Next Article in Journal
Electroantennographic Responses of Cerambyx welensii Küster to Host-Related Volatiles
Previous Article in Journal
Correlation of Studies between Colour, Structure and Mechanical Properties of Commercially Produced ThermoWood® Treated Norway Spruce and Scots Pine
 
 
Font Type:
Arial Georgia Verdana
Font Size:
Aa Aa Aa
Line Spacing:
Column Width:
Background:
Article

Natural and Human-Transformed Vegetation and Landscape Reflected by Modern Pollen Data in the Boreonemoral Zone of Northeastern Europe

1
Department of Geography, University of Latvia, Jelgavas iela 1, LV-1004 Riga, Latvia
2
Department of Geology, Tallinn University of Technology, Ehitajate tee 5, EE-19086 Tallinn, Estonia
3
Lake and Peatland Research Centre, LV-4063 Aloja, Latvia
4
Department of Geology, University of Latvia, Jelgavas iela 1, LV-1004 Riga, Latvia
5
Department of Geosciences and Geography, University of Helsinki, P.O. Box 64, FI-00014 Helsinki, Finland
*
Author to whom correspondence should be addressed.
Forests 2021, 12(9), 1166; https://doi.org/10.3390/f12091166
Submission received: 20 July 2021 / Revised: 23 August 2021 / Accepted: 25 August 2021 / Published: 28 August 2021
(This article belongs to the Section Forest Ecology and Management)

Abstract

:
Modern pollen composition obtained from waterbody surface sediment represents surrounding vegetation and landscape features. A lack of detailed information on modern pollen from Latvia potentially limits the strength of various pollen-based reconstructions (vegetation composition, climate, landscape, human impact) for this territory. The aim of this study is to compare how modern pollen from natural and human-made waterbodies reflects the actual vegetation composition and landscape characteristics. Modern pollen analyses from surface sediment samples of 36 waterbodies from Latvia alongside oceanic-continental, lowland-upland, urban-rural and forested-agricultural gradients have been studied. In addition, we considered the dominant Quaternary sediment, soil type and land use around the studied waterbodies in buffer zones with widths of one and four km. The information on climate for the last 30 years from the closest meteorological station for each study site was obtained. Data were analyzed using Pearson correlation and principal component analysis. Results show that relative pollen values from surface sediment of waterbodies reflect dominant vegetation type and land use. Modern forest biomass had a positive correlation with pollen accumulation rate, indicating the potential use of pollen-based forest biomass reconstructions for the boreonemoral zone after additional research and calibration.

1. Introduction

Pollen is one of the most abundant microfossils (sub-fossils) preserved in sediment archives, whose sedimentary assemblages are related to regional and local vegetation [1,2]. Whilst fossil pollen can be found in lake sediments extending back for thousands of years, modern pollen surface samples are a component of that fossil record found in the last decades. Modern pollen samples from lake surface sediment reflect differences in vegetation in a similar way to moss pollsters, pollen traps, and might be combined for vegetation or climate calibration purposes [3].
In a time when the modeling approach is significantly expanding, the production of raw data is less attractive to new and established researchers because it is time- and labor-consuming. Nevertheless, modeling of climate, environmental change, forest biomass reconstructions or distribution of biota, vegetation functionality and phylogenetic diversity require input data and validation [4,5,6,7,8,9]. Although limited in spatial coverage and affected by uncertainties [10], proxy records are used in model-data comparisons and quantitative syntheses [11,12]. For example, climate models are commonly validated against proxy-based (e.g., pollen) reconstructions. These models should be able to reproduce past climate and vegetation change to be useful in future projections (e.g., [13]). To improve our ability to reconstruct environments and climate, modern proxy calibration studies along climatic and ecological gradients are needed. Modern pollen surface samples currently have a low spatial resolution in Latvia, i.e., 10 samples [14], therefore lacking the full potential estimated current, past and possible future natural and anthropogenic processes.
The aim of this study is to compare how modern pollen from natural and human-made waterbodies in Latvia, northeastern Europe reflect actual vegetation composition and landscape characteristics. For the first time in Latvia, modern pollen from 36 waterbody sediment surfaces were analyzed and compared with local vegetation composition, biomass, dominant Quaternary sediment type and climate.

2. Materials and Methods

2.1. Study Sites

The study sites are situated 55–58° N and 20–28° E in Latvia, northeastern Europe (Figure 1; Table 1) in the hemiboreal forest zone, which is characterized by a mixture of coniferous and deciduous tree species, such as the Norway spruce (Picea abies), Scots pine (Pinus sylvestris), birch (Betula spp.), alder (Alnus glutinosa, Alnus incana), wych elm (Ulmus glabra), European ash (Fraxinus excelsior), small-lived lime (Tilia cordata) and pedunculate oak (Quercus robur).
Altogether 36 natural and human-made waterbodies were selected for the study. Here we define waterbodies using two terms—“lake” and “pond”—where “lake” is naturally formed and “pond” is of anthropogenic origin. While lakes are sized from 1.4 to ha 3715 ha, ponds are in the range of 0.33–5.4 ha (Table 1). We specifically selected not only lakes but also ponds because there are regions with no natural lakes, not to mention that ponds have not been a subject of investigation for pollen in Baltic countries. Lacustrine sedimentary environment is superb for trapping pollen from the surrounding landscape because, under limited oxygen conditions, pollen can preserve for hundreds to thousands of years. Sediment accumulation rate in lakes in Latvia varies but based on published and unpublished data from 12 lakes (e.g., [15,16]) our estimates reveal an average sedimentation rate of 0.5284 cm/year (since CE 1950). Therefore, the top-most three cm can accumulate during the last ~5–20 years, thus representing modern pollen data within the catchment.
A combination of a continental (Eurasia) and maritime (Atlantic Ocean) climate is typical for this area, where the east is more continental and the west—more maritime (Figure 1; Table 2). Waterbodies for the particular study were selected to represent all four continentality index zones—weak (15 sites), moderate (seven sites), average (six sites) and strong (eight sites) (Figure 1).
The average annual air temperature in Latvia is +6.8 °C (varied from 5.7 to 8.0 °C) for the climatic normal 1991–2020. The lowest mean monthly air temperature observed in February, where it reaches −3.1 °C (varied from −1.1 °C to −5.1 °C), while the highest mean monthly air temperature 17.8 °C in July (varied from 17.0 to 19.4 °C). The annual precipitation in average reaches 679 mm (varied from 585 mm to 885 mm) according to the Latvian Environment, Geology and Meteorology Centre data. The highest precipitation amount fell during the summer months (July and August) and in autumn, while the driest periods were in winter and early spring.

2.2. Sediment Sampling

The top-most 3 cm sediment sample from waterbodies was obtained using a gravity-corer (© KC Denmark) through ice in winter 2021 and from a boat in winter 2020 and spring 2021. Samples were taken at the deepest place of the middle of the waterbodies. Surface sediment samples were subsampled at the field, put in small plastic bags, transported to the University of Latvia, and stored at 4–6 °C.

2.3. Pollen Analysis

Pollen subsamples of known volume (1 cm3) were treated with 10% HCl, boiled in 10% KOH, and then acetolyzed for 3 min using standard acetolysis procedure [18]. Prior to chemical treatment, Lycopodium spores containing tablets were added to sediment samples in order to estimate the concentration of pollen per cm3 [19]. The prepared samples were stored in glycerine. A minimum of 500 terrestrial pollen was counted from each slide. Pollen identification was carried out to the lowest possible taxonomic level, with the help of the identification guide of [20] and a modern pollen reference collection stored at the University of Latvia and Tallinn University of Technology. Additional pollen data were obtained from [14,15] (Table 1). Results from these publications are comparable because pollen analyses for these sites and publications were done by Normunds Stivrins with the same preparation and identification procedure. The percentage of dry-land taxa was calculated using arboreal (AP) and non-arboreal (NAP) pollen sums (excluding sporomorphs of aquatic and wetland plants). Counts of spores were calculated as percentages of the total sum of terrestrial pollen. The pollen diagram was compiled using TILIA software [21]. Pollen accumulation rate (PAR) was estimated by multiplying pollen concentration per sample with mean sediment accumulation rate in Latvian lakes (0.5284 cm/year).

2.4. Climate and Landscape

Climate data for each pollen surface sample site were derived from the nearest meteorological station. Time series of air temperature and precipitation were collected from the Latvian Environment, Geology and Meteorology Centre and represent reference period of climate normal for 1991–2020. For each sampling site, long-term observations of the nearest meteorological station were used to calculate the average annual air temperature, the average temperature in winter and summer seasons and the amount of annual precipitation, as well for winter and summer seasons.
According to study [17], the main climatic factors that reflect the degree of climate continentality and its increasing eastward sea distance in Latvia are minimum winter air temperature, duration of snow cover, depth of soil freezing. Based on these climatic indicators, they determined four continentality indices that have been used in the particular study.
We characterized land cover using Corine Land Cover 2018 data [22] with aggregated thematic land cover categories (forests, agricultural areas, urban areas). We estimated forest biomass in 1 km and 4 km buffer zones around waterbodies from State Forest Register database [23] by summarizing standing timber volume from all forest compartments inside buffer zones. We used the Geological Map of Latvia [24] to characterize quaternary sediments in buffer zones.
Buffer zones were set to test how reliable pollen reflecting the surrounding setting is. There are various options and publications related to this topic, but following [4] we selected two buffer zones—1 km and 4 km. We measured buffer zone from the margin of the lake following the shape of the waterbody as suggested by [25]. Although it would be enough with one buffer zone, to test how reliable pollen can be used in tree biomass reconstructions (see [4]), we estimated modern tree biomass around the sites in 1 and 4 km buffer (calibration) zones. Therefore, all other landscape characteristics were set at the same zonation parameters.

2.5. Data Analyses

Statistical correlation of analyzed pollen, sites and variables was tested by using principal components analysis (PCA), which finds components accounting for as much as possible of the variance in data [26,27]. Significance of components was tested using broken stick method [28]. PCA was done in Past v.4.05 [29].
Cross-correlations between pollen results and CORINE landcover (forests, agricultural and urban area; %) data, as well as PAR and tree biomass (m3) around lakes in 1 km and 4 km radius were calculated with Pearson correlation tests using cor.test() function in R (version 4.0.5.; [30]). Pearson’s correlation was conducted under the assumption that there is a linear relationship between pollen composition and the actual data. Lake sizes were taken into account under the assumption that their size may have an indirect influence on the sediment pollen composition, thus also the closeness of the relationship between two variables. Study sites were divided into three groups: all, large (>50 ha) and small–medium lakes (<50 ha). Correlations were performed to determine whether modern pollen data can be quantified and validated based on current vegetation and tree biomass estimates, thus contributing to the reconstruction of long-term boreonemoral vegetation and biomass characteristics in the northeastern Europe region based on sub-fossil pollen data acquired from waterbodies of different sizes. Due to non-homogenous site sizes and specific soil types such alternative method as REVEALS modelling was not conducted.

3. Results

3.1. Climate

Analyzed sites fall in non-linear distribution when considering climate parameters, but certain links can be drawn. Coastal (oceanic) sites have higher average temperatures and precipitations (Figure 2), while lower average temperatures and precipitations are characteristic of inland (continental) sites. There are also differences in the distribution of summer and winter temperatures—the lowest summer and highest winter temperatures are typical of sites near the open Baltic Sea coast, because of the large thermal inertia of the sea and to the flow of mild maritime air from the west. For sites with average and strong continentality and higher elevations, the winter temperatures are considerably lower. The same factors affect the distribution of seasonal precipitation—the higher summer precipitation is characterized for inland sites while lower for coastal locations.

3.2. Quaternary Sediment and Soil

The majority of sites are dominated by glacigenic and glaciolacustrine Quaternary sediment (Figure 3). Glacigenic sediment consists of till—unsorted clay, clay-gravel material deposited directly by glacial ice. Meanwhile, glaciolacustrine sediment genesis involves formation in lakes deposited by glacial meltwater. Only one waterbody is located in the eolian sand and alluvial sand region. Quaternary sediment in large part forms a ground for topsoil where on glacigenic sediment are dystric cambisol (E1Pv) and stagnosols/planosols (Pgv), and on glaciolacustrine sediment dominate luvisols/alisols (Pv) (Figure 3).

3.3. Pollen

Altogether 81 pollen taxa were identified from 36 sites (Figure 4; Supplementary Material). Dominant tree taxa in the majority of sites were Pinus, Betula, Picea, Alnus, and Corylus. Higher Pinus values were recorded at lower altitudes, while higher Betula relative share was identified from sites at higher altitude sites.
Pollen records of plants related to human activities and influence on the vegetation composition throughout the altitudinal gradient are variable. As ruderal species tend to be characteristic of disturbed environments, most often affected by human activities, the increase in their abundance in the surface sediments of the lake is expected in relation to the wider open landscape area around the waterbody. It can also be caused by the urban environment and the use of adjacent areas for agriculture. In this study, more than 25 different species of cultivated land and ruderal plant species or genera were found in surface sediments. Chenopodiaceae, Artemisia and Urtica predominate among the pollen of ruderal plants. Cultivated land plant pollen has been found in low numbers, predominantly Hordeum, Triticum and Brassicaceae pollen in waterbodies located near agricultural lands. An increased amount of pollen from grasses and sedges can also be considered as an effect of human activity, indicating the intensity of the overgrowth of the lake. This evidence is more characteristic for sites with throughflow hydrological regime collecting pollen from the wider catchment areas, for instance, Lake Ķikuru, Lake Durbes, Lake Liepājas, Lake Sesavas (Table 1; Figure 4). The composition of pollen in man-made reservoirs (ponds) is quite different, which is probably related to their management measures.
The broken stick method indicated four main principal components (PC) strongly weighted by Pinus (PC1), Betula (PC2), Picea (PC3) and Alnus (PC4) (Figure 5A). Although insignificant, it is worth underlining also PC5—Poaceae, human-related cultivated and ruderal plants. Results of PCA show sites in glaciolacustrine (clay, silt, and sand) areas are mostly forested, while sites in glacigenic (till) sediments display the opposite situation—open landscape and human-related agricultural pollen and vegetation (Figure 5B).
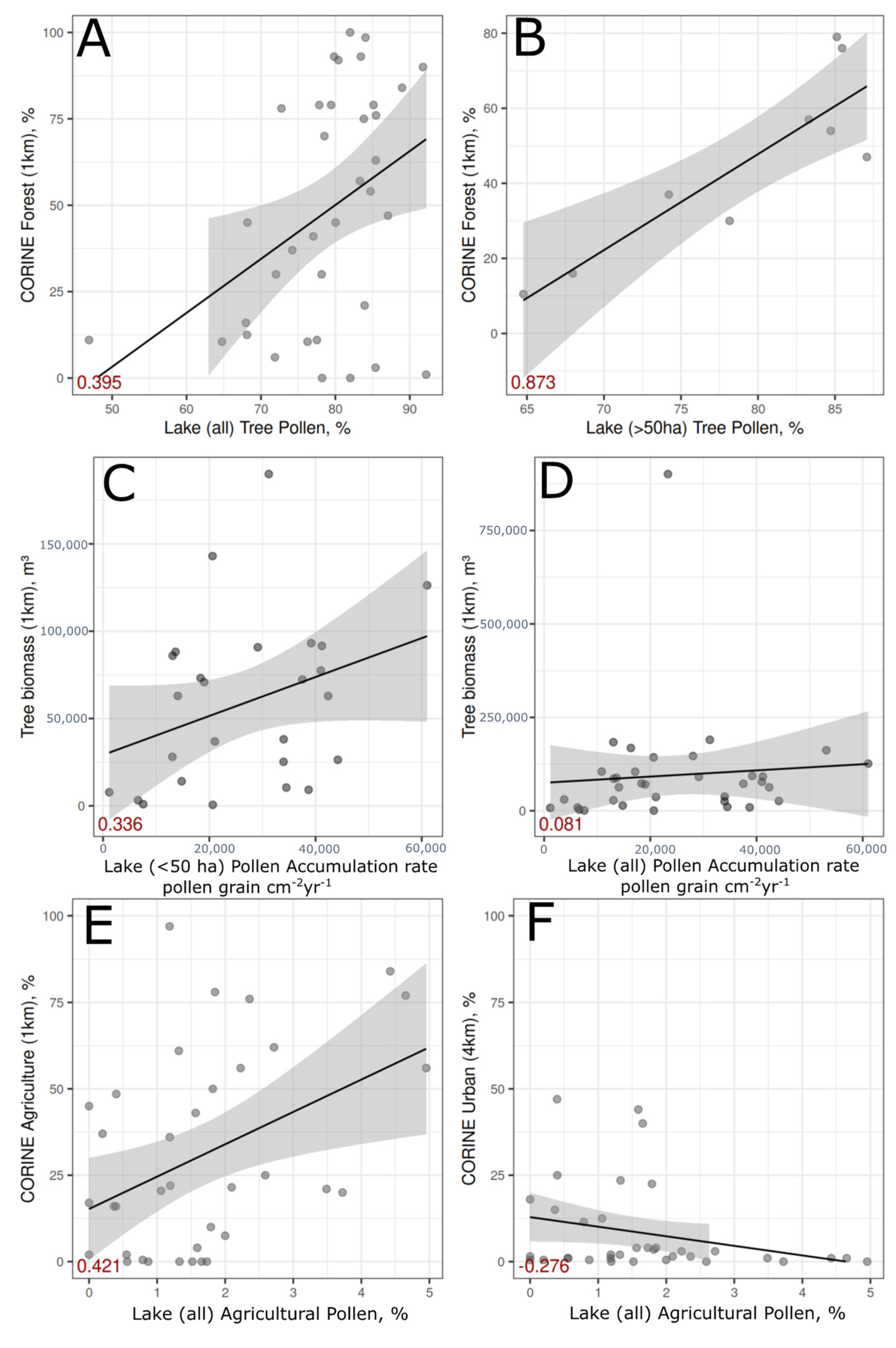
Results obtained in our study show a positive linear correlation between the actual forest cover around the sites (CORINE data) and tree pollen in surface sediment samples reflecting forest relative share (%) in the landscape. Obtained results reveal that if all studied sites are included, forest cover (1 km buffer zone) and tree pollen (%) correlation reached r: 0.39 (Figure 6A). Lower correlation (r: 0.30) was for 4 km buffer zone. The highest correlation up to r: 0.86 (4 km buffer zone) and r: 0.87 (1 km buffer zone) was obtained when including only large sites (Figure 6B). Tree biomass and tree PAR had r: 0.33 correlation for sites smaller than 50 ha (Figure 6C) and only r: 0.1 when all sites considered (Figure 6D). A slightly higher correlation was for agricultural land (%, CORINE) and agricultural pollen (cultivated plants, %) where r: 0.42 was reached when including all sites. Negative r: −0.27 correlation was between urban area (%, CORINE) and agricultural pollen (%). It is worth mentioning that only the highest correlations are shown in Figure 6.

4. Discussion

Higher pine and spruce pollen dominance was found in sites located at lower altitudes (Figure 4). When looking within sites, pine has a close connection to glaciolacustrine and eolian sediment distribution where nearly all sites forest coverage is >40% as is reflected by the results of PCA (Figure 5). The opposite situation is in sites dominated by herbs and cultivated plants where forest cover is <40% and the dominant Quaternary sediment is glacigenic till. While commonly modern pollen is displayed alongside altitudinal or temperature gradient [31], we found it was not meaningful in such low elevations as in Latvia. Instead, Quaternary sediment and subsequent soil type has the main controlling factor for vegetation distribution and patterns. Historically, areas dominated by glaciolacustrine, glaciofluvial, marine, and eolian Quaternary sediment form acidic sandy podsol soils are poor in nutrients and thus unattractive for farming.
Pine, spruce and birch are among the most common and also economically valuable tree species. Today pine (Pinus sylvestris) is making 40%, spruce (Picea abies) 22% and birch (Betula pubescens, Betula pendula) 36% of all tree species in Latvia [32]. Considering the high value of ecosystem services, it is crucial to clarify, for instance, how the forest biomass of the main tree species has changed. This can be found out by using pollen-based tree biomass reconstructions [4]. Before proceeding with any reconstruction, pollen accumulation rate data need to be calibrated to modern tree biomass values. Here we provide the first modern pollen calibration to the modern tree biomass values for Latvia and in this study obtained results show relatively low correlations (r: 0.18 to r: 0.33) (Figure 6C,D). Possible reason for such low correlation outcome can be site selection. In their seminal paper about the biomass reconstructions, Seppä et al. [4] indicated—only small-medium sized lakes characterized by predominantly constant long-term sedimentation rates and relatively floristically simple composition are the most suitable sites for tree biomass reconstructions. Our results show a higher correlation for sites (r: 0.33) where small to medium-sized waterbodies predominated. From the obtained results is possible to draw several steps that can be considered in the tree biomass reconstructions. As results show, not all sites can be used appropriately and therefore only selected sites must be included in the forest biomass-training set.
Our results show that modern pollen assemblages from waterbody surface sediments reflect the actual landscape characteristics and overall vegetation coverage. A fairly good correlation (r: 0.87) between forest coverage and tree pollen percentages from large (>50 ha) lakes (Figure 6B) were found. Based on this, we consider that pollen from large sites (>50 ha) better reflect the relative forest cover. Surprisingly, obtained results show a lower correlation between forest cover and tree pollen from small-medium sized waterbodies. A possible explanation for this finding can be a larger portion of regional pollen. Models and observations based on empirical investigations confirm that small lakes have smaller pollen source areas than large lakes [33,34]. The Prentice-Sugita pollen dispersal and deposition model predicts that within the same landscape pollen percentages are highly variable in small ponds but uniform in larger lakes (lakes with diameter > 250 m) [1,35]. Considering that the relative source area of pollen of lakes within a radius up to 100 m has been shown to be <2000 m from the center of the lakes [36], our small-medium sized waterbodies (radius 20–200 m), theoretically, should show pollen spectrum within 1 to 4 km. Differences in buffer zones and correlation outcome suggesting more work should be done for calibration purposes in hemiboreal zone.
Human impact on the landscape and subsequently on vegetation is evident through the modern pollen data. For instance, we found that when the urban area around the waterbody is more common, the relative share of agricultural pollen is lower (Figure 6F). Although this correlation was weak and even negative (r: −0.27), it still underlines the general trend of such correlation. When we consider waterbodies located within agricultural areas, the correlation between agricultural pollen was significantly higher r: 0.42 (Figure 6E). A lower correlation than expected can be linked to various land management aspects. Theuerkauf et al. [37] studied the effects of changes in land management practices on pollen productivity in Germany and found that decline in herb and grass pollen since the 1950s occurred not only due to a shift towards crops that emit comparatively small number of pollen but also earlier and more frequent mowing of grasses.
Modern pollen data are highly valuable in climate reconstructions and modeling. For instance, the most common climate reconstructions are sub-fossil pollen-based approaches which are using modern pollen training sets for calibration purposes [14,38]. As Seppä et al. [31] noted, due to human impact on the landscape, not all sites can be used for pollen-training set purposes. For instance, small-medium sized waterbodies (20–50 ha), with no significant human impact (e.g., large fields, forest management, housing areas) in the vicinity, >1.5 m deep, dominated by glacigenic and glaciolacustrine sediment [38] are more suitable for pollen–climate calibration sets. According to these requirements, only seven waterbodies (Lake Bricu, Lake Čertoks, Lake Lielais Svētiņu, Lake Lielais Vipēdis, Lake Pinku, Lake Sesavas and Lake Gluhoje) from this study could be selected for climate reconstructions, although selection also depends on the chosen technique. Fortunately, the methodology of climate reconstruction techniques is advancing and most of these results and sites can be applicable for the reconstructions [8,38].

5. Conclusions

(1)
Large waterbodies reflect forest cover better than small-medium-sized waterbodies.
(2)
Pollen accumulation rate can be used for forest biomass reconstructions after additional site selection and calibration work.
(3)
Agricultural pollen percentages decrease with the increasing urban area around the waterbody.
(4)
Modern pollen from surface samples in waterbodies represent current forest and human land use.
(5)
Quaternary sediment and subsequent soil type have the main controlling factor for vegetation distribution patterns.
(6)
More fertile soils in regions dominated by glacigenic Quaternary sediment show distinct human impact through increased agricultural activities and open landscape.

Supplementary Materials

The following are available online at https://www.mdpi.com/article/10.3390/f12091166/s1, Pollen raw counts S1 Excel file.

Author Contributions

Conceptualization, N.S.; methodology, N.S., L.K., Z.R., A.B.; software; validation; formal analysis, N.S., L.K., A.B., Z.R., J.J.; investigation, N.S., A.M., D.S., L.T., N.J., J.J.; writing—original draft preparation, N.S., L.K., A.B., Z.R., J.J., L.T., D.S.; writing—review and editing, N.S., L.K., Z.R., A.B., L.T., D.S.; visualization, N.S., D.S., A.B., Z.R., J.J.; supervision; project administration, N.S.; funding acquisition, N.S.; All authors have read and agreed to the published version of the manuscript.

Funding

Research was funded by the Latvian Council of Science project No. LZP-2020/2-0060 “Establishing training data set of pollen and non-pollen palynomorphs for Latvia—fundamental ground for climate, landscape, vegetation and water quality reconstructions and modelling”, performance-based National basic funding for science of the University of Latvia within the “Climate change and sustainable use of natural resources” (Y5-AZ03_ZF-N-110) program, and the Estonian Council of Research ETF 9031 and IUT 1-8.

Data Availability Statement

Data are available for free alongside this article (see Supplementary Material).

Conflicts of Interest

The authors declare no conflict of interest.

References

  1. Sugita, S. Pollen representation of vegetation in Quaternary sediments: Theory and method in patchy vegetation. J. Ecol. 1994, 82, 881–897. [Google Scholar] [CrossRef]
  2. Sugita, S. Theory of quantitative reconstruction of vegetation. I. Pollen from large sites REVEALS regional vegetation composition. Holocene 2007, 17, 229–241. [Google Scholar] [CrossRef]
  3. Lisitsyna, O.; Hicks, S.; Huusko, A. Do moss samples, pollen traps and modern lake sediments all collect pollen in the same way? A comparison from the forest limit area of northernmost Europe. Veget. Hist. Archaeobot. 2012, 21, 187–199. [Google Scholar] [CrossRef]
  4. Seppä, H.; Alenius, T.; Muukkonen, P.; Giesecke, T.; Miller, P.A.; Ojala, A.E.K. Calibrated pollen accumulation rates as a basis for quantitative tree biomass reconstructions. Holocene 2009, 19, 209–220. [Google Scholar] [CrossRef]
  5. Maguire, K.C.; Nieto-Lugilde, D.; Firzpatrick, M.C.; Williams, J.W.; Blois, J.L. Modeling species and community responses to past, present, and future episodes of climatic and ecological change. Annu. Rev. Ecol. Evol. Syst. 2015, 46, 343–368. [Google Scholar] [CrossRef] [Green Version]
  6. Reitalu, T.; Gerhold, P.; Poska, A.; Pärtel, M.; Väli, V.; Veski, S. Novel insights into post-glacial vegetation change: Functional and phylogenetic diversity in pollen records. J. Veg. Sci. 2015, 26, 911–922. [Google Scholar] [CrossRef]
  7. Carvalho, F.; Brown, K.A.; Waller, M.P.; Bunting, M.J.; Boom, A.; Leng, M.J. A method for reconstructing temporal changes in vegetation functional trait composition using Holocene pollen assemblages. PLoS ONE 2019, 14, 1–18. [Google Scholar] [CrossRef]
  8. Salonen, J.S.; Korpela, M.; Williams, J.W.; Luoto, M. Machine-learning based reconstructions of primary and secondary climate variables from North American and European fossil pollen data. Sci. Rep. 2019, 9, 1–13. [Google Scholar] [CrossRef] [PubMed]
  9. Tierney, J.E.; Zhu, J.; King, K.; Malevich, S.B.; Hakim, G.J.; Poulsen, C.J. Glacial cooling and climate sensitivity revisited. Nature 2020, 584, 569–573. [Google Scholar] [CrossRef]
  10. Breitenbach, S.F.M.; Rehfeld, K.; Goswami, B.; Baldini, J.U.L.; Ridley, H.E.; Kennett, D.J.; Prufer, K.M.; Aquino, V.V.; Asmerom, Y.; Polyak, V.J.; et al. Constructing proxy records from age models (COPRA). Clim. Past 2012, 8, 1765–1779. [Google Scholar] [CrossRef] [Green Version]
  11. Luoto, T.P.; Ojala, A.E.K.; Arppe, L.; Brooks, S.J.; Kurki, E.; Oksman, M.; Wooller, M.J.; Zajaczkowski, M. Synchronized proxy-based temperature reconstructions reveal mid- to late Holocene climate oscillations in High Arctic Svalbard. J. Quat. Sci. 2018, 33, 93–99. [Google Scholar] [CrossRef]
  12. Reschke, M.; Kröner, I.; Laepple, T. Testing the consistency of Holocene and Last Glacial Maximum spatial correlations in temperature proxy records. J. Quat. Sci. 2021, 36, 20–28. [Google Scholar] [CrossRef]
  13. IPCC. Climate Change 2014: Synthesis Report. In Core Writing Team, Contribution of Working Groups I, II and III to the Fifth Assessment Report of the Intergovernmental Panel on Climate Change; Pachauri, R.K., Meyer, L.A., Eds.; IPCC: Geneva, Switzerland, 2014; p. 151. [Google Scholar]
  14. Davis, B.A.S.; Chevalier, M.; Sommer, P.; Carter, V.A.; Finsinger, W.; Mauri, A.; Phelps, L.N.; Zanon, M.; Abegglen, R.; Ǻkesson, C.M.; et al. The Eurasian Modern Pollen Database (EMPD), Version 2. Earth Syst. Sci. Data 2020, 12, 2423–2445. [Google Scholar] [CrossRef]
  15. Zawiska, I.; Dimante-Deimantovica, I.; Luoto, T.P.; Rzodkiewicz, M.; Saarni, S.; Stivrins, N.; Tylmann, W.; Lanka, A.; Robeznieks, M.; Jilbert, T. Long-term consequences of water punping on the ecosystem functioning of Lake Sekšu, Latvia. Water 2020, 12, 1459. [Google Scholar] [CrossRef]
  16. Stivrins, N.; Grudzinska, I.; Elmi, K.; Heinsalu, A.; Veski, S. Determining reference conditions of hemiboreal lakes in Latvia, NE Europe: A palaeolimnological approach. Ann. Limnol. Int. J. Limnol. 2018, 54, 1–22. [Google Scholar] [CrossRef]
  17. Laiviņš, M.; Melecis, V. Bio-geographical interpretation of climate data in Latvia: Multidimensional analysis. Acta Uni. Latv. 2003, 654, 7–22. [Google Scholar]
  18. Berglund, B.E.; Ralska-Jasiewiczowa, M. Pollen analysis and pollen diagrams. In Handbook of Holocene Palaeoecology and Palaeohydrology; Berglund, B.E., Ed.; Wiley: Chichester, UK, 1986; pp. 455–484. [Google Scholar]
  19. Stockmarr, J. Tablets with spores used in absolute pollen analysis. Pollen Spore 1971, 13, 615–621. [Google Scholar]
  20. Moore, P.D.; Webb, J.A.; Collinson, M.E. Pollen Analysis; Blackwell Scientific Publications: Oxford, UK, 1991; p. 216. [Google Scholar]
  21. Grimm, E.C. Tilia Software for Palynologists. 2021. Available online: www.tiliait.com (accessed on 14 June 2019).
  22. European Environmental Agency. Corine Land Cover Data; European Union, Copernicus Land Monitoring Service: 2020. Available online: https://land.copernicus.eu/pan-european/corine-land-cover/clc2018 (accessed on 20 April 2021).
  23. State Forest Service. State Forest Register Database; State Forest Service: Riga, Latvia, 2019. Available online: https://latvija.lv/en/PPK/uznemejdarbiba/registri/p6431/ProcesaApraksts (accessed on 5 July 2020).
  24. Geological Map of Latvia. Quaternary Deposits; Scale 1:200,000; State Geological Survey: Riga, Latvia, 1997.
  25. Matthias, I.; Giesecke, T. Insights into pollen source area, transport and deposition from modern pollen accumulation rates in lake sediments. Quat. Sci. Rev. 2014, 87, 12–23. [Google Scholar] [CrossRef]
  26. Davis, J.C. Statistics and Data Analysis in Geology; John Wiley and Sons: Hoboken, NJ, USA, 1986; p. 140. [Google Scholar]
  27. Legendre, P.; Legendre, L. Numerical Ecology, 2nd ed.; Elsevier: Amsterdam, The Netherlands, 1998; p. 853. [Google Scholar]
  28. Jackson, D.A. Stopping rules in principal components analysis: A comparison of heuristical and statistical approaches. Ecology 1993, 74, 2204–2214. [Google Scholar] [CrossRef]
  29. Hammer, Ø.; Harper, D.A.T.; Ryan, P.D. PAST: Paleontological statistics software package for education and data analysis. Palaeontol. Electron. 2001, 4, 9. [Google Scholar]
  30. R Core Team. R: A Language and Environment for Statistical Computing; R Foundation for Statistical Computing: Vienna, Austria, 2021; Available online: https://www.R-project.org/ (accessed on 22 February 2021).
  31. Seppä, H.; Birks, H.J.B.; Odland, A.; Poska, A.; Veski, S. A modern pollen-climate calibration set from northern Europe: Developing and testing a tool for palaeoclimatological reconstructions. J. Biogeogr. 2004, 31, 251–267. [Google Scholar] [CrossRef]
  32. Forest Statistics in Latvia. Meža Statistikas CD (vmd.gov.lv). 2018. Available online: https://www.vmd.gov.lv/valsts-meza-dienests/statiskas-lapas/publikacijas-un-parskati/meza-statistikas-cd?nid=1809#jump (accessed on 4 April 2021).
  33. Poska, A.; Saarse, L.; Koppel, K.; Nielsen, A.B.; Avel, E.; Vassiljev, J.; Vali, V. The Varijärv area, South Estonia over the last millennium: A high resolution quantitative land-cover reconstruction based on pollen and historical data. Rev. Palaeobot. Palynol. 2014, 207, 5–17. [Google Scholar] [CrossRef]
  34. Sugita, S. Theory of quantitative reconstruction of vegetation. II. All you need is LOVE. Holocene 2007, 17, 243–257. [Google Scholar] [CrossRef]
  35. Prentice, I.C. Records of vegetation in time and space: The principles of pollen analysis. In Vegetation History; Huntley, B., Webb, T., Eds.; Kluwer Academic Publishers: Dordrecht, The Netherlands, 1988; pp. 17–42. [Google Scholar]
  36. Poska, A.; Meltsov, V.; Sugita, S.; Vassiljev, J. Relative pollen productivity estimates of major anemophilous taxa and relevant source area of pollen in a cultural landscape of the hemi-boreal forest zone (Estonia). Rev. Palaeobot. Palynol. 2011, 167, 30–39. [Google Scholar] [CrossRef]
  37. Theuerkauf, M.; Drager, N.; Kienel, U.; Kuparinen, A.; Brauer, A. Effects of changes in land management practices on pollen productivity of open vegetation during the last century derived from varved lake sediments. Holocene 2015, 25, 733–744. [Google Scholar] [CrossRef]
  38. Chevalier, M.; Davis, A.S.; Heiri, O.; Seppä, H.; Chase, B.M.; Gajewski, K.; Lacourse, T.; Telford, R.J.; Finsinger, W.; Guiot, J.; et al. Pollen-based climate reconstruction techniques for late Quaternary studies. Earth-Sci. Rev. 2020, 210, 103384. [Google Scholar] [CrossRef]
Figure 1. Study area in Europe (A) and the location of waterbodies in Latvia used in current article (B): 1—Lake Liepājas, 2—Lake Durbes, 3—Dam Alsungas, 4—Lake Ķikuru, 5—Lake Pinku, 6—Pond Cūku, 7—Lake Usmas, 8—Lake Sūnezers, 9—Lake Lielais Pēterezers, 10—Lake Rūmiķis, 11—Lake Vēžezers, 12—Lake Saldus, 13—Dam Vaides, 14—Lake Talsu, 15—Lake Sasmakas, 16—Lake Sesavas, 17—Lake Lielais Vipēdes, 18—Lake Vaskaris, 19—Lake Velnezers, 20—Lake Sekšu, 21—Lake Mazais Baltezers, 22—Lake Lilastes, 23—Lake Āraišu, 24—Lake Trikātas, 25—Lake Bricu, 26—Pond Esplanādes, 27—Lake Gubiščes, 28—Lake Mazais Stropu, 29—Lake Lielais Stropu, 30—Lake Gluhoje, 31—Lake Lielais Svētiņu, 32—Lake Čertoks, 33—Lake Puderovas, 34—Lake Zosnas, 35—Lake Dagdas, 36—Pond Dagdas. Roman numbers indicate continentality index zones: I—weak, II—moderate, III—average, IV—strong.
Figure 1. Study area in Europe (A) and the location of waterbodies in Latvia used in current article (B): 1—Lake Liepājas, 2—Lake Durbes, 3—Dam Alsungas, 4—Lake Ķikuru, 5—Lake Pinku, 6—Pond Cūku, 7—Lake Usmas, 8—Lake Sūnezers, 9—Lake Lielais Pēterezers, 10—Lake Rūmiķis, 11—Lake Vēžezers, 12—Lake Saldus, 13—Dam Vaides, 14—Lake Talsu, 15—Lake Sasmakas, 16—Lake Sesavas, 17—Lake Lielais Vipēdes, 18—Lake Vaskaris, 19—Lake Velnezers, 20—Lake Sekšu, 21—Lake Mazais Baltezers, 22—Lake Lilastes, 23—Lake Āraišu, 24—Lake Trikātas, 25—Lake Bricu, 26—Pond Esplanādes, 27—Lake Gubiščes, 28—Lake Mazais Stropu, 29—Lake Lielais Stropu, 30—Lake Gluhoje, 31—Lake Lielais Svētiņu, 32—Lake Čertoks, 33—Lake Puderovas, 34—Lake Zosnas, 35—Lake Dagdas, 36—Pond Dagdas. Roman numbers indicate continentality index zones: I—weak, II—moderate, III—average, IV—strong.
Forests 12 01166 g001
Figure 2. Scatterplots showing (A) average precipitations (mm) versus average temperatures (C), (B) summer versus winter temperature (C) and (C) summer versus winter precipitation (mm) for the 36 sites (site names and location within the Latvia see Table 1 and Figure 1).
Figure 2. Scatterplots showing (A) average precipitations (mm) versus average temperatures (C), (B) summer versus winter temperature (C) and (C) summer versus winter precipitation (mm) for the 36 sites (site names and location within the Latvia see Table 1 and Figure 1).
Forests 12 01166 g002
Figure 3. Dominant Quaternary sediment type within 4 km around the waterbodies (A) and dominant soil (LSC-WRB) type within 1 km (B) and 4 km (C). LSC—Latvian Soil Classification and WRB—World Reference Base for Soil Resources.
Figure 3. Dominant Quaternary sediment type within 4 km around the waterbodies (A) and dominant soil (LSC-WRB) type within 1 km (B) and 4 km (C). LSC—Latvian Soil Classification and WRB—World Reference Base for Soil Resources.
Forests 12 01166 g003
Figure 4. Pollen percentages diagram showing all pollen and spores identified from 36 lake and pond samples alongside altitudinal gradient. Values on horizontal axes are percentages. Shading in gray is an exaggeration at ×10 for pollen data to ease visibility of low percentage values of taxa particularly. Site names for appropriate number see Figure 1 and Table 1.
Figure 4. Pollen percentages diagram showing all pollen and spores identified from 36 lake and pond samples alongside altitudinal gradient. Values on horizontal axes are percentages. Shading in gray is an exaggeration at ×10 for pollen data to ease visibility of low percentage values of taxa particularly. Site names for appropriate number see Figure 1 and Table 1.
Forests 12 01166 g004
Figure 5. Principal component analyses of modern pollen in waterbodies with (A) Eigenvalues of first four significant principal components and the strongest associations, and (B) over all pollen dispersal and distribution between sites indicating both dominant Quaternary sediment and the relative forest share (CORINE) within 1 km radius around the waterbodies. Gray elongated area shows the location of pollen taxa that were indistinguishable and do not have a strong influence on the first axes.
Figure 5. Principal component analyses of modern pollen in waterbodies with (A) Eigenvalues of first four significant principal components and the strongest associations, and (B) over all pollen dispersal and distribution between sites indicating both dominant Quaternary sediment and the relative forest share (CORINE) within 1 km radius around the waterbodies. Gray elongated area shows the location of pollen taxa that were indistinguishable and do not have a strong influence on the first axes.
Forests 12 01166 g005
Figure 6. Pearson correlation of (A) relative share of forest (%, CORINE based estimates) within 1 km around the waterbodies and tree pollen (%) from all study sites, (B) relative share of forest (CORINE based estimates) within 1 km around the large lakes and tree pollen (%) from large lakes (>50 ha), (C) tree biomass (m3) within 1 km around the large lakes and tree pollen concentration (pollen grains per sample) from large lakes (>50 ha), (D) tree biomass (m3) within 4 km around all waterbodies and tree pollen concentration (pollen grains per sample) from all sites, (E) agricultural fields (%) within 1 km around all waterbodies and agricultural (cultivated vegetation) pollen (%) from all sites and (F) urban area (%) within 4 km and agricultural (cultivated vegetation) pollen (%) from all sites. Gray shading represents 95% confidence level.
Figure 6. Pearson correlation of (A) relative share of forest (%, CORINE based estimates) within 1 km around the waterbodies and tree pollen (%) from all study sites, (B) relative share of forest (CORINE based estimates) within 1 km around the large lakes and tree pollen (%) from large lakes (>50 ha), (C) tree biomass (m3) within 1 km around the large lakes and tree pollen concentration (pollen grains per sample) from large lakes (>50 ha), (D) tree biomass (m3) within 4 km around all waterbodies and tree pollen concentration (pollen grains per sample) from all sites, (E) agricultural fields (%) within 1 km around all waterbodies and agricultural (cultivated vegetation) pollen (%) from all sites and (F) urban area (%) within 4 km and agricultural (cultivated vegetation) pollen (%) from all sites. Gray shading represents 95% confidence level.
Forests 12 01166 g006
Table 1. Study sites and related information.
Table 1. Study sites and related information.
NoSite NameCoordinates, N, EElevation, m a.s.l.Size, haWater Depth, max/mean, mHydrology, Throughflow/Inflow/Outflow/NoneReference
1Lake Liepājas 56°29′21.35″
21°2′58.65″
0.237152.8/2throughflowThis study
2Lake Durbes 56°36′40.91″ 21°21′1.05″236708.1/3.9throughflowThis study
3Dam Alsungas 56°58′50.82″ 21°34′19.07″227.82.5/2 throughflowThis study
4Lake Ķikuru 56°48′4.45″ 21°39′38.57″38.721.64.3/1.9throughflow[14]
5Lake Pinku 56°59′56.82″ 21°41′17.77″542920/5throughflowThis study
6Pond Cūku 57°1′2.44″ 21°41′36.71″42.51.21.2/0.6throughflowThis study
7Lake Usmas 57°11′52.23″
22°7′50.94″
213469.217/5.4throughflowThis study
8Lake Sūnezers 57°6′46.93″ 22°15′55.74″48.81.43.7/1.5none[14]
9Lake Lielais Pēterezers 57°39′13.93″ 22°15′39.45″92.93.1/2noneThis study
10Lake Rūmiķis 57°10′8.37″ 22°18′12.79″401.54.3/1.5outflow[14]
11Lake Vēžezers 57°7′28.75″ 22°20′26.79″5071.7/1.4outflow[14]
12Lake Saldus 56°40′26.92″ 22°30′39.42″89224.6/2.5throughflowThis study
13Dam Vaides 57°43′42.71″ 22°28′35.54″6.25.41.7/1throughflowThis study
14Lake Talsu 57°14′33.58″ 22°35′47.27″643.616.5/11.6throughflowThis study
15Lake Sasmakas 57°21′55.39″ 22°36′36.21″362527.4/3.8throughflowThis study
16Lake Sesavas lake56°34′18.38″ 23°1′1.67″36.6174.2/2.7throughflowThis study
17Lielais Vipēdes 56°35′28.07″
23°0′2.33″
9620.13.3/2.3throughflowThis study
18Lake Vaskaris 57°9′35.68″ 23°2′11.71″15.422.12.8/1throughflow[14]
19Lake Velnezers 56°58′34.47″ 24°14′48.84″4.53.56/3.5noneThis study
20Lake Sekšu 57°2′12.33″ 24°21′8.38″511.76/2.5inflow[14]
21Lake Mazais Baltezers 57°2′50.15″ 24°19′42.49″0.2198.710.3/4.6throughflowThis study
22Lake Lilastes 57°10′52.30″ 24°21′25.42″0.5183.63.2/2throughflowThis study
23Lake Āraišu 57°15′1.02″ 25°17′24.02″120.232.612.2/4throughflow[14]
24Lake Trikātas 57°32′28.40″ 25°42′52.31″50136.5/1.8throughflow[14]
25Lake Bricu 57°6′55.06″ 25°52′15.45″207.3162.7/1.3throughflow[14]
26Pond Esplanādes 55°52′18.51″ 26°30′23.69″89.41.53.2/2noneThis study
27Lake Gubiščes 55°53′3.92″ 26°33′43.89″10818.52/1noneThis study
28Lake Mazais Stropu 55°54′41.96″ 26°35′29.00″110.815.34.3/2.7outflowThis study
29Lake Lielais Stropu 55°54′41.96″ 26°35′29.00″110417.96.3/3.6throughflowThis study
30Lake Gluhoje 55°55′34.64″ 26°57′2.54″13.51.73.5/1.9noneThis study
31Lake Lielais Svētiņu 56°45′38.20″
27°8′57.84″
96.218.85.8/2.9throughflow[14]
32Lake Čertoks 56°5′1.88″ 27°6′59.13″1591.918.3/16noneThis study
33Lake Puderovas 56°36′19.19″ 27°13′17.91″145.99.74.5/1.5throughflowThis study
34Lake Zosnas 56°20′3.09″ 27°18′49.65″163.5156.515.4/6throughflowThis study
35Lake Dagdas 56°5′13.72″ 27°33′30.01″158.1484.119.2/5.2throughflowThis study
36Pond Dagdas 56°6′11.33″ 27°31′19.50″1620.332.4/1.2noneThis study
Table 2. Continentality index characteristics for the territory of Latvia after [17].
Table 2. Continentality index characteristics for the territory of Latvia after [17].
Continentality Index Air Temperature, °CMaximal Freezing of Soil, cmSnow Coverage, DaysMaximal Water Content in Snow, mmElevation, m a.s.l.Distance to Sea, km
January Annual Absolute MinimumAnnual Minimum
Weak−3.75.8−33.6−22.238.487393213
Moderate−5.25.5−35.5−25.544.897495446
Average−6.65.1−39.6−27.853.71147198109
Strong−7.44.9−40.5−29.257.812389154186
Publisher’s Note: MDPI stays neutral with regard to jurisdictional claims in published maps and institutional affiliations.

Share and Cite

MDPI and ACS Style

Stivrins, N.; Briede, A.; Steinberga, D.; Jasiunas, N.; Jeskins, J.; Kalnina, L.; Maksims, A.; Rendenieks, Z.; Trasune, L. Natural and Human-Transformed Vegetation and Landscape Reflected by Modern Pollen Data in the Boreonemoral Zone of Northeastern Europe. Forests 2021, 12, 1166. https://doi.org/10.3390/f12091166

AMA Style

Stivrins N, Briede A, Steinberga D, Jasiunas N, Jeskins J, Kalnina L, Maksims A, Rendenieks Z, Trasune L. Natural and Human-Transformed Vegetation and Landscape Reflected by Modern Pollen Data in the Boreonemoral Zone of Northeastern Europe. Forests. 2021; 12(9):1166. https://doi.org/10.3390/f12091166

Chicago/Turabian Style

Stivrins, Normunds, Agrita Briede, Dace Steinberga, Nauris Jasiunas, Jurijs Jeskins, Laimdota Kalnina, Alekss Maksims, Zigmars Rendenieks, and Liva Trasune. 2021. "Natural and Human-Transformed Vegetation and Landscape Reflected by Modern Pollen Data in the Boreonemoral Zone of Northeastern Europe" Forests 12, no. 9: 1166. https://doi.org/10.3390/f12091166

APA Style

Stivrins, N., Briede, A., Steinberga, D., Jasiunas, N., Jeskins, J., Kalnina, L., Maksims, A., Rendenieks, Z., & Trasune, L. (2021). Natural and Human-Transformed Vegetation and Landscape Reflected by Modern Pollen Data in the Boreonemoral Zone of Northeastern Europe. Forests, 12(9), 1166. https://doi.org/10.3390/f12091166

Note that from the first issue of 2016, this journal uses article numbers instead of page numbers. See further details here.

Article Metrics

Back to TopTop