Effects of the Root System Architecture of Pinus taeda and Phyllostachys edulis on the Index of Hydrological Connectivity in Subtropical Forest Ecosystems
Abstract
1. Introduction
2. Materials and Methods
2.1. Study Area
2.2. Experimental Plots
2.3. Soil Analysis
2.4. Root System Architecture Parameters Acquisition
2.5. Field Dye-Tracing Experiments
2.6. IHC Characterization
2.7. Back Propagation (BP) Neural Networks
2.8. Data Analysis
3. Results
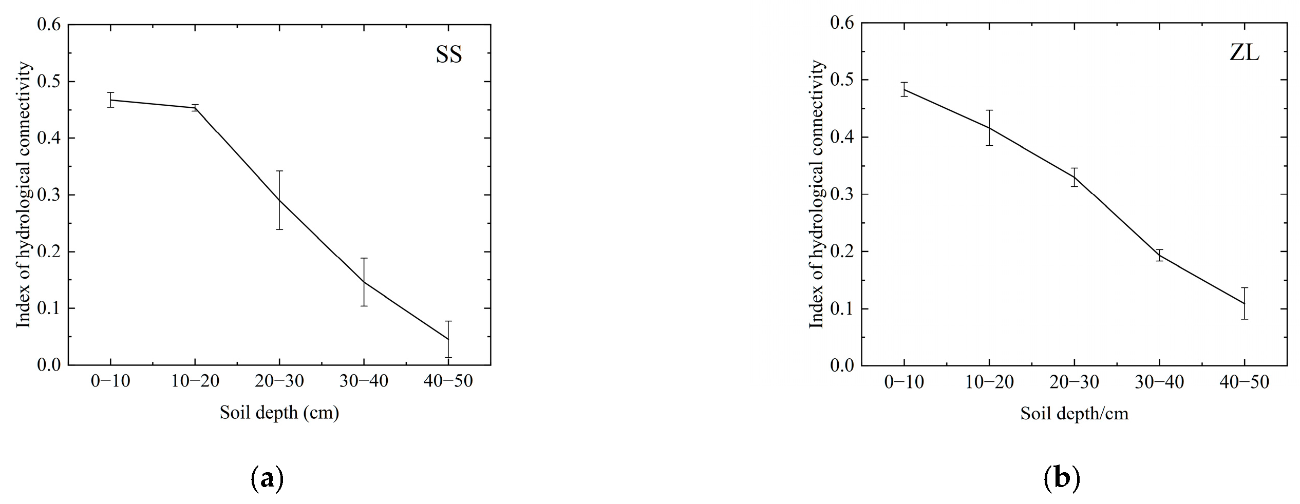
3.1. Calculation of IHC within the Soils Using DC and FD
3.2. Interaction between the Root System and IHC
4. Discussion
4.1. Hydrological Connectivity Evaluation Based on IHC
4.2. Root Systems and Hydrological Connectivity
5. Conclusions
Author Contributions
Funding
Data Availability Statement
Acknowledgments
Conflicts of Interest
References
- Zhang, M.; Liu, N.; Harper, R.; Li, Q.; Liu, K.; Wei, X.; Ning, D.; Hou, Y.; Liu, S. A global review on hydrological responses to forest change across multiple spatial scales: Importance of scale, climate, forest type and hydrological regime. J. Hydrol. 2017, 546, 44–59. [Google Scholar] [CrossRef]
- Guo, G.; Li, X.; Zhu, X.; Xu, Y.; Dai, Q.; Zeng, G.; Lin, J. Effect of Forest Management Operations on Aggregate-Associated SOC Dynamics Using a 137Cs Tracing Method. Forests 2021, 12, 859. [Google Scholar] [CrossRef]
- Bruijnzeel, L. Hydrological functions of tropical forests: Not seeing the soil for the trees? Agric. Ecosyst. Environ. 2004, 104, 185–228. [Google Scholar] [CrossRef]
- Lexartza-Artza, I.; Wainwright, J. Hydrological connectivity: Linking concepts with practical implications. CATENA 2009, 79, 146–152. [Google Scholar] [CrossRef]
- Freeman, M.C.; Pringle, C.M.; Jackson, C.R. Hydrologic Connectivity and the Contribution of Stream Headwaters to Ecological Integrity at Regional Scales1. J. Am. Water Resour. Assoc. 2007, 43, 5–14. [Google Scholar] [CrossRef]
- Wainwright, J.; Turnbull, L.; Ibrahim, T.G.; Lexartza-Artza, I.; Thornton, S.F.; Brazier, R.E. Linking environmental régimes, space and time: Interpretations of structural and functional connectivity. Geomorphology 2011, 126, 387–404. [Google Scholar] [CrossRef]
- Li, Y.; Zhang, Q.; Cai, Y.; Tan, Z.; Wu, H.; Liu, X.; Yao, J. Hydrodynamic investigation of surface hydrological connectivity and its effects on the water quality of seasonal lakes: Insights from a complex floodplain setting (Poyang Lake, China). Sci. Total. Environ. 2019, 660, 245–259. [Google Scholar] [CrossRef]
- Nanda, A.; Sen, S.; McNamara, J.P. How spatiotemporal variation of soil moisture can explain hydrological connectivity of infiltration-excess dominated hillslope: Observations from lesser Himalayan landscape. J. Hydrol. 2019, 579, 124146. [Google Scholar] [CrossRef]
- Beven, K.; Germann, P. Macropores and water flow in soils revisited. Water Resour. Res. 2013, 49, 3071–3092. [Google Scholar] [CrossRef]
- Van Noordwijk, M.; Widianto; Heinen, M.; Hairiah, K. Old tree root channels in acid soils in the humid tropics: Important for crop root penetration, water infiltration and nitrogen management. Plant Soil 1991, 134, 423–430. [Google Scholar] [CrossRef]
- Zhang, Y.H.; Huang, C.Y.; Zhang, W.Q.; Chen, J.H.; Wang, L. The concept, approach, and future research of hydrological connectivity and its assessment at multiscales. Environ. Sci. Pollut. Res. 2021, 28, 52724–52743. [Google Scholar] [CrossRef]
- Alaoui, A.; Caduff, U.; Gerke, H.H.; Weingartner, R. Preferential Flow Effects on Infiltration and Runoff in Grassland and Forest Soils. Vadose Zone J. 2011, 10, 367–377. [Google Scholar] [CrossRef]
- Wilson, G.V.; Nieber, J.L.; Fox, G.; Dabney, S.M.; Ursic, M.; Rigby, J.R. Hydrologic connectivity and threshold behavior of hillslopes with fragipans and soil pipe networks. Hydrol. Process. 2017, 31, 2477–2496. [Google Scholar] [CrossRef]
- Wine, M.L.; Ochsner, T.E.; Sutradhar, A.; Pepin, R. Effects of eastern redcedar encroachment on soil hydraulic properties along Oklahoma’s grassland-forest ecotone. Hydrol. Process. 2012, 26, 1720–1728. [Google Scholar] [CrossRef]
- Hildebrandt, A. Root-Water Relations and Interactions in Mixed Forest Settings. For.-Water Interact. 2020, 240, 319–348. [Google Scholar] [CrossRef]
- Liyi, D.; Yinghu, Z.; Ying, L.; Lumeng, X.; Shiqiang, Z.; Zhenming, Z. Thick roots and less microaggregates improve hydrological connectivity. Chemosphere 2021, 266, 129008. [Google Scholar] [CrossRef] [PubMed]
- Ameli, A.A.; Creed, I.F. Quantifying hydrologic connectivity of wetlands to surface water systems. Hydrol. Earth Syst. Sci. 2017, 21, 1791–1808. [Google Scholar] [CrossRef]
- Shore, M.; Murphy, P.; Jordan, P.; Mellander, P.-E.; Kelly-Quinn, M.; Cushen, M.; Mechan, S.; Shine, O.; Melland, A. Evaluation of a surface hydrological connectivity index in agricultural catchments. Environ. Model. Softw. 2013, 47, 7–15. [Google Scholar] [CrossRef]
- Zhang, Y.H.; Jiang, J.; Zhang, J.C.; Zhang, Z.M.; Zhang, M.X. Effects of roots systems on hydrological connectivity below the soil surface in the Yellow River Delta wetland. Ecohydrology 2021, 15, e2393. [Google Scholar] [CrossRef]
- Liu, J.; Engel, B.A.; Zhang, G.; Wang, Y.; Wu, Y.; Zhang, M.; Zhang, Z. Hydrological connectivity: One of the driving factors of plant communities in the Yellow River Delta. Ecol. Indic. 2020, 112, 106150. [Google Scholar] [CrossRef]
- Saco, P.M.; Rodríguez, J.F.; Moreno-De Las Heras, M.; Keesstra, S.; Azadi, S.; Sandi, S.; Baartman, J.; Rodrigo-Comino, J.; Rossi, M.J. Using hydrological connectivity to detect transitions and degradation thresholds: Applications to dryland systems. CATENA 2020, 186, 104354. [Google Scholar] [CrossRef]
- Schwärzel, K.; Ebermann, S.; Schalling, N. Evidence of double-funneling effect of beech trees by visualization of flow pathways using dye tracer. J. Hydrol. 2012, 470–471, 184–192. [Google Scholar] [CrossRef]
- James, A.; Roulet, N.T. Investigating hydrologic connectivity and its association with threshold change in runoff response in a temperate forested watershed. Hydrol. Process. 2007, 21, 3391–3408. [Google Scholar] [CrossRef]
- Licznar, P.; Nearing, M. Artificial neural networks of soil erosion and runoff prediction at the plot scale. Catena 2003, 51, 89–114. [Google Scholar] [CrossRef]
- Naz, M.; Uyanik, S.; Yesilnacar, M.I.; Sahinkaya, E. Side-by-side comparison of horizontal subsurface flow and free water surface flow constructed wetlands and artificial neural network (ANN) modelling approach. Ecol. Eng. 2009, 35, 1255–1263. [Google Scholar] [CrossRef]
- Wen, H.; Bi, J.; Guo, D. Calculation of the thermal conductivities of fine-textured soils based on multiple linear regression and artificial neural networks. Eur. J. Soil Sci. 2020, 71, 568–579. [Google Scholar] [CrossRef]
- Zhang, Y.H.; Chen, J.H.; Zhang, J.C.; Zhang, Z.; Zhang, M. Novel indicator for assessing wetland degradation based on the index of hydrological connectivity and its correlation with the root-soil interface. Ecol. Indic. 2021, 133, 108392. [Google Scholar] [CrossRef]
- Li, J.; Wang, Y.K.; Guo, Z.; Li, J.B.; Tian, C.; Hua, D.W.; Shi, C.D.; Wang, H.Y.; Han, J.C.; Xu, Y. Effects of Conservation Tillage on Soil Physicochemical Properties and Crop Yield in an Arid Loess Plateau, China. Sci. Rep. 2020, 10, 4716. [Google Scholar] [CrossRef] [PubMed]
- Liu, Y.L.; Li, C.L.; Gao, M.X.; Zhang, M.; Zhao, G.X. Effect of different land-use patterns on the physical characteristics of the soil in the Yellow River delta region. Acta Ecol. Sin. 2015, 35, 5183–5190. [Google Scholar] [CrossRef][Green Version]
- Wang, M.B.; Zhang, Q. Issues in using the WinRHIZO system to determine physical characteristics of plant fine roots. Acta Ecol. Sin. 2009, 29, 136–138. [Google Scholar] [CrossRef]
- Ghodrati, M.; Jury, W.A. A Field Study Using Dyes to Characterize Preferential Flow of Water. Soil Sci. Soc. Am. J. 1990, 54, 1558–1563. [Google Scholar] [CrossRef]
- Bracken, L.J.; Wainwright, J.; Ali, G.A.; Tetzlaff, D.; Smith, M.W.; Reaney, S.M.; Roy, A.G. Concepts of hydrological connectivity: Research approaches, pathways and future agendas. Earth-Sci. Rev. 2013, 119, 17–34. [Google Scholar] [CrossRef]
- Gjettermann, B.; Nielsen, K.; Petersen, C.; Jensen, H.; Hansen, S. Preferential flow in sandy loam soils as affected by irrigation intensity. Soil Technol. 1997, 11, 139–152. [Google Scholar] [CrossRef]
- Ogawa, S.; Baveye, P.; Boast, C.W.; Parlange, J.Y.; Steenhuis, T. Surface fractal characteristics of preferential flow patterns in field soils: Evaluation and effect of image processing. Geoderma 1999, 88, 109–136. [Google Scholar] [CrossRef]
- Rumelhart, D.E.; Hinton, G.E.; Williams, R.J. Learning representations by back-propagating errors. Nature 1986, 323, 533–536. [Google Scholar] [CrossRef]
- Zhu, L.; Gong, H.; Dai, Z.; Xu, T.; Su, X. An integrated assessment of the impact of precipitation and groundwater on vegetation growth in arid and semiarid areas. Environ. Earth Sci. 2015, 74, 5009–5021. [Google Scholar] [CrossRef]
- Ebel, B.A.; Martin, D.A. Meta-analysis of field-saturated hydraulic conductivity recovery following wildland fire: Applications for hydrologic model parameterization and resilience assessment. Hydrol. Process. 2017, 31, 3682–3696. [Google Scholar] [CrossRef]
- Leslie, I.N.; Heinse, R.; Smith, A.M.S.; McDaniel, P.A. Root Decay and Fire Affect Soil Pipe Formation and Morphology in Forested Hillslopes with Restrictive Horizons. Soil Sci. Soc. Am. J. 2014, 78, 1448–1457. [Google Scholar] [CrossRef]
- Karimi, Z.; Abdi, E.; Deljouei, A.; Cislaghi, A.; Shirvany, A.; Schwarz, M.; Hales, T.C. Vegetation-induced soil stabilization in coastal area: An example from a natural mangrove forest. CATENA 2022, 216, 106410. [Google Scholar] [CrossRef]
- Leung, A.K.; Boldrin, D.; Liang, T.; Wu, Z.Y.; Kamchoom, V.; Bengough, A.G. Plant age effects on soil infiltration rate during early plant establishment. Géotechnique 2018, 68, 646–652. [Google Scholar] [CrossRef]
- Fung, T.K.; Richards, D.R.; Leong, R.A.T.; Ghosh, S.; Tan, C.W.J.; Drillet, Z.; Leong, K.L.; Edwards, P.J. Litter decomposition and infiltration capacities in soils of different tropical urban land covers. Urban Ecosyst. 2022, 25, 21–34. [Google Scholar] [CrossRef]
- Jordán, A.; Martínez-Zavala, L.; Bellinfante, N. Heterogeneity in soil hydrological response from different land cover types in southern Spain. CATENA 2008, 74, 137–143. [Google Scholar] [CrossRef]
- Dunkerley, D. Percolation through leaf litter: What happens during rainfall events of varying intensity? J. Hydrol. 2015, 525, 737–746. [Google Scholar] [CrossRef]
- Pavão, L.L.; Sanches, L.; Júnior, O.B.P.; Spolador, J. The influence of litter on soil hydro-physical characteristics in an area of Acuri palm in the Brazilian Pantanal. Ecohydrol. Hydrobiol. 2019, 19, 642–650. [Google Scholar] [CrossRef]
- Xia, L.; Song, X.; Fu, N.; Cui, S.; Li, L.; Li, H.; Li, Y. Effects of forest litter cover on hydrological response of hillslopes in the Loess Plateau of China. CATENA 2019, 181, 104076. [Google Scholar] [CrossRef]
- Zhou, Q.; Keith, D.; Zhou, X.; Cai, M.; Cui, X.; Wei, X.; Luo, Y. Comparing the Water-holding Characteristics of Broadleaved, Coniferous, and Mixed Forest Litter Layers in a Karst Region. Mt. Res. Dev. 2018, 38, 220–229. [Google Scholar] [CrossRef]
- Guo, P.; Jiang, H.; Yu, S.; Ma, Y.; Dou, R.; Song, X. Comparason of Litter Decomposition of Six Species of Coniferous and Broad-leaved Trees in Subtropical China. Chin. J. Appl. Environ. Biol. 2009, 2009, 655–659. [Google Scholar] [CrossRef]
- Osono, T. Leaf litter decomposition of 12 tree species in a subtropical forest in Japan. Ecol. Res. 2017, 32, 413–422. [Google Scholar] [CrossRef]
- Sun, D.; Yang, H.; Guan, D.; Yang, M.; Wu, J.; Yuan, F.; Jin, C.; Wang, A.; Zhang, Y. The effects of land use change on soil infiltration capacity in China: A meta-analysis. Sci. Total. Environ. 2018, 626, 1394–1401. [Google Scholar] [CrossRef] [PubMed]
- Alaoui, A. Modelling susceptibility of grassland soil to macropore flow. J. Hydrol. 2015, 525, 536–546. [Google Scholar] [CrossRef]
- Lange, B.; Lüescher, P.; Germann, P.F. Significance of tree roots for preferential infiltration in stagnic soils. Hydrol. Earth Syst. Sci. 2009, 13, 1809–1821. [Google Scholar] [CrossRef]
- Cui, Z.; Wu, G.L.; Huang, Z.; Liu, Y. Fine roots determine soil infiltration potential than soil water content in semi-arid grassland soils. J. Hydrol. 2019, 578, 124023. [Google Scholar] [CrossRef]
- Wu, G.L.; Yang, Z.; Cui, Z.; Liu, Y.; Fang, N.F.; Shi, Z.H. Mixed artificial grasslands with more roots improved mine soil infiltration capacity. J. Hydrol. 2016, 535, 54–60. [Google Scholar] [CrossRef]
- Cui, Y.; Zhang, Y.H.; Zhou, S.J.; Pan, Y.Y.; Wang, R.Q.; Li, Z.; Zhang, Z.M.; Zhang, M.X. Cracks and root channels promote both static and dynamic vertical hydrological connectivity in the Yellow River Delta. J. Clean. Prod. 2022, 367, 132972. [Google Scholar] [CrossRef]
- van Schaik, N.L.M.B. Spatial variability of infiltration patterns related to site characteristics in a semi-arid watershed. CATENA 2009, 78, 36–47. [Google Scholar] [CrossRef]
- Ghestem, M.; Sidle, R.C.; Stokes, A. The Influence of Plant Root Systems on Subsurface Flow: Implications for Slope Stability. Bioscience 2011, 61, 869–879. [Google Scholar] [CrossRef]
- Bodner, G.; Leitner, D.; Kaul, H.-P. Coarse and fine root plants affect pore size distributions differently. Plant Soil 2014, 380, 133–151. [Google Scholar] [CrossRef] [PubMed]
- Zhang, X.; Wang, W. The decomposition of fine and coarse roots: Their global patterns and controlling factors. Sci. Rep. 2015, 5, 9940. [Google Scholar] [CrossRef] [PubMed]
- Liu, Y.; Guo, L.; Huang, Z.; López-Vicente, M.; Wu, G.L. Root morphological characteristics and soil water infiltration capacity in semi-arid artificial grassland soils. Agric. Water Manag. 2020, 235, 106153. [Google Scholar] [CrossRef]
- Yavitt, J.B.; Harms, K.E.; Garcia, M.N.; Mirabello, M.J.; Wright, S.J. Soil fertility and fine root dynamics in response to 4 years of nutrient (N, P, K) fertilization in a lowland tropical moist forest, Panama. Austral Ecol. 2011, 36, 433–445. [Google Scholar] [CrossRef]
- Cui, L.L.; Li, X.; Lin, J.; Guo, G.; Zhang, X.; Zeng, G.R. The mineralization and sequestration of soil organic carbon in relation to gully erosion. CATENA 2022, 214, 106218. [Google Scholar] [CrossRef]
- Guan, X.; Jiang, J.; Jing, X.; Feng, W.T.; Luo, Z.K.; Wang, Y.G.; Xu, X.; Luo, Y.Q. Optimizing duration of incubation experiments for understanding soil carbon decomposition. GEODERMA 2022, 428, 116225. [Google Scholar] [CrossRef]








| Sites | Forest Communities | Coordinate | Altitude (m) | Origin | Forest Mean Height (m) | Canopy Density (%) |
|---|---|---|---|---|---|---|
| Pine forest (SS) | Pinus taeda and Camellia oleifera | 32°7′8″ N, 119°13′33″ E | 108.02 | Artificial | 10.39 | 80 |
| Bamboo forest (ZL) | Phyllostachys edulis | 32°7′8″ N, 119°13′9″ E | 106.46 | Artificial | 7.56 | 85 |
| Sites | Soil Depth (cm) | Soil Particle Size Distribution | Soil Water Content | Soil Bulk Density (g/cm3) | Soil Total Porosity | ||
|---|---|---|---|---|---|---|---|
| Clay (%) | Silt (%) | Sand (%) | |||||
| Pine forest (SS) | 0–10 | 0.58 | 89.43 | 10.57 | 0.158 | 0.985 | 0.551 |
| 10–20 | 1.61 | 87.07 | 12.93 | 0.129 | 1.242 | 0.510 | |
| 20–30 | 1.79 | 91.43 | 8.57 | 0.108 | 1.314 | 0.476 | |
| 30–40 | 0.47 | 81.53 | 18.47 | 0.089 | 1.431 | 0.424 | |
| 40–50 | 1.89 | 87.42 | 12.58 | 0.081 | 1.473 | 0.408 | |
| Bamboo Forest (ZL) | 0–10 | 1.59 | 76.92 | 23.07 | 0.194 | 1.135 | 0.539 |
| 10–20 | 0.56 | 81.95 | 18.05 | 0.192 | 1.178 | 0.511 | |
| 20–30 | 1.85 | 78.86 | 21.14 | 0.156 | 1.234 | 0.500 | |
| 30–40 | 2.14 | 69.16 | 30.84 | 0.207 | 1.297 | 0.478 | |
| 40–50 | 1.40 | 71.09 | 28.90 | 0.243 | 1.476 | 0.417 | |
| Sites | Soil Depth (cm) | Root Length (cm/100 cm3) | Root Projected Area (cm2/100 cm3) | Root Surface Area (cm2/100 cm3) | Root Average Diameter (mm/100 cm3) | Root Volume (cm3/100 cm3) | Root Biomass (g/100 cm3) |
|---|---|---|---|---|---|---|---|
| Pine forest (SS) | 0–10 | 184.93 ± 65.48 | 6.73 ± 2.36 | 21.14 ± 7.42 | 0.37 ± 0.06 | 0.20 ± 0.09 | 0.14 ± 0.06 |
| 10–20 | 85.67 ± 53.50 | 3.99 ± 2.68 | 12.52 ± 8.43 | 0.47 ± 0.21 | 0.17 ± 0.17 | 0.10 ± 0.11 | |
| 20–30 | 42.87 ± 19.01 | 1.89 ± 1.17 | 5.95 ± 3.69 | 0.42 ± 0.13 | 0.07 ± 0.06 | 0.05 ± 0.05 | |
| 30–40 | 36.03 ± 18.07 | 1.46 ± 0.85 | 4.58 ± 2.66 | 0.41 ± 0.15 | 0.05 ± 0.04 | 0.04 ± 0.05 | |
| 40–50 | 27.32 ± 12.04 | 1.22 ± 0.92 | 3.85 ± 2.90 | 0.41 ± 0.24 | 0.05 ± 0.07 | 0.03 ± 0.07 | |
| Bamboo forest (ZL) | 0–10 | 723.71 ± 486.99 | 36.65 ± 22.52 | 115.15 ± 70.76 | 0.52 ± 0.06 | 1.48 ± 0.86 | 1.21 ± 0.62 |
| 10–20 | 409.32 ± 189.40 | 22.36 ± 10.56 | 70.24 ± 33.17 | 0.55 ± 0.08 | 0.98 ± 0.53 | 0.78 ± 0.50 | |
| 20–30 | 259.56 ± 217.65 | 13.78 ± 11.4 | 43.28 ± 35.80 | 0.53 ± 0.10 | 0.59 ± 0.50 | 0.53 ± 0.52 | |
| 30–40 | 189.51 ± 170.42 | 9.07 ± 7.35 | 28.48 ± 23.09 | 0.50 ± 0.13 | 0.35 ± 0.27 | 0.32 ± 0.30 | |
| 40–50 | 101.52 ± 61.67 | 4.86 ± 3.34 | 15.26 ± 10.51 | 0.45 ± 0.10 | 0.19 ± 0.17 | 0.13 ± 0.17 |
| Site | Root System Parameters | Roots Diameters | ||||
|---|---|---|---|---|---|---|
| 0 < D < 1 | 1 < D < 2 | 2 < D < 3 | 3 < D < 4 | D > 4 | ||
| Pine forest (SS) | Root length | 0.599 ** | 0.569 ** | 0.386 * | 0.396 * | 0.085 |
| Root projected area | 0.624 ** | 0.345 | 0.389 * | 0.405 * | −0.024 | |
| Root surface area | 0.605 ** | 0.461 * | 0.377 * | 0.405 * | −0.024 | |
| Root volume | 0.590 ** | 0.529 ** | 0.427 * | 0.426 * | 0.044 | |
| Bamboo forest (ZL) | Root length | 0.837 ** | 0.868 ** | 0.692 ** | 0.709 ** | 0.430 |
| Root projected area | 0.889 ** | 0.592 * | 0.649 ** | 0.729 ** | 0.017 | |
| Root surface area | 0.879 ** | 0.756 ** | 0.669 ** | 0.729 ** | 0.017 | |
| Root volume | 0.894** | 0.833 ** | 0.687 ** | 0.744 ** | 0.106 | |
Publisher’s Note: MDPI stays neutral with regard to jurisdictional claims in published maps and institutional affiliations. |
© 2022 by the authors. Licensee MDPI, Basel, Switzerland. This article is an open access article distributed under the terms and conditions of the Creative Commons Attribution (CC BY) license (https://creativecommons.org/licenses/by/4.0/).
Share and Cite
Zhang, W.; Wang, L.; Tang, Z.; Zhang, Y. Effects of the Root System Architecture of Pinus taeda and Phyllostachys edulis on the Index of Hydrological Connectivity in Subtropical Forest Ecosystems. Forests 2022, 13, 2008. https://doi.org/10.3390/f13122008
Zhang W, Wang L, Tang Z, Zhang Y. Effects of the Root System Architecture of Pinus taeda and Phyllostachys edulis on the Index of Hydrological Connectivity in Subtropical Forest Ecosystems. Forests. 2022; 13(12):2008. https://doi.org/10.3390/f13122008
Chicago/Turabian StyleZhang, Wenqi, Lu Wang, Zhiying Tang, and Yinghu Zhang. 2022. "Effects of the Root System Architecture of Pinus taeda and Phyllostachys edulis on the Index of Hydrological Connectivity in Subtropical Forest Ecosystems" Forests 13, no. 12: 2008. https://doi.org/10.3390/f13122008
APA StyleZhang, W., Wang, L., Tang, Z., & Zhang, Y. (2022). Effects of the Root System Architecture of Pinus taeda and Phyllostachys edulis on the Index of Hydrological Connectivity in Subtropical Forest Ecosystems. Forests, 13(12), 2008. https://doi.org/10.3390/f13122008
