Structure Degradation Induced by Wetting and Drying Cycles for the Hilly Granitic Soils in Collapsing Gully Erosion Areas
Abstract
:1. Introduction
2. Materials and Methods
2.1. Study Area
2.2. Soil Sampling
2.3. Measurements
2.3.1. Physicochemical Properties
2.3.2. Simulation of Wetting-Drying Cycles
2.3.3. Soil Water Retention Properties
2.3.4. Shear Strength
2.3.5. Disintegration Test
2.4. Data Analysis
3. Results and Discussion
3.1. Soil Hydraulic Properties Induced by W-D Cycles
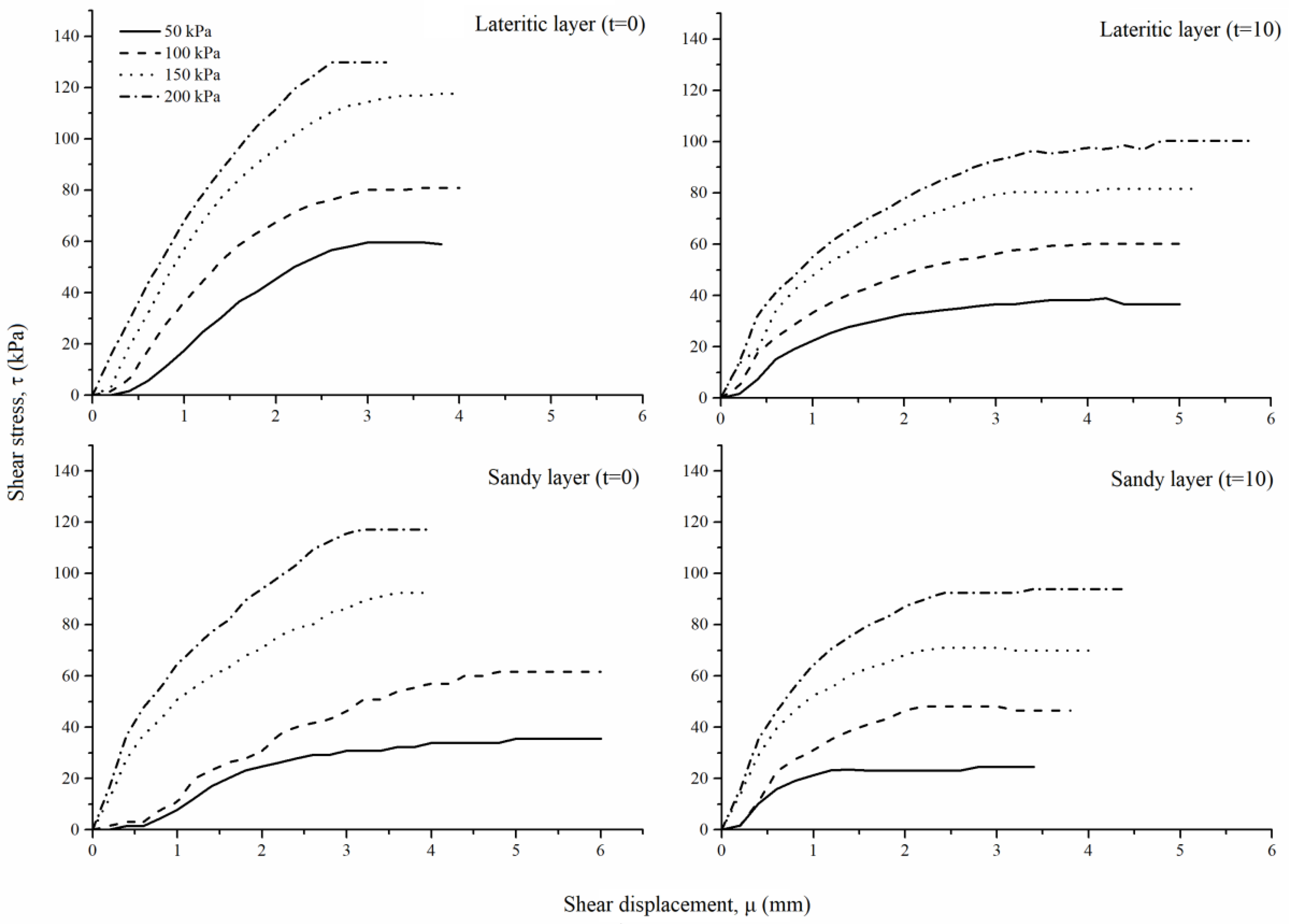
3.2. The Variation of Shear Strength Induced by W-D Cycles
3.3. The Variation in Disintegration Characteristic
3.4. The Influence of W-D Cycles on the Collapsing Gully Erosion
4. Conclusions
Author Contributions
Funding
Data Availability Statement
Acknowledgments
Conflicts of Interest
References
- Borrelli, P.; Robinson, D.A.; Fleischer, L.R.; Lugato, E.; Ballabio, C.; Alewell, C.; Bagarello, V. An assessment of the global impact of 21st century land use change on soil erosion. Nat. Commun. 2017, 8, 2013. [Google Scholar] [CrossRef] [PubMed]
- Xu, J.X. Benggang erosion: The influencing factors. Catena 1996, 27, 249–263. [Google Scholar]
- Xia, D.; Deng, Y.S.; Wang, S.; Ding, S.W.; Cai, C.F. Fractal features of soil particle-size distribution of different weathering profiles of the collapsing gullies in the hilly granitic region, south China. Nat. Hazards 2015, 79, 455–478. [Google Scholar] [CrossRef]
- Luk, S.H.; Yao, Q.Y.; Gao, J.Q.; Zhang, J.Q.; He, Y.G.; Huang, S.M. Environmental analysis of soil erosion in guangdong province: A deqing case study. Catena 1997, 29, 97–113. [Google Scholar] [CrossRef]
- Moretti, S.; Rodolfi, G. A typical “calanchi” landscape on the Eastern Apennine margin (Atri, Central Italy): Geomorphological features and evolution. Catena 2000, 40, 217–228. [Google Scholar] [CrossRef]
- Bacellar, L.P.; Coelho Netto, A.L.; Lacerda, W.A. Controlling factors of gullying in the Maracujá catchment, southeastern Brazil. Earth Surf. Proc. Land. 2005, 30, 1369–1385. [Google Scholar] [CrossRef]
- Cox, R.; Zentner, D.B.; Rakotondrazafy, A.F.M.; Rasoazanamparany, C.F. Shakedown in Madagascar: Occurrence of lavakas (erosional gullies) associated with seismic activity. Geology 2010, 38, 179–182. [Google Scholar] [CrossRef]
- Kalkan, E. Impact of wetting-drying cycles on swelling behavior of clayey soils modified by silica fume. Appl. Clay Sci. 2011, 52, 345–352. [Google Scholar] [CrossRef]
- Estabragh, A.R.; Moghadas, M.; Javadi, A.A. Effect of different types of wetting fluids on the behaviour of expansive soil during wetting and drying. Soils Found. 2013, 53, 617–627. [Google Scholar] [CrossRef]
- He, Y.; Cui, Y.J.; Ye, W.M.; Conil, N. Effects of wetting-drying cycles on the air permeability of compacted Téguline clay. Eng. Geol. 2017, 228, 173–179. [Google Scholar] [CrossRef]
- Wang, C.; Zhang, Z.Y.; Yang, L.; Fan, S.M. Geometric and fractal analysis of dynamic cracking patterns subjected to wetting-drying cycles. Soil Tillage Res. 2017, 170, 1–13. [Google Scholar] [CrossRef]
- Uday, K.V.; Singh, D.N. Investigation on cracking characteristics of fine-grained soils under varied environmental conditions. Dry. Technol. 2013, 31, 1255–1266. [Google Scholar] [CrossRef]
- Tisdall, J.M.; Cockcraft, B.; Uren, N.C. The stability of soil aggregates as affected by organ materials, microbial activity and physical disruption. Aust. J. Soil Res. 1978, 16, 9–17. [Google Scholar] [CrossRef]
- Pagliai, M.; La Marca, M.; Lucamenta, G. Changes in soil porosity in remolded soils treated with poultry manure. Soil Sci. 1987, 144, 128–140. [Google Scholar] [CrossRef]
- Pires, L.F.; Cooper, M.; Cássaro, F.A.M.; Reichardt, K.; Bacchi, O.O.S.; Dias, N.M.P. Micromorphological analysis to characterize structure modifications of soil samples submitted to wetting and drying cycles. Catena 2008, 72, 297–304. [Google Scholar] [CrossRef]
- Wheeler, S.J.; Sharma, R.S.; Buisson, M.S.R. Coupling of hydraulic hysteresis and stress-strain behavior in unsaturated soils. Géotechnique 2003, 53, 41–54. [Google Scholar] [CrossRef]
- Alonso, E.E.; Romero, E.; HoFFmann, C.; Carcia Escudero, E. Expansive bentonite-sand mixtures in cyclic controlled-suction drying and wetting. Eng. Geol. 2005, 8, 213–226. [Google Scholar] [CrossRef]
- Tang, C.S.; Cui, Y.J.; Shi, B.; Tang, A.M.; Liu, C. Desiccation and cracking behavior of clay layer from slurry state under wetting-drying cycles. Geoderma 2011, 166, 111–118. [Google Scholar] [CrossRef]
- Wei, Y.J.; Wu, X.L.; Cai, C.F. Spatial variability of soil shrinkage characteristics in profile of slope disintegration body. Trans. Chin. Soc. Agric. Mach. 2015, 46, 153–159. [Google Scholar]
- Wei, Y.J.; Wu, X.L.; Li, X.Y.; Xia, J.W.; Cai, C.F. A novel and facile method for characterizing shrinkage geometry along the granite soil profile. Soil Sci. Soc. Am. J. 2018, 82, 20–30. [Google Scholar] [CrossRef]
- Liao, Y.; Yuan, Z.; Zheng, M.; Li, D.; Nie, X.; Wu, X.; Huang, B.; Xie, Z.; Tang, C. The spatial distribution of Benggang and the factors that influence it. Land Degrad. Dev. 2019, 30, 2323–2335. [Google Scholar] [CrossRef]
- Deng, Y.S.; Duan, X.Q.; Ding, S.W.; Cai, C.F. Effect of joint structure and slope direction on the development of collapsing gully in tuffaceous sandstone area in South China. Int. Soil Water Conserv. Res. 2020, 8, 131–140. [Google Scholar] [CrossRef]
- Huang, J.H.; Jiang, D.J.; Deng, Y.S.; Ding, S.W.; Cai, C.F.; Huang, Z.G. Soil Physicochemical properties and fertility evolution of permanent gully during ecological restoration in granite hilly region of South China. Forests 2022, 12, 510. [Google Scholar] [CrossRef]
- Jiang, F.S.; Huang, Y.H.; Wang, M.K.; Lin, J.S.; Zhao, G.; Ge, H.L. Effects of Rainfall Intensity and Slope Gradient on Steep Colluvial Deposit Erosion in Southeast China. Soil Sci. Soc. Am. J. 2014, 78, 1741–1752. [Google Scholar] [CrossRef]
- Liao, Y.; Yuan, Z.; Zhuo, M.; Huang, B.; Nie, X.; Xie, Z.; Tang, C.; Li, D. Coupling effects of erosion and surface roughness on colluvial deposits under continuous rainfall. Soil Tillage Res. 2019, 191, 98–107. [Google Scholar] [CrossRef]
- Tao, Y.; He, Y.B.; Duan, X.Q.; Zou, Z.Q.; Lin, L.R.; Chen, J.Z. Preferential flows and soil moistures on a Benggang slope: Determined by the water and temperature co-monitoring. J. Hydrol. 2017, 553, 678–690. [Google Scholar] [CrossRef]
- Wei, Y.J.; Wu, X.L.; Xia, J.W.; Miller, G.A.; Cai, C.F.; Guo, Z.L.; Arash, H. The effect of water content on the shear strength characteristics of granite soils in South China. Soil Tillage Res. 2019, 187, 50–59. [Google Scholar] [CrossRef]
- Xia, J.W.; Cai, C.F.; Wei, Y.J.; Wu, X.L. Granite residual properties in collapsing gullies of south China: Spatial variations and effects on collapsing gully erosion. Catena 2019, 174, 469–477. [Google Scholar] [CrossRef]
- Liu, X.Y.; Zhang, X.W.; Kong, L.W.; Wang, G.; Liu, H.H. Formation mechanism of collapsing gully in southern China and the relationship with granite residual soil: A geotechnical perspective. Catena 2022, 210, 105890. [Google Scholar] [CrossRef]
- Chinese Academy of Science Flora of China Editorial Board. Flora of China; Science Press: Beijing, China, 2004. [Google Scholar]
- IUSS Working Group WRB. World Reference Base for Soil Resources 2014. In International Soil Classification System for Naming Soils and Creating Legends for Soil Maps; World Soil Resources Reports No. 106; FAO: Rome, Italy, 2014. [Google Scholar]
- Institute of Soil Science, the Chinese Academy of Science (ISSCAS). Soil Chemical and Physical Analysis; Shanghai Science and Technology Press: Shanghai, China, 1981. [Google Scholar]
- ASTM D698; Standard Test Methods for Laboratory Compaction Characteristics of Soil Using Standard Effort. ASCE Journal of Geotechnical Engineering: Reston, VA, USA, 2000; Volume 111, pp. 465–478.
- ASTM. Standard Test Methods for Classification of Soil for Engineering Purposes. Annu. Books Geoenviron. Eng. 1992, 127, 67–75. [Google Scholar]
- Zhu, F.; Li, Y.B.; Xue, S.G.; Hartley, W.; Wu, H. Effects of iron-aluminium oxides and organic carbon on aggregate stability of bauxite residues. Environ. Sci. Pollut. Res. 2016, 23, 9073. [Google Scholar] [CrossRef]
- Goldreich, O.; Goldwasser, Y.; Mishael, Y. Effect of soil wetting and drying cycles on metolachlor ate in soil applied as a commercial or controlled-release formulation. J. Agric. Food Chem. 2011, 59, 645–653. [Google Scholar] [CrossRef]
- ASTM D6838-02; Standard Test Methods for Determination of the Soil Water Characteristic Curve for Desorption Using Hanging Column, Pressure Extractor, Chilled Mirror Hygrometer, or Centrifuge. Annual Book of ASTM Standards: West Conshohocken, PA, USA, 2008.
- Khanzode, R.M.; Vanapalli, S.K.; Fredlund, D.G. Measurement of soil-water characteristic curves for fine-grained soils. Can. Geotech. J. 2002, 39, 1209–1217. [Google Scholar] [CrossRef] [Green Version]
- Genuchten, M.T.V. A closed-form equation for predicting the hydraulic conductivity of unsaturated soils. Soil Sci. Soc. Am. J. 1980, 44, 892–898. [Google Scholar] [CrossRef]
- Radulovich, R.; Solorzano, E.; Sollins, P. Soil Macropore Size Distribution from Water Breakthrough Curves. Soil Sci. Soc. Am. J. 1989, 53, 556–559. [Google Scholar] [CrossRef]
- Watson, K.W.; Luxmoore, R.J. Estimating Macroporosity in a Forest Watershed by use of a Tension Infiltrometer 1. Soil Sci. Soc. Am. J. 1986, 50, 578–582. [Google Scholar] [CrossRef]
- Terzaghi, K. The shear resistance of saturated soils. In Proceedings of the 1st International Conference Soil Mechanics Foundation Engineering, Cambridge, MA, USA, 22–26 June 1936; Volume 1, pp. 54–56. [Google Scholar]
- Zhang, Z.Z.; Liu, W.; Han, L.; Chen, X.C.; Cui, Q.; Yao, H.; Wang, Z.L. Disintegration behavior of strongly weathered purple mudstone in drawdown area of three gorges reservoir, China. Geomorphology 2018, 315, 68–79. [Google Scholar] [CrossRef]
- Zhang, S.; Tang, M.H. Experimental study of disintegration mechanism for unsaturated granite residual soil. Rock Soil Mech. 2013, 34, 1668–1673. (In Chinese) [Google Scholar]
- Kong, L.; Sayem, H.; Tian, H.H. Influence of drying-wetting cycles on soil-water characteristic curve of undisturbed granite residual soils and microstructure mechanism by NMR T2 relaxometry. Can. Geotech. J. 2017, 55, 208–216. [Google Scholar] [CrossRef]
- Schwen, A.; Bodner, G.; Scholl, P.; Buchan, G.D.; Loiskandl, W. Temporal dynamics of soil hydraulic properties and the water-conducting porosity under different tillage. Soil Tillage Res. 2011, 113, 89–98. [Google Scholar] [CrossRef]
- Boynton, S.S.; Daniel, D.E. Hydraulic conductivity tests on compacted clay. J. Geotech. Eng. 1985, 111, 465–478. [Google Scholar] [CrossRef]
- Albrecht, B.A.; Benson, C.H. Effect of desiccation on compacted natural clays. J. Geotech. Geoenviron. Eng. 2001, 127, 67–75. [Google Scholar] [CrossRef]
- Peng, X.H.; Horn, R. Anisotropic shrinkage and swelling of some organic and inorganic soils. Eur. J. Soil Sci. 2007, 58, 98–107. [Google Scholar] [CrossRef]
- Pires, L.F.; Bacchi, O.O.; Reichardt, K. Gamma ray computed tomography to evaluate wetting/drying soil structure changes. Nucl. Instr. Meth. Phys. Res. B 2005, 229, 443–456. [Google Scholar] [CrossRef]
- Nowamooz, H.; Masrouri, F. Hydromechanical behaviour of an expansive bentonite-silt mixture in cyclic suction-controlled drying and wetting tests. Eng. Geol. 2008, 101, 154–164. [Google Scholar] [CrossRef]
- Nowamooz, H.; Mrad, M.; Abdallah, A.; Masrouri, F. Experimental and numerical studies of the hydromechanical behaviour of a natural unsaturated swelling soil. Can. Geotech. J. 2009, 46, 393–410. [Google Scholar] [CrossRef]
- Chen, R.; Ng, C.W.W. Impact of wetting-drying cycles on hydro-mechanical behavior of an unsaturated compacted clay. Appl. Clay Sci. 2013, 86, 38–46. [Google Scholar] [CrossRef]
- Sartori, G.; Ferrari, G.A.; Pagliai, M. Changes in soil porosity and surface shrinkage in a remolded, saline clay soil treated with compos. Soil Sci. 1985, 139, 523–530. [Google Scholar] [CrossRef]
- Lu, Z.H.; Chen, Z.H.; Pu, Y.B. A CT study on the crack evolution of expansive soil during drying and wetting cycles. Rock Soil Mech. 2002, 23, 417–422. [Google Scholar]
- Zhang, D.; Chen, A.Q.; Liu, G.C. Laboratory investigation of disintegration characteristics of purple mudstone under different hydrothermal conditions. J. Mt. Sci. 2012, 9, 127–136. [Google Scholar] [CrossRef]
- Tang, C.S.; Wang, D.Y.; Shi, B.; Li, J. Effect of wetting-drying cycles on profile mechanical behavior of soils with different initial conditions. Catena 2016, 139, 105–116. [Google Scholar] [CrossRef]








| Soil Layer | Thic-ness (cm) | Soil Color | Soil Structure | Soil Description | |
|---|---|---|---|---|---|
| Wet | Dry | ||||
| Surface layer | 0~45 | 2.5YR 6/6 | 5YR 6/6 | Granular, loose structure | High organic matter content and biological activity with a large number of roots and plant residues; high hydraulic conductivity; heavy texture with residual quartz sand; high weathering degree; clay minerals, mainly including kaolinite and illite; high cohesion and resistance to water erosion |
| Lateritic layer | 45~170 | 2.5YR 4/4 | 5YR 5/8 | Platy, massive dense structure | Heavy texture with fewer macropores and low hydraulic conductivity; high weathering degree; clay minerals mainly including kaolinite and illite; highest cohesion and resistance to water erosion; without root and biological activity |
| Sandy layer | 170~430 | 7.5YR 5/4 | 7.5YR 7/4 | Crumb, pseudogranular structure | Light texture with a large amount of primary minerals (quartz sand and biotite); medium hydraulic conductivity; low weathering degree; low cohesion and resistance to water erosion |
| Detritus layer | >430 | 2.5YR 8/2 | 10YR 8/1 | Fragmental, tight structure | Light texture with much coarse quartz sand and biotite; very low weathering degree; medium hydraulic conductivity; similar configuration to granite rock; low cohesion and resistance to water erosion |
| Parameters | Surface Layer | Lateritic Layer | Sandy Layer | Detritus Layer |
|---|---|---|---|---|
| Clay, % | 34.80 ± 0.56 d | 45.50 ± 0.39 c | 14.29 ± 0.12 b | 9.71 ± 0.12 a |
| Silt, % | 23.71 ± 0.57 c | 23.98 ± 0.67 c | 28.46 ± 1.09 b | 31.69 ± 1.16 a |
| Sand, % | 41.49 ± 1.13 b | 30.52 ± 1.13 a | 57.24 ± 0.97 c | 58.60 ± 1.27 c |
| Bulk desity, g cm−3 | 1.25 ± 0.01 c | 1.43 ± 0.03 a | 1.37 ± 0.01 b | 1.34 ± 0.02 b |
| Total porosity, % | 50.97 ± 1.97 a | 46.42 ± 1.03 c | 47.41 ± 0.98 bc | 50.45 ± 1.16 ab |
| Capillary porosity, % | 40.37 ± 1.85 a | 40.92 ± 0.62 a | 39.09 ± 2.35 a | 39.63 ± 0.50 a |
| Liquid limit, % | 59.73 ± 1.22 a | 52.32 ± 1.87 b | 36.52 ± 0.92 c | 32.28 ± 0.78 d |
| Plastic limit, % | 36.88 ± 0.70 a | 30.77 ± 1.46 b | 21.35 ± 0.92 c | 23.43 ± 0.66 c |
| SOM, g kg−1 | 18.62 ± 0.61 a | 10.64 ± 0.16 b | 4.35 ± 0.21 c | 1.66 ± 0.07 d |
| Fed, g kg−1 | 18.34 ± 0.77 b | 20.19 ± 0.55 a | 6.22 ± 0.27 c | 4.95 ± 0.16 d |
| Ald, g kg−1 | 5.83 ± 0.14 a | 5.37 ± 0.29 b | 2.30 ± 0.16 c | 1.35 ± 0.06 d |
| Vermiculite, % | 2 | 0 | 0 | 0 |
| 1.4 nm, % | 0 | 2 | 0 | 0 |
| Illite, % | 5 | 4 | 6 | 8 |
| Kaolinite, % | 93 | 94 | 94 | 92 |
| Soil texture | Clay loam | clay | Sandy loam | Sandy loam |
| Soil Layer | W-D Cycles | θs (cm3 cm−3) | θr (cm3 cm−3) | α | n | R2 |
|---|---|---|---|---|---|---|
| Surface layer | 0 | 0.406 ± 0.016 a | 0.195 ± 0.012 a | 0.034 ± 0.005 a | 1.188 ± 0.012 a | 0.998 *** |
| 2 | 0.372 ± 0.034 b | 0.174 ± 0.013 b | 0.046 ± 0.004 b | 1.177 ± 0.008 b | 0.999 *** | |
| 5 | 0.349 ± 0.030 c | 0.169 ± 0.023 b | 0.048 ± 0.007 b | 1.169 ± 0.013 bc | 0.998 *** | |
| 10 | 0.348 ± 0.022 c | 0.166 ± 0.015 b | 0.050 ± 0.005 b | 1.168 ± 0.007 c | 0.997 *** | |
| Lateritic layer | 0 | 0.394 ± 0.012 a | 0.182 ± 0.028 a | 0.021 ± 0.003 a | 1.218 ± 0.011 a | 0.997 *** |
| 2 | 0.352 ± 0.015 b | 0.163 ± 0.016 b | 0.030 ± 0.006 b | 1.197 ± 0.010 b | 0.996 *** | |
| 5 | 0.334 ± 0.013 bc | 0.157 ± 0.011 c | 0.031 ± 0.004 b | 1.193 ± 0.005 b | 0.996 *** | |
| 10 | 0.332 ± 0.010 c | 0.154 ± 0.008 c | 0.031 ± 0.010 b | 1.194 ± 0.009 b | 0.995 *** | |
| Sandy layer | 0 | 0.392 ± 0.022 a | 0.116 ± 0.017 a | 0.070 ± 0.007 a | 1.254 ± 0.013 a | 0.999 *** |
| 2 | 0.372 ± 0.024 b | 0.109 ± 0.026 b | 0.079 ± 0.005 b | 1.253 ± 0.011 ab | 0.999 *** | |
| 5 | 0.363 ± 0.035 b | 0.103 ± 0.009 bc | 0.081 ± 0.004 b | 1.256 ± 0.007 bc | 0.999 *** | |
| 10 | 0.361 ± 0.017 b | 0.099 ± 0.014 c | 0.082 ± 0.008 b | 1.260 ± 0.011 c | 0.999 *** | |
| Detritus layer | 0 | 0.383 ± 0.011 a | 0.102 ± 0.021 a | 0.056 ± 0.010 a | 1.311 ± 0.009 a | 0.999 *** |
| 2 | 0.367 ± 0.026 b | 0.090 ± 0.011 b | 0.056 ± 0.008 b | 1.330 ± 0.006 b | 0.999 *** | |
| 5 | 0.361 ± 0.019 b | 0.087 ± 0.010 c | 0.056 ± 0.007 bc | 1.336 ± 0.013 bc | 0.997 *** | |
| 10 | 0.357 ± 0.021 b | 0.083 ± 0.022 c | 0.057 ± 0.002 c | 1.341 ± 0.010 c | 0.997 *** |
| Soil Layer | 0 | 2 | 5 | 10 | ||||
|---|---|---|---|---|---|---|---|---|
| C (KPa) | φ (°) | C (KPa) | φ (°) | C (KPa) | φ (°) | C (KPa) | φ (°) | |
| Surface layer | 34.98 ± 1.23 a | 27.40 ± 1.53 a | 24.65 ± 1.21 b | 25.94 ± 1.23 b | 19.88 ± 0.96 bc | 25.35 ± 1.36 b | 17.49 ± 0.93 c | 24.15 ± 1.92 b |
| Lateritic layer | 28.62 ± 0.96 a | 24.91 ± 1.04 a | 16.70 ± 1.37 b | 23.08 ± 1.40 ab | 12.72 ± 1.01 bc | 21.84 ± 2.05 b | 10.34 ± 0.62 c | 21.68 ± 0.74 b |
| Sandy layer | 7.16 ± 0.52 a | 31.94 ± 1.83 a | 3.18 ± 0.27 b | 29.51 ± 0.83 b | 0.80 ± 0.02 c | 28.25 ± 1.43 bc | 0.00 ± 0.00 c | 27.11 ± 2.03 c |
| Detritus layer | 1.59 ± 0.72 a | 35.10 ± 1.30 a | 0.00 ± 0.00 b | 33.86 ± 1.04 b | 0.00 ± 0.00 b | 33.48 ± 1.68 b | 0.00 ± 0.00 b | 32.72 ± 1.90 b |
| θs (cm3 cm−3) | θr (cm3 cm−3) | α | n | Ks (cm min−1) | C (KPa) | φ (°) | |
|---|---|---|---|---|---|---|---|
| Soil layer | 0.61 | 0.01 * | 0.02 * | 0.04 * | 0.57 | 0.00 ** | 0.03 * |
| W-D cycles | 0.03 * | 0.00 ** | 0.01 * | 0.02 * | 0.00* | 0.00 *** | 0.04 * |
| Soil layer × W-D cycles | 0.97 * | 0.03 * | 0.04 * | 0.05 | 0.95 | 0.00 ** | 0.85 |
Publisher’s Note: MDPI stays neutral with regard to jurisdictional claims in published maps and institutional affiliations. |
© 2022 by the authors. Licensee MDPI, Basel, Switzerland. This article is an open access article distributed under the terms and conditions of the Creative Commons Attribution (CC BY) license (https://creativecommons.org/licenses/by/4.0/).
Share and Cite
Xia, J.; Zhang, L.; Ge, P.; Lu, X.; Wei, Y.; Cai, C.; Wang, J. Structure Degradation Induced by Wetting and Drying Cycles for the Hilly Granitic Soils in Collapsing Gully Erosion Areas. Forests 2022, 13, 1426. https://doi.org/10.3390/f13091426
Xia J, Zhang L, Ge P, Lu X, Wei Y, Cai C, Wang J. Structure Degradation Induced by Wetting and Drying Cycles for the Hilly Granitic Soils in Collapsing Gully Erosion Areas. Forests. 2022; 13(9):1426. https://doi.org/10.3390/f13091426
Chicago/Turabian StyleXia, Jinwen, Lichao Zhang, Pelin Ge, Xianghui Lu, Yujie Wei, Chongfa Cai, and Jie Wang. 2022. "Structure Degradation Induced by Wetting and Drying Cycles for the Hilly Granitic Soils in Collapsing Gully Erosion Areas" Forests 13, no. 9: 1426. https://doi.org/10.3390/f13091426
APA StyleXia, J., Zhang, L., Ge, P., Lu, X., Wei, Y., Cai, C., & Wang, J. (2022). Structure Degradation Induced by Wetting and Drying Cycles for the Hilly Granitic Soils in Collapsing Gully Erosion Areas. Forests, 13(9), 1426. https://doi.org/10.3390/f13091426
