Next Article in Journal
Evaluating Street Greenery by Multiple Indicators Using Street-Level Imagery and Satellite Images: A Case Study in Nanjing, China
Next Article in Special Issue
When Density Matters: The Spatial Balance between Early and Latewood
Previous Article in Journal
Dynamics in Stoichiometric Traits and Carbon, Nitrogen, and Phosphorus Pools across Three Different-Aged Picea asperata Mast. Plantations on the Eastern Tibet Plateau
Previous Article in Special Issue
Living in Drylands: Functional Adaptations of Trees and Shrubs to Cope with High Temperatures and Water Scarcity
 
 
Font Type:
Arial Georgia Verdana
Font Size:
Aa Aa Aa
Line Spacing:
Column Width:
Background:
Article

Southeastern Rear Edge Populations of Quercus suber L. Showed Two Alternative Strategies to Cope with Water Stress

by
Hana Ghouil
1,2,
Domingo Sancho-Knapik
3,4,
Amira Ben Mna
2,
Nabil Amimi
2,
Youssef Ammari
2,
Rubén Escribano
3,
David Alonso-Forn
3,
Juan Pedro Ferrio
3,5,
José Javier Peguero-Pina
3,4 and
Eustaquio Gil-Pelegrín
3,*
1
Faculté des Sciences de Bizerte, 7021 Jarzouna, Université de Carthage, Tunisia
2
Laboratoire d’Ecologie Forestière, Institut National de Recherches en Génie Rural, Eaux et Forêts (INRGREF)-Université de Carthage, Centre Urbain Nord, Rue Hédi EL Karray El Menzah IV, 1004 Tunis, BP 10 Ariana 2080 Tunisia
3
Unidad de Recursos Forestales, Centro de Investigación y Tecnología Agroalimentaria de Aragón, Avda. Montañana 930, 50059 Zaragoza, Spain
4
Instituto Agroalimentario de Aragón-IA2 (CITA-Universidad de Zaragoza), 50059 Zaragoza, Spain
5
Aragon Agency for Research and Development (ARAID), 50018 Zaragoza, Spain
*
Author to whom correspondence should be addressed.
Forests 2020, 11(12), 1344; https://doi.org/10.3390/f11121344
Submission received: 17 November 2020 / Revised: 11 December 2020 / Accepted: 14 December 2020 / Published: 17 December 2020

Abstract

Climate change models predict an increase in aridity, especially in the regions under Mediterranean-type climates such as the Mediterranean Basin. However, there is a lack of ecophysiological studies supporting the selection of the more drought-adapted ecotypes for reforestation programs. In this study, we analyzed the anatomical and functional adaptations of 18-month-old seedlings to drought on 16 Quercus suber L. populations from the southeastern rear edge of the species distribution in northern Tunisia growing in a common garden, in order to identify the most appropriate material to use in reforestations. The results evidenced that populations from more xeric habitats displayed the highest leaf dry mass per area (LMA) and lowest leaf area (LA) values, together with the largest increase in the bulk modulus of elasticity (Δε) in response to drought (i.e., elastic adjustment). On the other hand, some populations with intermediate values of aridity, LMA and LA displayed the sharpest increase in proline concentration (ΔPro), with a concomitant increase in osmotic potential at full turgor (Δπo) (i.e., osmotic adjustment). Therefore, two different strategies seem to drive the within-species variation of the studied Q. suber populations in response to water scarcity: (i) a water saver strategy for improving water stress tolerance through the maximization of the elastic adjustment; and (ii) a water spender strategy for maintaining water absorption and photosynthetic activity under moderate water stress through the maximization of the osmotic adjustment. We concluded that the higher elastic adjustment, together with reduced LA and increased LMA, implied a better performance under drought stress in the populations of Q. suber from more xeric habitats, which can be considered the most drought-adapted ecotypes and, consequently, the most appropriate for reforestation programs under an eventual increase in aridity.

1. Introduction

The Mediterranean-type climate is characterized by warm-to-hot summers, mild-to-cold winters, and a precipitation regime with a minimum in summer, which induces a dry period during the vegetative season [1,2,3]. The existence of this summer drought period has been accepted as a severe ecological constrain for plant life [4,5,6,7]. Indeed, the small and sclerophyllous leaves typical of the Mediterranean woody plants have been considered a functional adaptation to withstand water stress during these drought periods [8,9,10,11,12]. However, this genuine Mediterranean climate is markedly influenced by geographic traits, such as the orography, the thermal dynamic behavior of the sea masses [13], and the transition to other climate types. This results in a diverse variety of Mediterranean sub-climates, from warmer and drier sub-climates in transition to arid climates, milder and more humid ones (e.g., in coastal areas) in transition to temperate climates, or drier and cooler variants in continental areas, closer to the typical steppe climates [3]. Due to this great variety of Mediterranean sub-climates, some studies have evidenced intra-specific variations in the degree of sclerophylly, showing an increase in leaf mass per unit area (LMA) towards the drier sites of the species’ natural range [14,15,16,17]. Moreover, Peguero-Pina et al. [18] compared seven provenances of the Mediterranean species Quercus ilex L. growing in a common garden and found an extreme reduction in leaf area (LA) in those specimens coming from the drier sites.
In addition to these anatomical adaptions to drought (higher LMA and lower LA), plants can also dynamically respond to water scarcity by accumulating proline [19,20], which is believed to play an adaptive role in plant stress tolerance [21]. Thus, free proline may be involved in the scavenging of reactive oxygen species (ROS) generated under drought stress, in order to prevent protein denaturation and membrane damage [22]. Furthermore, it has been proposed that free proline acts as a compatible osmolyte that promotes osmotic adjustment, helping plants to extract water from drier soils [23,24]. Thus, increasing leaf proline concentration would induce a more negative osmotic potential at full turgor (πo) and therefore, a more negative water potential at turgor loss point (ΨTLP), because πo is the major driver of ΨTLP [25]. According to Bartlett et al. [26], ΨTLP is a reliable indicator of drought tolerance within and across biomes, reflecting the ability of the bulk leaf tissue to maintain function during drought. Therefore, having a more negative value of ΨTLP would indicate a higher tolerance to drought [18]. Besides πo and ΨTLP, an elastic adjustment based in changes in the bulk modulus of elasticity (ε) can be also a common response of plants to respond to water scarcity [27]. A higher value of ε (i.e., less elastic cell wall), which would be characteristic of more drought-tolerant plants [18,28], would allow a higher drop in leaf water potential for a given symplastic water loss, with evident benefits in water limited conditions [28,29].
Knowing the response to drought of diverse populations from a particular species is of paramount importance in the conservation of that species and the related ecosystem services [30]. In fact, because climate change models predict an increase in aridity in the Mediterranean Basin [31,32], a factor that is being considered in reforestation programs is the use of plant material from populations adapted to this near-future projected climatic conditions [33]. In this sense, rear-edge tree populations living near the xeric distribution limit of the species may have adapted to drought stress, representing genetic reservoirs of drought-resistant ecotypes [34]. However, the problem in most reforestations is the lack of ecophysiological studies that support the selection of the (supposedly) more drought-adapted ecotypes. For this reason, we present a case study to identify the more drought tolerant populations of Quercus suber L. within a particular region, by analyzing both the osmotic and the elastic adjustments to water deficit. Q. suber is a sclerophyllous evergreen oak that can be considered a key economic tree species of the western Mediterranean Basin [35]. We have focused our study on 16 populations from northern Tunisia, because these populations are at the southeastern rear edge of the species distribution [36] and might be the most appropriate material to use in reforestations [37].

2. Materials and Methods

2.1. Plant Material and Experimental Conditions

This study was carried out with 16 populations of cork oak (Quercus suber L.) covering a spectrum of different climates along the species’ range in northern Tunisia (Table 1, Figure 1 and Table S1). Climatic information of each population over the 1970–2000 period was acquired from the Worldclim version 2 database (http://www.worldclim.org) [38]. Then, we used the annual precipitation (P) and annual mean temperature (T) of each site to calculate the De Martonne aridity index (MAI) as MAI = P/(T + 10) (Table 1). Additionally, we used the monthly precipitation and monthly mean temperatures to construct the climatic diagrams for each site. Figure 1 shows climatic diagrams of seven populations that include the three different MAI value ranges considered in this study. Notice that Hammem Jdidi (HJ), Jebel Chehid (JCH) and Kef er rennd (Ker) are rear edge populations located more to the southeast of the species distribution, characterized by a drier climate (Table 1 and Figure 1) [36].
Acorns were collected during the autumn of 2009 from native stands and harvested from 10–15 trees per population. Selected mother trees were separated at least 100 m from each other. According to Soto et al. [39], this distance is sufficient to avoid family structures, even in open cork oak woodland formations. Afterwards, acorns were sown immediately in 5 L polyethylene containers on a 1:2 v/v mix of sand and humus. Seedlings were grown in a semi-controlled nursery (36.86 °N, 10.28 °E, INRGREF, Ariana, Tunisia; Figure 1) under the same climatic conditions (mean temperature = 18 ± 4 °C; mean relative humidity = 64 ± 6%) being watered until field capacity twice a week.
After 18 months, a first subset of 6 seedlings per population were randomly selected to obtain the leaf area (LA) and leaf mass per unit area (LMA). For this purpose, 10 full-developed mature leaves per seedling (60 leaves per population) were collected without petiole and LA was measured with an area meter (AM-100, Delta-T Devices Ltd., Cambridge, UK). Afterwards, leaves were oven-dried for 48 h at 60 °C, and dry mass was measured using an analytical balance (AV264, Ohaus Europe GmbH, Nänikon, Switzerland). Then, LMA was calculated as the ratio of leaf dry mass to leaf area.
A second subset of 9 seedlings per population was subjected to a water stress regime during the summer of 2011, while a third subset of 8 seedlings per population remained watered to field capacity as the control. For the water stress experiment, pots were covered with a plastic bag to prevent soil evaporation and two water stress cycles were consecutively imposed by withdrawing daily watering (Figure 2). The water regime imposed to the seedlings simulates the summer Mediterranean regime characterized by intense drought periods splattered with occasional short-term storms [40]. The first cycle started on 30 June 2011, (day 0) and lasted for 6 days (Figure 2). After one irrigation reaching field capacity (at day 6), the second cycle started on July 7 (day 8) and lasted 14 days (Figure 2). Volumetric soil water content (SWC) was measured every two days with a time domain reflectometry (TDR, Trase system I, Soil moisture Equipment Corp., Santa Barbara, CA, USA) to follow the desiccation process (Figure 2). All the water stress experiments took place during 22 consecutive days. Mean temperature and mean relative humidity during the water deficit experiment were 29 ± 2 °C and 53 ± 3%, respectively. Finally, at the end of the experiment (day 22), predawn water potential (Ψp) was measured with a Scholander pressure chamber, and pressure–volume relationships and proline concentration were determined both in control (C) and stressed (S) seedlings.

2.2. Pressure–Volume Relationships

Pressure–volume (PV) relationships were determined for 5 control and 5 water stressed seedlings per population using a pressure chamber and following the free-transpiration method described in previous studies [28,41]. The water relationship parameters calculated as a mean and standard error of individual values were the osmotic potential at full turgor (πo), water potential at the turgor loss point (ΨTLP), relative water content at the turgor loss point (RWCTLP), and the bulk modulus of elasticity (ε).

2.3. Proline Concentration

Leaf proline concentration was determined spectrophotometrically for 3 control and 4 water stressed seedlings per population following the ninhydrin method described by Bates et al. [42]. Fifty milligrams of lyophilized tissue were processed with 3% (w/v) sulfosalicylic acid, and an aliquot of the supernatant was colored by the addition of ninhydrin. The heated ninhydrin–proline complex (100 °C, 1 h) was mixed with 4 mL of toluene. The condensation product was measured spectrophotometrically at 520 nm (Shimadzu UV-1700, Kyoto, Japan). The proline concentration was calculated using an L-proline standard curve.

2.4. Statistical Analysis

One-way analyses of variance (ANOVA) were performed to compare leaf traits among populations. Multiple comparisons were carried out among populations using the post-hoc Tukey’s honestly significant difference test. Student’s t-tests were used to compare the PV parameters and proline concentration obtained from control and water stressed seedlings within each population. Then, the change of each parameter was calculated for each population as the difference between the mean value of stressed seedlings minus the mean value of control seedlings. To summarize the multivariate relationships among morphological traits, change in physiological parameters and climatic variables of Q. suber populations, we performed a principal components analysis (PCA) with two components. All data are expressed as means ± standard error. Statistical analyses were carried out using SAS version 8.0 (SAS, Cary, NC, USA).

3. Results

Our results showed significant differences (p < 0.05) among populations in leaf mass per area (LMA) and leaf area (LA), with the highest values of LMA and LA (243 g m−2 and 9.2 cm2, respectively) 2.1-fold and 3.9-fold higher than the lowest values found (113 g m−2 and 2.4 cm2, respectively) (Figure 3). Seedlings showing the highest values of LMA and the smallest LA corresponded to populations inhabiting sites with the highest aridity (De Martonne aridity index, MAI, between 15 and 25), coinciding with the most southeastern populations of the species distribution (Figure 1 and Figure 3). On the contrary, some of the seedlings showing lower values of LMA and higher values of LA corresponded to populations inhabiting sites with lower aridity (MAI > 35) such as Echihia (E) or El Feija (EF) (Figure 3). These facts enabled significant correlations between MAI and LMA (r = 0.66, p < 0.01), and between MAI and LA (r = 0.79, p < 0.001) (Figure 4). Additionally, our results also showed that changes in LMA and LA were better associated with variation in annual precipitation than with annual mean temperature (Figure 4).
Concerning the water deficit experiment, the volumetric soil water content (SWC) of stressed seedlings at the beginning of the experiment (day 0) was 28.0 ± 0.6% (Figure 2), that decreased to 4.6 ± 0.2% at the end of the first water deficit period (day 6; Figure 2). Then, stressed seedlings were irrigated reaching an SWC = 25.3 ± 0.3% (day 8) to finally decrease to a mean value of SWC = 4.4 ± 0.3% at the end of the second water deficit period (day 22; Figure 2). At this stage, stressed seedlings showed a mean value of predawn water potential (Ψp) of −3.3 ± 0.4 MPa (Figure 2). On the contrary, control seedlings showed mean values of SWC above 28% throughout the entire water deficit experiment with a Ψp = −0.6 ± 0.3 MPa at the end of the experiment (day 22; Figure 2). No significant differences (p > 0.05) were shown for SWC and Ψp among populations in both control and stressed seedlings.
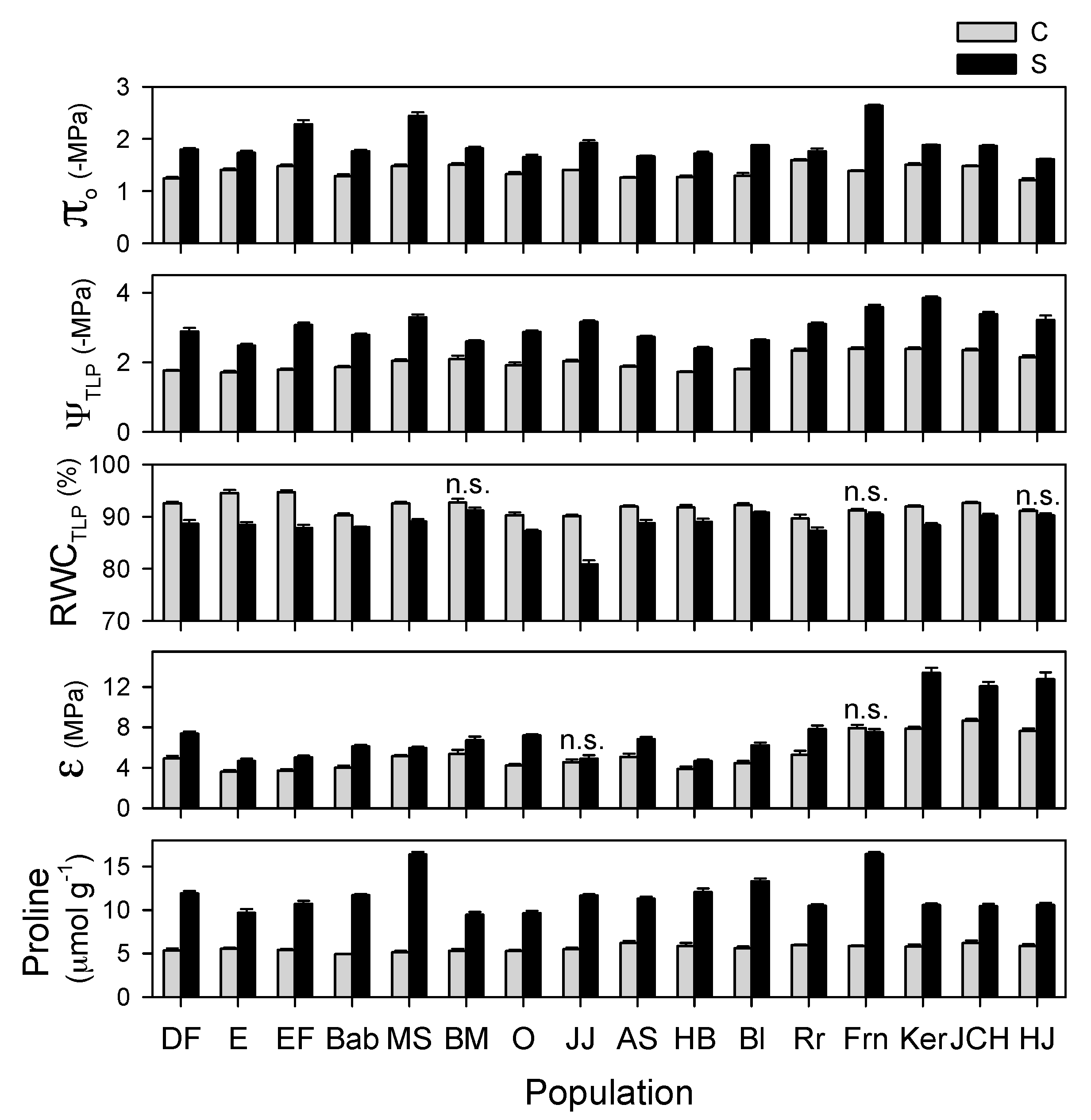
At the end of the water deficit experiment, stressed and control seedlings from all populations showed overall significant differences in the parameters derived from the pressure–volume relationships (p < 0.05; Figure 5). Stressed seedlings from all populations showed significantly more negative values of osmotic potential at full turgor (πo) and water potential at turgor loss point (ΨTLP) than control seedlings (Figure 5). Stressed seedlings also showed significantly lower values of relative water content at turgor loss point (RWCTLP) than control seedlings in 13 of the 16 populations analyzed, and significantly higher values of bulk modulus of elasticity (ε) than controls in 14 of the 16 populations analyzed (Figure 5). Regarding proline concentration, stressed seedlings from all populations showed significantly higher values than control seedlings (p < 0.05), with an accumulation range across populations of 4.1 to 11.2 µmol g−1 (Figure 5).
The PCA showed that the first principal component (PC1), explaining 49.0% of the total amount of variation, grouped LMA and LA with the climatic variables, change in bulk modulus of elasticity (Δε) and change in relative water content at turgor loss point (ΔRWCTLP) (Figure 6). In contrast, the second component (PC2), explaining 23.3% of the total variation, grouped change in osmotic potential at full turgor (Δπo), change in water potential at turgor loss point (ΔΨTLP), and change in proline concentration (ΔPro) (Figure 6). This analysis also showed that seedlings from populations inhabiting the most arid sites (MAI < 25; Hammem Jdidi, HJ; Jebel Chehid, JCH; and Ramlia Kef er rend, Ker) (Table 1) displayed higher Δε (i.e., higher elastic adjustment) (Figure 6). This fact was emphasized by the correlations found between annual precipitation, LMA and Δε (p < 0.05; Figure 7). This larger increase in bulk modulus of elasticity of the most arid populations was also accompanied by a lower decrease in relative water content at turgor loss point (RWCTLP; Figure 6). Additionally, PC2 revealed that two other populations (Fernana, Frn; and Megen Sef, MS) that inhabit sites with intermediate values of aridity (MAI = 26.5 and 42.3, respectively; Table 1) displayed higher values of Δπo, ΔΨTLP and ΔPro, which turned into a higher osmotic adjustment (Figure 6). Regarding these parameters, we also found a strong correlation between Δπo and ΔPro (r = 0.87, p < 0.001; Figure 7).

4. Discussion

This study has evidenced that the populations of Q. suber located at the southeastern rear edge limit of the species distribution range showed a high degree of intraspecific variation in leaf dry mass per area (LMA), even when growing in a common garden. Specifically, we have found that the populations from more xeric habitats (i.e., with lower MAI values) displayed increased LMA values (Figure 4). LMA is one of the key traits of the so-called “leaf economics spectrum” (LES), which globally describes the coordinated variations in leaf structural, chemical, and photosynthetic traits [43]. Thus, according to LES, it could be expected that populations from more xeric habitats with higher LMA showed lower photosynthesis on a mass basis due to a higher investment in non-photosynthetic structural tissues [12,44]. Moreover, the concomitant reduction in leaf area (LA) in the more xeric habitats (Figure 4) would also diminish the photosynthetic capacity of these populations on area basis at whole plant level, in spite of the clear benefits of this mechanism for regulating water consumption in drylands [7,45]. It should be noticed that the differences in MAI were mainly associated with changes in the total amount of precipitation of the wettest quarter of the year (PWET), which was also reflected in the positive relationships found between PWET and LA, and between PWET and LMA (Figure 8). By contrast, the correlations found between the precipitation of the driest quarter of the year (PDRY) and these morphological traits were marginal or even non-significant (Figure 8). These results pointed out the paramount importance of PWET in establishing the within-species variation in LA and LMA in the studied populations of Q. suber. The relevance of PWET in the functional performance of plants in Mediterranean-type climates was already stated by Corcuera et al. [46] when analyzing the causes of the decline of Q. ilex observed in the Iberian Peninsula during 1994. These authors suggested that the lack of precipitation during the wettest part of the year (i.e., winter) could act as a predisposing factor for this phenomenon, because PWET might also reduce the impact of summer droughts through a higher water storage content in the soil [47].
Two water scarcity periods were consecutively imposed in order to evaluate whether the within-species variability found in morphological traits (i.e., LA and LMA) and in the populations’ native climates (i.e., MAI) of the 16 studied populations of Q. suber could induce a differential response in terms of the parameters derived from PV relationships and proline concentration. At the end of these water stress periods, stressed seedlings reached a mean predawn water potential of −3.3 MPa (Figure 2). This value can be considered as an indicator of moderate water stress, as it is far away from the critical threshold for non-recoverable hydraulic failure (i.e., the loss of 88% of the stem hydraulic conductivity [48]) for this species (ca. −7 MPa according to Pinto et al. [49] and ca. −6 MPa according to Tyree and Cochard [50]). In any case, this moderate water stress is enough to severely restrict net CO2 assimilation in Q. suber due to stomatal closure [4,51]. Under this situation, all populations of Q. suber studied here showed a clear response to water stress, irrespective of the differences found in the native climates and their morphological traits. Overall, under moderate water stress, we reported an increase in proline concentration, πo, ΨTLP, ε and a decrease in RWCTLP (Figure 5). However, the magnitude of this change (Δ) differed substantially among the populations, which evidenced two contrasting strategies to cope with water stress.
On the one hand, populations from more xeric habitats (Ker, JCH and HJ) with the highest LMA and lowest LA (Figure 3) showed the largest increase in ε (Δε) in response to drought, together with a limited decrease in RWCTLP (ΔRWCTLP) (Figure 6). An elastic adjustment through an increased ε is an important physiological mechanism for plant adaptation to dry climates [28], because it could prevent excessive water loss [26] and increase water potential gradients from the leaf to the soil, thus, helping to increase water uptake [27]. This phenomenon has been previously reported in other sclerophyllous species from Mediterranean-type climates, such Laurus nobilis L., Ceratonia siliqua L. [52] or Arbutus unedo L. [53], although the underlying mechanisms need to be elucidated [53].
On the other hand, some populations from locations with intermediate values of aridity, LMA and LA (Frn and MS; Figure 3) displayed the sharpest increase in the concentration of proline (ΔPro), with a concomitant increase in the osmotic potential at full turgor (Δπo) (Figure 6 and Figure 7). It has long been recognized that osmotic adjustment is considered one of the main physiological adaptations of plants to withstand water scarcity (see Turner [54] and references therein). Thus, osmotic adjustment allows leaves to reach lower water potential than the soil while maintaining positive turgor pressure by accumulating solutes (e.g., proline) into the plant cells under drought stress [54,55,56]. Previous studies have evidenced an increase in free proline in response to water deficit in other tree species, such as Pinus halepensis Mill. [57], Populus cathayana Rehder [58], Pinus pinaster Ait. [19] or Pinus sylvestris L. [20]. Besides its role as an osmolyte, free proline has also an important protective function, because it can stabilize proteins and membranes acting as scavenger for ROS generated in cells [54] when photosynthetic activity is severely restricted under water stress conditions. The strong osmotic adjustment observed in Frn and MS populations was accompanied by a high degree of change in ΨTLP (Figure 6), which is in line with the results obtained by Bartlett et al. [26]. These authors concluded that variation in ΨTLP within and across species was due to increases in πo, both being parameters considered good predictors of plant drought tolerance.
Therefore, given these results, two different strategies seem to drive the within-species variation of the studied set of Q. suber populations in response to water scarcity. Thus, the populations from more xeric habitats (Ker, JCH and HJ) tended to maximize the elastic adjustment as a way for improving their tolerance to water stress (Figure 7). This performance matched with a water saver strategy; these populations tended to reduce water lost by high sensitivity to slight decreases in tissue water content or water potential [7]. By contrast, some other populations (Frn and MS) showed the maximum values of osmotic adjustment under drought conditions, which was reached through the accumulation of free proline (Figure 7). Hence, these populations living in locations with intermediate values of aridity followed a water spender strategy; they tended to maintain water absorption in order to keep photosynthetic activity under moderate water stress conditions.

5. Conclusions

The populations of cork oak (Q. suber) located at the southeastern distribution limit of the species showed a plastic response to drought, although with a high degree of within-species variation. Specifically, we have found a trade-off between osmotic and elastic adjustment, where the latter was enhanced in the populations from more xeric habitats. These results agree with the findings of Niinemets [27], who concluded that elastic adjustment may be more important than osmotic adjustment for plant adaptation to water scarcity. This better performance under drought stress is coherent with the reduced LA and increased LMA displayed by the populations from more xeric habitats, which can be interpreted as anatomical adaptions to drought [14,15,16,17,18]. Genetic variability among Q. suber populations could explain these anatomical and functional adaptations for coping with water scarcity, because plants were grown in a common garden under the same environmental conditions. Therefore, the populations of Q. suber from more xeric habitats can be considered the most drought-adapted ecotypes and, consequently, the most appropriate for reforestation programs under an eventually increase in aridity.

Supplementary Materials

The following are available online at https://www.mdpi.com/1999-4907/11/12/1344/s1, Table S1: i/ complete dataset of all anatomical and functional parameters showed in this study, ii/ abbreviations used for these parameters, iii/ additional information about the stands of Quercus suber (tree density, diameter at breast height, maquis and other tree species), and iv/ references of the additional information.

Author Contributions

H.G., Y.A. and N.A., conceived and designed the experiments; H.G., A.B.M., N.A. and Y.A. performed the experiments; H.G., D.S.-K., D.A.-F., J.P.F., J.J.P.-P. and E.G.-P. analyzed the data; H.G., D.S.-K., R.E. and J.J.P.-P. wrote the initial draft. All authors contributed to the discussion of the results and to the writing of the final version of the manuscript. All authors have read and agreed to the published version of the manuscript.

Funding

This research was funded by Ministerio de Ciencia e Innovación grant number PID2019-106701RR-I00/AEI/10.13039/501100011033 and by Gobierno de Aragón H09_20R research group. Work of D.A.-F. is supported by an FPI-INIA contract BES-2017-081208.

Acknowledgments

The technical support of Institut National de Recherche en Génie Rural Eaux et Forêts for prospection and seed collection is gratefully acknowledged. We also extend many thanks to Ridha KRIFI and Mohamed Ali ZARROIUK for useful help in site prospecting.

Conflicts of Interest

The authors declare no conflict of interest. The funders had no role in the design of the study; in the collection, analyses, or interpretation of data; in the writing of the manuscript; or in the decision to publish the results.

References

  1. Walter, H. Vegetation of the Earth and Ecological Systems of the Geo-Biosphere, 3rd ed.; Springer: Berlin/Heidelberg, Germany, 1985. [Google Scholar]
  2. Lionello, P.; Malanotte-Rizzoli, P.; Boscolo, R.; Alpert, P.; Artale, V.; Li, L.; Luterbacher, J.; May, W.; Trigo, R.; Tsimplis, M.; et al. The Mediterranean climate: An overview of the main characteristics and issues. In Mediterranean Climate Variability; Lionello, P., Malanotte-Rizzoli, P., Boscolo, R., Eds.; Elsevier: Amsterdam, The Netherlands, 2006; pp. 1–26. ISBN 978-0-444-52170-5. [Google Scholar]
  3. Gil-Pelegrín, E.; Saz, M.A.; Cuadrat, J.M.; Peguero-Pina, J.J.; Sancho-Knapik, D. Oaks under Mediterranean-type climates: Functional response to summer aridity. In Oaks Physiological Ecology. Exploring the Functional Diversity of Genus quercus L.; Gil-Pelegrín, E., Peguero-Pina, J.J., Sancho-Knapik, D., Eds.; Springer International Publishing: Berlin/Heidelberg, Germany, 2017; pp. 137–193. ISBN 978-3-319-69099-5. [Google Scholar]
  4. Mediavilla, S.; Escudero, A. Stomatal responses to drought at a Mediterranean site: A comparative study of co-occurring woody species differing in leaf longevity. Tree Physiol. 2003, 23, 987–996. [Google Scholar] [CrossRef]
  5. Nardini, A.; Lo Gullo, M.A.; Trifilò, P.; Salleo, S. The challenge of the Mediterranean climate to plant hydraulics: Responses and adaptations. Environ. Exp. Bot. 2014, 103, 68–79. [Google Scholar] [CrossRef]
  6. Niinemets, Ü.; Keenan, T. Photosynthetic responses to stress in Mediterranean evergreens: Mechanisms and models. Environ. Exp. Bot. 2014, 103, 24–41. [Google Scholar] [CrossRef]
  7. Peguero-Pina, J.J.; Vilagrosa, A.; Alonso-Forn, D.; Ferrio, J.P.; Sancho-Knapik, D.; Gil-Pelegrín, E. Living in Drylands: Functional Adaptations of Trees and Shrubs to Cope with High Temperatures and Water Scarcity. Forests 2020, 11, 1028. [Google Scholar] [CrossRef]
  8. Mooney, H.A.; Dunn, E.L. Convergent Evolution of Mediterranean-Climate Evergreen Sclerophyll Shrubs. Evolution 1970, 24, 292–303. [Google Scholar] [CrossRef] [PubMed]
  9. McDonald, P.G.; Fonseca, C.R.; Overton, J.M.; Westoby, M. Leaf-size divergence along rainfall and soil-nutrient gradients: Is the method of size reduction common among clades? Funct. Ecol. 2003, 17, 50–57. [Google Scholar] [CrossRef]
  10. Ackerly, D.D. Adaptation, niche conservatism, and convergence: Comparative studies of leaf evolution in the California chaparral. Am. Nat. 2004, 163, 654–671. [Google Scholar] [CrossRef]
  11. Baldocchi, D.D.; Xu, L. What limits evaporation from Mediterranean oak woodlands—The supply of moisture in the soil, physiological control by plants or the demand by the atmosphere? Adv. Water Resour. 2007, 30, 2113–2122. [Google Scholar] [CrossRef]
  12. Alonso-Forn, D.; Sancho-Knapik, D.; Ferrio, J.P.; Peguero-Pina, J.J.; Bueno, A.; Onoda, Y.; Cavender-Bares, J.; Niinemets, Ü.; Jansen, S.; Riederer, M.; et al. Revisiting the Functional Basis of Sclerophylly within the Leaf Economics Spectrum of Oaks: Different Roads to Rome. Curr. For. Rep. 2020. [Google Scholar] [CrossRef]
  13. Bethoux, J.P.; Gentili, B.; Morin, P.; Nicolas, E.; Pierre, C.; Ruiz-Pino, D. The Mediterranean Sea: A miniature ocean for climatic and environmental studies and a key for climatic functioning of the North Atlantic. Prog. Oceanogr. 1999, 44, 131–146. [Google Scholar] [CrossRef]
  14. Castro-Díez, P.; Villar-Salvador, P.; Pérez-Rontomé, C.; Maestro-Martínez, M.; Montserrat-Martí, G. Leaf morphology and leaf chemical composition in three Quercus (Fagaceae) species along a rainfall gradient in NE Spain. Trees 1997, 11, 127–134. [Google Scholar] [CrossRef]
  15. Bussotti, F.; Bettini, D.; Grossoni, P.; Mansuino, S.; Nibbi, R.; Soda, C.; Tani, C. Structural and functional traits of Quercus ilex in response to water availability. Environ. Exp. Bot. 2002, 47, 11–23. [Google Scholar] [CrossRef]
  16. Ogaya, R.; Peñuelas, J. Leaf mass per area ratio in Quercus ilex leaves under a wide range of climatic conditions. The importance of low temperatures. Acta Oecol. 2007, 31, 168–173. [Google Scholar] [CrossRef]
  17. Niinemets, Ü. Is there a species spectrum within the world-wide leaf economics spectrum? Major variations in leaf functional traits in the Mediterranean sclerophyll Quercus ilex. New Phytol. 2015, 205, 79–96. [Google Scholar] [CrossRef] [PubMed]
  18. Peguero-Pina, J.J.; Sancho-Knapik, D.; Barrón, E.; Camarero, J.J.; Vilagrosa, A.; Gil-Pelegrín, E. Morphological and physiological divergences within Quercus ilex support the existence of different ecotypes depending on climatic dryness. Ann. Bot. 2014, 114, 301–313. [Google Scholar] [CrossRef]
  19. Corcuera, L.; Gil-Pelegrín, E.; Notivol, E. Aridity promotes differences in proline and phytohormone levels in Pinus pinaster populations from contrasting environments. Trees 2012, 26, 799–808. [Google Scholar] [CrossRef]
  20. Sancho-Knapik, D.; Sanz, M.A.; Peguero-Pina, J.J.; Niinemets, Ü.; Gil-Pelegrín, E. Changes of secondary metabolites in Pinus sylvestris L. needles under increasing soil water deficit. Ann. For. Sci. 2017, 74, 24. [Google Scholar] [CrossRef]
  21. Verbruggen, N.; Hermans, C. Proline accumulation in plants: A review. Amino Acids 2008, 35, 753–759. [Google Scholar] [CrossRef]
  22. Szabados, L.; Savouré, A. Proline: A multifunctional amino acid. Trends Plant Sci. 2010, 15, 89–97. [Google Scholar] [CrossRef]
  23. Xiao, X.; Xu, X.; Yang, F. Adaptive responses to progressive drought stress in two Populus cathayana populations. Silva Fenn. 2008, 42, 705–719. [Google Scholar] [CrossRef]
  24. Vilagrosa, A.; Morales, F.; Abadía, A.; Bellot, J.; Cochard, H.; Gil-Pelegrín, E. Are symplast tolerance to intense drought conditions and xylem vulnerability to cavitation coordinated? An integrated analysis of photosynthetic, hydraulic and leaf level processes in two Mediterranean drought-resistant species. Environ. Exp. Bot. 2010, 69, 233–242. [Google Scholar] [CrossRef]
  25. Bartlett, M.K.; Scoffoni, C.; Ardy, R.; Zhang, Y.; Sun, S.; Cao, K.; Sack, L. Rapid determination of comparative drought tolerance traits: Using an osmometer to predict turgor loss point. Methods Ecol. Evol. 2012, 3, 880–888. [Google Scholar] [CrossRef]
  26. Bartlett, M.K.; Scoffoni, C.; Sack, L. The determinants of leaf turgor loss point and prediction of drought tolerance of species and biomes: A global meta-analysis. Ecol. Lett. 2012, 15, 393–405. [Google Scholar] [CrossRef] [PubMed]
  27. Niinemets, U. Global-scale climatic controls of leaf dry mass per area, density, and thickness in trees and shrubs. Ecology 2001, 82, 453–469. [Google Scholar] [CrossRef]
  28. Corcuera, L.; Camarero, J.J.; Gil-Pelegrín, E. Functional groups in Quercus species derived from the analysis of pressure–volume curves. Trees 2002, 16, 465–472. [Google Scholar] [CrossRef]
  29. Singh, S.P.; Zobel, D.B.; Garkoti, S.C.; Tewari, A.; Negi, C.M.S. Patterns in water relations of central Himalayan trees. Trop. Ecol. 2006, 47, 159–182. [Google Scholar]
  30. Lindner, M.; Maroschek, M.; Netherer, S.; Kremer, A.; Barbati, A.; García-Gonzalo, J.; Seidl, R.; Delzon, S.; Corona, P.; Kolström, M.; et al. Climate change impacts, adaptive capacity, and vulnerability of European forest ecosystems. For. Ecol. Manag. 2010, 259, 698–709. [Google Scholar] [CrossRef]
  31. Iglesias, A.; Garrote, L.; Flores, F.; Moneo, M. Challenges to manage the risk of water scarcity and climate change in the Mediterranean. Water Resour. Manag. 2007, 21, 775–788. [Google Scholar] [CrossRef]
  32. García-Mozo, H.; Mestre, A.; Galán, C. Phenological trends in southern Spain: A response to climate change. Agric. For. Meteorol. 2010, 150, 575–580. [Google Scholar] [CrossRef]
  33. Rodríguez-Calcerrada, J.; Sancho-Knapik, D.; Martin-StPaul, N.K.; Limousin, J.M.; McDowell, N.G.; Gil-Pelegrín, E. Drought-Induced Oak Decline—Factors Involved, Physiological Dysfunctions, and Potential Attenuation by Forestry Practices. In Oaks Physiological Ecology. Exploring the Functional Diversity of Genus quercus L.; Gil-Pelegrín, E., Peguero-Pina, J.J., Sancho-Knapik, D., Eds.; Springer International Publishing: Berlin/Heidelberg, Germany, 2017; pp. 419–451. ISBN 978-3-319-69099-5. [Google Scholar]
  34. Sancho-Knapik, D.; Peguero-Pina, J.J.; Cremer, E.; Camarero, J.J.; Fernández-Cancio, Á.; Ibarra, N.; Konnert, M.; Gil-Pelegrín, E. Genetic and environmental characterization of Abies alba Mill. populations at its western rear edge. Pirineos 2014, 169, e007. [Google Scholar] [CrossRef]
  35. Gil-Pelegrín, E.; Peguero-Pina, J.J.; Sancho-Knapik, D. Oaks and People: A Long Journey Together. In Oaks Physiological Ecology. Exploring the Functional Diversity of Genus quercus L.; Gil-Pelegrín, E., Peguero-Pina, J.J., Sancho-Knapik, D., Eds.; Springer International Publishing: Berlin/Heidelberg, Germany, 2017; pp. 1–11. ISBN 978-3-319-69099-5. [Google Scholar]
  36. Caudullo, G.; Welk, E.; San-Miguel-Ayanz, J. Chorological maps for the main European woody species. Data Brief 2017, 12, 662–666. [Google Scholar] [CrossRef] [PubMed]
  37. Aitken, S.N.; Bemmels, J.B. Time to get moving: Assisted gene flow of forest trees. Evol. Appl. 2016, 9, 271–290. [Google Scholar] [CrossRef] [PubMed]
  38. Fick, S.E.; Hijmans, R.J. WorldClim 2: New 1-km spatial resolution climate surfaces for global land areas. Int. J. Climatol. 2017, 37, 4302–4315. [Google Scholar] [CrossRef]
  39. Soto, A.; Lorenzo, Z.R.; Gil, L. Differences in fine-scale genetic structure and dispersal in Quercus ilex L. and Q. suber L.: Consequences for regeneration of Mediterranean open woods. Heredity 2007, 99, 601–607. [Google Scholar] [CrossRef]
  40. Mosmann, V.; Castro, A.; Fraile, R.; Dessens, J.; Sánchez, J.L. Detection of statistically significant trends in the summer precipitation of mainland Spain. Atmos. Res. 2004, 70, 43–53. [Google Scholar] [CrossRef]
  41. Vilagrosa, A.; Bellot, J.; Vallejo, V.R.; Gil-Pelegrín, E. Cavitation, stomatal conductance, and leaf dieback in seedlings of two co-occurring Mediterranean shrubs during an intense drought. J. Exp. Bot. 2003, 54, 2015–2024. [Google Scholar] [CrossRef]
  42. Bates, S.L.; Waldre, R.P.; Teare, I.D. Rapid determination of free proline for water-stress studies. Plant Soil 1973, 39, 205–207. [Google Scholar] [CrossRef]
  43. Wright, I.J.; Reich, P.B.; Westoby, M.; Ackerly, D.D.; Baruch, Z.; Bongers, F.; Cavender-Bares, J.; Chapin, T.; Cornelissen, J.H.C.; Diemer, M.; et al. The world-wide leaf economics spectrum. Nature 2004, 428, 821–827. [Google Scholar] [CrossRef]
  44. Niinemets, Ü.; Wright, I.J.; Evans, J.R. Leaf mesophyll diffusion conductance in 35 Australian sclerophylls covering a broad range of foliage structural and physiological variation. J. Exp. Bot. 2009, 60, 2433–2449. [Google Scholar] [CrossRef]
  45. Peguero-Pina, J.J.; Sisó, S.; Sancho-Knapik, D.; Díaz-Espejo, A.; Flexas, J.; Galmés, J.; Gil-Pelegrín, E. Leaf morphological and physiological adaptations of a deciduous oak (Quercus faginea Lam.) to the Mediterranean climate: A comparison with a closely related temperate species (Quercus robur L.). Tree Physiol. 2016, 36, 287–299. [Google Scholar] [CrossRef]
  46. Corcuera, L.; Camarero, J.J.; Gil-Pelegrín, E. Effects of a severe drought on Quercus ilex radial growth and xylem anatomy. Trees 2004, 18, 83–92. [Google Scholar] [CrossRef]
  47. Nabais, C.; Freitas, H.; Hagemeyer, J. Tree-rings to climate relationships of Quercus ilex L. in the NE-Portugal. Dendrochronologia 1998, 16–17, 37–44. [Google Scholar]
  48. Urli, M.; Porté, A.J.; Cochard, H.; Guengant, Y.; Burlett, R.; Delzon, S. Xylem embolism threshold for catastrophic hydraulic failure in angiosperm trees. Tree Physiol. 2013, 33, 672–683. [Google Scholar] [CrossRef]
  49. Pinto, C.A.; David, J.S.; Cochard, H.; Caldeira, M.C.; Henriques, M.O.; Quilhó, T.; Paço, T.A.; Pereira, J.S.; David, T.S. Drought-induced embolism in current-year shoots of two Mediterranean evergreen oaks. For. Ecol. Manag. 2012, 285, 1–10. [Google Scholar] [CrossRef]
  50. Tyree, M.T.; Cochard, H. Summer and winter embolism in oak: Impact on water relations. Ann. For. Sci. 1996, 53, 173–180. [Google Scholar] [CrossRef]
  51. Peguero-Pina, J.J.; Sancho-Knapik, D.; Morales, F.; Flexas, J.; Gil-Pelegrín, E. Differential photosynthetic performance and photoprotection mechanisms of three Mediterranean evergreen oaks under severe drought stress. Funct. Plant Biol. 2009, 36, 453–462. [Google Scholar] [CrossRef] [PubMed]
  52. Lo Gullo, M.A.; Salleo, S. Different strategies of drought resistance in three Mediterranean sclerophyllous trees growing in the same environmental conditions. New Phytol. 1988, 108, 267–276. [Google Scholar] [CrossRef]
  53. Nadal, M.; Roig-Oliver, M.; Bota, J.; Flexas, J. Leaf age-dependent elastic adjustment and photosynthetic performance under drought stress in Arbutus unedo seedlings. Flora 2020, 272, 151662. [Google Scholar] [CrossRef]
  54. Turner, N.C. Turgor maintenance by osmotic adjustment: 40 years of progress. J. Exp. Bot. 2018, 69, 3223–3233. [Google Scholar] [CrossRef]
  55. Binks, O.; Meir, P.; Rowland, L.; da Costa, A.C.L.; Vasconcelos, S.S.; de Oliveira, A.A.R.; Ferreira, L.; Christoffersen, B.; Nardini, A.; Mencuccini, M. Plasticity in leaf-level water relations of tropical rainforest trees in response to experimental drought. New Phytol. 2016, 211, 477–488. [Google Scholar] [CrossRef]
  56. Al-Yasi, H.; Attia, H.; Alamer, K.; Hassan, F.; Ali, E.; Elshazly, S.; Siddique, K.H.M.; Hessini, K. Impact of drought on growth, photosynthesis, osmotic adjustment, and cell wall elasticity in Damask rose. Plant Physiol. Biochem. 2020, 150, 133–139. [Google Scholar] [CrossRef] [PubMed]
  57. Diamantoglou, S.; Rhizopoulou, S. Free proline accumulation in sapwood, bark and leaves of three evergreen sclerophylls and a comparison with an evergreen conifer. J. Plant Physiol. 1992, 140, 361–365. [Google Scholar] [CrossRef]
  58. Xiao, X.; Yang, F.; Zhang, S.; Korpelainen, H.; Li, C. Physiological and proteomic responses of two contrasting Populus cathayana populations to drought stress. Physiol. Plant. 2009, 136, 150–168. [Google Scholar] [CrossRef] [PubMed]
Figure 1. Overall distribution range of Quercus suber (green area) and geographical location in northern Tunisia of the 16 studied populations (circle) and the common garden experimental site (star). The color of the circle represents the De Martonne aridity index (MAI) value range. A climatic diagram of seven populations that include the three different MAI value ranges considered in this study have also been presented (grey areas indicate dry periods; left and right y-axes correspond to mean temperature and total precipitation, respectively). Population codes are as in Table 1.
Figure 1. Overall distribution range of Quercus suber (green area) and geographical location in northern Tunisia of the 16 studied populations (circle) and the common garden experimental site (star). The color of the circle represents the De Martonne aridity index (MAI) value range. A climatic diagram of seven populations that include the three different MAI value ranges considered in this study have also been presented (grey areas indicate dry periods; left and right y-axes correspond to mean temperature and total precipitation, respectively). Population codes are as in Table 1.
Forests 11 01344 g001
Figure 2. Evolution of volumetric soil water content throughout the water stress period for Quercus suber control (C) and water stressed (S) seedlings. Data are mean ± SE of all populations. We confirmed that volumetric soil water content was the same for all populations because no significant differences were found among populations. Arrows show the day on which pressure-volume curves were determined. In this date, predawn water potential (Ψp, MPa) mean values (± SE) are also shown for both C and S seedlings.
Figure 2. Evolution of volumetric soil water content throughout the water stress period for Quercus suber control (C) and water stressed (S) seedlings. Data are mean ± SE of all populations. We confirmed that volumetric soil water content was the same for all populations because no significant differences were found among populations. Arrows show the day on which pressure-volume curves were determined. In this date, predawn water potential (Ψp, MPa) mean values (± SE) are also shown for both C and S seedlings.
Forests 11 01344 g002
Figure 3. Leaf mass per area (LMA) and leaf area (LA) for the 16 studied Quercus suber populations. Data are mean + SE. Population codes are as in Table 1. Populations are colored according with their De Martonne aridity index (MAI). Different letters indicate significant differences among populations (Tukey’s test, p < 0.05).
Figure 3. Leaf mass per area (LMA) and leaf area (LA) for the 16 studied Quercus suber populations. Data are mean + SE. Population codes are as in Table 1. Populations are colored according with their De Martonne aridity index (MAI). Different letters indicate significant differences among populations (Tukey’s test, p < 0.05).
Forests 11 01344 g003
Figure 4. Relationships between leaf mass per area (LMA), leaf area (LA) and the climatic variables: De Martonne aridity index (MAI), annual precipitation (P) and annual mean temperature (T), for the 16 Quercus suber populations (** p < 0.01; *** p < 0.001; n.s. means not significant).
Figure 4. Relationships between leaf mass per area (LMA), leaf area (LA) and the climatic variables: De Martonne aridity index (MAI), annual precipitation (P) and annual mean temperature (T), for the 16 Quercus suber populations (** p < 0.01; *** p < 0.001; n.s. means not significant).
Forests 11 01344 g004
Figure 5. Parameters derived from the pressure–volume relationships and proline concentration for control (C) and water stressed (S) seedlings of the 16 Quercus suber populations. Data are mean + SE. Population codes are as in Table 1. In most cases, significant differences between C and S were found (Tukey’s test, p < 0.05). Those populations with n.s. above a trait mean that there were no significant differences between C and S. πo, osmotic potential at full turgor; ΨTLP, water potential at turgor loss point; RWCTLP, relative water content at turgor loss point; ε, bulk modulus of elasticity.
Figure 5. Parameters derived from the pressure–volume relationships and proline concentration for control (C) and water stressed (S) seedlings of the 16 Quercus suber populations. Data are mean + SE. Population codes are as in Table 1. In most cases, significant differences between C and S were found (Tukey’s test, p < 0.05). Those populations with n.s. above a trait mean that there were no significant differences between C and S. πo, osmotic potential at full turgor; ΨTLP, water potential at turgor loss point; RWCTLP, relative water content at turgor loss point; ε, bulk modulus of elasticity.
Forests 11 01344 g005
Figure 6. Relationships between the first two principal components (PC1 vs. PC2) of the principal component analysis (PCA) computed on leaf mass per area (LMA), leaf area (LA), climatic variables, and change (Δ) between control and water stressed seedlings in proline concentration and in the pressure–volume relationships, for the 16 Quercus suber populations. Population codes are as in Table 1. P, annual precipitation; T, mean annual temperature; MAI, De Martonne aridity index; Δπo, change in osmotic potential at full turgor; ΔΨTLP, change in water potential at turgor loss point; ΔRWCTLP, change in relative water content at turgor loss point; Δε, change in bulk modulus of elasticity; ΔPro, change in proline concentration.
Figure 6. Relationships between the first two principal components (PC1 vs. PC2) of the principal component analysis (PCA) computed on leaf mass per area (LMA), leaf area (LA), climatic variables, and change (Δ) between control and water stressed seedlings in proline concentration and in the pressure–volume relationships, for the 16 Quercus suber populations. Population codes are as in Table 1. P, annual precipitation; T, mean annual temperature; MAI, De Martonne aridity index; Δπo, change in osmotic potential at full turgor; ΔΨTLP, change in water potential at turgor loss point; ΔRWCTLP, change in relative water content at turgor loss point; Δε, change in bulk modulus of elasticity; ΔPro, change in proline concentration.
Forests 11 01344 g006
Figure 7. Relationships derived from the principal component analysis between diverse parameters for the 16 Quercus suber populations (* p < 0.05; ** p < 0.01; *** p < 0.001). Each point is the mean (± SE) value for one population. LMA, leaf mas per area; P, annual precipitation; Δ, change in a determinate variable between control and water stressed seedlings; ΔPro, change in proline concentration; Δε, change in bulk modulus of elasticity; Δπo, change in osmotic potential at full turgor.
Figure 7. Relationships derived from the principal component analysis between diverse parameters for the 16 Quercus suber populations (* p < 0.05; ** p < 0.01; *** p < 0.001). Each point is the mean (± SE) value for one population. LMA, leaf mas per area; P, annual precipitation; Δ, change in a determinate variable between control and water stressed seedlings; ΔPro, change in proline concentration; Δε, change in bulk modulus of elasticity; Δπo, change in osmotic potential at full turgor.
Forests 11 01344 g007
Figure 8. Relationships between leaf mass per area (LMA), leaf area (LA), precipitation of driest quarter (PDRY) and precipitation of wettest quarter (PWET) for the 16 Quercus suber populations (* p < 0.05; *** p < 0.001; n.s. means not significant). PDRY is the precipitation of April, May and June while PWET corresponds to the precipitation of October, November and December.
Figure 8. Relationships between leaf mass per area (LMA), leaf area (LA), precipitation of driest quarter (PDRY) and precipitation of wettest quarter (PWET) for the 16 Quercus suber populations (* p < 0.05; *** p < 0.001; n.s. means not significant). PDRY is the precipitation of April, May and June while PWET corresponds to the precipitation of October, November and December.
Forests 11 01344 g008
Table 1. Geographical and climatic characteristics of each Quercus suber population. P, annual precipitation; T, annual mean temperature; MAI, De Martonne aridity index.
Table 1. Geographical and climatic characteristics of each Quercus suber population. P, annual precipitation; T, annual mean temperature; MAI, De Martonne aridity index.
PopulationCodeLatitudeLongitudeAltitude (m a.s.l.)P (mm)T (°C)MAI
Dar FatmaDF36.82° N8.77° E710136114.455.9
Echihia (Ain Zana)E36.79° N8.74° E850135514.755.0
El FeijaEF36.77° N8.65° E800128915.251.2
BabouchBab36.80° N8.68° E277112115.943.3
Megen SefMS36.77° N8.78° E548107715.542.3
Beni MtirBM36.73° N8.73° E650101415.739.4
Jebel Khroufa (Ouchtata)O36.93° N8.943° E200103116.239.4
Jebel JouzaJJ36.83° N8.99° E540101315.839.2
Aïn SnoussiAS36.82° N8.92° E52299315.838.5
Hammam BourguibaHB36.76° N8.59° E26585017.431.0
BellifBl37.04° N9.07° E15876717.627.8
Ras rajelRr36.951° N8.872° E6276617.827.5
FernanaFrn36.65° N8.70° E69972217.226.5
Kef er renndKer36.823° N10.769° E63762416.423.6
Jebel Chehid, RamliaJCH36.37° N9.31° E61258017.221.4
Hammem JdidiHJ36.39° N10.38° E13245918.915.9
Publisher’s Note: MDPI stays neutral with regard to jurisdictional claims in published maps and institutional affiliations.

Share and Cite

MDPI and ACS Style

Ghouil, H.; Sancho-Knapik, D.; Ben Mna, A.; Amimi, N.; Ammari, Y.; Escribano, R.; Alonso-Forn, D.; Ferrio, J.P.; Peguero-Pina, J.J.; Gil-Pelegrín, E. Southeastern Rear Edge Populations of Quercus suber L. Showed Two Alternative Strategies to Cope with Water Stress. Forests 2020, 11, 1344. https://doi.org/10.3390/f11121344

AMA Style

Ghouil H, Sancho-Knapik D, Ben Mna A, Amimi N, Ammari Y, Escribano R, Alonso-Forn D, Ferrio JP, Peguero-Pina JJ, Gil-Pelegrín E. Southeastern Rear Edge Populations of Quercus suber L. Showed Two Alternative Strategies to Cope with Water Stress. Forests. 2020; 11(12):1344. https://doi.org/10.3390/f11121344

Chicago/Turabian Style

Ghouil, Hana, Domingo Sancho-Knapik, Amira Ben Mna, Nabil Amimi, Youssef Ammari, Rubén Escribano, David Alonso-Forn, Juan Pedro Ferrio, José Javier Peguero-Pina, and Eustaquio Gil-Pelegrín. 2020. "Southeastern Rear Edge Populations of Quercus suber L. Showed Two Alternative Strategies to Cope with Water Stress" Forests 11, no. 12: 1344. https://doi.org/10.3390/f11121344

APA Style

Ghouil, H., Sancho-Knapik, D., Ben Mna, A., Amimi, N., Ammari, Y., Escribano, R., Alonso-Forn, D., Ferrio, J. P., Peguero-Pina, J. J., & Gil-Pelegrín, E. (2020). Southeastern Rear Edge Populations of Quercus suber L. Showed Two Alternative Strategies to Cope with Water Stress. Forests, 11(12), 1344. https://doi.org/10.3390/f11121344

Note that from the first issue of 2016, this journal uses article numbers instead of page numbers. See further details here.

Article Metrics

Back to TopTop