Random Trees Are the Cornerstones of Natural Forests
Abstract
:1. Introduction
2. Materials
3. Methods
3.1. Definition of Random Trees
3.2. Community Characteristics
3.2.1. Species-Abundance Distribution
3.2.2. Diameter Distribution
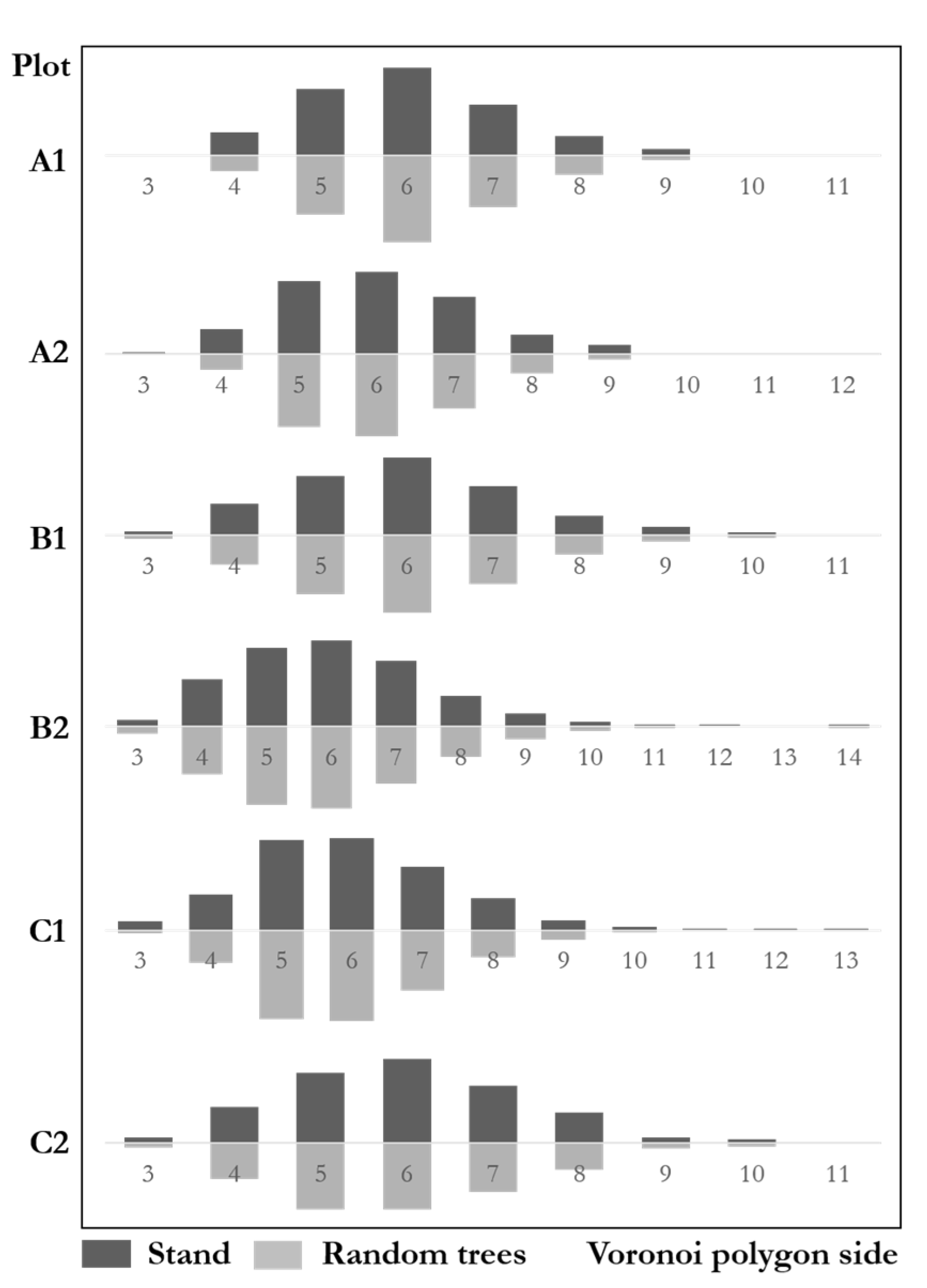
3.2.3. Voronoi Polygon Side Distribution
3.2.4. Mingling Degree Distribution
3.2.5. Crowding Degree Distribution
3.2.6. Competition Distribution
3.3. Similarity Test
4. Results
4.1. Tree Species Composition
4.2. Stand Structure
4.2.1. Diameter Distributions
4.2.2. Pattern Distributions
4.2.3. Mingling Degree Distributions
4.2.4. Crowding Degree Distributions
4.3. Tree Competition
5. Discussion
5.1. Proportion of Random Trees in Distributions
5.2. The Quantity Advantage of Random Trees
5.3. The Quantity Advantage Makes the Random Trees Consistent with the Community Characteristics
5.4. Forest Types
6. Conclusions
Author Contributions
Funding
Data Availability Statement
Conflicts of Interest
References
- FAO. Global Forest Resources Assessment; Food and Agriculture Organization of the United Nations, FAO: Rome, Italy; Quebec City, QC, Canada, 2015. [Google Scholar]
- Keenan, R.J.; Reams, G.A.; Achard, F.; de Freitas, J.V.; Grainger, A.; Lindquist, E. Dynamics of global forest area: Results from the FAO Global Forest Resources Assessment 2015. For. Ecol. Manag. 2015, 352, 9–20. [Google Scholar] [CrossRef]
- Tang, S.; Feng, Y.; Hong, L.; Du, J. Design and application of natural forest resource data updating on the basis of power builder. For. Res. 2000, 13, 439–442. (In Chinese) [Google Scholar]
- Corral-Rivas, J.J.; Wehenkel, C.; Castellanos-Bocaz, H.A.; Vargas-Larreta, B.; Diéguez-Aranda, U. A permutation test of spatial randomness: Application to nearest neighbour indices in forest stands. J. For. Res. 2010, 15, 218–225. [Google Scholar] [CrossRef]
- von Gadow, K.; Zhang, C.Y.; Wehenkel, C.; Pommerening, A.; Corral-Rivas, J.; Korol, M.; Myklush, S.; Hui, G.Y.; Kiviste, A.; Zhao, X.H. Forest structure and diversity. In Continuous Cover Forestry, 2nd ed.; Pukkala, T., von Gadow, K., Eds.; Managing Forest Ecosystems 23; Springer: Dordrecht, The Netherlands, 2012; pp. 29–83. [Google Scholar]
- Aguirre, O.; Hui, G.; von Gadow, K.; Jiménez, J. An analysis of spatial forest structure using neighbourhood-based variables. For. Ecol. Manag. 2003, 183, 137–145. [Google Scholar] [CrossRef]
- Wiegand, T.; Moloney, K.A. A Handbook of Spatial Point Pattern Analysis in Ecology; CRC Press: Boca Raton, FL, USA, 2014. [Google Scholar]
- Ripley, B.D. Modelling Spatial Patterns. J. Royal Stat. Soc. 1977, 39, 172–212. [Google Scholar] [CrossRef]
- Clark, P.J.; Evans, F.C. Distance to nearest neighbor as a measure of spatial relationships in populations. Ecology 1954, 35, 213–227. [Google Scholar] [CrossRef]
- Pommerening, A.; Grabarnik, P. Individual-based methods in forest ecology and management; Springer: Cham, Switzerland, 2019. [Google Scholar]
- Hui, G.; Gadow, K. Das Winkelmass—Theoretische Überlegungen zum optimalen Standardwinkel. Allg. Forst Jagdztg. 2002, 173, 173–177. [Google Scholar]
- Hui, G. Stichprobensimulationen zur Schätzung nachbarschaftsbezogener Strukturparameter in Waldbeständen. Allg. Forst Jagdztg. 2004, 175, 199–209. [Google Scholar]
- Hui, G.; Abert, M.; von Gadow, K. Das Umgebungsmaß als Parameter zur Nachbildung von Bestandesstrukturen. Forstwiss. Cent. Ver. Tharandter Forstl. Jahrb. 1998, 117, 258–266. [Google Scholar] [CrossRef]
- Li, Y.; Hui, G.; Zhao, Z.; Hu, Y. The bivariate distribution characteristics of spatial structure in natural Korean pine broad-leaved forest. J. Veg. Sci. 2012, 23, 1180–1190. [Google Scholar] [CrossRef]
- Pommerening, A. Evaluating structural indices by reversing forest structural analysis. For. Ecol. Manag. 2006, 224, 266–277. [Google Scholar] [CrossRef]
- Graz, F.P. Spatial diversity of dry savanna woodlands: Assessing the spatial diversity of a dry savanna woodland stand in northern Namibia using neighbourhood-based measures. Biodivers. Conserv. 2004, 15, 1–16. [Google Scholar] [CrossRef]
- Zhao, Z.; Hui, G.; Hu, Y.; Wang, H.; Zhang, G.; von Gadow, K. Testing the Significance of different Tree Spatial Distribution Patterns based on the Uniform Angle Index. Canadian J. For. Res. 2014, 44, 1417–1425. [Google Scholar] [CrossRef]
- Zhang, G.; Hui, G.; Zhao, Z.; Hu, Y.; Wang, H.; Liu, W.; Zang, R. Composition of basal area in natural forests based on the uniform angle index. Ecol. Inf. 2018, 45, 1–8. [Google Scholar] [CrossRef]
- Zhang, G.; Hui, G.; Hu, Y.; Zhao, Z.; Guan, X.; Gadow, K.; Zhang, G. Designing near-natural planting patterns for plantation forests in China. For. Ecosyst. 2019, 6. [Google Scholar] [CrossRef] [Green Version]
- Gadow, K.; Albert, M.; Hui, G. Das Winkelmaß—Ein Strukturparameter zur beschreibung der Individualverteilung in Waldbeständen. Centralblatt für das gesamte Forstwesen. Cent. Gesamte Forstwes 1998, 115, 1–10. [Google Scholar]
- Zhang, G.; Hui, G. Analysis and application of polygon side distribution of Voronoi 526 diagram in tree patterns. J. Beijing For. Univ. 2015, 527, 37, 1–7. (In Chinese) [Google Scholar]
- Hui, G.; Zhang, G.; Zhao, Z.; Yang, A. Methods of forest structure research: A review. Curr. For. Rep. 2019, 5, 142–154. [Google Scholar] [CrossRef]
- Schoener, T.W. Nonsynchronous Spatial Overlap of Lizards in Patchy Habitats. Ecology 1970, 51, 408–418. [Google Scholar] [CrossRef] [Green Version]
- Gregorius, H.R. Genetischer Abstand zwischen Populationen. I. Zur Konze ption der genetischen Abstandsmessung. Silvae Genet. 1974, 23, 22–27. [Google Scholar]
- Gregorius, H.-R. A Unique Genetic Distance. Biom. J. 1984, 26, 13–18. [Google Scholar] [CrossRef]
- Pommerening, A. Simulating alternative sampling strategies for inhomogeneous mixed stands. Allg. Forst Jagdztg. 1997, 168, 63–66. [Google Scholar]
- Hui, G.; Wang, H.; Hu, Y. Significance test of difference for genetic absolute distance. Acta Ecol. Sin. 2005, 25, 2534–2539. (In Chinese) [Google Scholar]
- Pommerening, A.; Uria-Diez, J. Do large forest trees tend towards high species mingling? Ecol. Inform. 2017, 42, 139–147. [Google Scholar] [CrossRef]
- Wang, H.; Peng, H.; Hui, G.; Hu, Y.; Zhao, Z. Large trees are surrounded by more heterospecific neighboring trees in Korean pine broad-leaved natural forests. Sci. Rep. 2018, 8, 1–11. [Google Scholar] [CrossRef] [PubMed]
- Kenkel, N.C.; Hendrie, M.L.; Bella, I.E. A long-term study of Pinus banksiana population dynamics. J. Veg. Sci. 1997, 8, 241–254. [Google Scholar] [CrossRef]
- Kenkel, N. Pattern of self-thinning in jack pine: Testing the random mortality hypothesis. Ecology 1988, 69, 1017–1024. [Google Scholar] [CrossRef]
- Leps, J.; Kindlmann, P. Models of the development of spatial pattern of an evenaged plant population over time. Ecol. Model. 1987, 39, 45–57. [Google Scholar] [CrossRef]
- Werger, M.J.A.; Hirose, T.; During, H.J.; Heil, G.W.; Hikosaka, K.; Ito, T.; Nachinshonhor, U.G.; Nagamatsu, D.; Shibasaki, K.; Takatsuki, S.; et al. Light partitioning among species and species replacement in early successional grasslands. J. Veg. Sci. 2010, 13, 615–626. [Google Scholar] [CrossRef]
- Weiner, J. Asymmetric competition in plant populations. Trends Ecol. Evol. 1990, 5, 360–364. [Google Scholar] [CrossRef]
- Zhang, G.; Hui, G.; Yang, A.; Zhao, Z. A simple and effective approach to quantitatively characterize structural complexity. Sci. Rep. 2021, 11, 1–11. [Google Scholar] [CrossRef]
- Hui, G. Reproduktion der Baumverteilung im Bestand unter Verwendung des Strukturparameters Winkelmaß. Allg. Forst Jagdztg. 2003, 174, 109–116. [Google Scholar]
- Hui, G.; Wang, Y.; Zhang, G.; Zhao, Z.; Bai, C.; Liu, W. A novel approach for assessing the neighborhood competition in two different aged forests. For. Ecol. Manag. 2018, 422, 49–58. [Google Scholar] [CrossRef]
- Xu, J.; Zhang, G.; Zhao, Z.; Hu, Y.; Liu, W.; Yang, A.; Hui, G. Effects of Randomized Management on the Forest Distribution Patterns of Larix kaempferi Plantation in Xiaolongshan, Gansu Province, China. Forests 2021, 12, 981. [Google Scholar] [CrossRef]
- Velázquez, J.; Allen, R.B.; Coomes, D.A.; Eichhorn, M.P. Asymmetric competition causes multimodal size distributions in spatially structured populations. Proc. Biol. Sci. 2016, 283, 1–9. [Google Scholar] [CrossRef] [Green Version]
- Pillay, T.; Ward, D. Spatial pattern analysis and competition between Acacia karroo trees in humid savannas. Plant Ecol. 2012, 213, 1609–1619. [Google Scholar] [CrossRef]
- Weiner, J.; Stoll, P.; Muller-Landau, H.; Jasentuliyana, A. The Effects of Density, Spatial Pattern, and Competitive Symmetry on Size Variation in Simulated Plant Populations. Am. Naturalist 2001, 158, 438–450. [Google Scholar] [CrossRef] [PubMed]
- Larocque, G.; Luckai, N.; Adhikary, S.N.; Groot, A.; Bell, F.W.; Sharma, M. Competition theory: Science and application in mixed forest stands: Review of experimental and modelling methods and suggestions for future research. Environ. Rev. 2012, 21, 71–84. [Google Scholar] [CrossRef]
- Franklin, J.F.; van Pelt, R. Spatial aspects of structural complexity in old-growth forests. J. For. 2004, 102, 22–28. [Google Scholar]
- Peet, R.K.; Christensen, N.L. Competition and tree death. Bioscience 1987, 37, 586–595. [Google Scholar] [CrossRef]
- Dungan, J.L.; Perry, J.N.; Dale, M.R.T.; Legendre, P.; Citron-Pousty, S.; Fortin, M.-J.; Jakomulska, A.; Miriti, M.; Rosenberg, M.S. A balanced view of scale in spatial statistical analysis. Ecography 2002, 25, 626–640. [Google Scholar] [CrossRef] [Green Version]
- Zenner, E.K.; Peck, J.E. Characterizing structural conditions in mature managed red pine: Spatial dependency of metrics and adequacy of plot size. For. Ecol. Manag. 2009, 257, 311–320. [Google Scholar] [CrossRef]
- Carrer, M.; Castagneri, D.; Popa, I.; Pividori, M.; Lingua, E. Tree spatial patterns and stand attributes in temperate forests: The importance of plot size, sampling design, and null model. For. Ecol. Manag. 2018, 407, 125–134. [Google Scholar] [CrossRef]
- Lynch, T.B. Optimal plot size or point sample factor for a fixed total cost using the Fairfield Smith relation of plot size to variance. Forestry 2016, 59, 212–218. [Google Scholar] [CrossRef]
- Bormann, F.H. The Statistical Efficiency of Sample Plot Size and Shape in Forest Ecology. Ecology 1953, 34, 474–487. [Google Scholar] [CrossRef]












| A1 | A2 | B1 | B2 | C1 | C2 | |
|---|---|---|---|---|---|---|
| Number of species | 1 | 1 | 20 | 47 | 18 | 20 |
| Slope/° | <3 | <3 | 38 | 38 | 9 | 12 |
| Canopy | 0.7 | 0.7 | 0.9 | 0.9 | 0.9 | 0.85 |
| Average DBH/cm | 21.3 | 21.0 | 17.9 | 18.6 | 22.7 | 24.1 |
| Basal area/m2·hm−2 | 32.9 | 39.8 | 27.3 | 34.1 | 32.0 | 30.3 |
| Density/plant·hm−2 | 924 | 1149 | 1082 | 1261 | 789 | 663 |
| Distributions | Trees | A1 | A2 | B1 | B2 | C1 | C2 |
|---|---|---|---|---|---|---|---|
| Species composition | Even | —— | —— | 0.049/0.434 | 0.118/0.362 | 0.071/ 0.319 | 0.117/0.363 |
| Clustered | —— | —— | 0.056/0.429 | 0.129/0.343 | 0.106/0.306 | 0.083/0.351 | |
| Diameter | Even | 0.079/0.308 | 0.079/0.338 | 0.104/0.441 | 0.126/0.418 | 0.147/0.453 | 0.121/0.427 |
| Clustered | 0.120/0.274 | 0.083/0.338 | 0.068/0.444 | 0.091/0.442 | 0.128/0.501 | 0.134/0.482 | |
| Sv | Even | 1.139/Even | 1.241/Even | 1.414/Clustered | 1.701/Clustered | 1.661/Clustered | 1.287/Random |
| Clustered | 1.231/Even | 1.290/Random | 1.395/Random | 1.530/Clustered | 1.394/Random | 1.414/Clustered | |
| Mi | Even | —— | —— | 0.042/0.060 | 0.048/0.192 | 0.046/0.296 | 0.048/0.257 |
| Clustered | —— | —— | 0.058/0.048 * | 0.061/0.192 | 0.049/0.266 | 0.034/0.271 | |
| Ci | Even | 0.057/0.189 | 0.066/0.177 | 0.067/0.127 | 0.018/0.533 | 0.023/0.287 | 0.017/0.391 |
| Clustered | 0.031/0.195 | 0.061/0.208 | 0.067/0.146 | 0.004/0.521 | 0.043/0.301 | 0.029/0.391 | |
| Coi | Even | 0.017/0.170 | 0.042/0.181 | 0.044/0.174 | 0.047/0.033 * | 0.050/0.113 | 0.011/0.043 |
| Clustered | 0.049/0.188 | 0.089/0.205 | 0.069/0.158 | 0.023/0.028 | 0.072/0.079 | 0.063/0.057 * |
Publisher’s Note: MDPI stays neutral with regard to jurisdictional claims in published maps and institutional affiliations. |
© 2021 by the authors. Licensee MDPI, Basel, Switzerland. This article is an open access article distributed under the terms and conditions of the Creative Commons Attribution (CC BY) license (https://creativecommons.org/licenses/by/4.0/).
Share and Cite
Zhang, G.; Hui, G. Random Trees Are the Cornerstones of Natural Forests. Forests 2021, 12, 1046. https://doi.org/10.3390/f12081046
Zhang G, Hui G. Random Trees Are the Cornerstones of Natural Forests. Forests. 2021; 12(8):1046. https://doi.org/10.3390/f12081046
Chicago/Turabian StyleZhang, Gongqiao, and Gangying Hui. 2021. "Random Trees Are the Cornerstones of Natural Forests" Forests 12, no. 8: 1046. https://doi.org/10.3390/f12081046
APA StyleZhang, G., & Hui, G. (2021). Random Trees Are the Cornerstones of Natural Forests. Forests, 12(8), 1046. https://doi.org/10.3390/f12081046
