3. Mathematical Framework
3.1. Lagrange Relaxation Approach
3.2. Bayesian Primer
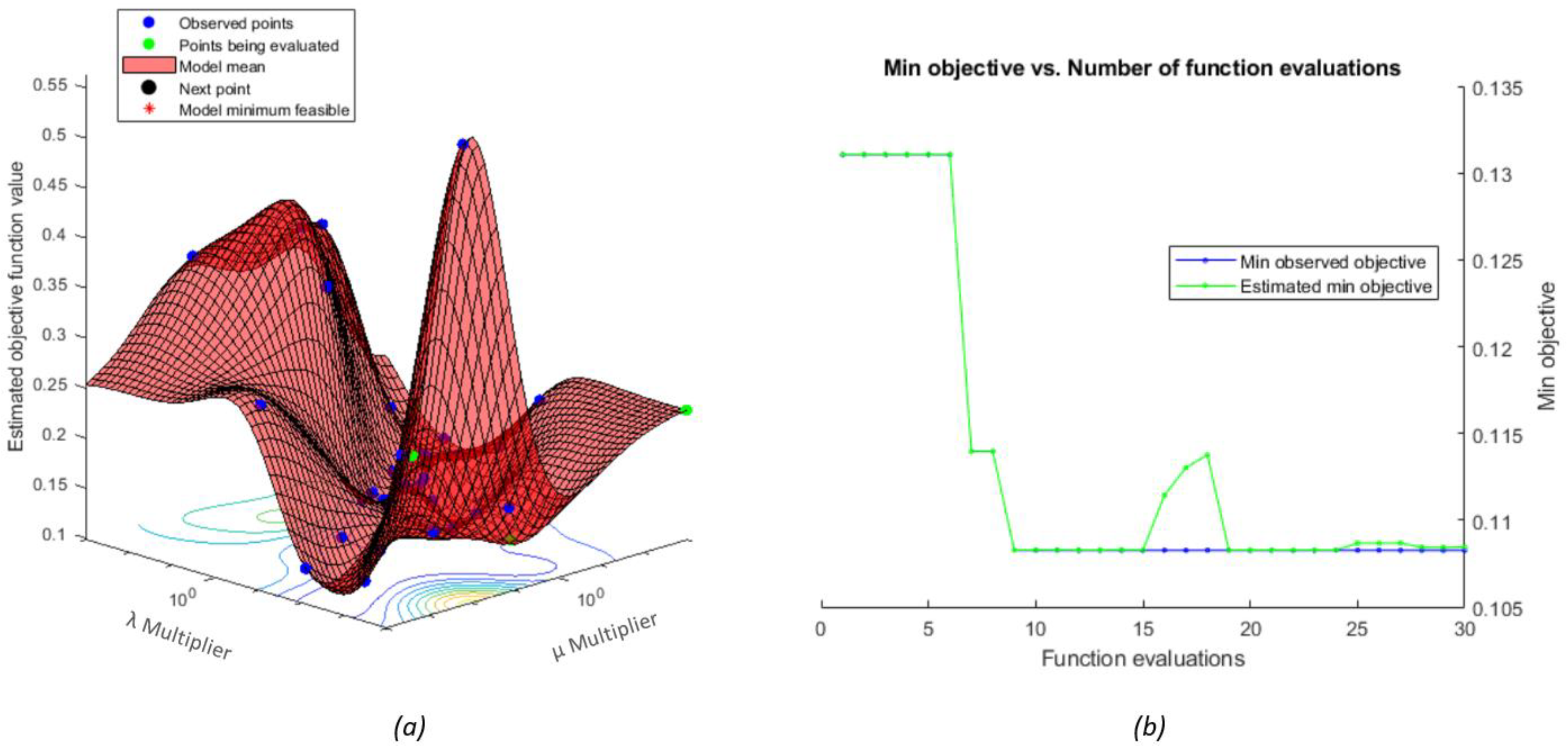
4. Experimental Evaluation
4.1. Comparison with Conventional Methods
4.2. Comparison with Modern Insights
4.3. Prospects for Real-World Conditions
5. Conclusions
Funding
Data Availability Statement
Conflicts of Interest
References
- Celasun, O.; Mineshima, A.; Arregui, N.; Mylonas, V.; Ari, A.; Teodoru, I.; Black, S.; Zhunussova, K.; Iakova, D.; Parry, I. Surging Energy Prices in Europe in the Aftermath of the War: How to Support the Vulnerable and Speed up the Transition Away from Fossil Fuels. IMF Work. Pap. 2022, 152, 1–41. Available online: https://ssrn.com/abstract=4184693 (accessed on 1 November 2022). [CrossRef]
- Arias, A.F.; Lamadrid, A.; Valencia, C. Virtual Power Plant Day Ahead Energy Unit Commitment. In Proceedings of the 55th Hawaii International Conference on System Sciences, Maui, HI, USA, 4–7 January 2022; pp. 1–10. [Google Scholar] [CrossRef]
- Feng, Z.-K.; Niu, W.-J.; Wang, W.-C.; Zhou, J.-Z.; Cheng, C.-T. A mixed integer linear programming model for unit commitment of thermal plants with peak shaving operation aspect in regional power grid lack of flexible hydropower energy. Energy 2019, 175, 618–629. [Google Scholar] [CrossRef]
- Nikolaidis, P.; Poullikkas, A. Co-optimization of active power curtailment, load shedding and spinning reserve deficits through hybrid approach: Comparison of electrochemical storage technologies. IET Renew. Power Gener. 2022, 16, 92–104. [Google Scholar] [CrossRef]
- Shahbazitabar, M.; Abdi, H. A novel priority-based stochastic unit commitment considering renewable energy sources and parking lot cooperation. Energy 2018, 161, 308–324. [Google Scholar] [CrossRef]
- Colonetti, B.; Finardi, E.C. Combining Lagrangian relaxation, benders decomposition, and the level bundle method in the stochastic hydrothermal unit-commitment problem. Int. Trans. Electr. Energy Syst. 2020, 30, e12514. [Google Scholar] [CrossRef]
- Shen, J.-J.; Shen, Q.-Q.; Cheng, C.-T.; Zhang, X.-F.; Wang, J. Large-Scale Unit Commitment for Cascaded Hydropower Plants with Hydraulic Coupling and Head-Sensitive Forbidden Zones: Case of the Xiluodu and Xiangjiaba Hydropower System. J. Water Resour. Plan. Manag. 2020, 146, 05020023. [Google Scholar] [CrossRef]
- Scuzziato, M.R.; Finardi, E.C.; Frangioni, A. Solving stochastic hydrothermal unit commitment with a new primal recovery technique based on Lagrangian solutions. Int. J. Electr. Power Energy Syst. 2021, 127, 106661. [Google Scholar] [CrossRef]
- Nikolaidis, P.; Poullikkas, A. Enhanced Lagrange relaxation for the optimal unit commitment of identical generating units. IET Gener. Transm. Distrib. 2020, 14, 3920–3928. [Google Scholar] [CrossRef]
- Ponciroli, R.; Stauff, N.E.; Ramsey, J.; Ganda, F.; Vilim, R.B. An improved genetic algorithm approach to the unit commitment/economic dispatch problem. IEEE Trans. Power Syst. 2020, 35, 4005–4013. [Google Scholar] [CrossRef]
- Jordehi, A.R. An improved particle swarm optimisation for unit commitment in microgrids with battery energy storage systems considering battery degradation and uncertainties. Int. J. Energy Res. 2021, 45, 727–744. [Google Scholar] [CrossRef]
- Garlík, B.; Křivan, M. Renewable energy unit commitment, with different acceptance of balanced power, solved by simulated annealing. Energy Build. 2013, 67, 392–402. [Google Scholar] [CrossRef]
- Columbus, C.C.; Chandrasekaran, K.; Simon, S.P. Nodal ant colony optimization for solving profit based unit commitment problem for GENCOs. Appl. Soft Comput. J. 2012, 12, 145–160. [Google Scholar] [CrossRef]
- Sudhakaran, M.; Raj, P. Integrating genetic algorithms and tabu search for unit commitment problem. Int. J. Eng. Sci. Technol. 2010, 2, 57–69. [Google Scholar] [CrossRef]
- Said, M.; Houssein, E.H.; Deb, S.; Alhussan, A.A.; Ghoniem, R.M. A Novel Gradient Based Optimizer for Solving Unit Commitment Problem. IEEE Access 2022, 10, 18081–18092. [Google Scholar] [CrossRef]
- Srikanth, K.; Panwar, L.K.; Panigrahi, B.; Herrera-Viedma, E.; Sangaiah, A.K.; Wang, G.-G. Meta-heuristic framework: Quantum inspired binary grey wolf optimizer for unit commitment problem. Comput. Electr. Eng. 2018, 70, 243–260. [Google Scholar] [CrossRef]
- Yang, K.; Yang, K. Short-Term Hydro Generation Scheduling of the Three Gorges Hydropower Station Using Improver Binary-coded Whale Optimization Algorithm. Water Resour. Manag. 2021, 35, 3771–3790. [Google Scholar] [CrossRef]
- Anand, H.; Narang, N.; Dhillon, J. Profit based unit commitment using hybrid optimization technique. Energy 2018, 148, 701–715. [Google Scholar] [CrossRef]
- Pan, J.-S.; Hu, P.; Chu, S.-C. Binary fish migration optimization for solving unit commitment. Energy 2021, 226, 120329. [Google Scholar] [CrossRef]
- Zhao, J.; Liu, S.; Zhou, M.; Guo, X.; Qi, L. An Improved Binary Cuckoo Search Algorithm for Solving Unit Commitment Problems: Methodological Description. IEEE Access 2018, 6, 43535–43545. [Google Scholar] [CrossRef]
- Dhaliwal, J.S.; Dhillon, J. Profit based unit commitment using memetic binary differential evolution algorithm. Appl. Soft Comput. J. 2019, 81, 105502. [Google Scholar] [CrossRef]
- Reddy, S.; Panwar, L.K.; Panigrahi, B.K.; Kumar, R. Solution to unit commitment in power system operation planning using binary coded modified moth flame optimization algorithm (BMMFOA): A flame selection based computational technique. J. Comput. Sci. 2018, 25, 298–317. [Google Scholar] [CrossRef]
- Ali, E.; Elazim, S.A.; Balobaid, A. Implementation of coyote optimization algorithm for solving unit commitment problem in power systems. Energy 2023, 263, 125697. [Google Scholar] [CrossRef]
- Kumar, V.; Naresh, R. Application of baron solver for solution of cost based unit commitment problem. Int. J. Electr. Eng. Inform. 2020, 12, 807–827. [Google Scholar] [CrossRef]
- Amudha, A.; Varghese, M.P. A Hybrid CS-ABC optimization technique for Solving Unit Commitment Problem with Wind Power Uncertainty. Appl. Math. Inf. Sci. 2019, 13, 417–429. [Google Scholar] [CrossRef]
- Singh, V.; Fozdar, M.; Malik, H.; Márquez, F.P.G. Transmission congestion management through sensitivity based rescheduling of generators using improved monarch butterfly optimization. Int. J. Electr. Power Energy Syst. 2023, 145, 108729. [Google Scholar] [CrossRef]
- Nandi, A.; Kamboj, V.K.; Khatri, M. Metaheuristics approaches to profit based unit commitment for GENCOs. Mater. Today Proc. 2022, 60, 1874–1881. [Google Scholar] [CrossRef]
- Mrówczyńska, M.; Skiba, M.; Leśniak, A.; Bazan-Krzywoszańska, A.; Janowiec, F.; Sztubecka, M.; Grech, R.; Kazak, J. A new fuzzy model of multi-criteria decision support based on Bayesian networks for the urban areas’ decarbonization planning. Energy Convers. Manag. 2022, 268, 116035. [Google Scholar] [CrossRef]
- Nikolaidis, P.; Poullikkas, A. A Thorough Emission-Cost Analysis of the Gradual Replacement of Carbon-Rich Fuels with Carbon-Free Energy Carriers in Modern Power Plants: The Case of Cyprus. Sustainability 2022, 14, 10800. [Google Scholar] [CrossRef]
- Nikolaidis, P.; Poullikkas, A. A novel cluster-based spinning reserve dynamic model for wind and PV power reinforcement. Energy 2021, 234, 121270. [Google Scholar] [CrossRef]
- Nikolaidis, P.; Poullikkas, A. Evolutionary Priority-Based Dynamic Programming for the Adaptive Integration of Intermittent Distributed Energy Resources in Low-Inertia Power Systems. Eng 2021, 2, 643–660. [Google Scholar] [CrossRef]
- Cheng, C.-P.; Liu, C.-W.; Liu, C.-C. Unit commitment by Lagrangian Relaxation and Genetic Algorithms. IEEE Trans. Power Syst. 2000, 15, 707–714. [Google Scholar] [CrossRef]
- Rush, A.M.; Collins, M.J. A tutorial on dual decomposition and lagrangian relaxation for inference in natural language processing. J. Artif. Intell. Res. 2012, 45, 305–362. [Google Scholar] [CrossRef]
- Nikolaidis, P.; Antoniades, A.; Chatzis, S. A bayesian optimization approach for the robust unit commitment of identical generating units. In Proceedings of the 12th Mediterranean Conference on Power Generation, Transmission, Distribution and Energy Conversion (MEDPOWER 2020), Online, 9–12 November 2020; pp. 264–269. [Google Scholar]
- Hernández-Lobato, J.M.; Gelbart, M.A.; Adams, R.P.; Hoffman, M.W.; Ghahramani, Z. A general framework for constrained Bayesian optimization using information-based search. J. Mach. Learn. Res. 2016, 17, 1–53. [Google Scholar]
- Jordan, L.K.; Ghahramani, M.I.; Jaakkola, Z.; Saul, T.S. An Introduction to Variational Methods for Graphical Models. Mach. Learn. 1999, 37, 183–233. [Google Scholar] [CrossRef]
- Nikolaidis, P.; Chatzis, S. Gaussian process-based Bayesian optimization for data-driven unit commitment. Int. J. Electr. Power Energy Syst. 2021, 130, 106930. [Google Scholar] [CrossRef]
- Fritt-Rasmussen, J.; Wegeberg, S.; Gustavson, K.; Sørheim, K.R.; Daling, P.S.; Jørgensen, K.; Tonteri, O.; Holst-Andersen, J.P. Heavy Fuel Oil (HFO): A Review of Fate and Behaviour of HFO Spills in Cold; Nordic Council of Ministers: Copenhagen, Denmark, 2018. [Google Scholar] [CrossRef]
- Nikolaidis, P.; Poullikkas, A. Optimal carbon-electricity trade-offs through the virtual power plant concept. Discov. Energy 2022, 2, 1–16. [Google Scholar] [CrossRef]











| Unit i | a ($/MW2h) | b ($/MWh) | c ($/h) | SU ($) | Pmin (MW) | Pmax (MW) | MU (h) | MD (h) | RU (MW/h) | RD (MW/h) |
|---|---|---|---|---|---|---|---|---|---|---|
| 1 | 0.001 | 4 | 5 | 10,000 | 100 | 800 | 8 | 8 | 350 | 350 |
| 2 | 0.002 | 6 | 5 | 10,000 | 100 | 800 | 8 | 8 | 350 | 350 |
| 3 | 0.0025 | 8 | 20 | 8000 | 80 | 400 | 4 | 4 | 160 | 160 |
| 4 | 0.0025 | 10 | 20 | 8000 | 80 | 400 | 4 | 4 | 160 | 160 |
| 5 | 0.002 | 10 | 30 | 6000 | 60 | 300 | 3 | 3 | 120 | 120 |
| 6 | 0.002 | 12 | 30 | 6000 | 60 | 300 | 3 | 3 | 120 | 120 |
| 7 | 0.0015 | 14 | 40 | 5000 | 50 | 200 | 2 | 2 | 75 | 75 |
| 8 | 0.0015 | 16 | 40 | 5000 | 50 | 200 | 2 | 2 | 75 | 75 |
| 9 | 0.0012 | 15 | 55 | 2500 | 25 | 100 | 1 | 1 | 40 | 40 |
| 10 | 0.0012 | 17 | 55 | 2500 | 25 | 100 | 1 | 1 | 40 | 40 |
| 11 | 0.0012 | 17 | 55 | 2500 | 25 | 100 | 1 | 1 | 40 | 40 |
| 12 | 0.002 | 10 | 30 | 6000 | 60 | 300 | 3 | 3 | 120 | 120 |
| 13 | 0.002 | 12 | 30 | 6000 | 60 | 300 | 3 | 3 | 120 | 120 |
| 14 | 0.0015 | 14 | 40 | 5000 | 50 | 200 | 2 | 2 | 75 | 75 |
| 15 | 0.0015 | 16 | 40 | 5000 | 50 | 200 | 2 | 2 | 75 | 75 |
| 16 | 0.0012 | 15 | 55 | 2500 | 25 | 100 | 1 | 1 | 50 | 50 |
| 17 | 0.0012 | 17 | 55 | 2500 | 25 | 100 | 1 | 1 | 50 | 50 |
| 18 | 0.0012 | 17 | 55 | 2500 | 25 | 100 | 1 | 1 | 50 | 50 |
| Assessed Weekday | Max (k) | ε | J (k$) |
|---|---|---|---|
| 1 | 101 | 0.003 | 783.89 |
| 2 | 93 | 0.008 | 625.66 |
| 3 | 97 | 0.008 | 604.86 |
| 4 | 123 | 0.007 | 636.45 |
| 5 | 161 | 0.007 | 861.36 |
| Interval | Biomass | Geothermal | PV | Wind | Hydro | Residual Load | SR |
|---|---|---|---|---|---|---|---|
| 1 | 10 | 18 | 0 | 23 | 305 | 1458 | 45 |
| 2 | 10 | 18 | 0 | 2 | 296 | 1436 | 37 |
| 3 | 10 | 17 | 0 | 0 | 287 | 1395 | 35 |
| 4 | 10 | 17 | 0 | 0 | 283 | 1374 | 34 |
| 5 | 10 | 17 | 0 | 12 | 287 | 1384 | 39 |
| 6 | 10 | 18 | 0 | 4 | 296 | 1434 | 38 |
| 7 | 10 | 18 | 180 | 21 | 305 | 1279 | 58 |
| 8 | 10 | 19 | 200 | 2 | 322 | 1364 | 55 |
| 9 | 10 | 20 | 220 | 0 | 339 | 1431 | 58 |
| 10 | 10 | 22 | 220 | 1 | 374 | 1600 | 62 |
| 11 | 10 | 24 | 240 | 35 | 409 | 1716 | 81 |
| 12 | 10 | 27 | 312 | 351 | 461 | 1584 | 211 |
| 13 | 10 | 29 | 240 | 160 | 487 | 1975 | 137 |
| 14 | 10 | 30 | 220 | 152 | 496 | 2046 | 134 |
| 15 | 10 | 29 | 220 | 648 | 492 | 1528 | 320 |
| 16 | 10 | 28 | 200 | 279 | 479 | 1854 | 178 |
| 17 | 10 | 29 | 180 | 150 | 481 | 2013 | 128 |
| 18 | 10 | 28 | 0 | 121 | 466 | 2147 | 102 |
| 19 | 10 | 27 | 0 | 46 | 459 | 2189 | 73 |
| 20 | 10 | 27 | 0 | 277 | 452 | 1925 | 159 |
| 21 | 10 | 27 | 0 | 125 | 445 | 2044 | 101 |
| 22 | 10 | 23 | 0 | 96 | 394 | 1820 | 84 |
| 23 | 10 | 22 | 0 | 4 | 377 | 1833 | 47 |
| 24 | 10 | 20 | 0 | 0 | 334 | 1624 | 41 |
| Unit i | e1 ($/MW2h) | e2 ($/MWh) | e3 ($/h) | SU Emission Cost ($) | Fuel Type |
|---|---|---|---|---|---|
| 1 | 0.0022 | 0.478 | 7.712 | 743.84 | Higher hydrocarbon |
| 2 | 0.0022 | 0.478 | 7.712 | 743.84 | Higher hydrocarbon |
| 3 | 0.0022 | 0.478 | 7.712 | 743.84 | Higher hydrocarbon |
| 4 | 0.0022 | 0.478 | 7.712 | 743.84 | Higher hydrocarbon |
| 5 | 0.0022 | 0.478 | 7.712 | 743.84 | Higher hydrocarbon |
| 6 | 0.0022 | 0.478 | 7.712 | 743.84 | Higher hydrocarbon |
| 7 | 0.0022 | 0.478 | 7.712 | 743.84 | Higher hydrocarbon |
| 8 | 0.0022 | 0.478 | 7.712 | 743.84 | Higher hydrocarbon |
| 9 | 0.0018 | 0.438 | 1.317 | 85.36 | Diesel |
| 10 | 0.0018 | 0.438 | 1.317 | 85.36 | Diesel |
| 11 | 0.0018 | 0.438 | 1.317 | 85.36 | Diesel |
| 12 | 0.0022 | 0.478 | 7.712 | 743.84 | Higher hydrocarbon |
| 13 | 0.0022 | 0.478 | 7.712 | 743.84 | Higher hydrocarbon |
| 14 | 0.0022 | 0.478 | 7.712 | 743.84 | Higher hydrocarbon |
| 15 | 0.0022 | 0.478 | 7.712 | 743.84 | Higher hydrocarbon |
| 16 | 0.0018 | 0.438 | 1.317 | 743.84 | Diesel |
| 17 | 0.0018 | 0.438 | 1.317 | 85.36 | Diesel |
| 18 | 0.0018 | 0.438 | 1.317 | 85.36 | Diesel |
Disclaimer/Publisher’s Note: The statements, opinions and data contained in all publications are solely those of the individual author(s) and contributor(s) and not of MDPI and/or the editor(s). MDPI and/or the editor(s) disclaim responsibility for any injury to people or property resulting from any ideas, methods, instructions or products referred to in the content. |
© 2022 by the author. Licensee MDPI, Basel, Switzerland. This article is an open access article distributed under the terms and conditions of the Creative Commons Attribution (CC BY) license (https://creativecommons.org/licenses/by/4.0/).
Share and Cite
Nikolaidis, P. Variational Bayes to Accelerate the Lagrange Multipliers towards the Dual Optimization of Reliability and Cost in Renewable Energy Systems. Algorithms 2023, 16, 20. https://doi.org/10.3390/a16010020
Nikolaidis P. Variational Bayes to Accelerate the Lagrange Multipliers towards the Dual Optimization of Reliability and Cost in Renewable Energy Systems. Algorithms. 2023; 16(1):20. https://doi.org/10.3390/a16010020
Chicago/Turabian StyleNikolaidis, Pavlos. 2023. "Variational Bayes to Accelerate the Lagrange Multipliers towards the Dual Optimization of Reliability and Cost in Renewable Energy Systems" Algorithms 16, no. 1: 20. https://doi.org/10.3390/a16010020
APA StyleNikolaidis, P. (2023). Variational Bayes to Accelerate the Lagrange Multipliers towards the Dual Optimization of Reliability and Cost in Renewable Energy Systems. Algorithms, 16(1), 20. https://doi.org/10.3390/a16010020

