Patterns of Change and Successional Transition in a 47-Year Period (1973–2020) in Rangelands of the Tamaulipan Highlands, Northeastern Mexico
Abstract
1. Introduction
2. Materials and Methods
2.1. Description of the Study Area
2.2. Data Acquisition and Preprocessing
2.3. Data Acquisition and Preprocessing
2.4. Succession Analysis
- Category 1. Constant disturbance: areas where anthropogenic activities persisted and remained unchanged during each of the five temporal stages up to 2020.
- Category 2. Currently modified: areas without a permanent disturbance but with the presence of anthropogenic activities in 2020.
- Category 3. Constant rangeland: areas of rangeland that remained unchanged during the five stages up to 2020.
- Category 4. Rangeland—47 Years of succession: areas that were disturbed in 1973 but showed rangeland vegetation in 1986 and persisted up to 2020.
- Category 5. Rangeland—34 Years of succession: areas that were disturbed in 1986 but showed rangeland vegetation in 2000 and persisted up to 2020.
- Category 6. Rangeland—20 Years of succession: areas that were disturbed in 2000 but showed rangeland vegetation in 2009 and persisted up to 2020.
- Category 7. Rangeland—11 Years of succession: areas that were disturbed in 2009 but showed rangeland vegetation in 2020.
- Category 8: Transition area to rangeland: areas of submontane scrub, pine–oak forest, or tascate forest in 2009 that changed to rangeland in 2020.
- Category 9: Submontane scrub/pine–oak forest/tascate forest: any area of these three categories that were present in 2020.
3. Results
3.1. Changes in Land Use and Vegetation Cover in San Rafael, Tula, Tamaulipas
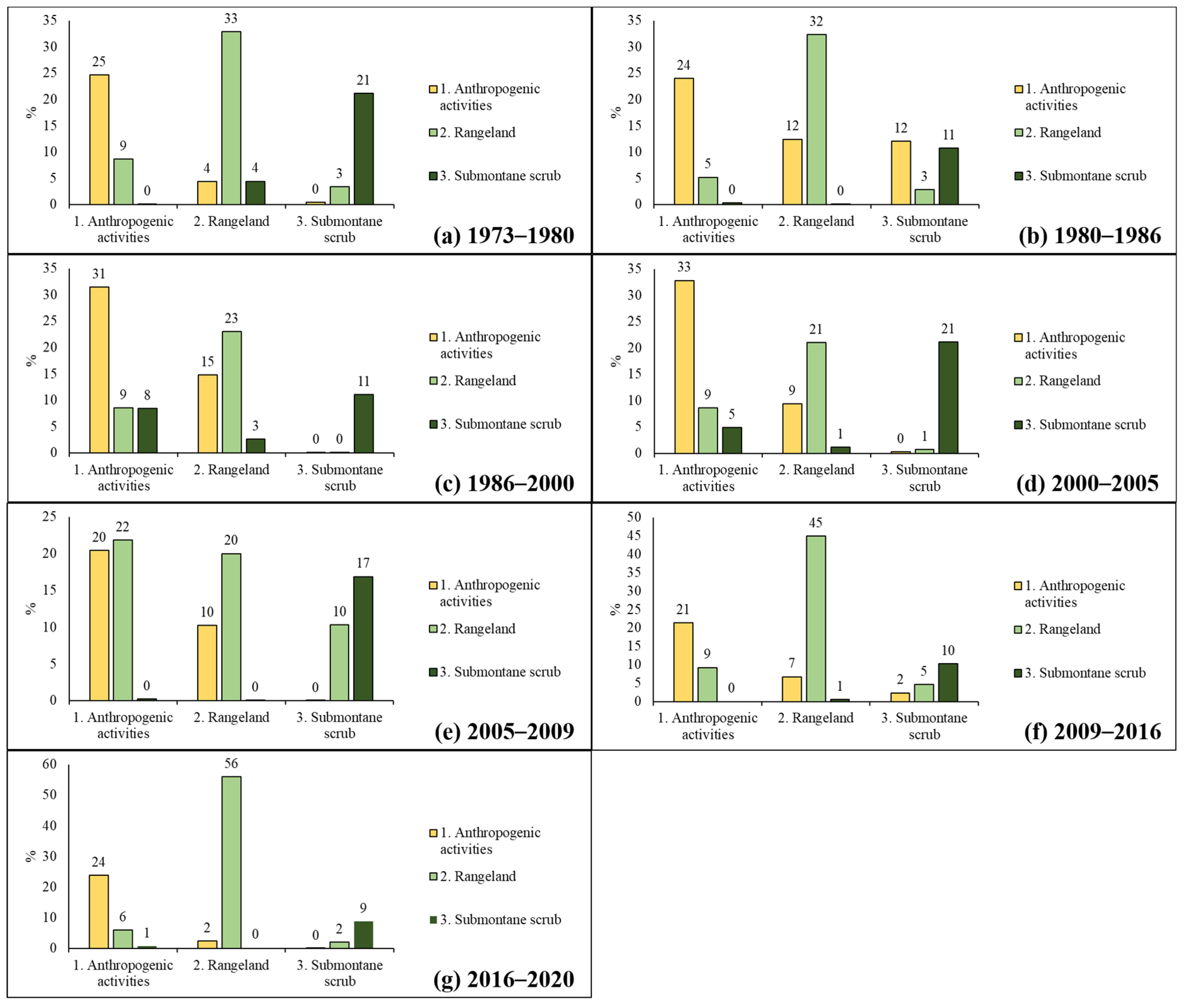
3.2. Changes in Land Use and Vegetation Cover in San Antonio, Jaumave, Tamaulipas
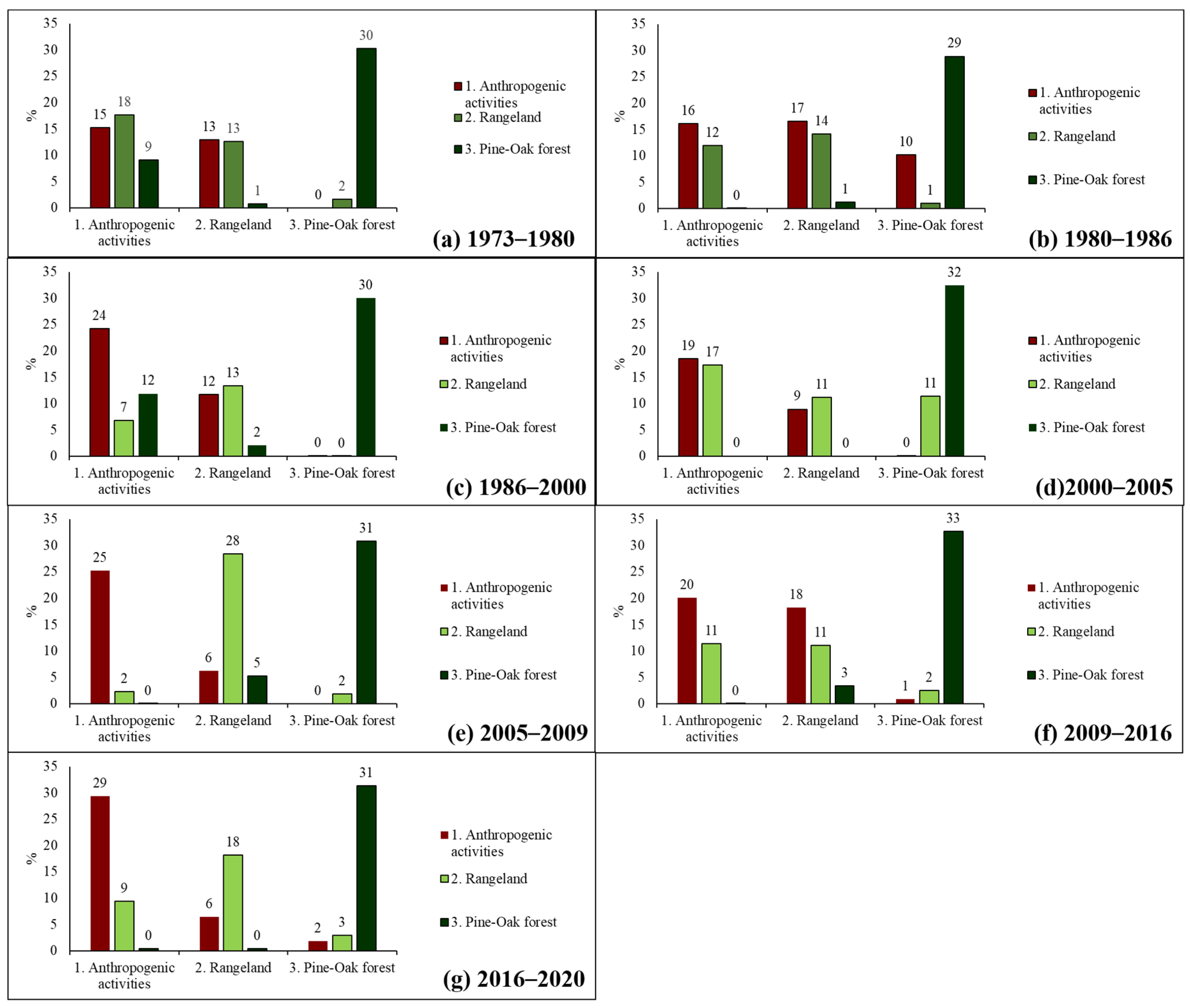
3.3. Changes in Land Use and Vegetation Cover in La Peña, Miquihuana, Tamaulipas
3.4. Changes in Land Use and Vegetation Cover in San Vicente, Palmillas, Tamaulipas
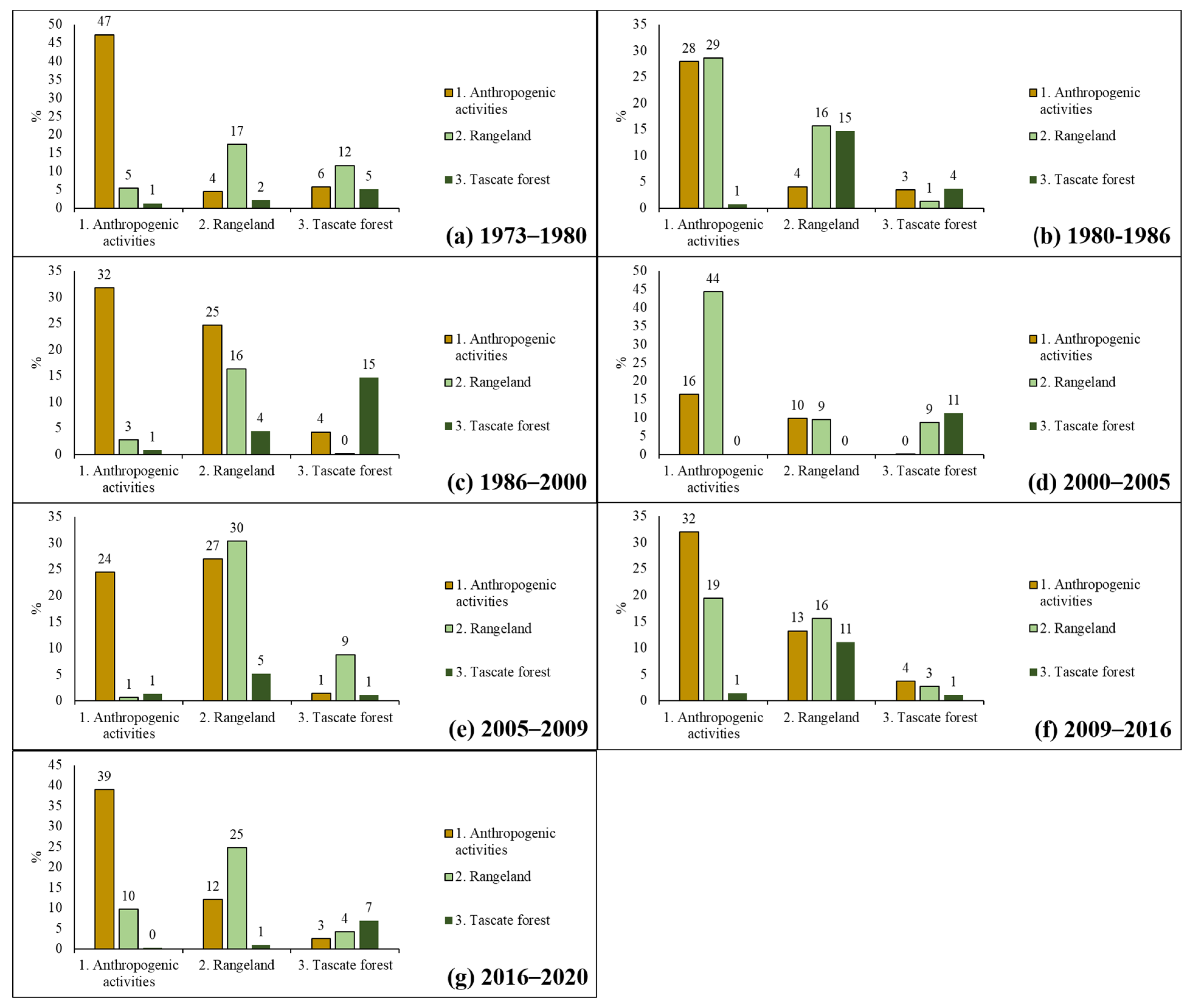
3.5. Changes in Land Use and Vegetation Cover in El Llano y Anexas, Bustamante, Tamaulipas
4. Discussion
4.1. Permanence, Succession, or Recovery of Rangeland Areas
4.2. Successional Categories in Rangeland Areas
4.3. Use of Successional Categories as a Proposal for the Delimitation of Exclusion, Restoration, and Rotation Areas of Rangelands in the Tamaulipan Highlands
5. Conclusions
Author Contributions
Funding
Data Availability Statement
Conflicts of Interest
Appendix A





References
- Squires, V.R. People in rangelands: Their role and influence on rangeland utilization and sustainable management. In Range and Animal Sciences and Resources Management; Squires, V.R., Ed.; University of Adelaide: Adelaide, Australia, 2010; pp. 2–19. ISBN 978-1-84826-370-3. [Google Scholar]
- Heady, H.F.; Child, R.D. Rangeland Ecology and Management; Routledge: New York, NY, USA, 2019; pp. 1–12. ISBN 978-0-8133-3799-9. [Google Scholar]
- Instituto Nacional de Estadística, Geografía e Informática (INEGI). Guía Para La Interpretación de Cartografía: Edafología; Instituto Nacional de Estadística, Geografía e Informática: Aguascalientes, México, 2004; pp. 1–27. ISBN 970-13-4376-X.
- Holechek, J.L.; Pieper, R.D.; Herbel, C.H. Range Management Principles and Practices; Prentice Hall: Hoboken, NJ, USA, 1989; pp. 20–76. ISBN 978-0135014165. [Google Scholar]
- Mitchell, J.E. Rangeland resource trends in the United States: A technical document supporting the 2000 USDA Forest Service RPA Assessment. In General Technical Report RMRS-GTR-68, 68; US Department of Agriculture, Forest Service, Rocky Mountain Research Station: Fort Collins, CO, USA, 2000; pp. 11–24. [Google Scholar]
- Martínez-Rojas, A.; Torres-Torres, F. Suelo Agrícola En México: Retrospección y Prospectiva para La Seguridad Alimentaria. Realidad, Datos y Espacio. Rev. Intern. Estadísica Geogr. 2018, 9, 137–155. [Google Scholar]
- Instituto Nacional de Estadística y Geografía (INEGI). Encuesta Nacional Agropecuaria, 28 de Noviembre de 2014. Available online: https://www.inegi.org.mx/programas/ena/2014/ (accessed on 20 July 2022).
- Malhi, G.S.; Kaur, M.; Kaushik, P. Impact of Climate Change on Agriculture, and Its Mitigation Strategies: A Review. Sustainability 2021, 13, 1318. [Google Scholar] [CrossRef]
- Nellemann, C. GLOBIO-Global Methodology for Mapping Human Impacts on the Biosphere; UNEP: Nairobi, Kenia, 2001; pp. 13–24. ISBN 92-807-2051-1. [Google Scholar]
- Enríquez-Quiroz, J.F.; Esqueda-Esquivel, V.A.; Martínez-Méndez, D. Rehabilitación de praderas degradadas en el trópico de México. Rev. Mex. De Cienc. Pecu. 2021, 12, 243–260. [Google Scholar] [CrossRef]
- Siller-Clavel, P.; Badano, E.I.; Villarreal-Guerrero, F.; Prieto-Amparán, J.A.; Pinedo-Álvarez, A.; Corrales-Lerma, R.; Álvarez-Holguín, A.; Hernández-Quiroz, N.S. Distribution Patterns of Invasive Buffelgrass (Cenchrus ciliaris) in Mexico Estimated with Climate Niche Models under the Current and Future Climate. Plants 2022, 1, 1160. [Google Scholar] [CrossRef] [PubMed]
- AU-IBAR. Livestock Development Strategy for Africa (LiDeSA) 2015–2035; Department of Rural Economy and Agriculture: Nairobi, Kenya African Union, 2015; pp. 1–85. ISBN 978-9966-077-30-1.
- Sayre, N.F.; McAllister, R.R.; Bestelmeyer, B.T.; Moritz, M.; Turner, M.D. Earth Stewardship of Rangelands: Coping with Ecological, Economic, and Political Marginality. Front. Ecol. Environ. 2013, 11, 348–354. [Google Scholar] [CrossRef]
- Reid, R.S.; Fernández-Giménez, M.E.; Galvin, K.A. Dynamics and Resilience of Rangelands and Pastoral Peoples around the Globe. Annu. Rev. Environ. Resour. 2014, 39, 217–242. [Google Scholar] [CrossRef]
- Brunson, M. Unwanted No More: Land Use, Ecosystem Services, and Opportunities for Resilience in Human-Influenced Shrublands. Rangelands 2014, 36, 5–11. [Google Scholar] [CrossRef]
- Bounejmate, M.; Norton, B.E.; Khatib, A.; Bathikh, N.; Ghassali, F.; Mourid, M.; Mahyou, H. Partnership for understanding land use-cover change and reviving overgrazed rangeland in Mediterranean areas: ICARDA’s experience. In Réhabilitation des pâturages et des parcours en milieux méditerranéens, ed. Ferchichi, A. (comp.) and Ferchichi, A. (collab.), Zaragoza: CIHEAM. Cah. Options Méditerr. 2004, 62, 267–283. [Google Scholar]
- Dyksterhuis, E.J. Condition and management of rangeland based on quantitative ecology. J. Range Manag. 1949, 2, 104–115. [Google Scholar] [CrossRef]
- Francès, F.; Adam, A.; Castelló, A. A genetic method for diagnosing Lantana camara using a barcoding-based, genus specific, polymerase chain reaction. Gac. Int. Cienc. Forense 2014, 1, 11–15. [Google Scholar]
- Arreola-Nava, M.E.; Vázquez-Castellanos, J.L.; González-Castañeda, M.E. Geographical factors in the epidemiology of intoxication by Karwinskia (tullidora) in Mexico. Cad. Saúde Pública 2000, 16, 255–260. [Google Scholar] [CrossRef]
- Delgado-Padierna, A.Q. Análisis del Efecto al Pastoreo en Cuatro Unidades de Producción del Altiplano Potosino. Master’s Thesis, Universidad Autónoma de San Luis Potosí-Facultad de Agronomía y Veterinaria, San Luis Potosí, Mexico, 2022. [Google Scholar]
- CONAZA (Comisión Nacional de Zonas Áridas). Conservación y Uso Sustentable de Suelo y Agua. México. 19 de Enero de. 2015. Available online: https://www.gob.mx/conaza/documentos/reglas-de-operacion-2015-170664 (accessed on 20 January 2022).
- Rodrigo-Comino, J.; Salvia, R.; Egidi, G.; Salvati, L.; Giménez-Morera, A.; Quaranta, G. Desertification and Degradation Risks vs Poverty: A Key Topic in Mediterranean Europe. Geogr. Res. Lett. 2022, 48, 23–40. [Google Scholar] [CrossRef]
- Banks, T. Property rights reform in rangeland China: Dilemmas on the road to the household ranch. World Dev. 2003, 31, 2129–2142. [Google Scholar] [CrossRef]
- Scoones, I. Living with Uncertainty: New Directions for Pastoral Development in Africa; Intermediate Technology Publications: London, UK, 1993; pp. 1–32. ISBN 978 1 85339 2351. [Google Scholar]
- Niamir-Fuller, M. Managing Mobility in African Rangelands; Intermediate Technology Publications: London, UK, 1999; pp. 18–46. ISBN 1 85339 4734. [Google Scholar]
- Sánchez-Reyes, U.J.; Niño-Maldonado, S.; Barrientos-Lozano, L.; Treviño-Carreón, J. Assessment of Land Use-Cover Changes and Successional Stages of Vegetation in the Natural Protected Area Altas Cumbres, Northeast Mexico, Using Landsat Satellite Image. Remote Sens. 2017, 9, 712. [Google Scholar] [CrossRef]
- Silcock, J.L.; Fensham, R.J. Arid vegetation in disequilibrium with livestock grazing evidence from long-term exclosures. Austral Ecol. 2013, 38, 57–65. [Google Scholar] [CrossRef]
- Kaufmann, I.; Feldman, S.R.; Sacido, M.B. Efectos del pastoreo en riqueza florística, biomasa y cobertura de un pastizal de albardón, Argentina. Rev. Politécnica 2019, 29, 95–107. [Google Scholar] [CrossRef]
- Ünal, S.; Mutlu, Z.; Urla, O.; Hakan, Y.; Şahin, B. Evaluation and Determination of Rangeland Vegetation in Kayseri Province. Tarla Bitk. Merk. Araşt. Enst. Derg. 2013, 22, 86–95. [Google Scholar]
- Ulziibaatar, M.; Matsui, K. Herders’ Perceptions about Rangeland Degradation and Herd Management: A Case among Traditional and Non-Traditional Herders in Khentii Province of Mongolia. Sustainability 2021, 13, 7896. [Google Scholar] [CrossRef]
- Alcalá-Galván, C.H.; Barraza-Guardado, R.H.; Álvarez, F.A.; Rueda-Puente, E.O. Uso sustentable de agostaderos y el sistema vaca-cría en el Noroeste de México. Agron. Mesoam. 2018, 29, 433–447. [Google Scholar] [CrossRef]
- Sepúlveda-Varas, A.; Saavedra-Briones, P.; Esse, C. Análisis de cambio de cobertura y uso de suelo en una subcuenca preandina chilena. Herramienta para la sustentabilidad productiva de un territorio. Rev. De Geogr. Norte Gd. 2019, 72, 9–25. [Google Scholar] [CrossRef]
- Hernández-Clemente, R.; Hornero, A. Monitoreo y evaluación de la desertificación con teledetección. Ecosistemas 2021, 30, 2240. [Google Scholar] [CrossRef]
- Fan, F.; Weng, Q.; Wang, Y. Land use and land cover change in Guangzhou, China, from 1998 to 2003, based on Landsat TM/ETM+imagery. Sensors 2007, 7, 1323–1342. [Google Scholar] [CrossRef]
- Soffianian, A.; Madanian, M. Monitoring land cover changes in Isfahan Province, Iran using Landsat satellite data. Environ. Monit. Assess. 2015, 187, 543. [Google Scholar] [CrossRef] [PubMed]
- González, G.; Casas, V.; Castillo, E.; Ramírez, L. Evaluación de patrones temporales en la dinámica para el cambio de cobertura vegetal en zonas rurales tropicales durante el periodo 2013-2018. Caso de estudio Chaguaní-Colombia. Cuad. De Desarro. Rural. 2021, 18, 7. [Google Scholar] [CrossRef]
- Wondrade, N.; Dick, Ø.B.; Tveite, H. Gis based mapping of land cover changes utilizing multi-temporal remotely sensed image data in Lake Hawassa Watershed, Ethiopia. Environ. Monit. Assess. 2014, 186, 1765–1780. [Google Scholar] [CrossRef]
- Rzedowski, J. Vegetación potencial. IV.8.2. In Atlas Nacional de México. Volume 2. Escala 1: 4,000,000; Instituto de Geografía, Universidad Nacional Autónoma de México: México, D.F., Mexico, 1990. [Google Scholar]
- Cervantes, R.M.C. Plantas de importancia económica en las zonas áridas y semiáridas de México. In Anais do X Encontro de Geógrafos da América Latina; Instituto de Geografía-Universidad Nacional Autónoma de México: Ciudad de México, México, 2002; pp. 3388–3407. ISBN UNAM 970-32-0182-02. [Google Scholar]
- Arriaga, L. Implicaciones del cambio de uso de suelo en la biodiversidad de los matorrales xerófilos: Un enfoque multiescalar. Investig. Ambient. 2009, 1, 6–16. [Google Scholar]
- SNIARN (Sistema Nacional de Información Ambiental y de Recursos Naturales). Informe de la situación del medio ambiente en México. In Compendio de Estadísticas Ambientales; Secretaría de Medio Ambiente y Recursos Naturales: México, D.F., Mexico, 2005; pp. 39–59. [Google Scholar]
- Siqueira, J.O.; Carbone, C.M.A.; Curi, N.; Rosado, S.C.; Davide, A.C. Mycorrhizal colonization and mycotrophic growth of native woody species as related to successional groups in Southeastern Brazil. For. Ecol. Manag. 1998, 107, 241–252. [Google Scholar] [CrossRef]
- Miranda, F. Formas de Vida Vegetales y el Problema de la Delimitación de las Zonas Áridas de México; Instituto Mexicano de Recursos Naturales Renovables: Ciudad de México, México, 1955; pp. 105–143. [Google Scholar]
- García-Fernández, F.; Domínguez-Jardines, A.L. El Altiplano Tamaulipeco: Especialización Productiva y Desarrollo Socio-Económico; Universidad Autónoma de Tamaulipas: Ciudad Victoria, Tamaulipas, México, 2017; pp. 73–84. ISBN 978-607-8563-69-2. [Google Scholar]
- Echavarría-Cháirez, F.G.; Gutiérrez-Luna, R.; Ledesma-Rivera, R.I.; Bañuelos-Valenzuela, R.; Aguilera-Soto, J.I.; Serna-Pérez, A. Influence of small ruminant grazing systems in a semiarid range in the State of Zacatecas Mexico. I Native vegetation. Tec. Pec. Mex. 2006, 44, 203–217. [Google Scholar]
- INEGI. Anuario Estadístico y Geográfico por Entidad Federativa; Instituto Nacional de Estadística y Geografía: Ciudad de México, México, 2014; pp. 760–762. ISBN 978-607-739-3870.
- INEGI. Conjunto de Datos Vectoriales de la Serie Topográfica Escala 1:1,000,000; Dirección General de Geografía Instituto Nacional de Estadística y Geografía: Aguascalientes, México, 2000. [Google Scholar]
- INEGI-CONAGUA. Instituto Nacional de Estadística, Geografía e Informática (INEGI). In Continuo Nacional del Conjunto de Datos Geográficos de la carta Hidrológica de aguas Superficiales Escala 1:250 00, Serie 1.; CONAGUA. Organismo de Cuenca Golfo Norte; Dirección de infraestructura hidroagrícola Cuencas Hidrológicas: Ciudad de México, México, 2007. [Google Scholar]
- García, E. Modificaciones al Sistema de Clasificación Climática de Köppen, Quinta Edición; Instituto de Geografía, UNAM: Distrito Federal, México, 2004; pp. 13–90. ISBN 970-32-1010-4. [Google Scholar]
- INEGI. Datos Vectoriales de Uso de Suelo y Vegetación. Escala 1:250 000. Serie VI (Capa Unión), Escala: 1:250 000. Edición: 1; Instituto Nacional de Estadística y Geografía (INEGI): Aguascalientes, México, 2016.
- Treviño-Carreón, J.; Valiente-Banuet, A. La vegetación de Tamaulipas y sus principales asociaciones vegetales. In Biodiversidad Tamaulipeca; Barrientos-Lozano, L., Correa-Sandoval, A., Horta-Vega, J.V., García-Jiménez, J., Eds.; Dirección General de Educación Superior Tecnológica, Instituto Tecnológico de Ciudad Victoria: Ciudad Victoria, México, 2005; Volume 1, pp. 22–46. ISBN 968-5823-19-7. [Google Scholar]
- Estadística de Producción Ganadera. Available online: http://infosiap.siap.gob.mx/gobmx/datosAbiertos.php (accessed on 8 August 2022).
- INEGI. Anuario Estadístico y Geográfico de Tamaulipas; Instituto Nacional de Estadística y Geografía (INEGI): Aguascalientes City, México, 2017; pp. 1–60. [Google Scholar]
- Pinos-Rodríguez, J.M.; Gómez-Ruiz, W.J.; Aguirre-Rivera, J.R.; García-López, J.C.; Álvarez-Fuentes, G. Profitability of goat production in the Mexico highlands. Outlook Agric. 2015, 44, 223–233. [Google Scholar] [CrossRef]
- Alejandre, O.M.; Rubio-Tabares, E.; Perez-Eguía, E.; Zaragoza-Martínez, L.; Rodríguez-Galván, G. Los Recursos caprinos de México. En Biodiversidad Caprina Iberoamericana, Bogotá; Ediciones Universidad Cooperativa de Colombia: New York, NY, USA, 2016; pp. 95–107. [Google Scholar]
- SIAP. Población Ganadera-Información Sobre el Número de Animales Que se Crían en el País Con Fines de Producción, 22 de Julio de. 2022. Available online: https://www.gob.mx/siap/documentos/poblacion-ganadera-136762 (accessed on 20 August 2022).
- CSPCT. Plan Rector; Comité Sistema Producto Caprino de Tamaulipas: Ciudad Victoria, México, 2012; pp. 4–59.
- Molina-Guerra, V.M.; Mora-Olivo, A.; Alanís-Rodríguez, E.; Soto-Mata, B.; Patiño-Flores, A.M. Plantas Características del Matorral Espinoso Tamaulipeco en México; Universidad Autónoma de Nuevo León: Monterrey, México, 2019; pp. 1–30. ISBN 978-607-27-1168-6. [Google Scholar]
- SEMARNAP y CONAMP. Plan de Acción Para la Conservación de la Mariposa Monarca en México, 2018–2024; Secretaría de Medio Ambiente y Recursos Naturales y Comisión Nacional de Áreas Naturales Protegidas: Ciudad de México, México, 2018; pp. 38–43.
- Secretaría de Medio Ambiente y Recursos Naturales/Comisión Nacional de Áreas Naturales Protegidas. Programa de Acción Para la Conservación de la Especie: Guacamaya Verde (Ara Militaris); Oropeza-Hernández, P., Rendón-Hernández, E., Eds.; Gobierno de México: Ciudad de Mexico, México, 2012; pp. 1–28. [Google Scholar]
- De la Cruz-Rock, J.L.; Argüello-Zepeda, F.J.; Tello-Iturbe, A. Turismo y sustentabilidad en el Altiplano Tamaulipeco. In En Sociedad, Conflicto y Ambiente; Esqueda-Walle, R., Mendoza, L., Eds.; Desembocadura del Río Pánuco: Tamaulipas, México, 2009; pp. 143–166. ISBN 978-84-692-0011-7. [Google Scholar]
- Jacques-Hernández, C. Caracterización y usos de las especies de agave en Tamaulipas. El Reino Veg. Farmacol. Y Ter. 2009, 89, 91–100. [Google Scholar]
- INEGI. Censo de Población y Vivienda 2020. 18 de Marzo de. 2021. Available online: https://www.inegi.org.mx/programas/ccpv/2020/ (accessed on 5 August 2022).
- Diario Oficial de la Federación. Secretaria de Bienestar, Decreto Por el Que se Formula la Declaratoria de Las Zonas de Atención Prioritaria Para el Año 2022, México, 29 de noviembre de. 2021. Available online: https://www.gob.mx/cms/uploads/attachment/file/684340/Zonas_prioritarias_2022.pdf (accessed on 6 August 2022).
- Gutman, G.; Huang, C.; Chander, G.; Noojipady, P.; Masek, J.G. Assessment of the NASA–USGS Global Land Survey (GLS) datasets. Remote Sens. 2013, 134, 249–265. [Google Scholar] [CrossRef]
- Global Land Cover Facility (GLCF), Global Land Survey (GLS). 2021. Available online: http://www.landcover.org/data/gls/ (accessed on 15 May 2021).
- USGS Global Visualization Viewer (GLOVIS). United States Geological Survey Earth Resources Observation Systems. 2021. Available online: http://glovis.usgs.gov/ (accessed on 25 May 2021).
- USGS. Landsat 8 (L8) Data Users Handbook Version 2.0. In EROS, Sioux Falls, South Dakota.; 2020. Available online: https://landsat.usgs.gov/landsat-8-l8-data-users-handbook (accessed on 28 May 2021).
- ENVI. ENVI Version 5.0; Exelis Visual Information Solutions, Inc.: Boulder, CO, USA, 2012. [Google Scholar]
- Cámara de Diputados del, H. Congreso de la Unión. Ley Agraria; Diario Oficial de la Federación: Ciudad de México, México, 2022; pp. 1–56. [Google Scholar]
- Eastman, J.R. Idrisi Selva Tutorial. Manual Version 17; Clark Labs, Clark University: Worcester, MA, USA, 2012; pp. 177–220. [Google Scholar]
- INEGI. Uso Del Suelo y Vegetación, Escala 1:250,000, Serie I (Continuo Nacional); Instituto Nacional de Ecología (INE)—Dirección de Ordenamiento Ecológico General e Instituto Nacional de Estadística, Geografía e Informática (INEGI); INEGI: Aguascalientes, México, 1974.
- INEGI. Uso Del Suelo y Vegetación, Escala 1:250,000, Serie II (Continuo Nacional); Dirección General de Geografía, Instituto Nacional de Estadística, Geografía e Informática (INEGI): Aguascalientes, México, 1992.
- INEGI. Uso Del Suelo y Vegetación, Escala 1:250,000, Serie II (Continuo Nacional); Dirección General de Geografía, Instituto Nacional de Estadística, Geografía e Informática (INEGI): Aguascalientes, México, 1997.
- INEGI. Uso Del Suelo y Vegetación, Escala 1:250,000, Serie II (Continuo Nacional); Dirección General de Geografía, Instituto Nacional de Estadística, Geografía e Informática (INEGI): Aguascalientes, México, 2001.
- INEGI. Uso Del Suelo y Vegetación, Escala 1:250,000, Serie III (Continuo Nacional); Dirección General de Geografía, Instituto Nacional de Estadística, Geografía e Informática (INEGI): Aguascalientes, México, 2005.
- INEGI. Uso Del Suelo y Vegetación, Escala 1:250,000, Serie III (Continuo Nacional); Dirección General de Geografía, Instituto Nacional de Estadística, Geografía e Informática (INEGI): Aguascalientes, México, 2009.
- INEGI. Uso Del Suelo y Vegetación, Escala 1:250,000, Serie IV (Continuo Nacional); Dirección General de Geografía, Instituto Nacional de Estadística, Geografía e Informática (INEGI): Aguascalientes, México, 2017.
- INEGI. Uso Del Suelo y Vegetación, Escala 1:250,000, Serie IV (Continuo Nacional); Dirección General de Geografía, Instituto Nacional de Estadística, Geografía e Informática (INEGI): Aguascalientes, México, 2018.
- Esri. ArcGIS 10.2 for Desktop. 1999–2013 Esri Inc.; Environmental Systems Research Institute: Redlands, CA, USA, 2013. [Google Scholar]
- Hernández, M.H.; Goettsch, B.; Gómez-Hinostrosa, C.; Arita, T.H. Cactus species turnover and diversity along a latitudinal transect in the Chihuahuan Desert Region. Biodivers. Conserv. 2008, 17, 703–720. [Google Scholar] [CrossRef]
- Granados-Sánchez, D.; López-Ríos, G.F.; Hernández-García, M.A. Ecología y silvicultura en bosques templados. Rev. Chapingo Ser. Cienc. For. Ambiente. 2007, 13, 67–83. [Google Scholar]
- Allred, W.B.; Creutzburg, K.M.; Carlson, C.J.; Cole, J.C.; Dovichin, M.C.; Duniway, C.M.; Jones, O.M.; Maestas, D.J.; Naugle, E.D.; Nauman, W.T.; et al. Guiding principles for using satellite-derived maps in rangeland management. Rangelands 2022, 44, 78–86. [Google Scholar] [CrossRef]
- Djeddaoui, F.; Chadli, M.; Gloaguen, R. Desertification Susceptibility Mapping Using Logistic Regression Analysis in the Djelfa Area, Algeria. Remote Sens. 2017, 9, 1031. [Google Scholar] [CrossRef]
- Zermeño-Hernández, I.; Méndez-Toribio, M.; Siebe, C.; Benítez-Malvido, J.; Martínez-Ramos, M. Ecological disturbance regimes caused by agricultural land uses and their effects on tropical forest regeneration. Appl. Veg. Sci. 2015, 18, 443–455. [Google Scholar] [CrossRef]
- Burgos, A.; Maass, J.M. Vegetation change associated with land-use in tropical dry forest areas of western Mexico. Agric. Ecosyst. Environ. 2004, 104, 475–481. [Google Scholar] [CrossRef]
- Rzedowski, J. Vegetación de México 1ra. In Capítulo 4. Influencia del Hombre. Edición Digital; Comisión Nacional para el Conocimiento y Uso de la Biodiversidad: Ciudad de México, México, 2006; pp. 59–74. [Google Scholar]
- Ventura-Ríos, A.; Plascencia-Escalante, F.O.; Hernández-de la Rosa, P.; Ángeles-Pérez, G.; Aldrete, A. ¿Es la reforestación una estrategia para la rehabilitación de bosques de pino?: Una experiencia en el centro de México. Bosque 2017, 38, 55–66. [Google Scholar] [CrossRef]
- Sánchez, J.; Ramírez-Valverde, B. El turismo rural como complemento al desarrollo territorial rural en zonas indígenas de México. Scripta Nova. Rev. Elect. Geogr. Cienc. Soc. 2007, 11, 1–16. [Google Scholar]
- Chapa-Bezanilla, D.; Sosa-Ramírez, J.; Alba-Ávila, A. Estudio multitemporal de fragmentación de los bosques en la Sierra Fría, Aguascalientes, México. Madera Y Bosques 2008, 14, 37–51. [Google Scholar] [CrossRef]
- Guerrero-García, B.; Pereznegron-Pereznegron, R. Evolución, prospectiva y administración de las zonas áridas de México (CONAZA). Bibl. Jurídica Del Inst. De Investig. Jurídicas De La UNAM 2017, 1, 443–472. [Google Scholar]
- Negrete-Sánchez, L.O.; Aguirre-Rivera, J.R.; Pinos-Rodríguez, J.M.; Reyes Hernández, H. Benefits of the parcellation of communal rangelands of the ejido El Castañón, Municipality Fourteen, San Luis Potosí, México: 1993-2013. Agrociencia 2016, 50, 511–532. [Google Scholar]
- Pérez-Serna, A.; Echavarria-Cháirez, F.G. Caracterización hidrológica de un agostadero comunal excluido al pastoreo en Zacatecas, México. I. Pérdidas de suelo. Rev. Mex. Cienc. Pecu. 2002, 40, 37–53. [Google Scholar]
- Riginos, C.; Hoffman, M.T. Changes in Population Biology of Two Succulent Shrubs along a Grazing Gradient. J. Appl. Ecol. 2003, 40, 615–625. [Google Scholar] [CrossRef]
- Echavarría-Cháirez, F.G.; Serna-Pérez, A.; Bañuelos-Valenzuela, R. Influencia del sistema de pastoreo con pequeños rumiantes en un agostadero del semiárido zacatecano: II. Cambios en el suelo. Rev. Mex. Cienc. Pecu. 2007, 45, 177–194. [Google Scholar]
- Oussedik, A.; Iftene, T.; Zegrar, A. Réalisation par télédétection de la carte d’Algérie de sensibilité à la désertification. Sécheresse 2003, 14, 195–201. [Google Scholar]
- Al-bukhari, A.; Hallett, S.; Brewer, T. A review of potential methods for monitoring rangeland degradation in Libya. Pastoralism 2018, 8, 1–14. [Google Scholar] [CrossRef]
- Salamani, M.; Kadi Hanafi, H.; Hirche, A.; Nedjraoui, D. Évaluation de la sensibililé à la désertification en Algérie. Rev. Ecol. 2013, 68, 71–84. [Google Scholar]
- Antoniadou, C.; Voultsiadou, E.; Chintiroglou, C.C. Succession and Colonization. Encycl. Ecol. 2019, 2, 369–378. [Google Scholar] [CrossRef]
- Han, J.G.; Zhang, Y.J.; Wang, C.J.; Bai, W.M.; Wang, Y.R.; Han, G.D.; Li, L.H. Rangeland degradation and restoration management in China. Rangel. J. 2008, 30, 233–239. [Google Scholar] [CrossRef]
- Fuls, E.R. Semi-arid and arid rangelands: A resource under siege due to patch-selective grazing. J. Arid Environ. 1992, 22, 191–193. [Google Scholar] [CrossRef]
- Lara-Requena, G.N.; Cámara-Artigas, R.; Casas-González, S. Análisis de los cambios de uso de suelo en la cuenca Guayalejo-Tamesí (Tamaulipas, México) en tres décadas de información digital. Mapping 2010, 143, 86–94. [Google Scholar]
- Pickup, G.; Chewings, V.H.; Nelson, D.J. Estimating changes in vegetation cover over time in arid rangelands using landsat MSS data. Remote Sens. Environ. 1993, 43, 243–263. [Google Scholar] [CrossRef]
- Nair, R.P.K. Agroforestería; Universidad Autónoma Chapingo: Chapingo, Estado de México, México, 1997; p. 543. [Google Scholar]
- Rosete-Vergés, F.A.; Pérez-Damián, J.L.; Villalobos-Delgado, M.; Navarro-Salas, E.N.; Salinas-Chávez, E.; Remond-Noa, R. El avance de la deforestación en México 1976–2007. Madera Y Bosques 2014, 20, 21–35. [Google Scholar] [CrossRef]
- Contreras-Cisneros, A.J. Efecto del Tiempo de Abandono de Terrenos Agrícolas en Las Reservas de Carbono Orgánico y Nitrógeno Total en Zonas Áridas. Master’s Thesis, Universidad Autónoma de Chapingo, Bermejillo, Durango, México, 2020. [Google Scholar]
- Montaña, C. The colonization of bare areas in two-phase mosaics of an arid ecosystem. J. Ecol. 1992, 80, 315–327. [Google Scholar] [CrossRef]
- Aguilar, M.R.; Sala, O.E. Patch structure, dynamics and implication for the functioning of arid ecosystems. TREE 1999, 14, 273–277. [Google Scholar] [CrossRef]
- Maestre, F.T.; Cortina, J.; Bautista, S.; Bellot, J.; Vallejo, R. Small-scale environmental heterogeneity and spatiotemporal dynamics of seedling establishment in a semiarid degraded ecosystem. Ecosystems 2003, 6, 630–643. [Google Scholar] [CrossRef]
- Bestelmeyer, B.T.; Trujillo, D.A.; Tugel, A.J.; Havstad, K.M. A multi-scale classification of vegetation dynamics in arid lands: What is the right scale for models, monitoring, and restoration? J. Arid Environ. 2005, 65, 296–318. [Google Scholar] [CrossRef]
- Browning, D.M.; Laliberte, A.S.; Rango, A. Temporal Dynamics of Shrub Proliferation: Linking Patches to Landscapes. Int. J. Geogr. Inf. Sci. 2011, 25, 913–930. [Google Scholar] [CrossRef]
- Forman, R.T.T. Land Mosaics, the Ecology of Landscapes and Regions; University Press: Cambridge, MA, USA, 1994; pp. 25–632. ISBN 0521 47462 0. [Google Scholar]
- Turner, I.M. Species loss in fragments of tropical rain forest: A review of the evidence. J. Appl. Ecol. 1996, 33, 200–209. [Google Scholar] [CrossRef]
- McIntyre, N.E. Effects of forest patch size on avian diversity. Landsc. Ecol. 1995, 10, 85–99. [Google Scholar] [CrossRef]
- Skole, D.; Tuker, C. Tropical deforestation and habitat fragmentation in the Amazon: Satellite data from 1978 to 1988. Science 1993, 260, 1905–1910. [Google Scholar] [CrossRef] [PubMed]
- Tomimatsu, H.; Ohara, M. Genetic diversity and local population structure of fragmented populations of Trillium camschatcense (Trilliaceae). Biol. Conserv. 2003, 109, 249–258. [Google Scholar] [CrossRef]
- Turner, M.; Gardner, R. Landscape ecology in theory and practice. Patterns and Process; Springer: New York, NY, USA, 2015; pp. 287–332. ISBN 978-1-4939-2793-7. [Google Scholar]
- Echeverria, C.; Coomes, D.; Salas, J.; Rey-Benayas, J.M.; Lara, A.; Newton, A. Rapid deforestation and fragmentation of Chilean temperate forests. Biol. Conserv. 2006, 130, 481–494. [Google Scholar] [CrossRef]
- Gigord, L.; Picot, F.; Shycoff, J. Effects of habitat fragmentation on Dombeya acutangula (Sterculiaceae), a native tree on La Réunion (Indian Ocean). Biol. Conserv. 1999, 88, 43–51. [Google Scholar] [CrossRef]
- Piessens, K.; Honnay, O.; Hermy, M. The role of fragment area and isolation in the conservation of heathland species. Biol. Conserv. 2005, 122, 61–69. [Google Scholar] [CrossRef]
- Lausch, A.; Hertzog, F. Applicability of landscape metrics for the monitoring of landscape change: Issues of scale, resolution and interpretability. Ecol. Indic. 2002, 2, 3–15. [Google Scholar] [CrossRef]
- Cayuela, L.; Rey-Benayas, J.M.; Echeverría, C. Clearance and fragmentation of tropical montane forests in the Highlands of Chiapas, Mexico (1975–2000). For. Ecol. Manag. 2006, 226, 208–218. [Google Scholar] [CrossRef]
- McCalla, G.R.; Blackburn, W.H.; Merrill, L.B. Effects of livestock grazing on sediment production, Edwards Plateau of Texas. J. Range Manag. 1984, 37, 291–294. [Google Scholar] [CrossRef]
- Chen, Y.; Li, Y.; Zhao, X.; Awada, T.; Shang, W.; Han, J. Effects of grazing exclusion on soil properties and on ecosystem carbon and nitrogen storage in a sandy rangeland of Inner Mongolia, Northern China. Environ. Manag. 2012, 50, 622–632. [Google Scholar] [CrossRef]
- Keenleyside, K.A.; Dudley, N.; Cairns, S.; Hall, C.M.; Stolton, S. Restauración Ecológica Para Áreas Protegidas: Principios, Directrices y Buenas Practices; UICN-CMAP: Gland, Switzerland, 2014; pp. 71–99. ISBN 978-2-8317-1678-7. [Google Scholar]
- Ramírez-Cervantes, M.C. Plantas de importancia económica en zonas áridas y semiáridas de México. In Proceedings of the Anais do X Encuentro de Geógrafos de América Latina, Universidad de São Paulo, São Paulo, Brazil, 20–26 March 2005; pp. 3388–3407. [Google Scholar]
- Teague, R.; Grant, B.; Wang, H.H. Assessing optimal configurations of multi paddock grazing strategies in tallgrass prairie using a simulation model. J. Environ. Manag. 2015, 150, 262–273. [Google Scholar] [CrossRef] [PubMed]
- Teague, R.; Provenza, F.; Kreuter, U.; Steffens, T.; Barnes, M. Multi-paddock grazing on rangelands: Why the perceptual dichotomy between research results and rancher experience? J. Environ. Manag. 2013, 128, 699–717. [Google Scholar] [CrossRef] [PubMed]
- Briske, D.D.; Derner, J.D.; Brown, J.R.; Fuhlendorf, S.D.; Teague, W.R.; Havstad, K.M.; Gillen, R.L.; Ash, A.J.; Willms, W.D. Rotational grazing on rangelands: Reconciliation of perception and experimental evidence. Rangel. Ecol. Manag. 2008, 61, 3–17. [Google Scholar] [CrossRef]
- Butchart, S.H.; Walpole, M.; Collen, B.; Van Strien, A.; Scharlemann, J.P.; Almond, R.E.; Baillie, J.E.; Bomhard, B.; Brown, C.; Bruno, J.; et al. Global biodiversity: Indicators of recent declines. Science 2010, 328, 1164–1168. [Google Scholar] [CrossRef] [PubMed]
- Chillo, V.; Ojeda, R.A.; Anand, M.; Reynolds, J.F. A novel approach to assess livestock management effects on biodiversity of drylands. Ecol. Indic. 2015, 50, 69–78. [Google Scholar] [CrossRef]
- Odadi, W.O.; Fargione, J.; Rubenstein, D.I. Vegetation, wildlife, and livestock responses to planned grazing management in an African pastoral landscape. Land Degrad. Dev. 2017, 28, 2030–2038. [Google Scholar] [CrossRef]
- Gaffney, R.; Augustine, D.J.; Kearney, S.P.; Porensky, L.M. Using Hyperspectral Imagery to Characterize Rangeland Vegetation Composition at Process-Relevant Scales. Remote Sens. 2021, 13, 4603. [Google Scholar] [CrossRef]
- McDonald, S.E.; Reid, N.; Smith, R.; Waters, C.M.; Hunter, J.; Rader, R. Rotational grazing management achieves similar plant diversity outcomes to areas managed for conservation in a semi-arid rangeland. Rangel. J. 2019, 41, 135–145. [Google Scholar] [CrossRef]






















| Year | Satellite | Sensor | Location Coordinate (Path/Row) | Date of Scene | Spatial Resolution | Bands for False Color Image | Bands for Spectral Signature Extraction |
|---|---|---|---|---|---|---|---|
| 1973 | Landsat 1 | MSS | 029/044 | 10 May 1973 | 60 m | 1, 2, 3 | 1, 2, 3, 4, NDVI |
| 1980 | Landsat 1 | MSS | 029/044 | 9 October 1980 | 60 m | 1, 2, 3 | 1, 2, 3, 4, NDVI |
| 1986 | Landsat 5 | TM | 027/044 | 14 March 1986 | 30 m | 2, 3, 4 | 1, 2, 3, 4, 5, NDVI |
| 2000 | Landsat 7 | ETM+ | 027/044 | 9 December 2000 | 30 m | 2, 3, 4 | 1, 2, 3, 4, 5, NDVI |
| 2005 | Landsat 7 | ETM+ | 027/044 | 5 November 2005 | 30 m | 2, 3, 4 | 1, 2, 3, 4, 5, NDVI |
| 2009 | Landsat 8 | ETM+ | 027/044 | 19 July 2009 | 30 m | 2, 3, 4 | 1, 2, 3, 4, 5, NDVI |
| 2016 | Landsat 8 | OLI-TIRS | 027/044 | 1 April 2016 | 30 m | 3, 4, 5 | 2, 3, 4, 5, 6, NDVI |
| 2020 | Landsat 8 | OLI-TIRS | 027/044 | 28 April 2020 | 30 m | 3, 4, 5 | 2, 3, 4, 5, 6, NDVI |
| Ejido | Category | Description |
|---|---|---|
| San Rafael (Tula), San Antonio (Jaumave), La Peña (Miquihuana), and El Llano y Anexas (Bustamante) | 1. Xerophytic scrub | Microphyllous desert scrub; rosetophyllous desert scrub; mezquital; and secondary scrub vegetation. |
| San Rafael (Tula) and San Antonio (Jaumave) | 2. Submontane scrub | Dense submontane scrub vegetation. |
| San Rafael (Tula), San Antonio (Jaumave), La Peña (Miquihuana), San Vicente (Palmillas), and El Llano y Anexas (Bustamante) | 3. Bare land | Urban and semi-urban areas; sparsely vegetated areas; rocks; dry rivers and tributaries without vegetation; bare soil areas; and roads and highways. |
| San Rafael (Tula), San Antonio (Jaumave), La Peña (Miquihuana), San Vicente (Palmillas), and El Llano y Anexas (Bustamante) | 4. Agriculture | Annual, semi-permanent, and permanent rain-fed agriculture; and induced grassland. |
| La Peña (Miquihuana) and San Vicente (Palmillas) | 5. Pine–oak forest | The dense vegetation of pine forests, oak forests, pine–oak forests, and oak–pine forests. |
| San Vicente (Palmillas) | 6. Secondary shrubby vegetation of pine–oak forests | Secondary vegetation of bushy size of pine–oak forests. |
| El Llano y Anexas (Bustamante) | 7. Tascate forests | The dense vegetation of coniferous trees (scale-shaped leaves) of the genus Juniperus. |
| Ejido | 1973 vs. 1986 | 1973–1986 vs. 2000 | 1973–1986–2000 vs. 2009 | 1973–1986–2000–2009 vs. 2020 |
|---|---|---|---|---|
| 1. El Llano and Anexas-Bustamante | 9 | 27 | 80 | 222 |
| 2. San Antonio-Jaumave | 9 | 27 | 77 | 193 |
| 3. San Vicente-Palmillas | 9 | 27 | 75 | 188 |
| 4. La Peña-Miquihuana | 9 | 25 | 65 | 148 |
| 5. San Rafael-Tula | 9 | 26 | 64 | 130 |
Disclaimer/Publisher’s Note: The statements, opinions and data contained in all publications are solely those of the individual author(s) and contributor(s) and not of MDPI and/or the editor(s). MDPI and/or the editor(s) disclaim responsibility for any injury to people or property resulting from any ideas, methods, instructions or products referred to in the content. |
© 2023 by the authors. Licensee MDPI, Basel, Switzerland. This article is an open access article distributed under the terms and conditions of the Creative Commons Attribution (CC BY) license (https://creativecommons.org/licenses/by/4.0/).
Share and Cite
Hernández-Hernández, L.; Almaguer-Sierra, P.; Barrientos-Lozano, L.; Sánchez-Reyes, U.J.; Rocha-Sánchez, A.Y.; Flores-Gracia, J. Patterns of Change and Successional Transition in a 47-Year Period (1973–2020) in Rangelands of the Tamaulipan Highlands, Northeastern Mexico. Forests 2023, 14, 815. https://doi.org/10.3390/f14040815
Hernández-Hernández L, Almaguer-Sierra P, Barrientos-Lozano L, Sánchez-Reyes UJ, Rocha-Sánchez AY, Flores-Gracia J. Patterns of Change and Successional Transition in a 47-Year Period (1973–2020) in Rangelands of the Tamaulipan Highlands, Northeastern Mexico. Forests. 2023; 14(4):815. https://doi.org/10.3390/f14040815
Chicago/Turabian StyleHernández-Hernández, Lucas, Pedro Almaguer-Sierra, Ludivina Barrientos-Lozano, Uriel Jeshua Sánchez-Reyes, Aurora Y. Rocha-Sánchez, and Juan Flores-Gracia. 2023. "Patterns of Change and Successional Transition in a 47-Year Period (1973–2020) in Rangelands of the Tamaulipan Highlands, Northeastern Mexico" Forests 14, no. 4: 815. https://doi.org/10.3390/f14040815
APA StyleHernández-Hernández, L., Almaguer-Sierra, P., Barrientos-Lozano, L., Sánchez-Reyes, U. J., Rocha-Sánchez, A. Y., & Flores-Gracia, J. (2023). Patterns of Change and Successional Transition in a 47-Year Period (1973–2020) in Rangelands of the Tamaulipan Highlands, Northeastern Mexico. Forests, 14(4), 815. https://doi.org/10.3390/f14040815

