Seasonality of Photosynthetic Physiology and Leaf Anatomy in Three Different Quercus L. Section Cyclobalanopsis Seedlings of Quercus chungii, Quercus gilva, and Quercus glauca in the Subtropical Region of South China
Abstract
1. Introduction
2. Materials and Methods
2.1. Overview of the Study Site and Species
2.2. Experimental Treatments
2.3. Measurement of Gas Exchange Parameters
2.4. Chlorophyll Fluorescence
2.5. Measurement of Leaf Photosynthetic Pigment
2.6. Measurement of Leaf Anatomical Characteristics
2.7. Data Analysis
3. Results
3.1. Changes in Photosynthetic Indexes of Three Precious Timber Species Seedlings of Q. chungii, Q. gilva, and Q. glauca
3.2. Changes in Chlorophyll Fluorescence Parameters of Three Precious Timber Species seedlings of Q. chungii, Q. gilva, and Q. glauca
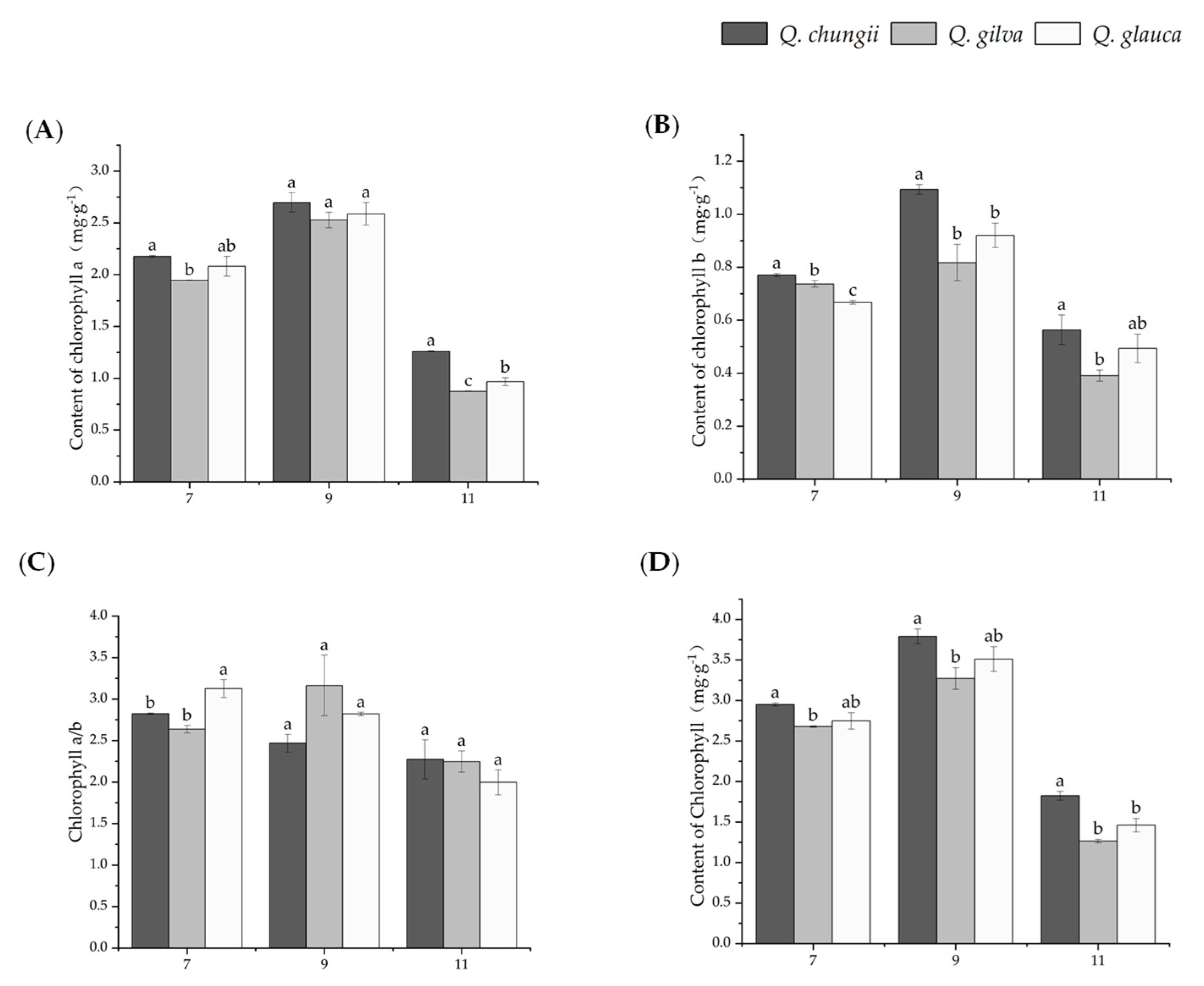
3.3. Changes in Photosynthetic Pigments in Seedlings of Three Precious Timber Species of Q. glauca, Q. gilva and Q. chungii
3.4. Analysis on Leaf Anatomical Structure of Three Precious Timber Species of Q. chungii, Q. gilva, and Q. glauca
3.5. Principal Component Analysis (PCA)
4. Discussion
4.1. Differences in Photosynthetic Gas Exchange among the Three Species
4.2. Differences in Chlorophyll Fluorescence Parameters among the Three Species
4.3. Difference in Photosynthetic Pigments in Leaves among the Three Species
4.4. Difference in Leaf Anatomical Structure of Three Plants and Their Response to Natural Drought
5. Conclusions
Author Contributions
Funding
Data Availability Statement
Acknowledgments
Conflicts of Interest
References
- Nixon, K.C. Global and neotropical distribution and diversity of oak (genus Quercus) and oak forests. In Ecology and Conservation of Neotropical Montane Oak Forests (Ecological Studies); Springer: Berlin/Heidelberg, Germany, 2006; pp. 3–13. [Google Scholar]
- Huang, C.C.; Chang, Y.T.; Bartholomew, B. Fagaceae. In Flora of China; Wu, C.Y., Raven, P.H., Eds.; Science Press: Beijing, China, 1999; Volume 4, pp. 314–400. [Google Scholar]
- Denk, T.; Grimm, G.W.; Manos, P.S.; Deng, M.; Hipp, A.L. An updated infrageneric classification of the oaks: Review of previous taxonomic schemes and synthesis of evolutionary patterns. In Oaks Physiological Ecology. Exploring the Functional Diversity of the Genus Quercus L.; Gil-Pelegrin, E., Peguero-Pina, J.J., Sancho-Knapik, D., Eds.; Springer: Berlin/Heidelberg, Germany, 2017; pp. 13–38. [Google Scholar]
- Gil-Pelegrin, E.; Peguero-Pina, J.J.; Sancho-Knapik, D. (Eds.) Oaks and people: A long journey together. In Oaks physiological Ecology. Exploring the functional diversity of the genus Quercus L.; Springer: Berlin/Heidelberg, Germany, 2017; pp. 1–12. [Google Scholar]
- Li, Z.H.; Li, B.H.; Qi, C.J.; Yu, X.L.; Wu, Y. Studies on importance of valuable wood species resources and its development strategy. J. Cent. South Univ. For. Technol. 2013, 32, 1–8. [Google Scholar]
- Carrero, C.; Jerome, D.; Beckman, E.; Byrne, A.; Coombes, A.J.; Deng, M.; González-Rodríguez, A.; Van Sam, H.; Khoo, E.; Nguyen, N.; et al. The Red List of Oaks 2020; The Morton Arboretum: Lisle, IL, USA, 2020; pp. 30–44. [Google Scholar]
- Wang, Y.; Wu, P.; Wang, R.; Ma, X.; Zhou, X. Community characteristics of Cyclobalanopsis chungii forest in Mingqing nature reserve. J. Fujian Agric. For. Univ. 2011, 40, 37–42. [Google Scholar]
- Liu, A.-Q.; Liu, C.-H.; Ma, X.-Q. Study on biomass production of Cyclobalanopsis chungii plantation. J. Fujian College For. 2004, 24, 294–297. [Google Scholar]
- Liu, N.; Li, Z.; Wang, P.; Li, H. Biomass estimation of the growth law of Cyclobalanopsis gilva plantations. J. Cent. South Univ. For. Technol. 2022, 42, 143–149. [Google Scholar]
- Xia, C.; Li, H.; Wang, P.; Li, Z.; Wang, B.; Zhu, Z. Effects of shading on the photosynthetic characteristics of Cyclobalanopsis gilva seedlings. J. Cent. South Univ. For. Technol. 2021, 41, 72–79. [Google Scholar]
- Zhang, B.; Zhu, N.; Cao, J. Effects of habitats on photosynthesis characteristics of Cyclobalanopsis gilva. J. South China Agric. Univ. 2017, 38, 70–78. [Google Scholar]
- Xie, J. Interspecific relationships and ecological species division of dominant populations of natural forest in Cyclobalanopsis gilva. J. Sichuan Agric.Univ. 2020, 38, 127–134. [Google Scholar]
- Gu, D.; Zhang, Z.; Mallik, A.; Zhou, A.; Mo, L.; He, C.; Huang, Y. Seasonal water use strategy of Cyclobalanopsis glauca in a karst area of southern China. Environ. Earth. Sci. 2015, 74, 1007–1014. [Google Scholar] [CrossRef]
- Gratani, L. Plant phenotypic plasticity in response to environmental factors. Adv. Bot. 2014, 1–17. [Google Scholar] [CrossRef]
- Wu, Y.; Hong, W.; Chen, Y. Leaf physiological and anatomical characteristics of two indicator species in the limestone region of Southern China under drought Stress. Pak. J. Bot. 2018, 50, 1335–1342. [Google Scholar]
- Brodribb, T.J.; Powers, J.; Cochard, H.; Choat, B. Hanging by a thread? Forests and drought. Science 2020, 368, 261–266. [Google Scholar] [CrossRef] [PubMed]
- Iszkulo, G. Success and failure of endangered tree species: Low temperature and low light availability affects survival and growth of European yew (Taxus baccata L.) Seedlings. Pol. J. Ecol. 2010, 58, 259–271. [Google Scholar]
- Adams, W.W.; Stewart, J.J.; Demmig-Adams, B. Photosynthetic modulation in response to plant activity and environment. In The Leaf: A Platform for Performing Photosynthesis; Adams, W.W., Terashima, I., Eds.; Springer: Berlin/Heidelberg, Germany, 2018; pp. 493–563. [Google Scholar]
- Momayyezi, M.; Borsuk, A.M.; Brodersen, C.R.; Gilbert, M.E.; Théroux-Rancourt, G.; Kluepfel, D.A. Desiccation of the leaf mesophyll and its implications for CO2 diffusion and light processing. Plant Cell Environ. 2022, 45, 1362–1381. [Google Scholar] [CrossRef] [PubMed]
- Maxwell, K.; Johnson, G.N. Chlorophyll fluorescence—A practical guide. J. Exp. Bot. 2000, 51, 659–668. [Google Scholar] [CrossRef]
- Wei, L.; Huang, Y.; Li, X.; Mo, L.; Yuan, W. Effects of soil water on photosynthetic characteristics and leaf traits of Cyclobalanopsis glauca seedlings growing under nutrient-rich and-poor soil. Acta Ecol. Sin. 2009, 29, 160–165. [Google Scholar] [CrossRef]
- Wu, L.; Li, Z.; Yang, M.; Wang, P. Response of leaf anatomical characteristics of Cyclobalanopsis gilva seedlings to drought stress. J. Appl. Ecol. 2015, 26, 3619–3626. [Google Scholar]
- Xue, L.; Ren, H.; Long, W.; Leng, X.; Wang, J.; Yao, X.; Li, S. Ecophysiological responses of calcicole Cyclobalanopsis glauca (Thunb.) oerst. to drought stress and calcium supply. Forests 2018, 9, 667. [Google Scholar] [CrossRef]
- Sai, W.; Li-Ta, Y.; Shu-Quan, Y.; Chao, Z.; Jing-Jing, S. Effects of simulating acid rain on photosynthesis and chlorophyll fluorescence parameters of Quercus glauca. J. Appl. Ecol. 2014, 25, 2183–2192. [Google Scholar]
- Wang, A.-Y.; Hao, G.-Y.; Guo, J.-J.; Liu, Z.-H.; Zhang, J.-L.; Cao, K.-F. Differentiation in leaf physiological traits related to shade and drought tolerance underlies contrasting adaptations of two Cyclobalanopsis (Fagaceae) species at the seedling stage. Forests. 2020, 11, 844. [Google Scholar] [CrossRef]
- Bassman, J.H.; Zwier, J.C. Gas exchange characteristics of Populus trichocarpa, Populus deltoides and Populus trichocarpa × P. deltoides clones. Tree Physiol. 1991, 8, 145–159. [Google Scholar] [CrossRef]
- Hao, J.-Q.; Zhang, L.; Zheng, C.-X.; Bai, X.; Li, W.-H. Differences in chlorophyll fluorescence parameters and water content in heteromorphic leaves of Populus euphratica from Inner Mongolia, China. For. Stud. China. 2011, 13, 52–56. [Google Scholar] [CrossRef]
- Lightenthaler, H. Chlorophylls and carotenoids: Pigments of photosynthetic biomembranes. Meth. Enzymol. 1987, 148, 350–382. [Google Scholar]
- Liu, Q.; Li, Z.; Wu, J. Research progress on leaf anatomical structures of plants under drought stress. J. Agric. Sci. Technol. 2016, 17, 4–7. [Google Scholar]
- Makoto, K.; Koike, T. Effects of nitrogen supply on photosynthetic and anatomical changes in current-year needles of Pinus koraiensis seedlings grown under two irradiances. Photosynthetica 2007, 45, 99–104. [Google Scholar] [CrossRef]
- Oguchi, R.; Onoda, Y.; Terashima, I.; Tholen, D. Leaf Anatomy and Function. In The Leaf: A Platform for Performing Photosynthesis; Advances in Photosynthesis and Respiration; Adams, W., III, Terashima, I., Eds.; Springer: Berlin/Heidelberg, Germany, 2018; Volume 44, pp. 97–139. [Google Scholar]
- Petrik, P.; Petek-Petrik, A.; Konôpková, A.; Fleischer, P.; Stojnic, S.; Zavadilova, I.; Kurjak, D. Seasonality of PSII thermostability and water use efficiency of in situ mountainous Norway spruce (Picea abies). J. For. Res. 2022, 32, 1–12. [Google Scholar] [CrossRef]
- Ashraf, M. Relationships between leaf gas exchange characteristics and growth of differently adapted populations of Blue panicgrass (Panicum antidotale Retz.) under salinity or waterlogging. Plant Sci. 2003, 165, 69–75. [Google Scholar] [CrossRef]
- Zheng, C.; Qiu, J.; Jiang, C.; Yue, N.; Wang, X.; Wang, W. Comparison of stomatal characteristics and photosynthesis of polymorphic Populus euphratica leaves. Front Agric China. 2007, 2, 87–93. [Google Scholar] [CrossRef]
- Misra, A.N.; Misra, M.; Singh, R. Chlorophyll fluorescence in plant biology. Biophysics 2012, 7, 171–192. [Google Scholar]
- Björkman, O.; Demmig, B. Photon yield of O2 evolution and chlorophyll fluorescence characteristics at 77 K among vascular plants of diverse origins. Planta 1987, 170, 489–504. [Google Scholar] [CrossRef]
- Li, G.; Wu, H.; Sun, Y.; Zhang, S. Response of chlorophyll fluorescence parameters to drought stress in sugar beet seedlings. Russ. J. Plant Physiol. 2013, 60, 337–342. [Google Scholar] [CrossRef]
- Hampton, J.G.; TeKrony, D.M. Handbook of Vigour Test Methods; The International Seed Testing Association: Zurich, Switzerland, 1995. [Google Scholar]
- Cabrera-Bosquet, L.; Albrizio, R.; Araus, J.L.; Nogués, S. Photosynthetic capacity of field-grown durum wheat under different N availabilities: A comparative study from leaf to canopy. Environ. Exp. Bot. 2009, 67, 145–152. [Google Scholar] [CrossRef]
- Húdoková, H.; Petrik, P.; Petek-Petrik, A.; Konôpková, A.; Leštianska, A.; Střelcová, K.; Kmeť, J.; Kurjak, D. Heat-stress response of photosystem II in five ecologically important tree species of European temperate forests. Biologia 2022, 77, 671–680. [Google Scholar] [CrossRef]
- Gitelson, A.; Merzlyak, M.N. Quantitative estimation of chlorophyll-a using reflectance spectra: Experiments with autumn chestnut and maple leaves. J. Photochem. Photobiol. B Biol. 1994, 22, 247–252. [Google Scholar] [CrossRef]
- Liying, X.; Yuping, H.; Gang, W. Effect of water stress on pigment content and PAL activity of purple leaf plum. J. Jilin Univ. Inf. Sci. Ed. 2007, 29, 168–172. [Google Scholar]
- Wright, I.J.; Reich, P.B.; Westoby, M.; Ackerly, D.D.; Baruch, Z.; Bongers, F.; Cavender-Bares, J.; Chapin, T.; Cornelissen, J.H.; Diemer, M. The worldwide leaf economics spectrum. Nature 2004, 428, 821–827. [Google Scholar] [CrossRef] [PubMed]
- Petrik, P.; Petek-Petrik, A.; Kurjak, D.; Mukarram, M.; Klein, T.; Gömöry, D.; Střelcová, K.; Frýdl, J.; Konôpková, A. Interannual adjustments in stomatal and leaf morphological traits of European beech (Fagus sylvatica L.) demonstrate its climate change acclimation potential. Plant Biol. 2022, 24, 1287–1296. [Google Scholar] [CrossRef]
- Ennajeh, M.; Vadel, A.; Cochard, H.; Khemira, H. Comparative impacts of water stress on the leaf anatomy of a drought-resistant and a drought-sensitive olive cultivar. J. Hortic. Sci. Biotechnol. 2010, 85, 289–294. [Google Scholar] [CrossRef]
- Hu, Y.; Yang, L.; Gao, C.; Liao, D.; Long, L.; Qiu, J.; Wei, H.; Deng, Q.; Zhou, Y. A comparative study on the leaf anatomical structure of Camellia oleifera in a low-hot valley area in Guizhou Province, China. PLoS ONE 2022, 17, e0262509. [Google Scholar] [CrossRef]




| Date | Tree Species | Fo | Fm | Fv/Fm | Y(ΦPSII) | ETR | qP | NPQ | 
|---|---|---|---|---|---|---|---|---|
| 7 | FI | 1014.60 ± 31.57 b | 4374.04 ± 94.14 a | 0.77 ± 0.01 a | 0.19 ± 0.02 a | 77.71 ± 9.09 a | 0.31 ± 0.03 a | 2.61 ± 0.12 a | 
| CI | 1133.90 ± 33.03 a | 4548.44 ± 217.92 a | 0.75 ± 0.01 b | 0.12 ± 0.01 b | 44.40 ± 4.03 b | 0.15 ± 0.02 b | 1.82 ± 0.09 c | |
| QI | 1022.03 ± 16.78 b | 4481.36 ± 22.17 a | 0.76 ± 0.01 a | 0.12 ± 0.01 b | 46.04 ± 3.08 b | 0.16 ± 0.01 b | 2.22 ± 0.06 b | |
| 9 | FII | 1103.49 ± 16.61 b | 4667.43 ± 38.69 b | 0.76 ± 0.01 a | 0.17 ± 0.02 a | 64.44 ± 8.29 a | 0.24 ± 0.04 a | 2.49 ± 0.12 a | 
| CII | 1222.62 ± 25.77 a | 5006.25 ± 122.61 a | 0.76 ± 0.01 a | 0.16 ± 0.02 a | 64.90 ± 6.55 a | 0.25 ± 0.03 a | 2.60 ± 0.15 a | |
| QII | 1095.10 ± 19.00 b | 4534.65 ± 97.82 b | 0.76 ± 0.01 a | 0.12 ± 0.01 a | 44.24 ± 3.41 a | 0.15 ± 0.02 a | 2.02 ± 0.37 b | |
| 11 | FIII | 1149.65 ± 48.00 a | 3678.01 ± 152.21 a | 0.68 ± 0.02 b | 0.12 ± 0.01 a | 56.07 ± 9.08 a | 0.19 ± 0.05 a | 1.73 ± 0.019 a | 
| CIII | 1215.85 ± 72.39 a | 3691.49 ± 136.57 a | 0.76 ± 0.01 a | 0.12 ± 0.01 a | 48.97 ± 5.24 a | 0.20 ± 0.03 a | 1.68 ± 0.08 b | |
| QIII | 1166.86 ± 40.77 a | 3165.23 ± 138.84 b | 0.63 ± 0.03 b | 0.12 ± 0.01 a | 48.71 ± 5.11 a | 0.19 ± 0.02 a | 1.21 ± 0.10 a | 
| Date | Leaf | Palisade Tissue | Spongy Tissue | Lower Epidermis | Upper Epidermis | Ratio of Palisade Tissue and Spongy Tissue | Cell Tense Ratio | Spongy Tissue Looseness | |
|---|---|---|---|---|---|---|---|---|---|
| Month | Thickness (µm) | ||||||||
| 7 | FI | 253.13 ± 7.15 a | 63.17 ± 2.10 a | 145.49 ± 3.16 a | 14.44 ± 0.88 a | 30.04 ± 1.13 a | 0.43 ± 0.01 b | 0.25 ± 0.01 b | 0.58 ± 0.01 a | 
| CI | 190.36 ± 6.30 c | 54.13 ± 2.01 b | 105.95 ± 4.33 c | 11.17 ± 0.74 b | 19.12 ± 0.50 b | 0.51 ± 0.02 a | 0.28 ± 0.01 a | 0.56 ± 0.01 a | |
| QI | 225.50 ± 6.18 b | 63.17 ± 2.10 a | 120.56 ± 2.12 b | 12.46 ± 0.67 ab | 29.32 ± 1.38 a | 0.52 ± 0.01 a | 0.28 ± 0.01 a | 0.53 ± 0.02 b | |
| 9 | FII | 244.30 ± 6.11 a | 61.06 ± 1.75 a | 130.85 ± 2.34 a | 15.32 ± 0.88 a | 37.08 ± 1.25 a | 0.47 ± 0.01 b | 0.25 ± 0.02 c | 0.54 ± 0.01 b | 
| CII | 218.32 ± 4.19 b | 61.48 ± 1.22 a | 122.03 ± 1.51 b | 11.04 ± 0.55 b | 23.77 ± 0.98 c | 0.50 ± 0.01 a | 0.28 ± 0.01 a | 0.56 ± 0.01 a | |
| QII | 221.35 ± 7.34 b | 58.16 ± 2.34 a | 116.22 ± 3.68 b | 16.03 ± 0.43 a | 30.95 ± 1.22 b | 0.50 ± 0.01 a | 0.27 ± 0.01 b | 0.53 ± 0.02 b | |
| 11 | FIII | 289.91 ± 8.19 a | 74.20 ± 0.82 a | 163.62 ± 5.88 a | 14.75 ± 0.66 b | 37.34 ± 1.18 a | 0.46 ± 0.01 b | 0.26 ± 0.01 b | 0.57 ± 0.01 a | 
| CIII | 198.57 ± 6.67 c | 53.74 ± 2.54 c | 109.82 ± 3.54 c | 12.27 ± 0.35 c | 22.74 ± 0.57 c | 0.49 ± 0.01 a | 0.27 ± 0.01 a | 0.55 ± 0.01 b | |
| QIII | 259.75 ± 5.58 b | 63.97 ± 1.80 b | 147.77 ± 2.85 b | 16.95 ± 0.34 a | 31.06 ± 0.67 b | 0.43 ± 0.01 c | 0.25 ± 0.01 b | 0.57 ± 0.01 a | |
| Publisher’s Note: MDPI stays neutral with regard to jurisdictional claims in published maps and institutional affiliations. | 
© 2022 by the authors. Licensee MDPI, Basel, Switzerland. This article is an open access article distributed under the terms and conditions of the Creative Commons Attribution (CC BY) license (https://creativecommons.org/licenses/by/4.0/).
Share and Cite
Yin, H.-M.; Yang, M.-H.; Li, P.-L.; Yu, X.-L.; Xiong, H.; Xu, Q.-Y.; Zou, F.-L.; Chen, Y.; Dai, W.-H.; Jiang, Y.; et al. Seasonality of Photosynthetic Physiology and Leaf Anatomy in Three Different Quercus L. Section Cyclobalanopsis Seedlings of Quercus chungii, Quercus gilva, and Quercus glauca in the Subtropical Region of South China. Forests 2022, 13, 2067. https://doi.org/10.3390/f13122067
Yin H-M, Yang M-H, Li P-L, Yu X-L, Xiong H, Xu Q-Y, Zou F-L, Chen Y, Dai W-H, Jiang Y, et al. Seasonality of Photosynthetic Physiology and Leaf Anatomy in Three Different Quercus L. Section Cyclobalanopsis Seedlings of Quercus chungii, Quercus gilva, and Quercus glauca in the Subtropical Region of South China. Forests. 2022; 13(12):2067. https://doi.org/10.3390/f13122067
Chicago/Turabian StyleYin, Hui-Min, Mo-Hua Yang, Peng-Le Li, Xun-Lin Yu, Huan Xiong, Qian-Yu Xu, Feng-Lan Zou, You Chen, Wei-Hong Dai, Yin Jiang, and et al. 2022. "Seasonality of Photosynthetic Physiology and Leaf Anatomy in Three Different Quercus L. Section Cyclobalanopsis Seedlings of Quercus chungii, Quercus gilva, and Quercus glauca in the Subtropical Region of South China" Forests 13, no. 12: 2067. https://doi.org/10.3390/f13122067
APA StyleYin, H.-M., Yang, M.-H., Li, P.-L., Yu, X.-L., Xiong, H., Xu, Q.-Y., Zou, F.-L., Chen, Y., Dai, W.-H., Jiang, Y., & Li, Y.-L. (2022). Seasonality of Photosynthetic Physiology and Leaf Anatomy in Three Different Quercus L. Section Cyclobalanopsis Seedlings of Quercus chungii, Quercus gilva, and Quercus glauca in the Subtropical Region of South China. Forests, 13(12), 2067. https://doi.org/10.3390/f13122067
 
        




 
       