Abstract
In rubber plantations, understory coverage is often disrupted by human activities, which increases the risk of soil erosion under intense rainfall typical of tropical islands. Evaluating the effectiveness of soil and water conservation measures (SWCMs) is crucial for effectively conserving subcanopy resources. This study focused on Hainan Island’s rubber plantations, where nine different SWCMs were implemented, and the runoff and sediment yield were monitored during the rainy season using runoff plots. Through correlation analysis, we identified the primary rainfall characteristic factors leading to soil and water loss on rubber plantation slopes. Path analysis was then used to quantify the impacts of these characteristic factors. The results showed that the SWCMs were significantly more effective in erosion reduction (68.55%) than in runoff reduction (58.95%). Of all the measures, comprehensive SWCMs proved most effective in controlling runoff (71.34%), followed by engineering SWCMs (62.03%) and biological SWCMs (43.51%). Comprehensive SWCMs were also found to be effective in erosion reduction, with a rate of 77.84%, surpassing engineering and biological SWCMs by 7.23% and 20.66%, respectively. Notably, the combination of narrow terraces, contour trenches, and grass planting was the most effective, achieving runoff-reduction rates of 80.94% and erosion-reduction rates of 85.27%. This combination is recommended as a primary prevention method. Rainfall and maximum 30-min intensity (I30) were identified as key variables affecting the efficacy of SWCMs, with rainfall positively correlating with runoff yield and I30 being more closely linked to sediment production. This study provides valuable insights for developing erosion control strategies for sloping garden lands in similar regions and lays theoretical foundations for future ecological restoration projects.
1. Introduction
Soil erosion substantially contributes to the degradation of land and the deterioration of forest ecosystems, disrupting the balance between human societies and the natural environment. Due to its adverse environmental effects, soil erosion has become one of the most critical environmental problems globally [1,2,3,4]. Every year, approximately 16.43 million km2 of land worldwide is subject to soil erosion [5]. Asia [6,7], Europe [8,9], the Americas [10,11], and many other areas are facing different degrees of soil erosion. Among them, China, which is located in East Asia, faces a particularly significant risk of soil erosion. At present, the area of soil erosion in China has reached 2,627,600 km2. With water erosion as the main form, it covers an area of 1,071,400 km2, accounting for 40.77% of the soil erosion area [12]. Water erosion presents considerable challenges to both the ecological environment and the social development of the country.
Rainfall is the main driving force of water erosion, and high-intensity rainfall aggravates the occurrence of soil erosion, which affects the security and stability of the regional ecosystem [13]. As rainfall in China is more in the south and less in the north, the impact of hydraulic erosion is more obvious in the south of China [14,15]. Thus, southern regions, such as Hainan Island, the largest tropical island in southern China, face an increased risk of water erosion. This increased risk is largely due to the abundant rainfall from the East Asian Monsoon [16]. In particular, rubber plantations, which are subjected to human disturbances and lack soil and water conservation measures (SWCMs), experience decreased land productivity and inefficient use of water and soil resources. This degradation has severe ecological and clinical implications for the rubber industry [17]. By changing land cover, reasonable soil and water conservation measures can trap runoff, reduce soil erosion, and achieve effective use of water resources [18]. Thus, studying the effectiveness of various SWCMs in Hainan Island’s rubber plantations is crucial for improving management practices and protecting ecosystem stability.
SWCMs are primarily categorized into three types: biological, engineering, and comprehensive (a combination of biological and engineering SWCMs) [18]. Previous studies have comprehensively examined the effects of these SWCMs. For instance, Zhang et al. [19] explored how different SWCMs, such as vertical ridges, horizontal ridges, and grasslands, affect runoff initiation times and erosion dynamics. Their findings indicated that these SWCMs could significantly delay the onset of runoff, with horizontal ridges being more effective than vertical ridges at reducing runoff erosion. Luo et al. [20] investigated the effects of 10 vegetation cover SWCMs on surface runoff and sediment yield in the Wuling Mountain area. They determined that vegetation cover effectively regulates runoff and erosion, with broad-leaved forests providing the most effective control. Liu et al. [21] analyzed the effects of SWCMs in 75 small watersheds across China on flood peaks and found that these measures could enhance watershed resistance to floods and heavy rainfall, with greater coverage resulting in more pronounced peak reduction. Hu et al. [22] found that in China’s black soil region, the implementation of SWCMs led to a mean annual increase of 0.33% in soil organic carbon stocks, noting that grass planting plots had a higher carbon sequestration capacity than forests or terraced lands. SWCMs help control runoff and erosion, thus reducing soil moisture and nutrient loss, which positively influence vegetation recovery [23]. Duan et al. [24] investigated the effects of SWCMs on plant diversity and productivity on the Loess Plateau. They found that biological SWCMs enhance individual plant biomass growth, whereas engineering SWCMs support the recovery of dominant species in plant communities. These studies have generally focused on the effects of local factors, such as rainfall, topography, and land use, on the efficacy of SWCMs in terms of erosion control, sediment reduction, and ecological benefits in specific areas. However, soil erosion is a complex and variable process influenced by both natural and human factors, exhibiting both temporal and spatial variations. This variability introduces uncertainties that limit the generalizability of research findings [25]. Thus, understanding the impact of specific local factors on the functional effects of SWCMs is crucial for developing effective regional erosion control strategies.
The present study investigated the regulatory effects of various SWCMs under tropical climatic conditions on runoff and sediment production in rubber plantations by using runoff plots to monitor soil erosion in Danzhou, Hainan Island. Our research objectives were as follows: (a) to analyze the effectiveness of biological, engineering, and comprehensive SWCMs in controlling runoff and erosion; (b) to quantify, through path analysis, the direct, indirect, and cumulative effects of different rainfall characteristic factors on the runoff and erosion rates, deepening our understanding of the mechanisms through which rainfall affects sediment production under different SWCMs; and (c) to identify effective measures for combating soil erosion in rubber plantations. This study reveals the prevention and control effect of different SWCMs on soil and water loss in rubber plantations and quantifies the influence of rainfall factors on soil and water loss. It is helpful to the soil and water conservation in the actual management of rubber forest and provides a reference for the restoration of regional ecological environment.
2. Materials and Methods
2.1. Study Area
The study was conducted in the southeastern part of Danzhou City, Hainan Province, China, which is characterized by a tropical monsoon climate (Figure 1). It receives a mean annual rainfall of approximately 1800 mm, predominantly from May to October, and the mean annual temperature varies between 23.5 °C and 24.1 °C. The predominant soil type in the region is sandy clay loam [26]. The plantation area under investigation grows the Reyan 7-33-97 variety, which was planted in 2009. The trees were arranged in a uniform pattern, with the spacing of 4 m between rows and 3 m between individual plants. The selected experimental rubber plantations are arranged along contour lines. And the research structure diagram is shown in Figure 2.
Figure 1.
Location of study area and related forest land.
Figure 2.
The research structure diagram.
2.2. Configuration of Runoff Plots
The experiment utilized 12 runoff plots, each measuring 10 m in length and 5 m in width, arranged within a rubber plantation on slopes graded at 12°, 23°, and 30° (Table 1). Four runoff plots were assigned to each slope grade. The vegetation conditions within each plot were standardized. Specifically, the plots on the 12° slope incorporated biological SWCMs; those on the 23° slope were equipped with engineering SWCMs; and the plots on the 30° slope utilized comprehensive SWCMs. The specific configurations of these measures are detailed in Table 1. For each slope category, control plots were also established where weeds were removed, and understory coverage was maintained below 5%. The surface of each group of runoff plots has no cover other than the biological measures. The configuration diagram of SWCMs in the runoff plot is shown in Figure 3.
Table 1.
Basic information on runoff plots and soil and water conservation measures.
Figure 3.
The configuration diagram of SWCMs in the runoff plot.
2.3. Data Collection
(1) Rainfall. Between July and October 2023, an on-site meteorological station (FT-QC9; Fengtu Technology Co., Ltd., Weifang, Shandong Province, China) recorded 45 rainfall events that generated surface runoff. For each rainfall event, the rainfall, rainfall duration, mean rainfall intensity, and maximum 30-min rainfall intensity (I30) were recorded. The meteorological station is located in an area 50 m away from the rubber forest. The meteorological station is unobstructed within 10 m to ensure the timely and accurate rainfall data recorded. The criterion to differentiate consecutive rainfall events was set at a 1-h interval. According to the classification criteria of rainfall types in China, rainfall events are divided into three types by rainfall, rainfall duration, and mean rainfall intensity: Rainfall Type-1 featured large rainfall amounts, short durations, and high intensities; Rainfall Type-2 had large rainfall amounts, long durations, and relatively high intensities; and Rainfall Type-3 involved small rainfall amounts, longer durations, and low intensities.
(2) Runoff rate and erosion rate. In order to eliminate the difference in the impact of different rubber plantation areas on runoff and erosion in the actual production process, we use runoff rate and erosion rate to represent the amount of runoff and erosion per unit area, respectively [25]. At the end of each rainfall event, when the slope is no longer producing runoff and sediment, the water level in the runoff collection tanks was measured using a staff gauge, and the runoff volume (m3) for each event was calculated. To assess erosion, sediment samples were collected from the runoff as follows: the sediment and water in the tank were thoroughly mixed. A 1-L sample of this mixture was collected using a sampling bottle and transported to the laboratory. In the laboratory, the sample was allowed to settle for 24 h. After settling, the sediment was separated through filtration by using filter paper and then dried in an oven at 105 °C until it reached a constant weight [27]. The mass of the sediment (g) was recorded. The sediment yield (kg) for each rainfall event was calculated by relating the volume of the sediment sample to the total runoff volume. The erosion rate (t/hm2) for each rainfall event was then determined based on the area of the runoff plot.
(3) Determination of the runoff-reduction rate and erosion-reduction rate. The runoff and erosion-reduction rates for each SWCM were calculated using the runoff rate and erosion rate data from the runoff plots with the different SWCMs as well as the weeded control plots. The reduction rates were calculated for the total period of the measurements. The following formulas were used for calculation:
where Rri represents the runoff-reduction rate of the i-th SWCM, %; Rci represents the runoff rate of the i-th control plot, m3/hm2; and Rri represents the runoff rate of the plot where the i-th SWCM is implemented, m3/hm2.
where Eri represents the erosion-reduction rate of the i-th SWCM, %; Eci represents the erosion rate of the i-th control plot, t/hm2; and Eri represents the erosion rate of the plot where the i-th SWCM is implemented; t/hm2.
2.4. Correlation Analysis
SPSS 27 was used to analyze correlations between the runoff rate, erosion rate, and various characteristic factors for rainfall events.
2.5. Path Analysis
When analyzing the correlation between multiple independent variables and a dependent variable, the relationship between each independent variable and the dependent variable can be complicated by interactions with other independent variables. Path analysis is a statistical method that quantifies the direct effects of each independent variable on the dependent variable, eliminating the effect of other variables. This method also measures the indirect effects of other independent variables and calculates the cumulative effect as the sum of both direct and indirect effects. Direct effects are represented by direct path coefficients, indirect effects are represented by indirect path coefficients, and the cumulative effect is denoted by the sum of both direct and indirect effects [28]. The method is based on multiple linear regression analysis. When the path coefficient is positive, the independent variable has a positive effect on the dependent variable, and vice versa. The greater the absolute value of the path coefficient, the stronger the influence of the independent variable on the dependent variable [29]. For further understanding of path analysis, please refer to Garson [30] and Hu et al. [25].
In this study, to explore the influence of rainfall factors on runoff and erosion, the independent variables included rainfall, rainfall duration, mean rainfall intensity, and I30, whereas the runoff rate and erosion rate served as dependent variables. The study calculated the coefficients of direct, indirect, and both direct and indirect paths to explore the direct, indirect, and cumulative impacts of rainfall, respectively, on runoff generation and sediment production. Direct impacts were quantified by squaring the direct path coefficients, indirect impacts were estimated by doubling the product of the indirect path coefficients with the corresponding direct coefficients from intermediate variables, and the cumulative effect was computed as the sum of the direct and indirect impacts.
3. Result
3.1. Rainfall Characteristics
To accurately assess the rainfall distribution in the study area, statistical analyses were performed on semi-monthly rainfall data from July to October in 2023 (Figure 4A). Throughout the study period, the rainfall reached 1485.4 mm, with semi-monthly amounts ranging from 82.9 mm in the first half of October to 316.4 mm in the second half of August. The mean semi-monthly rainfall was 164.1 mm. The period with the highest concentration of rainfall was from the latter half of August to the first half of September, during which 583.3 mm of rain fell, accounting for 39.27% of the total rainfall. Among the eight semi-monthly periods assessed, only the first half of October recorded rainfall below 100 mm, whereas in all other periods, it exceeded 100 nm.
Figure 4.
Distribution of rainfall in the study area from July to October in 2023 (A) and distribution of rainfall of different rainfall types (B). h1 is the rainfall in the first half of the month, and h2 is the rainfall in the second half of the month.
Rainfall events were classified into three types on the basis of rainfall, rainfall duration, and mean rainfall intensity. Type-1 featured high rainfall amounts over short durations, with the highest mean rainfall (71.4 mm) and intensity (27.3 mm/h) among the three categories. Type-2, characterized by significant rainfall over longer periods, had a mean rainfall of 48.8 mm and an intensity of 11.6 mm/h—lower than those of Type-1 but higher than those of Type-3. Type-3, which was the most common type that prevailed during the study period, exhibited the lowest rainfall amounts and intensities, with averages of 13.7 mm and 6.38 mm/h, respectively.
3.2. Impacts of SWCMs on Runoff
Of all the measures, engineering SWCMs resulted in the highest mean runoff rate at 100.48 m3/hm2, followed by comprehensive SWCMs at 94.52 m3/hm2 and biological SWCMs at 88.96 m3/hm2 (Figure 5A). Among the biological SWCMs, interplanting in forests generated the highest runoff rate of 134.68 m3/hm2, higher than that of grass planting alone at 78.41 m3/hm2 and that of the combination of grass and interplanting at 53.78 m3/hm2; the runoff from forest interplanting was 2.5 times that of the combination of grass and interplanting. For engineering SWCMs, narrow terraces led to a runoff rate of 128.63 m3/hm2, exceeding inward-sloping narrow terraces at 93.89 m3/hm2 and narrow terraces combined with contour trenches at 78.93 m3/hm2; the runoff from narrow terraces was 1.63 times that of the combined narrow terraces with contour trenches. Among comprehensive SWCMs, the combination of narrow terraces with shrub interplanting produced the highest runoff at 139.21 m3/hm2, followed by narrow terraces with grass planting at 79.65 m3/hm2 and narrow terraces with contour trenches and grass planting at 64.70 m3/hm2; the highest runoff in this category was 2.15 times that of the lowest. Observations from control plots on varying slopes indicated that the runoff rate increased with slope steepness: runoff yields for the 12°, 23°, and 30° slopes were 154.54, 256.48, and 312.21, respectively. During the rainfall event of Type-1, the maximum mean runoff rate across all the experimental groups was recorded at 376.43 m3/hm2; for Type-2, it was 232.35 m3/hm2; and for Type-3, it was the lowest, at 45.67 m3/hm2, constituting only 12.13% of the runoff from Type-1 rainfall events.
Figure 5.
Runoff rate (A) and erosion rate (B) of SWCMs under different rainfall types.
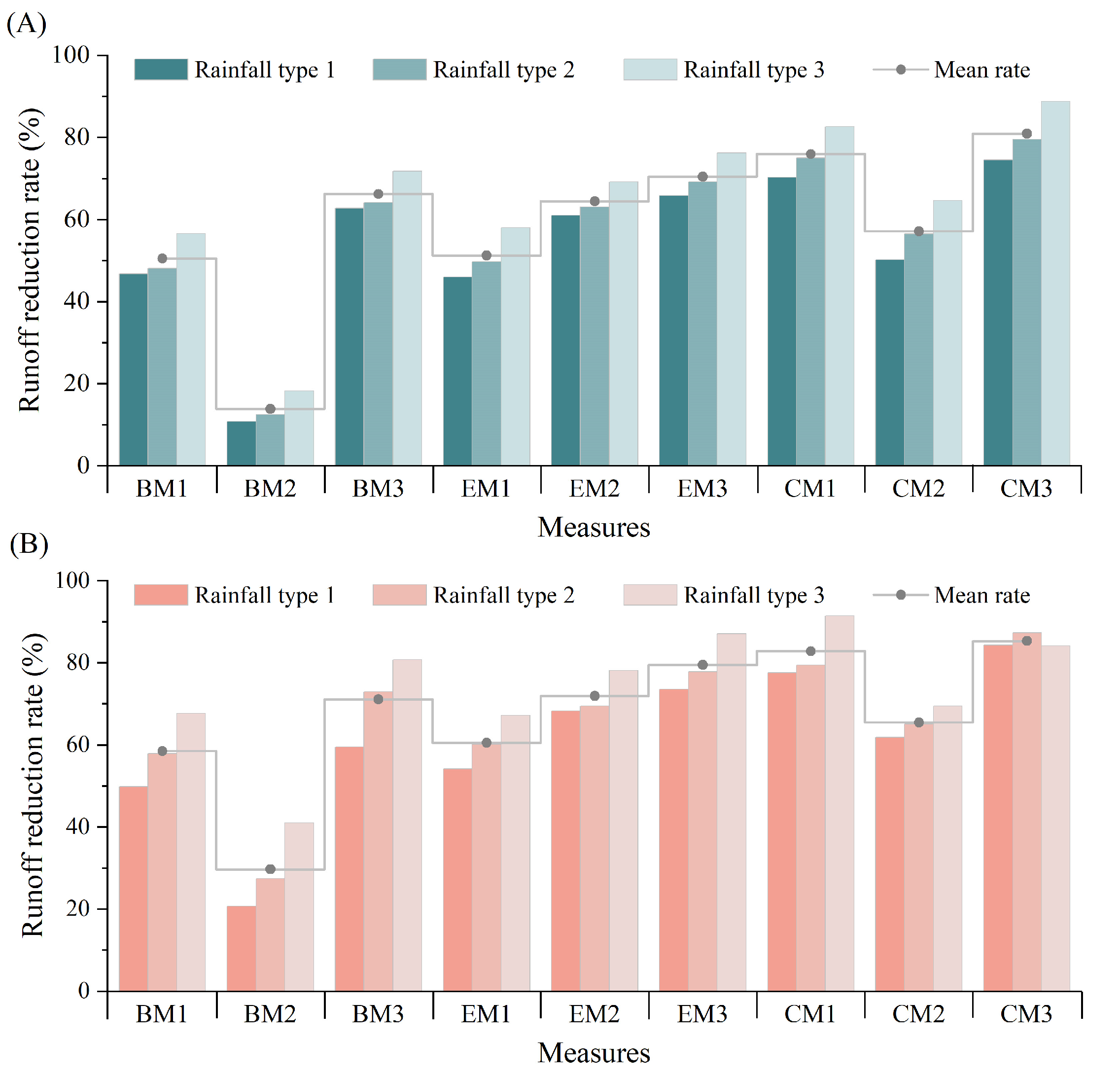
Compared with the runoff rate of the control group, comprehensive SWCMs resulted in the highest runoff-reduction rate at 71.34%, followed by engineering SWCMs at 62.03% and biological SWCMs at 43.51% (Figure 6A). This finding indicated that comprehensive SWCMs are the most effective at reducing runoff among the three categories. The runoff-reduction rates for different biological SWCMs were ranked as follows: grass-interplantation combination (66.19%) > grass planting alone (50.5%) > interplantation (13.84%). Among engineering SWCMs, the reduction rates were as follows: narrow terraces combined with contour trenches (70.42%) > inward-sloping narrow terraces (64.43%) > narrow terraces (51.22%). Among comprehensive SWCMs, narrow terraces combined with contour trenches and grass planting yielded the highest reduction rate (80.94%), followed by narrow terraces combined with grass planting (75.96%), and narrow terraces combined with interplantation resulted in the least reduction rate (57.11%). Among the nine SWCMs, all except for interplantation showed a runoff-reduction rate exceeding 50%. The top three SWCMs in terms of runoff-reduction effectiveness were narrow terraces combined with grass planting and contour trenches, narrow terraces combined with grass planting, and narrow terraces combined with contour trenches alone. The mean runoff-reduction rates under different rainfall events showed that under Type-3 rainfall events, the mean reduction rate (65.12%) was higher than that under Type-2 (57.53%), which, in turn, was higher than that of Type-1 (54.22%). This trend is contrary to that observed for the mean runoff yield, indicating that although heavier rainfall amounts and intensities resulted in more runoff, they also posed greater challenges to the effectiveness of SWCMs in reducing runoff.
Figure 6.
Runoff (A) and erosion reduction (B) by SWCMs under different rainfall types.
3.3. Impacts of SWCMs on Erosion
Analysis of the erosion-reduction effectiveness of various SWCMs revealed that the highest erosion rate (0.33 t/hm2) was associated with biological SWCMs, followed by engineering SWCMs at 0.31 t/hm2 and comprehensive SWCMs at 0.22 t/hm2. Within the biological SWCMs category, interplantation had the highest erosion rate at 0.54 t/hm2, followed by grass planting at 0.31 t/hm2, and the grass-shrub combination showed the lowest erosion rate at 0.14 t/hm2. The erosion rate for the grass-interplantation combination was 74.07% lower than that for interplantation alone and 54.84% lower than that for grass planting alone. Among engineering SWCMs, narrow terraces had the highest erosion rate at 0.42 t/hm2, followed by inward-sloping narrow terraces at 0.3 t/hm2, and narrow terraces combined with contour trenches had the lowest erosion rate at 0.22 t/hm2. The erosion rate for narrow terraces combined with contour trenches was 47.62% lower than that of narrow terraces alone and 26.78% lower than that of inward-sloping narrow terraces. In the comprehensive SWCM category, narrow terraces combined with interplantation exhibited the highest erosion rate at 0.34 t/hm2, followed by narrow terraces combined with grass planting at 0.19 t/hm2, and narrow terraces combined with contour trenches and grass planting showing the lowest at 0.12 t/hm2. Notably, the erosion rate for narrow terraces combined with contour trenches and grass planting was 64.71% lower than that for narrow terraces combined with interplantation and 36.84% lower than that for narrow terraces combined with grass planting. Regarding the effect of different rainfall types, Type-1 events recorded the highest mean erosion rate at 1.18 t/hm2, followed by Type-2 at 0.72 t/hm2 and Type-3 at 0.2 t/hm2. The mean erosion rate during Type-1 events was 1.64 times that of Type-2 and 5.9 times that of Type-3.
Compared with the erosion rate of the control group, erosion-reduction rates of the groups treated with various SWCMs were notable. Overall, these measures reduced erosion production by 68.55%, which exceeded their runoff-reduction rate (58.95%). Among these, comprehensive SWCMs led to an erosion-reduction rate of 77.84%, followed by engineering SWCMs at 70.61% and biological SWCMs at 53.06%. Within the biological SWCM category, the grass-interplantation combination had the highest erosion-reduction rate at 71.07%, followed by grass planting alone at 58.46%, and interplantation was the least effective at 29.68%. Among engineering SWCMs, narrow terraces combined with contour trenches achieved the highest erosion reduction at 79.45%, followed by inward-sloping narrow terraces at 71.92% and plain narrow terraces at 60.48%. For comprehensive SWCMs, narrow terraces combined with contour trenches and grass planting led to an 85.27% reduction rate, followed by narrow terraces combined with contour trenches at 82.79%, and narrow terraces combined with interplantation exhibited the lowest rate at 65.46%. The top three SWCMs in terms of erosion reduction were narrow terraces combined with contour trenches and grass planting, narrow terraces combined with grass planting, and narrow terraces combined with contour trenches alone, all exceeding 79% reduction rates. The mean erosion-reduction rates under different rainfall types revealed that conditions during Type-3 rainfall events achieved the highest mean reduction rate at 75.74%, followed by Type-2 events at 67.61% and Type-1 events at 54.22%. Under larger volumes and intensities of rainfall, the effectiveness of SWCMs in controlling sediments decreased; however, erosion control achieved using these measures was better than runoff regulation.
3.4. Correlation between Runoff, Erosion, and Rainfall Characteristic Factors
The correlations of rainfall characteristics with the runoff rate and erosion rate (Table 2) in the experimental groups using various SWCMs were determined. The runoff rate positively correlated with the rainfall and I30, with the correlation with I30 being significantly stronger (p < 0.01) than with rainfall (p < 0.05). A positive correlation was observed between the runoff rate and rainfall duration; however, it was not statistically significant. The erosion rate positively correlated with rainfall amount, rainfall duration, mean rainfall intensity, and I30. However, the levels of statistical significance varied; the correlation of the erosion rate with I30 was more significant (p < 0.05) than that with rainfall (p < 0.01). Correlations between the erosion rate and both rainfall duration and mean rainfall intensity were not statistically significant. Overall, the correlations of both runoff rate and erosion rate with the rainfall characteristics were primarily influenced by rainfall and I30, with I30 showing a more substantial association with both runoff and erosion rates.
Table 2.
Correlation between runoff rate, erosion rate, and rainfall characteristic factors.
3.5. Quantifying the Contribution of Rainfall Factors to Runoff and Erosion
The direct, indirect, and cumulative effects of different rainfall characteristic factors on runoff rate and erosion rate of SWCMs treatment groups were studied by the path analysis method. For all groups, rainfall amount, rainfall duration, mean rainfall intensity, and I30 exhibited a direct positive effect on the runoff rate. Notably, rainfall duration influenced the runoff rate indirectly: it positively affected the runoff rate through its impact on rainfall and negatively through mean rainfall intensity and I30. Overall, the impact of all rainfall characteristic factors on the runoff rate was positive. Similarly, rainfall characteristic factors had a direct and overall positive effect on the erosion rates across all SWCMs. Indirectly, rainfall and I30 increased erosion by affecting the mean rainfall intensity (Table 3, Table 4 and Table 5). Specifically, for biological SWCMs (Table 3), the cumulative effect of different rainfall characteristic factors on the runoff rate ranked as follows: rainfall (47.48%) > I30 (34.04%) > mean rainfall intensity (14.83%) > rainfall duration (1.85%). This ranking indicates the dominant role of rainfall amount in increasing the runoff rates under biological SWCMs. In terms of runoff rate, the largest comprehensive impact of rainfall was reflected in the grass planting measure (57.76%), the largest comprehensive impact of I30 was the combining grass and irrigation measure (34.81%), and the largest comprehensive impact of mean rainfall intensity was also the combining grass and irrigation measure (28.09%). In terms of the cumulative effects of rainfall characteristic factors on the erosion rates under biological SWCMs, I30 (57.56%) was the most influential, followed by rainfall (25.6%), mean rainfall intensity (2.89%), and rainfall duration (0.95%). Notably, I30 had the most significant effect on the increase in erosion rate of intercropping measure (67.84%), and the measure with the most significant effect of rainfall on the increase in erosion rate of biological SWCMs was the grass planting (35.77%).
Table 3.
Effects of rainfall characteristics on runoff rate and erosion rate under biological SWCMs.
Table 4.
Effects of rainfall characteristics on runoff rate and erosion rate under engineering SWCMs.
Table 5.
Effects of rainfall characteristics on runoff rate and erosion rate under different comprehensive SWCMs.
For the engineering SWCMs (Table 4), in terms of the cumulative effect on the runoff rate, the rainfall characteristic factors ranked as follows: rainfall (49.41%) > I30 (45.45%) > mean rainfall intensity (10.3%) > rainfall duration (2.18%). Specifically, the effects of rainfall, I30 and mean rainfall intensity on the increase runoff were all most significant for the narrow terraces measure, with combined effects of 56.25%, 50.41%, and 15.21%, respectively. Overall, the effects on the erosion rates were dominated by I30 (54.13%), followed by rainfall (16.86%), mean rainfall intensity (4.04%), and rainfall duration (1.08%). Within this category, the most significant effect of both I30 and rainfall on the growth of erosion rate was the inward-sloping narrow terraces measure with a combined effect of 66.49% and 22.23%, respectively. The mean rainfall intensity has the greatest effect on erosion rate growth with narrow terraces measure (9.61%).
For comprehensive SWCMs (Table 5), in terms of the effects of the runoff rate, the rainfall characteristic factors ranked as follows: rainfall (46%) > I30 (41.49%) > mean rainfall intensity (3.15%) > rainfall duration (0.25%). In terms of runoff rate, the largest comprehensive impact of rainfall was reflected in the narrow terraces combined with grass planting (54.76%), the largest comprehensive impact of I30 was the narrow terraces combined with contour trenches and grass planting (42.25%), and the largest comprehensive impact of mean rainfall intensity was the narrow terraces combined with grass planting (6.76%). In terms of the erosion rates for comprehensive SWCMs, I30 (70.13%) was the predominant factor, followed by rainfall (20.21%), mean rainfall intensity (1.58%), and rainfall duration (0.55%). The major rainfall characteristic factors contributing to the erosion rate differed from those contributing to the runoff rate. I30, rainfall, and mean rainfall intensity had the most remarkable enhancing effects on the erosion rates for narrow terraces combined with contour trenches and grass planting (79.36%), narrow terraces with grass planting (32.8%), and narrow terraces combined with contour trenches and grass planting for mean rainfall intensity (2.89%), respectively.
4. Discussion
4.1. Impact of SWCMs on Runoff and Erosion
All types of SWCMs exert regulatory effects on the rates of runoff and erosion, although their impacts vary significantly [25]. In this study, comprehensive SWCMs, which integrate both engineering and biological SWCMs, proved to be the most effective, achieving the rates of 71.34% and 77.84% for the reductions of runoff and erosion, respectively. The superior performance of these measures is attributed to the synergistic effect of terrain modification and vegetation cover, which together optimize the runoff and erosion control on slopes. Engineering SWCMs modify the microtopography to extend the path and duration of runoff, enhancing water infiltration and reducing runoff production [31]. However, these measures also slow down the flow velocity, reducing the erosive force of runoff and thereby sediment transport [32,33,34]. For example, narrow terraces transform forestland terrain into segmented, stepped platforms, each acting as a sedimentation basin that efficiently captures water and sediment. This configuration has a cumulative effect, with each tiered platform working synergistically to curb soil erosion. By contrast, biological SWCMs control runoff and erosion through mechanisms that differ from those of engineering SWCMs. Vegetation increases surface roughness, slowing the movement of runoff across the surface and allowing more time for infiltration, which reduces surface runoff [35]. In addition, vegetation intercepts rainfall, protecting bare soil from the direct impact of raindrops and thus shielding the soil surface [18]. The roots of vegetation introduce numerous pores into the soil, enhancing infiltration and soil stability, which further prevent erosion [36]. However, during heavy or torrential rainfall events characterized by high volume and intensity, the responsiveness of biological SWCMs to reduce runoff and erosion may not be as immediate as that of engineering SWCMs. In this study, engineering SWCMs outperformed biological SWCMs in terms of both runoff and erosion reduction, likely due to the rapid interception and control of runoff and erosion achieved through direct physical alterations to the landscape.
Among the single measures, the combination of grass and interplantation proved to be the most effective biological SWCMs, significantly reducing runoff and erosion by 66.19% and 71.07%, respectively. This effectiveness is attributed to the increased variety of plant species, which enhances the surface coverage system’s ability to manage runoff and strengthen resistance to erosion [37]. Future studies can explore the influence of understory plant diversity on slope erosion. In the rubber plantations selected in this study, traditional practices often involved clearing understory grasses and shrubs to facilitate operations, creating a tension between economic gains and ecological sustainability [38]. Therefore, this study advocates for interplanting herbaceous species between the rows of rubber trees to boost the agroforestry system’s soil and water conservation capacity without impacting rubber harvesting, thus fostering a more sustainable development of rubber plantations. Among engineering SWCMs, the most effective combination was narrow terraces with contour trenches, showing the highest reduction rates for runoff (70.42%) and erosion (79.45%). This method enhances surface roughness and increases the capacity to capture runoff and erosion more effectively than narrow terraces alone, corroborating the findings reported by [39]. Overall, the combination of narrow terraces with contour trenches and grass planting proved most effective in reducing the rates of runoff (80.94%) and erosion (85.27%), integrating the terrain-optimization benefits of engineering SWCMs with the buffering capacity of biological cover, thereby outperforming the other SWCMs. Our findings indicate that integrating biological and engineering SWCMs can enhance the promptness of runoff retention and strengthen the surface layer control over both runoff and erosion. Specifically, the combination of narrow terraces, contour trenches, and grass planting emerges as a strategic priority for controlling soil erosion under rubber tree plantations. However, for practical implementation, the effectiveness of SWCM should be balanced with economic considerations because financial constraints are the major bottleneck for farmers [18,40]. Future research should thus aim to reconcile ecological benefits with economic feasibility, marking an essential advancement in soil erosion control research.
4.2. Impact of Rainfall Characteristic Factors on Runoff and Erosion
The effect of different rainfall characteristics on the runoff and sediment production varies greatly [41]. In this study, all four examined rainfall characteristic factors—rainfall, rainfall duration, mean rainfall intensity, and I30—showed positive correlations with both runoff and erosion rates. However, only rainfall and I30 exhibited significant correlations with these outcomes. Therefore, effective soil erosion management in rubber plantations within the study area should focus on understanding the distribution patterns of rainfall and I30. This is especially crucial during periods of high rainfall and in regions where these factors are more pronounced, which may require more intensive prevention and control measures. The present study revealed that the runoff rate responds more acutely to rainfall than to I30, whereas sediment yield is more closely related to I30. Notably, both rainfall and I30 correlated more strongly with the runoff and erosion rates in the control group—where vegetation was removed—compared with the experimental groups, where SWCMs were implemented (Figure 5 and Figure 6). This finding indicates that slopes devoid of vegetation, as observed in the control group, are more sensitive to variations in rainfall and I30, leading to increased runoff and erosion rates. Furthermore, the lack of vegetation cover in the control group resulted in lower surface roughness, reduced soil porosity, and diminished soil aggregate stability compared with the slopes incorporated with vegetation or engineered structures. This condition facilitates quicker runoff concentration and decreased infiltration, which are conducive to runoff formation.
Employing path analyses to examine the relationships between independent and dependent variables can provide a better understanding of the relative importance of various driving factors on the outcome variables [25]. The results of the path analysis indicated that the effects of rainfall and I30 were greatest on the runoff rate and erosion rate, respectively. These findings are consistent with those from the multivariate linear regression models, indicating the primary influence of these factors. Regardless of the SWCMs implemented, rainfall consistently showed a strong positive influence on runoff, establishing it as a key factor for runoff generation. This finding is consistent with those of previous studies, such as that by [42], which also highlighted the significant correlation between rainfall and the runoff rate. For erosion, I30 accounted for the highest explanatory power, with a direct positive effect on the erosion rate.
Moreover, other studies have indicated that the initial soil moisture content contributes significantly to runoff and sediment production. However, its effect can vary, enhancing or inhibiting runoff and erosion depending on whether soil pores are near saturation [40]. Additionally, variations in the slope gradient and length affect the dynamics of runoff and sediment production on slopes [43,44,45]. This study primarily focused on the impact of rainfall on runoff and erosion, without considering the effects of the initial soil moisture content and slope characteristics on the runoff and sediment yield. It is suggested that in the future research on soil erosion prevention and control of rubber plantations, in addition to considering the influence of rainfall factors, we can also combine the influence factors such as terrain and soil properties, and improve the allocation system of SWCMs by comprehensively understanding the mechanism of runoff and sediment yield on the slope of rubber plantations.
5. Conclusions
This study conducted in situ runoff and erosion observation experiments during the rainy season to assess the differential effects of various SWCMs and the influence of rainfall characteristic factors on the rates of runoff and erosion. The findings indicated an uneven distribution of rainfall across the study area, particularly concentrated from late August to mid-September. Rainfall events were categorized into three types, with events characterized by lower rainfall and intensity occurring most frequently. Compared with the control group (bare ground), all SWCMs—engineering, biological, and comprehensive—proved effective in controlling runoff and erosion. Notably, the overall erosion-reduction effectiveness of the SWCMs (68.55%) exceeded their impact on runoff reduction (58.95%). Comprehensive SWCMs proved to be the most effective, achieving reduction rates of 71.34% and 77.84% for runoff and erosion, respectively. Specifically, narrow terraces combined with contour trenches and grass planting, which integrates terrain optimization with biological buffering, was identified as the most efficacious measure for the conservation of soil and water, achieving a runoff-reduction rate of 80.94% and an erosion-reduction rate of 85.27%. This combination should be prioritized in erosion control practices. Furthermore, this study identified rainfall and I30 as the primary drivers behind runoff and erosion, a finding substantiated through path analysis. The insights gained from this study provide a theoretical basis for formulating effective soil erosion control strategies not only in the study area but also in other similar climatic zones with rubber plantations.
Author Contributions
X.L.: Formal analysis, Methodology, Investigation, Writing—original draft, Writing—review and editing. J.G.: Formal analysis, Data curation, Resources, Investigation, Writing—review and editing. J.C.: Supervision, Project administration, Funding acquisition. H.W.: Methodology, Investigation. Q.Z.: Methodology, Investigation. Y.C.: Investigation, Software. J.L.: Software, Validation. S.L.: Investigation, Software. M.W.: Investigation, Software. P.Z.: Investigation, Data curation. S.Q.: Supervision, Conceptualization, Writing—review and editing. All authors have read and agreed to the published version of the manuscript.
Funding
This research was funded by Hainan Province Science and Technology Special Fund for providing funding, grant number ZDKJ2021033.
Data Availability Statement
The raw data supporting the conclusions of this article will be made available by the authors on request.
Acknowledgments
We acknowledge the reviewers and academic editors for their positive and constructive comments and suggestions. We are grateful to the assistant editor and English editor for processing our manuscript efficiently.
Conflicts of Interest
Authors Xudong Lu, Jianchao Guo, Jiadong Chen, Hui Wu, Qin Zuo and Yizhuang Chen were employed by the company Design & Research Institute Co., Ltd. The remaining authors declare that the research was conducted in the absence of any commercial or financial relationships that could be construed as a potential conflict of interest.
References
- Wuepper, D.; Borrelli, P.; Finger, R. Countries and the global rate of soil erosion. Nat. Sustain. 2020, 3, 51–55. [Google Scholar] [CrossRef]
- Pandey, S.; Kumar, P.; Zlatic, M.; Nautiyal, R.; Panwar, V.P. Recent advances in assessment of soil erosion vulnerability in a watershed. Int. Soil Water Conser. Res. 2021, 9, 305–318. [Google Scholar] [CrossRef]
- Zambon, N.; Johannsen, L.L.; Strauss, P.; Dostal, T.; Zumr, D.; Cochrane, T.A.; Klik, A. Splash erosion affected by initial soil moisture and surface conditions under simulated rainfall. Catena 2021, 196, 104827. [Google Scholar] [CrossRef]
- Zhang, Y.; Qin, X.; Qiu, Q.; Yu, R.G.; Yao, Y.F.; Li, H.Q.; Shao, M.G.; Wei, X.R. Soil and water conservation measures reduce erosion but result in carbon and nitrogen accumulation of red soil in Southern China. Agric. Ecosyst. Environ. 2023, 346, 108346. [Google Scholar] [CrossRef]
- Lal, R. Soil erosion and the global carbon budget. Environ. Int. 2003, 29, 437–450. [Google Scholar] [CrossRef]
- Shin, J.; Kim, T.; Heo, J.; Lee, J. Spatial and temporal variations in rainfall erosivity and erosivity density in South Korea. Catena 2019, 176, 125–144. [Google Scholar] [CrossRef]
- Sharda, V.N.; Mandal, D.; Dogra, P. Prioritizing soil conservation measures based on water erosion risk and production and bio-energy losses in peninsular South Indian states. Catena 2021, 202, 105263. [Google Scholar] [CrossRef]
- Johannsen, L.L.; Schmalz, E.M.; Mitrovits, O.; Klik, A.; Smoliner, W.; Wang, S.P.; Strauss, P. An update of the spatial and temporal variability of rainfall erosivity(R-factor) for the main agricultural production zones of Austria. Catena 2022, 215, 106305. [Google Scholar] [CrossRef]
- Pawel, M.; Sylwia, S. Assessing monthly dynamics of agricultural soil erosion risk in Poland. Geoderma Reg. 2024, 39, e00864. [Google Scholar]
- Louzada, R.O.; Bergier, I.; Diniz, J.M.F.; Guerra, A.; Roque, F.O. Priority setting for restoration in surrounding savannic areas of the Brazilian Pantanal based on soil loss risk and agrarian structure. J. Environ. Manag. 2022, 323, 116219. [Google Scholar] [CrossRef]
- Shahab, A.S.; Malik, A.; Mohammad, R.N.; Mehrdad, G.M.; Mohammad, R.A.; Jan, F.A.; Hamid, M.; Nasrin, A.; Amir, H.G. Soil erosion in the United States: Present and future (2020–2050). Catena 2024, 242, 108074. [Google Scholar]
- China Soil and Water Conservation Bulletin (2023); Ministry of Water Resources of the PRC: Beijing, China, 2024.
- Shi, D.M.; Jiang, G.Y.; Peng, X.D.; Jin, H.F.; Jiang, N. Relationship between the periodicity of soil and water loss and erosion-sensitive periods based on temporal distributions of rainfall erosivity in the Three Gorges Reservoir Region, China. Catena 2021, 202, 105268. [Google Scholar] [CrossRef]
- Zhu, D.Y.; Xiong, K.N.; Xiao, H.; Gu, X.P. Variation characteristics of rainfall erosivity in Guizhou Province and the correlation with the El Niño Southern Oscillation. Sci. Total Environ. 2019, 691, 835–847. [Google Scholar] [CrossRef] [PubMed]
- Gu, X.Z.; Ye, L.; Xin, Q.; Zhang, C.; Zeng, F.Z.; Nerantzaki, S.D.; Papalexiou, S.M. Extreme Precipitation in China: A Review on Statistical Methods and Applications. Adv. Water Resour. 2022, 163, 104144. [Google Scholar] [CrossRef]
- Lu, X.D.; Chen, J.D.; Guo, J.C.; Qi, S. Variation characteristics of rainfall erosivity in tropical China and its impact on river sediment load. Front. Environ. Sci. 2023, 11, 1084503. [Google Scholar] [CrossRef]
- Zhu, X.A.; Yuan, X.; Lu, E.F.; Yang, B.; Wang, H.F.; Du, Y.Y.; Singh, A.K.; Liu, W.J. Soil splash erosion: An overlooked issue for sustainable rubber plantation in the tropical region of China. Int. Soil Water Conser. Res. 2023, 11, 30–42. [Google Scholar] [CrossRef]
- Chen, J.; Xiao, H.B.; Li, Z.W.; Liu, C.; Ning, K.; Tang, C.J. How effective are soil and water conservation measures (SWCMs) in reducing soil and water losses in the red soil hilly region of China? A meta-analysis of field plot data. Sci. Total Environ. 2020, 735, 139517. [Google Scholar] [CrossRef]
- Zhang, J.L.; Zhou, L.L.; Ma, R.M.; Jia, Y.F.; Yang, F.; Zhou, H.Y.; Cao, X.Y. Influence of soil moisture content and soil and water conservation measures on time to runoff initiation under different rainfall intensities. Catena 2019, 182, 104172. [Google Scholar] [CrossRef]
- Luo, J.; Zhou, X.L.; Rubinato, M.; Li, G.J.; Tian, Y.X.; Zhou, J.X. Impact of Multiple Vegetation Covers on Surface Runo and Sediment Yield in the Small Basin of Nverzhai, Hunan Province, China. Forests 2020, 11, 329. [Google Scholar] [CrossRef]
- Liu, Y.H.; Han, J.Q.; Liu, Y.H.; Zhang, S.Y.; Min, L.X.; Liu, B.Y.; Jiao, J.Y.; Zhang, L. Effects of soil and water conservation measures of slope surfaces on flood peaks of small watersheds: A study based on three extreme rainstorm events in northern China. Catena 2023, 232, 107432. [Google Scholar] [CrossRef]
- Hu, W.; Xu, J.Z.; Li, J.Y.; Zhang, X.Y. The effect of soil and water conservation measures on soil organic carbon in a typical small watershed in the Mollisol region of Northeast China. Catena 2022, 208, 105744. [Google Scholar] [CrossRef]
- Duan, G.H.; Wen, Z.M.; Xue, W.; Bu, Y.K.; Lu, J.X.; Wen, B.J.; Wang, B.h.; Chen, S.H. Agents affecting the plant functional traits in national soil and water conservation demonstration park (China). Plants 2022, 11, 2891. [Google Scholar] [CrossRef] [PubMed]
- Duan, G.H.; Zhou, R.L.; Wang, L.C.; Zheng, C.; Liu, Y.D.; Chai, X.H.; Zhou, C.F.; Wen, Z.M. Effects of different soil and water conservation measures on plant diversity and productivity in Loess Plateau. J. Environ. Manag. 2023, 348, 119330. [Google Scholar] [CrossRef]
- Hu, Y.T.; Zhang, F.; Luo, Z.Z.; Badreldin, N.; Benoy, G.; Xing, Z.S. Soil and water conservation effects of different types of vegetation cover on runoff and erosion driven by climate and underlying surface conditions. Catena 2023, 231, 107347. [Google Scholar] [CrossRef]
- Gen, S.W.; Wu, Z.X.; Yang, C. Water vapor flux exchange of rubber forest stand in Hainan Danzhou and its response to environmental factors. J. North. For. Univ. 2021, 36, 77–85, (In Chinese with English Abstract). [Google Scholar]
- Duan, J.; Liu, Y.J.; Yang, J.; Tang, C.J.; Shi, Z.H. Role of groundcover management in controlling soil erosion under extreme rainfall in citrus orchards of southern China. J. Hydro 2020, 582, 124290. [Google Scholar] [CrossRef]
- Shao, W.Y.; Wang, Q.Z.; Guan, Q.Y.; Luo, H.P.; Ma, Y.R.; Zhang, J. Distribution of soil available nutrients and their response to environmental factors based on path analysis model in arid and semi-arid area of northwest China. Sci. Total Environ. 2023, 827, 154254. [Google Scholar] [CrossRef] [PubMed]
- Huo, J.Y.; Liu, C.J.; Yu, X.X.; Jia, G.D.; Chen, L.H. Effects of watershed char and climate variables on annual runoff in different climatic zones in China. Sci. Total Environ. 2021, 754, 142157. [Google Scholar] [CrossRef]
- Garson, D. Path Analysis; North Carolina State University: Raleigh, NC, USA, 2008. [Google Scholar]
- Wu, B.C.; Qi, S.; Guo, J.C. Effects of forestland spatial pattern and micro-topography on surface runoff in a mountainous area of southwestern China. Trans. Chin. Soc. Agric. Eng. 2021, 37, 108–116, (In Chinese with English Abstract). [Google Scholar]
- Chen, D.; Wei, W.; Chen, L.D. Effects of terracing practices on water erosion control in China: A meta-analysis. Earth-Sci. Rev. 2017, 173, 109–121. [Google Scholar] [CrossRef]
- Feng, J.; Wei, W.; Pan, D.L. Effects of rainfall and terracing-vegetation combinations on water erosion in a loess hilly area, China. J. Environ. Manag. 2020, 261, 110247. [Google Scholar] [CrossRef] [PubMed]
- Fernandes, A.C.; Gontijo, L.M. Terracing field slopes can concurrently mitigate soil erosion and promote sustainable pest management. J. Environ. Manag. 2020, 269, 110801. [Google Scholar] [CrossRef]
- Gu, C.; Mu, X.; Gao, P.; Zhao, G.J.; Sun, W.Y.; Tan, X.J. Distinguishing the effects of vegetation restoration on runoff and sediment generation on simulated rainfall on the hillslopes of the loess plateau of China. Plant Soil 2020, 447, 393–412. [Google Scholar] [CrossRef]
- Yan, Y.; Zhen, H.; Zhai, X.Y.; Li, J.Y.; Hu, W.; Ding, C.; Qi, Z.; Qiao, B.L.; Li, H.; Liu, X.B.; et al. The role of vegetation on earth bunds in mitigating soil erosion in Mollisols region of Northeast China. Catena 2021, 196, 104927. [Google Scholar] [CrossRef]
- Bai, R.H.; Wang, X.Z.; Li, J.W.; Yang, F.; Shangguan, Z.P.; Deng, L. The impact of vegetation reconstruction on soil erosion in the Loess plateau. J. Environ. Manag. 2024, 363, 121382. [Google Scholar] [CrossRef]
- Carretta, L.; Tarolli, P.; Cardinali, A.; Nasta, P.; Romano, N.; Masin, R. Evaluation of runoff and soil erosion under conventional tillage and no-till management: A case study in northeast Italy. Catena 2021, 197, 104972. [Google Scholar] [CrossRef]
- Li, X.H.; Yang, J.; Zhao, C.Y.; Wang, B. Runoff and sediment from orchard terraces in southeastern China. Land Degrad. Dev. 2014, 25, 184–192. [Google Scholar] [CrossRef]
- Jiang, C.; Zhang, H.Y.; Wang, X.C.; Feng, Y.Q.; Labzovskii, L. Challenging the land degradation in China’s Loess Plateau: Benefits, limitations, sustainability, and adaptive strategies of soil and water conservation. Ecol. Eng. 2019, 127, 135–150. [Google Scholar] [CrossRef]
- Sun, M.; Wang, Z.; Li, Z.; Xu, X.L.; Qin, L.; Song, T. Temporal variations in rainfall, runoff and sediment yield in small karst watersheds. Catena 2023, 231, 107292. [Google Scholar] [CrossRef]
- Fan, D.; Yu, X.; Jia, G.; Wang, H. Characteristics of soil and water loss and its influencing factors on slope scale in rocky mountain area of Beijing. Sci. Soil Water Conserv. 2014, 12, 24–28, (In Chinese with English Abstract). [Google Scholar]
- Zhao, J.L.; Yang, Z.Q.; Govers, G. Soil and water conservation measures reduce soil and water losses in China but not down to background levels: Evidence from erosion plot data. Geoderma 2019, 337, 729–741. [Google Scholar] [CrossRef]
- Zhao, L.S.; Fang, Q.; Hou, R.; Wu, F.Q. Effect of rainfall intensity and duration on soil erosion on slopes with different microrelief patterns. Geoderma 2021, 396, 115085. [Google Scholar] [CrossRef]
- Zhao, J.L.; Wang, Z.G.; Dong, Y.F.; Yang, Z.Q.; Govers, G. How soil erosion and runoff are related to land use, topography and annual precipitation: Insights from a meta-analysis of erosion plots in China. Sci. Total Environ. 2022, 802, 149665. [Google Scholar] [CrossRef] [PubMed]
Disclaimer/Publisher’s Note: The statements, opinions and data contained in all publications are solely those of the individual author(s) and contributor(s) and not of MDPI and/or the editor(s). MDPI and/or the editor(s) disclaim responsibility for any injury to people or property resulting from any ideas, methods, instructions or products referred to in the content. |
© 2024 by the authors. Licensee MDPI, Basel, Switzerland. This article is an open access article distributed under the terms and conditions of the Creative Commons Attribution (CC BY) license (https://creativecommons.org/licenses/by/4.0/).





