Next Article in Journal
Assessment of Small-Extent Forest Fires in Semi-Arid Environment in Jordan Using Sentinel-2 and Landsat Sensors Data
Next Article in Special Issue
Physical and Mechanical Properties of High-Density Fiberboard Bonded with Bio-Based Adhesives
Previous Article in Journal
Is the Invasiveness of Pittosporum undulatum in Eucalypt Forests Explained by the Wide Ranging Effects of Its Secondary Metabolites?
Previous Article in Special Issue
Influence of Phenol–Formaldehyde Resin Oligomer Molecular Weight on the Strength Properties of Beech Wood
 
 
Font Type:
Arial Georgia Verdana
Font Size:
Aa Aa Aa
Line Spacing:
Column Width:
Background:
Article

Impact of Sugar Beet Pulp Share on Selected Physical and Mechanical Properties of Particleboards

1
Institute of Wood Sciences and Furniture, Warsaw University of Life Sciences—SGGW, ul. Nowoursynowska 159, 02-776 Warsaw, Poland
2
Faculty of Biotechnology and Animal Husbandry, West Pomeranian University in Szczecin, Janickiego 33 St., 71-270 Szczecin, Poland
3
Institute of Forest Sciences, Warsaw University of Life Sciences—SGGW, ul. Nowoursynowska 159, 02-776 Warsaw, Poland
4
Department of Mechanical Wood Technology, Poznań University of Life Sciences, ul. Wojska Polskiego 28, 60-637 Poznań, Poland
*
Author to whom correspondence should be addressed.
Forests 2023, 14(1), 40; https://doi.org/10.3390/f14010040
Submission received: 26 November 2022 / Revised: 16 December 2022 / Accepted: 21 December 2022 / Published: 26 December 2022
(This article belongs to the Special Issue Advanced Technologies in Physical and Mechanical Wood Modification)

Abstract

The aim of this study was to investigate the applicability of sugar beet pulp (SBP) in particleboard production as a substitute for wood material. Two variants of board density, 650 kg/m3 and 550 kg/m3, containing 0%, 25% and 50% of SPB, were evaluated. During the study the following features were measured: modulus of rupture (MOR), modulus of elasticity (MOE), thickness swelling (TS) and water absorption (WA). The results showed that boards containing up to 25% of SBP meet standards for boards for general-purpose used in dry conditions. Further increases in SBP content deteriorated some of the investigated properties of the boards.

1. Introduction

Global production of wood-based materials has been following a constant upward trend for years, and in 2020 it reached 102 million cubic meters [1]. Such high value is determined by the constantly growing demand for this type of board. Their mechanical and physical properties as well as their relatively low price make them widely applied in such industries as furniture, building, construction and packaging [2].
High production binds with high demand for the feedstock, and the main raw materials in this case are wood particles. Due to the finite possibilities of obtaining wood raw material from forests, more and more attention is being devoted to attempts to manufacture innovative particleboards using alternative feedstock. Recent research has focused on boards made with post-waste paper [3], cement-particle boards [4,5], basalt-particle boards [6] and with the use of post-consumer thermoplastic materials [7]. However, it seems that the most promising direction for the production of particleboards may be obtaining raw material from agricultural lingo-cellulosic waste [8,9,10].
In recent years a large number of scientific works describing use of alternative lignocellulosic sources in the production of particleboards have been released. The studies included among others, such materials as: vine prunings [11,12], eggplant stalks [13], kenaf stalks [14,15], straw [16], tomato stalks [17], sunflower stalks [18], apple prunings [19], corn cobs [20], oil camellia [21,22] and others. One such agricultural waste is sugar beet pulp (SBP), which is a by-product of sugar production. It is mainly composed of arabinians, hemicelluloses, pectins, and cellulose microfibrils [23,24,25]. SBP is commonly used as animal feed. The low pectin content, high drying costs and large availability of this material led to attempts to use it as an alternative feedstock for different purposes. Studies conducted so far have been focused on the use of SBP as, e.g., a source of cellulosic microfibrils [26], a source of polyols for the production of urethanes and polyurethanes [27], a source of fiber in biodegradable composites [28,29,30] or in paper manufacture [31], and in the production of bioethanol [32].
SBP was also tested as a raw material in the process of particleboard production. Borysiuk et al. [33] demonstrated the possibility of producing particleboards with up to 30% SBP in the core layer without significant deterioration of their mechanical properties. However, the authors did not discuss the potential impact of panel density within the research. Present studies concentrate on the prospect of producing low-density particleboards [34,35]; however, the density is an important factor determining the properties of wood-based panels [2]. The aim of the present study was to determine the influence of the proportion of SBP and the density of particleboards on selected mechanical and physical properties.

2. Materials and Methods

2.1. Material

SBP used in the experiment was provided by a Polish sugar producer (Krajowa Grupa Spożywcza S.A. w Toruniu, Oddział Cukrownia Krasnystaw, Poland). The sugar beet pulp consisted of flakes with dimensions of approximately 5–7 mm in diameter and 1–2 mm in thickness. The SBP used in the particleboard manufacturing process was characterized by a moisture content of 4%.
The industrial wood particles were applied in the face and core layers. The pine wood particles were delivered by a Polish factory producing particleboards. Particles for the face layers were characterized by a moisture content of 7%, and for the core layer of 4%.
The adhesive used was based on urea formaldehyde resin (UF) (Silekol 120, Silekol Sp, z o.o., Kędzierzyn-Koźle, Poland) with a dry matter content of 67%, a relative density of 1.30 g/cm3 and a dynamic viscosity of about 500 mPas. The hardener was a 10% aqueous solution of ammonium sulfate. The unit composition of the adhesive was 50:15.5:1.5 UF resin, water, and hardener, respectively.

2.2. Particleboard Manufacturing

Three-layer particleboards with a thickness of 16 mm were produced in two variants of density: 550 kg/m3 and 650 kg/m3. The face layers constituted 35% of the panel. The content of the binder in these layers was 12% and in the core layer 10%. The core layer of board was varied in the beet pulp content as follows: 0% (control variant), 25%, 50%, and the face layers were made with 100% wood particles. Table 1 shows variants of particleboards used in the experiment.
The boards were produced using a ZUP-NYSA PH-1LP25 hydraulic press at a unit pressing pressure of 2.5 MPa, a temperature of 180 °C and pressing time of 288 s (pressing factor 18 s/mm). Four boards with dimensions of 320 × 320 mm were produced for each variant. The manufactured particleboards were conditioned under normal conditions (20 ± 2 °C, 65 ± 5% air humidity) for at least seven days.

2.3. Experimental

The modulus of rupture (MOR) and modulus of elasticity (MOE) were determined according to EN 310 [36]. Internal bonding was determined through the tensile test perpendicular to the surface of the board, according to EN 319 [37]. All mechanical tests were conducted via a laboratory-testing machine custom-made by the Research & Development Center for Wood-Based Panels Sp. z.o.o. in Czarna Woda, Poland. At least 10 samples were used to determine each property.
The density of particleboards was measured according to EN 323 [38]. Thickness swelling (TS) after 2 h and 24 h of soaking in water were measured according to EN 317 [39]. Briefly, samples were completely immersed in water at room temperature for 2 h and 24 h in such a way that their possible dimensional changes were not limited. Water absorption (WA) was measured during TS and calculated as follows:
W A = m 2 m 1 m 1 100 ,
where WA is the water absorption (%), m1 is the sample weight before soaking (g) and m2 is the sample weight after soaking (g).

2.4. Statistical Analysis

Statistical analysis of the results was carried out in Statistica (data analysis software system), Version 13 (TIBCO Software Inc., Palo Alto, CA, USA). Analysis of variance (MANOVA) were used to test (significant level α = 0.05) for significant differences between factors. A comparison of the means was performed by Tukey test, with a 0.05 significance level.

3. Results and Discussion

The particleboards produced in the study had an average density in the range of 644–663 kg/m3 for variants A, C, E and 553–562 kg/m3 for variants B, C, F (Table 2). It should be noted that the difference in the particleboards’ density in relation to their assumed value did not exceed 3%. In addition, statistical analysis did not reveal statistically significant differences in density values between board variants with the same assumed density.
Particleboards with 25% of SBP content and the density of 650 kg/m3 revealed a significant decline in modulus of rupture (about 40% lower) compared to the boards with no SBP (Figure 1). The same parameter was somewhat lower in the case of boards with the density of 550 kg/m3 and 25% SPB compared to the boards of the same density and no SBP additive.
The technical requirements of particleboards, depending on their intended use, are compiled and described in the EN 312 standard [40]. The minimum value of modulus of rupture for particleboards intended for general purpose and use in dry conditions (P2 type boards) is 10 N/mm2. When analyzing the results presented in Figure 1, it can be concluded that none of the particleboards made with SBP met these requirements. However, it should be noted that the variants with a 25% SBP share were characterized by a strength of at least 9.4 N/mm2 regardless of the density. Similar dependencies were noted by Borysiuk et al. [33].
An analysis of the MOE results demonstrates that the manufactured boards with 25% SBP share met the minimum requirements of the EN 312 standard (1600 N/mm2) [40]. A significant decrease in the MOE value for particleboards with 25% SBP share compared to boards without SBP was observed only for boards with a density of 650 kg/m3 (Figure 2). Interestingly, the decrease in the parameter occurs much more smoothly along with the increase in the SBP share in the case of boards with the lower density. This may be related to pectins and sugars in the beet pulp, which may behave as additional adhesives due to pressing. In addition, the proportion of SBP may influence how the board is compacted during pressing. The analysis of variance showed a significant influence of the board density and SBP share on the properties of the manufactured particleboards (Table 3). The percentage impact coefficient of SBP share was 67.68% for MOR and 74.13% for MOE, while the density values were 2.51% for MOR and 2.15% for MOE. This proves that it is mainly the SBP share that determines the MOR and MOE of the manufactured particleboards, thus evidencing that the SBP share can be expectedly to affect all the other panel properties. If the SBP share predominantly determines the properties of the MOR and MOE, its properties will largely affect the properties of the manufactured particleboards. When comparing the results of the research on the use of agriculture residues, a general trend of a decrease in the mechanical properties of particleboards with an increase in the share of agriculture residues can be observed [19,33]. The observed relationships are consistent with the literature data.
A significant increase in the IB values was observed in the case of boards with 25% SBP compared to reference boards regardless of their density (Figure 3). It should be noted that all the particleboards produced met at least the minimum requirements of the EN 312 standard (0.24 N/mm2) for P2 type boards. The analysis of variance showed a significant influence of the SBP share (X = 38.98%). However, the error value (X = 50.07%) was higher than the X values for SBP content and the density; this indicates that untested factors had a greater influence on IB.
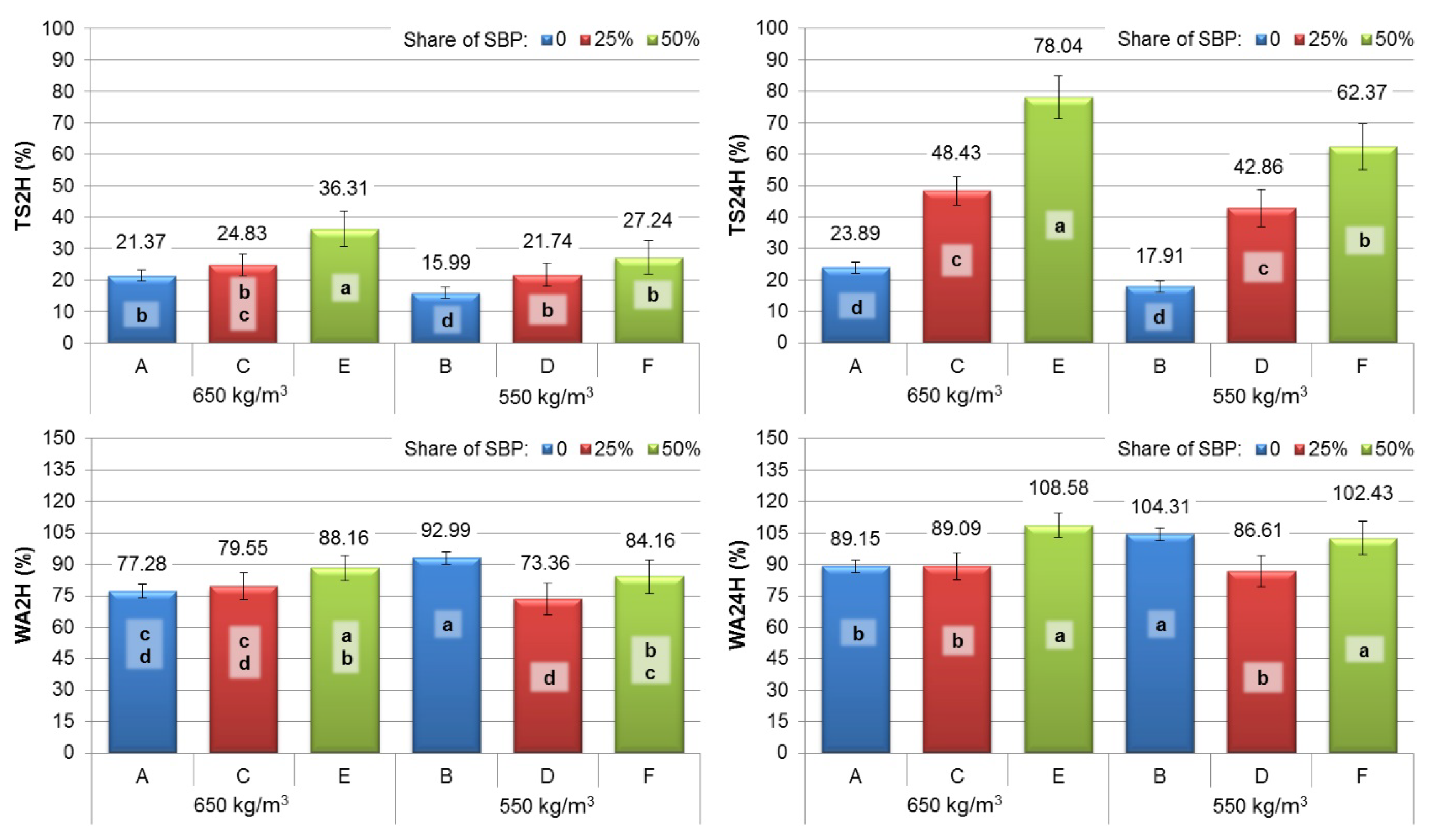
Figure 4 illustrates the results of the physical properties of the manufactured particleboards following soaking. When analyzing the results of thickness swelling and water absorption, it should be noted that no hydrophobic agents were used in the process of manufacturing the particleboards. SBP particleboards generally showed a higher TS value than reference boards. Analyzing Figure 4, it can be seen that the increase in the value of the TS after 24 h of immersion in water is almost proportional to the share of SBP in the particleboard. The analysis of variance showed that both the density of the manufactured particleboards and the share of SBP are statistically significant (Table 4). However, the analysis of the percentage of factors’ impact showed that the determining factor in the case of TS was the SBP share. On the other hand, the density played a less significant role in this case, and its value of X was lower than that of the errors.
In the case of water absorption, only the SBP share was statistically significant. However, the X value for the SBP share after 2 h of soaking in water was lower than that recorded for the error, which may indicate that in the first 2 h of immersion in water, the absorption is mainly affected by other factors than the tested ones.
Then again, analysis of variance demonstrated that water absorption after 24 h of soaking in water was significantly influenced by the SBP share (X = 44.88%) and other factors untested in the experiment (error X = 35.38%).

4. Conclusions

Based on the conducted research, it can be concluded that the SBP share significantly influenced the mechanical and physical properties of manufactured boards. MOR and MOE properties significantly decreased as the content of SBP increased. However, addition of SBP improved IB. The tests revealed that the SBP share, when not exceeding 25%, enables the production of boards with strength properties which are close to meeting the requirements of the EN 312 standard for boards for general-purpose use in dry conditions, that may find applicability in the construction industry as non-structural filling elements. SBP addition is one of the main factors determining the thickness swelling and water absorption. At the same time, the density in this study did not significantly affect the water absorption. In order to reduce the swelling and water absorption values, the use of hydrophobic additives during the production of boards should be considered.

Author Contributions

Conceptualization, R.A., P.B. and A.A.; methodology, J.W. and R.A.; validation, R.A., P.B.; formal analysis, R.A. and Ł.K.; investigation, R.A., P.B., M.L.; data curation, R.A.; writing—original draft preparation, R.A., P.B., A.A., J.W., Ł.K. and M.L.; writing—review and editing, A.A.; visualization, R.A. and A.A.; supervision, R.A.; project administration, R.A. All authors have read and agreed to the published version of the manuscript.

Funding

This research received no external funding.

Data Availability Statement

Not applicable.

Conflicts of Interest

The authors declare no conflict of interest.

References

  1. FAOSTAT. Available online: https://www.fao.org/faostat/en/#home (accessed on 10 October 2022).
  2. Thoemen, H.; Irle, M.; Sernek, M. Wood-Based Panels An Introduction for Specialists; Brunel University Press: London, UK, 2010; ISBN 9781902316826. [Google Scholar]
  3. Lertsutthiwong, P.; Khunthon, S.; Siralertmukul, K.; Noomun, K.; Chandrkrachang, S. New Insulating Particleboards Prepared from Mixture of Solid Wastes from Tissue Paper Manufacturing and Corn Peel. Bioresour. Technol. 2008, 99, 4841–4845. [Google Scholar] [CrossRef] [PubMed]
  4. Wang, L.; Chen, S.S.; Tsang, D.C.W.; Poon, C.-S.; Shih, K. Recycling Contaminated Wood into Eco-Friendly Particleboard Using Green Cement and Carbon Dioxide Curing. J. Clean. Prod. 2016, 137, 861–870. [Google Scholar] [CrossRef]
  5. Wang, L.; Yu, I.K.M.; Tsang, D.C.W.; Yu, K.; Li, S.; Poon, C.S.; Dai, J.G. Upcycling Wood Waste into Fibre-Reinforced Magnesium Phosphate Cement Particleboards. Constr. Build. Mater. 2018, 159, 54–63. [Google Scholar] [CrossRef]
  6. Kramár, S.; Mayer, A.K.; Schöpper, C.; Mai, C. Use of Basalt Scrim to Enhance Mechanical Properties of Particleboards. Constr. Build. Mater. 2020, 238, 117769. [Google Scholar] [CrossRef]
  7. Borysiuk, P.; Wilkowski, J.; Krajewski, K.; Auriga, R.; Skomorucha, A.; Auriga, A. Selected Properties of Flat-Pressed Wood-Polymer Composites for High Humidity Conditions. BioResources 2020, 15, 5141–5155. [Google Scholar] [CrossRef]
  8. Müller, C.; Schwarz, U.; Thole, V. Zur Nutzung von Agrar-Reststoffen in Der HolzwerkstoffindustrieOn the Utilization of Agricultural Residues in the Wood-Based Panel Industry. Eur. J. Wood Wood Prod. 2011, 70, 587–594. [Google Scholar] [CrossRef]
  9. Pędzik, M.; Janiszewska, D.; Rogoziński, T. Alternative Lignocellulosic Raw Materials in Particleboard Production: A Review. Ind. Crops Prod. 2021, 174, 114162. [Google Scholar] [CrossRef]
  10. Lee, S.H.; Lum, W.C.; Boon, J.G.; Kristak, L.; Antov, P.; Pędzik, M.; Rogoziński, T.; Taghiyari, H.R.; Lubis, M.A.R.; Fatriasari, W.; et al. Particleboard from Agricultural Biomass and Recycled Wood Waste: A Review. J. Mater. Res. Technol. 2022, 20, 4630–4658. [Google Scholar] [CrossRef]
  11. Ntalos, G.A.; Grigoriou, A.H. Characterization and Utilisation of Vine Prunings as a Wood Substitute for Particleboard Production. Ind. Crops Prod. 2002, 16, 59–68. [Google Scholar] [CrossRef]
  12. Auriga, R.; Auriga, A.; Borysiuk, P.; Wilkowski, J.; Fornalczyk, O.; Ochmian, I. Lignocellulosic Biomass from Grapevines as Raw Material for Particleboard Production. Polymers 2022, 14, 2483. [Google Scholar] [CrossRef]
  13. Guntekin, E.; Karakus, B. Feasibility of Using Eggplant (Solanum Melongena) Stalks in the Production of Experimental Particleboard. Ind. Crops Prod. 2008, 27, 354–358. [Google Scholar] [CrossRef]
  14. Kalaycioglu, H.; Nemli, G. Producing Composite Particleboard from Kenaf (Hibiscus cannabinus L.) Stalks. Ind. Crops Prod. 2006, 24, 177–180. [Google Scholar] [CrossRef]
  15. Paridah, M.T.; Juliana, A.H.; El-Shekeil, Y.A.; Jawaid, M.; Alothman, O.Y. Measurement of Mechanical and Physical Properties of Particleboard by Hybridization of Kenaf with Rubberwood Particles. Meas. J. Int. Meas. Confed. 2014, 56, 70–80. [Google Scholar] [CrossRef]
  16. Tabarsa, T.; Jahanshahi, S.; Ashori, A. Mechanical and Physical Properties of Wheat Straw Boards Bonded with a Tannin Modified Phenol-Formaldehyde Adhesive. Compos. Part B Eng. 2011, 42, 176–180. [Google Scholar] [CrossRef]
  17. Taha, I.; Elkafafy, M.S.; El Mously, H. Potential of Utilizing Tomato Stalk as Raw Material for Particleboards. Ain Shams Eng. J. 2018, 9, 1457–1464. [Google Scholar] [CrossRef]
  18. Zeleniuc, O.; Brenci, L.M.; Cosereanu, C.; Fotin, A. Influence of Adhesive Type and Content on the Properties of Particleboard Made from Sunflower Husks. BioResources 2019, 14, 7316–7331. [Google Scholar] [CrossRef]
  19. Auriga, R.; Borysiuk, P.; Gumowska, A.; Smulski, P. Influence of Apple Wood Waste from the Annual Care Cut on the Mechanical Properties of Particleboards. Ann. WULS For. Wood Technol. 2019, 105, 47–53. [Google Scholar] [CrossRef]
  20. Akinyemi, A.B.; Afolayan, J.O.; Ogunji Oluwatobi, E. Some Properties of Composite Corn Cob and Sawdust Particle Boards. Constr. Build. Mater. 2016, 127, 436–441. [Google Scholar] [CrossRef]
  21. Chaydarreh, K.C.; Lin, X.; Dandan, L.; Zhang, W.; Guan, L.; Hu, C. Developing 3-Layer Tea Oil Camellia (Camellia oleifera Abel.) Shells-Based Particleboard with Systematic Study on Particle Geometry and Distribution. Ind. Crops Prod. 2022, 179, 114682. [Google Scholar] [CrossRef]
  22. Choupani Chaydarreh, K.; Lin, X.; Guan, L.; Hu, C. Interaction between Particle Size and Mixing Ratio on Porosity and Properties of Tea Oil Camellia (Camellia oleifera Abel.) Shells-Based Particleboard. J. Wood Sci. 2022, 68, 43. [Google Scholar] [CrossRef]
  23. Dinand, E.; Chanzy, H.; Vignon, M.R. Parenchymal Cell Cellulose from Sugar Beet Pulp: Preparation and Properties. Cellulose 1996, 3, 183–188. [Google Scholar] [CrossRef]
  24. Sun, R.; Hughes, S. Fractional Extraction and Physico-Chemical Characterization of Hemicelluloses and Cellulose from Sugar Beet Pulp. Carbohydr. Polym. 1998, 36, 293–299. [Google Scholar] [CrossRef]
  25. Oosterveld, A.; Beldman, G.; Schols, H.A.; Voragen, A.G.J. Characterization of Arabinose and Ferulic Acid Rich Pectic Polysaccharides and Hemicelluloses from Sugar Beet Pulp. Carbohydr. Res. 2000, 328, 185–197. [Google Scholar] [CrossRef] [PubMed]
  26. Dinand, E.; Chanzy, H.; Vignon, R.M. Suspensions of Cellulose Microfibrils from Sugar Beet Pulp. Food Hydrocoll. 1999, 13, 275–283. [Google Scholar] [CrossRef]
  27. Pavier, C.; Gandini, A. Oxypropylation of Sugar Beet Pulp. 1. Optimisation of the Reaction. Ind. Crops Prod. 2000, 12, 1–8. [Google Scholar] [CrossRef]
  28. Leitner, J.; Hinterstoisser, B.; Wastyn, M.; Keckes, J.; Gindl, W. Sugar Beet Cellulose Nanofibril-Reinforced Composites. Cellulose 2007, 14, 419–425. [Google Scholar] [CrossRef]
  29. Liu, L.S.; Finkenstadt, V.L.; Liu, C.-K.; Coffin, D.R.; Willett, J.L.; Fishman, M.L.; Hicks, K.B. Green Composites from Sugar Beet Pulp and Poly(Lactic Acid): Structural and Mechanical Characterization. J. Biobased Mater. Bioenergy 2008, 1, 323–330. [Google Scholar] [CrossRef]
  30. Mohamed, A.A.; Finkenstadt, V.L.; Palmquist, D.E. Thermal Properties of Extruded/Injection-Molded Poly(Lactic Acid) and Biobased Composites. J. Appl. Polym. Sci. 2008, 107, 898–908. [Google Scholar] [CrossRef]
  31. Fišerová, M.; Gigac, J.; Butaš, R. Influence of Sugar Beet Pulp on Bond Strength and Structure of Paper. Wood Res. 2007, 52, 59–74. [Google Scholar]
  32. Vučurović, V.M.; Razmovski, R.N. Sugar Beet Pulp as Support for Saccharomyces Cerivisiae Immobilization in Bioethanol Production. Ind. Crops Prod. 2012, 39, 128–134. [Google Scholar] [CrossRef]
  33. Borysiuk, P.; Jenczyk-Tolloczko, I.; Auriga, R.; Kordzikowski, M. Sugar Beet Pulp as Raw Material for Particleboard Production. Ind. Crops Prod. 2019, 141, 111829. [Google Scholar] [CrossRef]
  34. Boruszewski, P.; Borysiuk, P.; Jankowska, A.; Pazik, J. Low-Density Particleboards Modified with Blowing Agents—Characteristic and Properties. Materials 2022, 15, 4528. [Google Scholar] [CrossRef] [PubMed]
  35. Boruszewski, P.; Borysiuk, P.; Jankowska, A.; Pazik, J. Low-Density Particleboards Modified with Expanded and Unexpanded Fillers—Characteristics and Properties. Materials 2022, 15, 4430. [Google Scholar] [CrossRef] [PubMed]
  36. EN 310; Wood-Based Panels-Determination of Modulus of Elasticity in Bending and of Bending Strength. European Committee for Standardisation: Brussels, Belgium, 1994.
  37. EN 319; Particleboards and Fibreboards-Determination of Tensile Strength Perpendicular to the Plane of the Board. European Committee for Standardisation: Brussels, Belgium, 1999.
  38. EN 323; Wood-Based Panels-Determination of Density. European Committee for Standardisation: Brussels, Belgium, 1999.
  39. EN 317; Particleboards and Fibreboards-Determination of Swelling in Thickness after Immersion in Water. European Committee for Standardisation: Brussels, Belgium, 1999.
  40. EN 312; Particleboards-Specyfications. European Committee for Standardisation: Brussels, Belgium, 2011.
Figure 1. Modulus of rupture of particleboards. a,b,c—homogenous group by Tukey test (α = 0.05).
Figure 1. Modulus of rupture of particleboards. a,b,c—homogenous group by Tukey test (α = 0.05).
Forests 14 00040 g001
Figure 2. Modulus of elasticity of particleboards. a,b,c,d—homogenous group by Tukey test (α = 0.05).
Figure 2. Modulus of elasticity of particleboards. a,b,c,d—homogenous group by Tukey test (α = 0.05).
Forests 14 00040 g002
Figure 3. Internal bound of particleboards. a,b,c—homogenous group by Tukey test (α = 0.05).
Figure 3. Internal bound of particleboards. a,b,c—homogenous group by Tukey test (α = 0.05).
Forests 14 00040 g003
Figure 4. Thickness swelling and water absorption after 2 and 24 h of soaking in water. a,b,c,d—homogenous group by Tukey test (α = 0.05).
Figure 4. Thickness swelling and water absorption after 2 and 24 h of soaking in water. a,b,c,d—homogenous group by Tukey test (α = 0.05).
Forests 14 00040 g004
Table 1. Variants of manufactured boards.
Table 1. Variants of manufactured boards.
VariantCore Layer SBP Share (%)Density (kg/m3)
A0650
B0550
C25650
D25550
E50650
F50550
Table 2. Average density of manufactured particleboards.
Table 2. Average density of manufactured particleboards.
VariantParticleboards Density (kg/m3)
AverageStd. Dev.
A663 a32
B553 b27
C648 a34
D566 b22
E644 a34
F562 b31
a,b—homogenous group by Tukey test (α = 0.05).
Table 3. MANOVA results of mechanical properties of particleboards.
Table 3. MANOVA results of mechanical properties of particleboards.
MORMOEIB
pXpXpX
Share0.00067.680.00074.130.00038.98
Density0.0012.510.0012.150.2121.48
Share × Density0.00017.660.00013.830.0099.46
Error 12.15 9.89 50.07
p—significant with α = 0.05; X—percentage of contribution.
Table 4. MANOVA results of physical properties of particleboards.
Table 4. MANOVA results of physical properties of particleboards.
TS2HTS24HWA2HWA24H
pXpXpXpX
Share0.00055.310.00088.970.00024.900.00044.88
Density0.00016.070.0004.520.2371.110.2161.02
Share × Density0.0582.860.0041.200.00031.870.00018.71
Error 25.75 5.31 42.11 35.38
p—significant with α = 0.05; X—percentage of contribution.
Disclaimer/Publisher’s Note: The statements, opinions and data contained in all publications are solely those of the individual author(s) and contributor(s) and not of MDPI and/or the editor(s). MDPI and/or the editor(s) disclaim responsibility for any injury to people or property resulting from any ideas, methods, instructions or products referred to in the content.

Share and Cite

MDPI and ACS Style

Auriga, R.; Borysiuk, P.; Latos, M.; Auriga, A.; Kwaśny, Ł.; Walkiewicz, J. Impact of Sugar Beet Pulp Share on Selected Physical and Mechanical Properties of Particleboards. Forests 2023, 14, 40. https://doi.org/10.3390/f14010040

AMA Style

Auriga R, Borysiuk P, Latos M, Auriga A, Kwaśny Ł, Walkiewicz J. Impact of Sugar Beet Pulp Share on Selected Physical and Mechanical Properties of Particleboards. Forests. 2023; 14(1):40. https://doi.org/10.3390/f14010040

Chicago/Turabian Style

Auriga, Radosław, Piotr Borysiuk, Maciej Latos, Alicja Auriga, Łukasz Kwaśny, and Joanna Walkiewicz. 2023. "Impact of Sugar Beet Pulp Share on Selected Physical and Mechanical Properties of Particleboards" Forests 14, no. 1: 40. https://doi.org/10.3390/f14010040

APA Style

Auriga, R., Borysiuk, P., Latos, M., Auriga, A., Kwaśny, Ł., & Walkiewicz, J. (2023). Impact of Sugar Beet Pulp Share on Selected Physical and Mechanical Properties of Particleboards. Forests, 14(1), 40. https://doi.org/10.3390/f14010040

Note that from the first issue of 2016, this journal uses article numbers instead of page numbers. See further details here.

Article Metrics

Back to TopTop