The Physiological Restorative Role of Soundscape in Different Forest Structures
Abstract
1. Introduction
2. Methodology
2.1. Study Area
2.2. Physiological and Soundscape Information
2.2.1. Physiological Parameters
2.2.2. Soundscape Parameters
2.2.3. Stress Inducement
2.3. Physiological Restorativeness Soundscape Modeling
2.4. Procedure
2.4.1. Participants and Equipment Measuring
2.4.2. Statistical Analyses
3. Results
3.1. Relationship between Perceived Soundscape and Acoustical Parameters
3.2. Physiological Indicators in Different Forest Structures
3.2.1. Effect of Stress Inducement for Physiological Indicators
3.2.2. Variation Degree of Physiological Indicators
3.3. Modelling the Physiological Restorative Role of Soundscape
3.3.1. Relationship between Psychophysical and Physiological Parameters
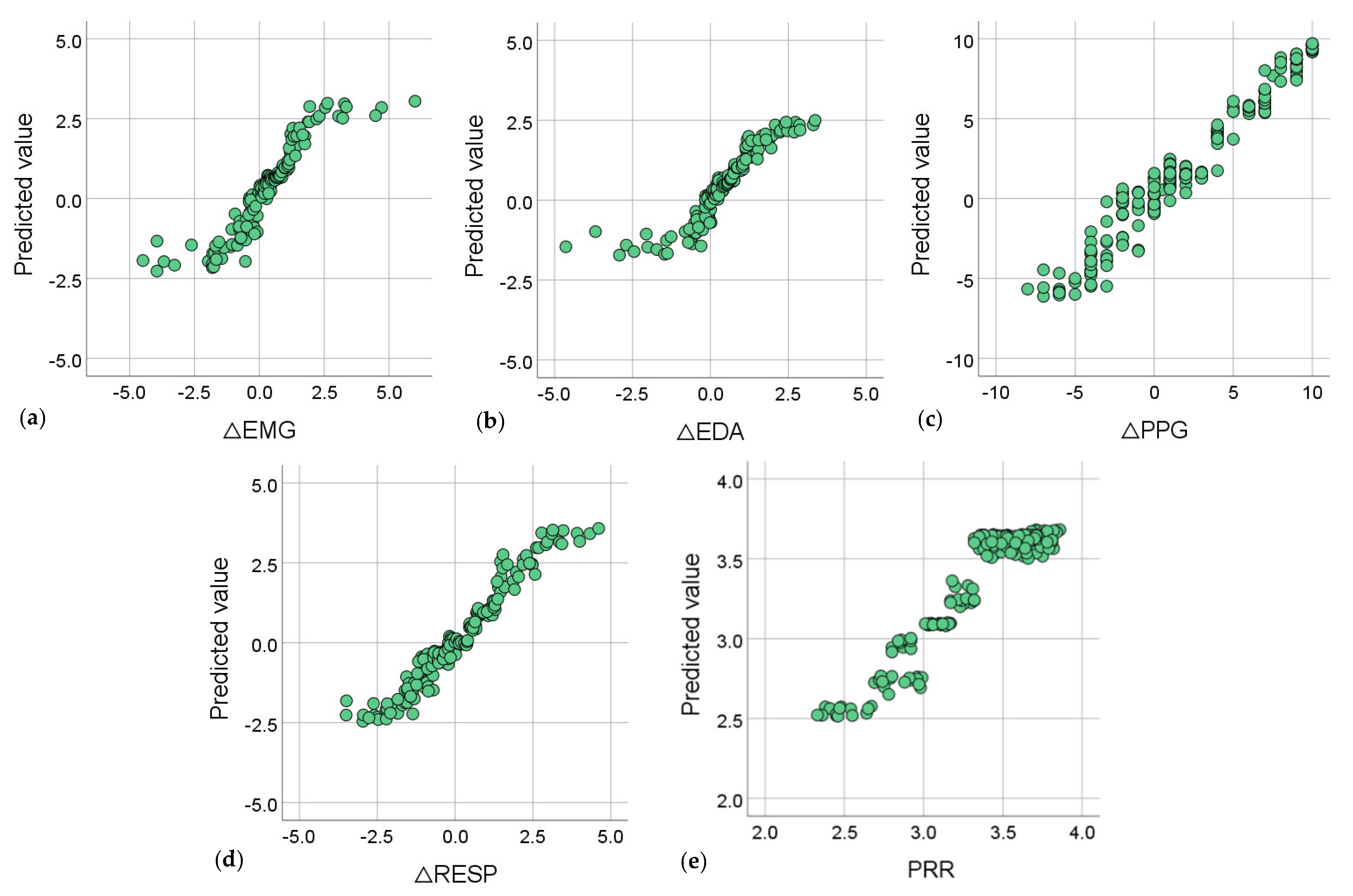
3.3.2. Back-Propagation Neural Network for PRS Model
4. Discussion
5. Conclusions
Author Contributions
Funding
Informed Consent Statement
Conflicts of Interest
References
- Leske, S.; Klves, K.; Crompton, D.; Arensman, E.; Leo, D.D. Real-time suicide mortality data from police reports in queensland, australia, during the COVID-19 pandemic: An interrupted time-series analysis. Lancet Psychiatry 2021, 8, 58–63. [Google Scholar] [CrossRef]
- Stec, K. Yoga and relaxation for promoting public health: A review of the practice and supportive research. Biomed. Hum. Kinet. 2020, 12, 133–140. [Google Scholar] [CrossRef]
- Lu, M.; Hu, S.; Mao, Z.; Liang, P.; Xin, S.; Guan, H. Research on work efficiency and light comfort based on EEG evaluation method—Sciencedirect. Build. Environ. 2020, 183, 107122. [Google Scholar] [CrossRef]
- Escobedo, F.; Giannico, V.; Jim, C.; Sanesi, G.; Lafortezza, R. Urban forests, ecosystem services, green infrastructure and nature-based solutions: Nexus or evolving metaphors? Urban For. Urban Green. 2019, 37, 3–12. [Google Scholar] [CrossRef]
- Qiu, M.; Sha, J.; Utomo, S. Listening to Forests: Comparing the Perceived Restorative Characteristics of Natural Soundscapes before and after the COVID-19 Pandemic. Sustainability 2021, 13, 293. [Google Scholar] [CrossRef]
- Wang, P.; He, Y.; Yang, W.; Li, N.; Chen, J. Effects of Soundscapes on Human Physiology and Psychology in Qianjiangyuan National Park System Pilot Area in China. Forests 2022, 13, 1461. [Google Scholar] [CrossRef]
- Shengyan, D.; Fude, S.; Lexiang, Q.; Xinxiang, C.; Shuang, L.; Haomin, L. Forest landscape patterns dynamics of Yihe-Luohe river basin. J. Geogr. Sci. 2003, 13, 153–162. [Google Scholar] [CrossRef]
- Han, L.; Shi, L.; Yang, F.; Xiang, X.Q.; Gao, L. Method for the evaluation of residents’ perceptions of their community based on landsenses ecology. J. Clean. Prod. 2020, 281, 124048. [Google Scholar]
- Boulos, M.K.; Al-Shorbaji, N.M. On the internet of things, smart cities and the who healthy cities. Int. J. Health Geogr. 2014, 13, 10. [Google Scholar] [CrossRef]
- Ding, R.; Logemann, J.A.; Larson, C.R.; Rademaker, A.W. The effects of taste and consistency on swallow physiology in younger and older healthy individualsa surface electromyographic study. J. Speech Lang. Hear. Res. 2014, 46, 977–989. [Google Scholar] [CrossRef]
- Yackinous, C.; Guinard, J.X. Relation between prop taster status and fat perception, touch, and olfaction. Physiol. Behav. 2001, 72, 427–437. [Google Scholar] [CrossRef]
- Xiao, J.; Tait, M.; Kang, J. A perceptual model of smellscape pleasantness. Cities 2018, 76, 105–115. [Google Scholar] [CrossRef]
- Hunt, D.F.; Hunt, H.; Park, J.H. Bioenergetic costs and state influence distance perception. Physiol. Behav. 2017, 180, 103–106. [Google Scholar] [CrossRef] [PubMed]
- Skoe, E.; Krizman, J.; Spitzer, E.; Kraus, N. The auditory brainstem is a barometer of rapid auditory learning. Neuroence 2013, 243, 104–114. [Google Scholar] [CrossRef]
- Bingham, G.P.; Winona, S.C.; Zhu, Q. Information about relative phase in bimanual coordination is modality specific (not amodal), but kinesthesis and vision can teach one another. Hum. Mov. Sci. 2018, 60, 98–106. [Google Scholar] [CrossRef]
- Liu, J. Towards a unified model of human information behavior: An equilibrium perspective. J. Doc. 2017, 73, 666–688. [Google Scholar] [CrossRef]
- Viaud-Delmon, I.; Warusfel, O. From ear to body: The auditory-motor loop in spatial cognition. Front. Neurosci. 2014, 9, 283. [Google Scholar] [CrossRef]
- Guo, X.; Liu, J.; Albert, C.; Hong, X.-C. Audio-visual interaction and visitor characteristics affect perceived soundscape restorativeness: Case study in five parks in China. Urban For. Urban Green. 2022, 77, 127738. [Google Scholar] [CrossRef]
- Steffens, J. When do we judge sounds? relevant everyday situations for the estimation of ecological validity of indoor soundscape experiments. J. Acoust. Soc. Am. 2013, 133, 3371. [Google Scholar] [CrossRef]
- ISO/TS 12913-1:2014. Acoustics–Soundscape–Part 1: Definition and Conceptual Framework; International Organization for Standardization ISO: Geneva, Switzerland, 2014.
- Hong, X.-C.; Wang, G.-Y.; Liu, J.; Dang, E. Perceived loudness sensitivity influenced by brightness in urban forests: A comparison when eyes were opened and closed. Forests 2013, 11, 1242. [Google Scholar] [CrossRef]
- Miller, Z.D.; Hallo, J.C.; Sharp, J.L.; Powell, R.B.; Lanham, J.D. Birding by ear: A study of recreational specialization and soundscape preference. Hum. Dimens. Wildl. 2014, 19, 498–511. [Google Scholar] [CrossRef]
- Hu, F.; Wang, Z.; Sheng, G.; Lia, X.; Chen, C.; Geng, D.; Hong, X.; Xu, N.; Zhu, Z.; Zhang, Z.; et al. Impacts of national park tourism sites: A perceptual analysis from residents of three spatial levels of local communities in Banff national park. Environ. Dev. Sustain. 2021, 24, 3126–3145. [Google Scholar] [CrossRef]
- Simkin, J.; Ojala, A.; Tyrvinen, L. Restorative effects of mature and young commercial forests, pristine old-growth forest and urban recreation forest—A field experiment. Urban For. Urban Green. 2020, 48, 126567. [Google Scholar] [CrossRef]
- Xu, X.; Wu, H. Audio-visual interactions enhance soundscape perception in China’s national parks. Urban For. Urban Green. 2020, 61, 127090. [Google Scholar] [CrossRef]
- Calleja, A.; Díaz-Balteiro, L.; Iglesias-Merchan, C.; Solio, M. Acoustic and economic valuation of soundscape: An application to the ‘retiro’ urban forest park. Urban For. Urban Green. 2017, 27, 272–278. [Google Scholar] [CrossRef]
- Payne, S.R. The production of a perceived restorativeness soundscape scale. Appl. Acoust. 2013, 74, 255–263. [Google Scholar] [CrossRef]
- Hong, X.; Wang, G.; Liu, J.; Lan, S. Cognitive persistence of soundscape in urban parks. Sustain. Cities Soc. 2019, 51, 17–26. [Google Scholar] [CrossRef]
- Kim, Y.H.; Hwang, I.H.; Hong, J.Y.; Lee, S.C. Effects of vegetation on soundscape of an urban religious precinct: Case study of Myeong-dong cathedral in Seoul. Build. Environ. 2019, 155, 389–398. [Google Scholar] [CrossRef]
- Chang, C.Y.; Hammitt, W.E.; Chen, P.K.; Machnik, L.; Su, W.C. Psychophysiological responses and restorative values of natural environments in taiwan. Landsc. Urban Plan. 2008, 85, 79–84. [Google Scholar] [CrossRef]
- Gathright, J.; Yamada, Y.; Morita, M. Comparison of the physiological and psychological benefits of tree and tower climbing. Urban For. Urban Green. 2006, 5, 141–149. [Google Scholar] [CrossRef]
- Shu, S.; Ma, H. Restorative effects of urban park soundscapes on children’s psychophysiological stress. Appl. Acoust. 2020, 164, 107293. [Google Scholar] [CrossRef]
- Korpela, K.M.; Klemettila, T.; Hietanen, J.K. Evidence for rapid affective evaluation of environmental scenes. Environ. Behav. 2002, 34, 634–650. [Google Scholar] [CrossRef]
- Kim, J.; Cha, S.H.; Koo, C.; Tang, S.-K. The effects of indoor plants and artificial windows in an underground environment. Build. Environ. 2018, 138, 53–62. [Google Scholar] [CrossRef]
- Martinsen, O.G.; Grimnes, S. Bioimpedance and Bioelectricity Basics; Academic Press: Pittsburgh, PA, USA, 2011. [Google Scholar]
- Elsadek, M.; Sun, M.; Sugiyama, R.; Fujii, E. Cross-cultural comparison of physiological and psychological responses to different garden styles. Urban For. Urban Green. 2019, 38, 74–83. [Google Scholar] [CrossRef]
- Calfee, C.S.; Delucchi, K.; Parsons, P.E.; Thompson, B.T.; Ware, L.B.; Matthay, M.A.; Nhlbi Ards Network. Subphenotypes in acute respiratory distress syndrome: Latent class analysis of data from two randomised controlled trials. Lancet Respir. Med. 2014, 2, 611–620. [Google Scholar] [CrossRef]
- Liu, L.; Qu, H.; Ma, Y.; Wang, K.; Qu, H. Restorative benefits of urban green space: Physiological, psychological restoration and eye movement analysis. J. Environ. Manag. 2022, 301, 113930. [Google Scholar] [CrossRef]
- Liu, Y.; Hu, M.; Zhao, B. Audio-visual interactive evaluation of the forest landscape based on eye-tracking experiments. Urban For. Urban Green. 2019, 46, 126476. [Google Scholar] [CrossRef]
- Ye, H.; Zhu, X. Study on the Effect of Spatial Characteristics and Health Restoration of Urban Parks in Harbin City in Autumn—Taking Zhaolin Park as an Example. J. Hum. Settl. West China 2018, 33, 73–79. [Google Scholar]
- Wang, Z.; Li, Y.; An, J.; Dong, W.; Li, H.; Ma, H.; Wang, J.; Wu, J.; Jiang, T.; Wang, G. Effects of Restorative Environment and Presence on Anxiety and Depression Based on Interactive Virtual Reality Scenarios. Int. J. Environ. Res. Public Health 2022, 19, 7878. [Google Scholar] [CrossRef]
- Huang, S.; Qi, J.; Li, W.; Dong, J.; Bosch, C.K.V.D. The Contribution to Stress Recovery and Attention Restoration Potential of Exposure to Urban Green Spaces in Low-Density Residential Areas. Int. J. Environ. Res. Public Health 2021, 18, 8713. [Google Scholar] [CrossRef]
- ISO/TS 12913-2:2018. Acoustics—Soundscape—Part 2: Data Collection and Reporting Requirements; International Organization for Standardization ISO: Geneva, Switzerland, 2018.
- Yu, L.; Kang, J. Modeling subjective evaluation of soundscape quality in urban open spaces: An artificial neural network approach. J. Acoust. Soc. Am. 2009, 126, 1163–1174. [Google Scholar] [CrossRef] [PubMed]
- Yang, J.; Yu, Y.; You, L. Segmentation by Visitor Motivation in Fuzhou National Forest Park: A Factor-Cluster Approach. Scientia Silvae Sin. 2015, 51, 106–116. [Google Scholar]
- Perfect, T.J.; Andrade, J.; Eagan, I. Eye closure reduces the cross-modal memory impairment caused by auditory distraction. J. Exp. Psychol. Learn. Mem. Cogn. 2011, 37, 1008–1013. [Google Scholar] [CrossRef]
- Nichols, S.M.; Bradley, D.L. Characterization of very low frequency ambient noise by principal component analysis. J. Acoust. Soc. Am. 2016, 140, 3352. [Google Scholar] [CrossRef]
- Zhang, X.; Ba, M.; Kang, J.; Meng, Q. Effect of soundscape dimensions on acoustic comfort in urban open public spaces. Appl. Acoust. 2018, 133, 73–81. [Google Scholar] [CrossRef]
- Ma, K.W.; Mak, C.M.; Hai, M.W. Effects of environmental sound quality on soundscape preference in a public urban space. Appl. Acoust. 2021, 171, 107570. [Google Scholar] [CrossRef]
- Farina, A. Soundscape Ecology: Principles, Patterns, Methods and Applications; Springer: Berlin/Heidelberg, Germany, 2021. [Google Scholar]
- Hong, X.; Liu, J.; Wang, G.; Jiang, Y.; Wu, S.; Lan, S. Factors influencing the harmonious degree of soundscapes in urban forests: A comparison of broad-leaved and coniferous forests. Urban For. Urban Green. 2019, 39, 18–25. [Google Scholar] [CrossRef]
- Nilsson, K. Papers from sessions on forests, trees and human health and wellbeing. Urban For. Urban Green. 2006, 5, 109. [Google Scholar] [CrossRef]
- Cerwén, G.; Mossberg, F. Implementation of Quiet Areas in Sweden. Int. J. Environ. Res. Public Health 2019, 16, 134. [Google Scholar] [CrossRef]
- Hong, X.-C.; Wang, G.-Y.; Liu, J.; Song, L.; Wu, E.T. Modeling the impact of soundscape drivers on perceived birdsongs in urban forests. J. Clean. Prod. 2021, 292, 125315. [Google Scholar] [CrossRef]
- Hong, X.-C.; Zhu, Z.-P.; Liu, J.; Geng, D.-H.; Wang, G.-Y.; Lan, S.-R. Perceived occurrences of soundscape influencing pleasantness in urban forests: A comparison of broad-leaved and coniferous forests. Sustainability 2019, 11, 4789. [Google Scholar] [CrossRef]
- Payne, S.R.; Guastavino, C. Exploring the validity of the perceived restorativeness soundscape scale: A psycholinguistic approach. Front. Psychol. 2018, 9, 2224. [Google Scholar] [CrossRef] [PubMed]
- Dijk, P.V.; Başkent, D.; Gaudrain, E.; Kleine, E.D.; Wagner, A.; Lanting, C. Physiology, psychoacoustics and cognition in normal and impaired hearing. In Advances in Experimental Medicine Biology; Springer International Publishing: Berlin/Heidelberg, Germany, 2017. [Google Scholar]
- Erfanian, M.; Mitchell, A.; Aletta, F.; Kang, J. Psychological well-being and demographic factors can mediate soundscape pleasantness and eventfulness: A large sample study. J. Environ. Psychol. 2021, 77, 101660. [Google Scholar] [CrossRef]
- Embleton, T.F.W. Sound propagation in homogeneous deciduous and evergreen woods. J. Acoust. Soc. Am. 1963, 35, 1119. [Google Scholar] [CrossRef]






| Bamboo Forests | Broad-Leaved Forests | Coniferous Forests | Coniferous and Broad-Leaved Mixed Forests | |
|---|---|---|---|---|
| L10 | −0.825 ** | −0.666 * | −0.821 ** | −0.689 * |
| L90 | −0.562 ** | −0.441 | −0.314 | −0.279 |
| L10-L90 | −0.720 * | −0.595 * | −0.967 ** | −0.793 ** |
| LAeq | −0.847 ** | −0.753 ** | −0.676 * | −0.709 * |
| EMG | EDA | PPG | RESP | |
|---|---|---|---|---|
| Baseline value (BL) | 2.847 | 0.925 | 39.104 | 10.052 |
| Pre-test value (Pr) | 4.735 | 1.607 | 39.890 | 10.536 |
| Pr-BL | 1.888 | 0.681 | 0.786 | 0.484 |
| t value | 9.874 ** | 7.105 ** | 2.482 ** | 2.561 ** |
| Bamboo Forests | Broad-Leaved Forests | Coniferous Forests | Coniferous and Broad-Leaved Mixed Forests | ||
|---|---|---|---|---|---|
| EMG | Pr | 4.477 | 4.572 | 4.979 | 4.912 |
| Po | 3.800 | 4.335 | 4.413 | 4.436 | |
| ΔEMG | −0.677 | −0.237 | −0.566 | −0.476 | |
| t value | −4.171 ** | −2.058 * | −3.637 * | −2.403 * | |
| EDA | Pr | 1.562 | 1.638 | 1.616 | 1.611 |
| Po | 1.017 | 1.404 | 1.227 | 1.277 | |
| ΔEDA | −0.546 | −0.234 | −0.389 | −0.334 | |
| t value | −4.628 ** | −1.561 | 3.343 ** | −1.764 | |
| PPG | Pr | 39.854 | 39.781 | 40.229 | 39.698 |
| Po | 38.083 | 39.708 | 39.208 | 40.917 | |
| ΔPPG | −1.770 | −0.724 | −0.020 | 1.219 | |
| t value | −3.313 ** | −0.125 | −1.226 | 1.204 | |
| RESP | Pr | 10.57 | 10.438 | 10.565 | 10.577 |
| Po | 10.034 | 10.276 | 10.134 | 10.495 | |
| ΔRESP | −0.536 | −0.161 | −0.430 | −0.076 | |
| t value | −3.062 ** | −1.058 | −2.832 ** | −0.361 |
| Varimax-Rotated Component (Explained Variance, %) | ||
|---|---|---|
| Functional Parameter (66.22) | Background Sound (21.68) | |
| LAeq | 0.645 | 0.666 |
| L10 | 0.704 | 0.555 |
| L90 | 0.146 | 0.961 |
| L10-L90 | 0.912 | 0.225 |
| PL | −0.842 | −0.290 |
| PRR | −0.880 | −0.192 |
| ΔEMG | 0.880 | 0.314 |
| ΔEDA | 0.899 | 0.296 |
| ΔPPG | 0.943 | 0.247 |
| ΔRESP | 0.935 | 0.320 |
| Parameters | Percent Correct (%) | |
|---|---|---|
| Training | ΔEMG | 84.1 |
| ΔEDA | 80.9 | |
| ΔPPG | 95.7 | |
| ΔRESP | 94.8 | |
| PRR | 88.3 | |
| Overall percent | 90.8 | |
| Testing | ΔEMG | 81.1 |
| ΔEDA | 87.2 | |
| ΔPPG | 95.6 | |
| ΔRESP | 92.9 | |
| PRR | 86.2 | |
| Overall percent | 90.1 |
Publisher’s Note: MDPI stays neutral with regard to jurisdictional claims in published maps and institutional affiliations. |
© 2022 by the authors. Licensee MDPI, Basel, Switzerland. This article is an open access article distributed under the terms and conditions of the Creative Commons Attribution (CC BY) license (https://creativecommons.org/licenses/by/4.0/).
Share and Cite
Hong, X.-C.; Cheng, S.; Liu, J.; Dang, E.; Wang, J.-B.; Cheng, Y. The Physiological Restorative Role of Soundscape in Different Forest Structures. Forests 2022, 13, 1920. https://doi.org/10.3390/f13111920
Hong X-C, Cheng S, Liu J, Dang E, Wang J-B, Cheng Y. The Physiological Restorative Role of Soundscape in Different Forest Structures. Forests. 2022; 13(11):1920. https://doi.org/10.3390/f13111920
Chicago/Turabian StyleHong, Xin-Chen, Shi Cheng, Jiang Liu, Emily Dang, Jia-Bing Wang, and Yuning Cheng. 2022. "The Physiological Restorative Role of Soundscape in Different Forest Structures" Forests 13, no. 11: 1920. https://doi.org/10.3390/f13111920
APA StyleHong, X.-C., Cheng, S., Liu, J., Dang, E., Wang, J.-B., & Cheng, Y. (2022). The Physiological Restorative Role of Soundscape in Different Forest Structures. Forests, 13(11), 1920. https://doi.org/10.3390/f13111920

