Next Article in Journal
The Dynamics of Stand Structure Development and Natural Regeneration of Common Beech (Fagus sylvatica L.) in Plitvice Lakes National Park
Next Article in Special Issue
Forecast of Current and Future Distributions of Corythucha marmorata (Uhler) under Climate Change in China
Previous Article in Journal
The Pulses of Soil CO2 Emission in Response to Rainfall Events in Central Siberia: Revisiting the Overall Frost-Free Season CO2 Flux
 
 
Font Type:
Arial Georgia Verdana
Font Size:
Aa Aa Aa
Line Spacing:
Column Width:
Background:
Article

Spruce Protection against Ips typographus with Anti-Attractant Blend of Tree-Based Semiochemicals: From Small Experimental Plots to Stand Scales

1
Faculty of Forestry and Wood Sciences, Czech University of Life Sciences, Kamýcká 156, 163 00 Prague, Czech Republic
2
Institute of Forest Ecology, Slovak Academy of Sciences, Štúrova 2, 960 53 Zvolen, Slovakia
3
The Military Forests and Farms of the Czech Republic, Lipník Nad Bečvou Division, 751 31 Lipník nad Bečvou, Czech Republic
4
Department of Plant Protection Biology, Chemical Ecology, Swedish University of Agricultural Sciences, Alnarp, 234 22 Lomma, Sweden
*
Author to whom correspondence should be addressed.
Forests 2024, 15(2), 356; https://doi.org/10.3390/f15020356
Submission received: 30 December 2023 / Revised: 6 February 2024 / Accepted: 10 February 2024 / Published: 12 February 2024
(This article belongs to the Special Issue Risk Assessment and Management of Forest Pest Outbreaks)

Abstract

Tree-killing bark beetles require rapid management, such as anti-attractants, to stop the enlargement of attack hot-spots. We tested two newer anti-attractant blends, both without verbenone and one with the addition of trans-4-thujanol, in traps against standard pheromone baits for inhibition of catch. Both blends provided effective catch reduction (>95%). We also tested these anti-attractant blends in tree protection experiments for two years. We had experimental plots with a center of an anti-attractant protected tree zone, with no traditional control area, but we followed tree kills in 10 m wide concentric rings to 100 m. In 2020, we had 12 plots, and 9 plots in 2021. Monitoring by low-strength pheromone traps followed beetle flight averaging 300/trap during the shorter period, August 2020, and 5000/trap during the longer period, May to August 2021. The blends of anti-attractants were 100% effective in avoiding tree mortality in both treated trees and their surroundings. There were no bark beetle attacks on any treated trees, and there was zero tree mortality up to 19 m in 2020, and up to 30 m in 2021, thus full protection to circa 20 m. The density of killed trees then increased from close to zero, over 20 to 50 m, reaching a level of ca 30 (trees/ha) then declined. The spatial pattern of tree mortality on our experimental plots was highly heterogeneous and individual 10m-ring data points on tree kill density could not be statistically separated. In contrast, a non-linear regression model showed a continuous increase of attacks over the distance from the center to a peak ca 60m, followed by a decline. This model agrees partly with the only similar study in the literature, but importantly, it does not give a peak of kill density at distances between the first and second rings close to treatment zones. Such patterns of close-quarter kills have been observed as a “switching” of attack in this and other scolytid systems manipulated by anti-attractants, but not in the present study, likely due to the elimination of verbenone from our blends.

1. Introduction

The Eurasian spruce bark beetle Ips typographus (L.) is the most important forest pest in Europe [1]. It infests the entire trunk of mature spruce trees [2], predominantly targeting areas with sun exposure along forest edges recently formed due to wind damage, sanitation logging activities, or living trees neighboring prior infestations [3]. Its activity spans from April to September, correlating with climatic conditions, and it has the capacity for up to three generations per year [4].
A variety of strategies have been developed to protect spruce stands. These range from traditional methods such as sanitary or salvage felling of infested trees [1] to the use of pheromone trap barriers [5], the use of trap trees, and the implementation of mass trapping techniques [1,6,7,8,9,10].
The use of pheromone trapping for bark beetle population control to substantially reduce Ips typographus populations can be an environmentally more acceptable alternative to the use of synthetic insecticides. However, the biological and economical efficacy of this method has been questioned [1,11,12]. One limitation of pheromone traps for mass trapping is the spillover effect [7,8,10]. Commercial dispensers are designed to be highly attractive. They may attract substantially more beetles than the trap catches, resulting in beetles attacking nearby trees [10].
The development of push-pull strategies [13,14,15,16] coincided with the pioneering adoption of new methods to control bark beetles through the use of anti-attractants in both North America and Europe. The objective behind anti-attractants is to deter bark beetles from relatively healthy, uninfested trees where these compounds are utilized. These methodologies involve the application of anti-attractants to deter insects from trees, while simultaneously strategically situating aggregation pheromone traps in nearby clear-cut areas. Terming the “push-pull” method, this approach has been extensively investigated by several researchers [17,18,19,20,21,22].
Several active anti-attractant compounds have been identified for I. typographus [21]. The first compound, verbenone, is derived either from the host compound α-pinene or by conversion of the primary pheromone component of I. typographus, cis-verbenol [23]. A second category consists of non-host volatiles (NHV), such as trans-conophthorin, an important synergistic compound found in the bark of deciduous trees [24]; green leaf volatiles (GLV; 1-hexanol; (Z)-3-hexen-1-ol; (E)-2-hexen-1-ol), detected in non-host species such as birch (Betula spp.) and aspen (Populus tremula) [25]; and C8 alcohols (3-octanol; 1-octen-3-ol) emitted from the bark of the aforementioned tree species. A relatively new anti-attractant compound from Norway spruce, 1,8-cineol, has shown an interestingly different field activity [26], with more precise spatial efficacy than verbenone due to its inhibition of the pheromone component cis-verbenol at the single-sensillum level [27]. Recently, several other oxygenated monoterpenes from host trees have been reported [28], including trans-thujan-4-ol, which has been identified as physiologically active in I. typographus and has potential anti-attractant properties [29,30,31].
The reduction by anti-attractants on bark beetle-induced tree mortality has been observed in mountainous or boreal landscapes under normal weather conditions [20,21,22,32]. However, in conditions of spruce monocultures in low elevation under drought stress and a high bark beetle population, anti-attractants were not effective [33]. Studies involved the use of dispensers comprising verbenone [20,32] or a blend consisting of verbenone, conophthorin, and GLVs [20,21,22]. The current experimental design in experimental ecology involves establishing suitable numbers of treatment and control plots [34]. Traditionally, work with anti-attractants has followed this paradigm [14,20,21,22]. An alternative approach is the experimental evaluation of tree protection efficiency, which implies the consideration of the stand surrounding the treatment plot at the forest edge as a control and the measurement of the geographical positions of attacked trees in and around a treatment area [21]. Data from adjacent paired plots indicated that beetle-caused tree mortality was reduced by 35 to 76 percent in treatment plots compared to controls [20,21]. The study also documented an increase in infestation intensity within a 15–30 m zone along the boundary of treated plots at the forest margin, which exceeded the average landscape infestation rates.
The use of anti-attractants is restricted by two potential negative effects. The first effect is the “spillover effect”, as described by Ross and Daterman [17] in the implementation of a push-and-pull system aimed at safeguarding Douglas-fir (Pseudotsuga menziesii (Mirb.) Franco) against the Douglas Fir beetle (Dendroctonus pseudotsugae Hopkins). According to those authors, increased tree mortality outside the treated areas was caused by the spillover effect of the suppression traps. This effect has also been described in the absence of anti-attractants [7,8,10].
The second effect is the “switch effect”, which is the effect of shifting beetle attacks out of treated areas [21,33]. The study by Schiebe et al. [21] in Sweden and our pilot experiments in the Moscow area have shown the “switch effect”, even in the absence of pheromone traps. In the case of anti-attractants, the negative effects can be connected with the use of verbenone as a key component of anti-attractants in the case of I. typographus. Verbenone is synthesized by trees that have been extensively attacked and depleted by bark beetles [35]. Its production also occurs when coniferous trees are attacked by several other bark beetle species [36]. Consequently, treating a single tree with this compound sends a signal to the bark beetle that the treated tree is already occupied and exhausted. As a result, the bark beetle is prompted to seek out another healthy tree in its vicinity. According to Niemeyer [10], the installation of the verbenone dispenser on spruce may lead to I. typographus attack.
The application of anti-attractants may lead bark beetles to move beyond treated areas onto neighboring trees in an unregulated manner, presenting an adverse outcome for forest management [21]. However, in the pilot application on a larger scale [37], the observed “switch” effect was not evident. Potential solutions to these problems may involve the strategic placement of protected areas or lines. For American bark beetles, two different strategies have been employed to potentially eliminate the “switch” effect: (1) the even distribution of small dispensers by spraying [38,39], and (2) the use of fewer but more potent dispensers arranged in a grid configuration [18]. This grid configuration has also been used for I. typographus in forests that have undergone severe salvage logging, resulting in the absence of any observable “switch” effect [32].
The primary objective of this work is to further improve anti-attractant applications for the protection of spruce stands. Specifically, we aim to mitigate the method’s weak points, such as relatively low biological effectiveness, spillover, and switch effects. This study experimentally explores the quantitative relationship between the number of trees infested by I. typographus and the use of improved mixtures of anti-attractants of synergic tree-based compounds. The new mixture is based on the one used by Jakuš et al. [33], with the addition of the trans-4-thujanol substance and the absence of verbenone. The improvements to the mixture are based on experiments described by Jirošová et al. [31]. Our experiments were conducted in an area where no pheromone traps, barriers, or mass trapping were used. To avoid any potential spillover effect, only an anti-attractant treatment (push) was used. Pheromone traps were not used for forest protection reasons (pull). Only monitoring traps with weak pheromones at a longer distance from the treatment were deployed. Our hypothesis is that the use of a new anti-attractant blend will repel beetles from the treated area and minimize the switch effect. The data should demonstrate a reduction in attacks at close range, followed by an increase in tree kill density as the distance from the center of treatment to stand or landscape levels increases.
Due to the size and limited number of suitable fresh clear-cuts in our experimental area, and also due to possible difficulties with the use of pairs of experimental plots, especially with control areas, as described by Jakuš et al. [33], we have used an experimental design similar to the way of analyzing tree attacks over distance used by Schiebe et al. [21] in Swedish conditions. Therefore, we did not use classical control plots. We measured the distances between trees killed by bark beetles and trees treated with anti-attractants.

2. Methods

We have tested the effectiveness of two new semiochemical anti-attractant mixtures and dispensers to diminish catch in pheromone traps and reduce tree kill over distance in tree protection experiments. The new mixtures were prepared using the composition introduced by Jakuš et al. [33] and further improved by Jirošová et al. [31]. In 2020, we used a more simple mixture, only in the absence of verbenone. In 2021, we have further improved our mixture by adding trans-thujan-4-ol.

2.1. Study Areas

The trapping experiments were conducted within a clearcut area after salvage cutting situated in the spruce forest of VU Libavá (49°37′20″ N, 17°34′41″ E), located in the eastern region of the Czech Republic during the year 2022 (Figure 1).
The tree protection experiments were conducted in 2020 and 2021 in mature spruce stands located approximately 50 km southeast of Prague, Czechia, as depicted in Figure 1. These stands are under the ownership and management of the Czech University of Life Sciences/School forest enterprise Kostelec nad Černými lesy, encompassing an overall area of around 5700 hectares within the temperate climate zone. The mean annual temperature ranges from 7 to 7.5 degrees Celsius, and the annual precipitation sum is in the range of 600 to 650 mm, with a vegetation period lasting 150 to 160 days [40]. Notably, recent intermittent droughts have adversely affected the vitality of the forests [41]. The forest stands primarily consist of 70% conifers, predominantly spruce (50%) followed by pine (16%), with the remaining 30% comprising broadleaved trees. Among these, beech covers the largest portion at 14%, followed by oak at 10%, with other species making up the remainder.
The management of forests involves a clearcutting silvicultural system, often combined with the shelterwood system [41]. Due to the extreme drought in 2018, the Central European region was affected by a large-scale Ips typographus outbreak [42,43], continuing into 2023. While the forest in the experimental area primarily faced infestations from I. typographus, other species like I. duplicatus, I. amitinus, and Pityogenes chalcographus might have infested localized spots. As a response, the forest management strategy has recently emphasized sanitary logging to promptly eliminate infested trees upon observation.

2.2. Dispensers

As anti-attractants for forest edge protection, the custom-formulated devices manufactured by Synergy Semiochemicals Corporation, Delta, Canada, were used. The dispensers, identified as Device #3525 in 2020 and Device #3553 in 2021, were fully manufactured by the company. The company prepared the dispensers, including filling them and synthesizing or purchasing semiochemicals. The authors of the paper suggested the composition, measured as the loading weight of the semiochemicals, based on their previous works [31,33]. Dispensers made from a polyethylene permeable membrane of size 7.5 × 15 cm, filled with a plastic holder allowing the compounds to soak were used. The dispensers were filled with a liquid mixture of anti-attractants with a pooled release rate for all substances of 58 mg/day (SD 10) in laboratory conditions (fume hood) and 86 mg/day (SD 67) in conditions of field experiment. The release rate was determined using the standard gravimetric method (weight loss over time), as in Jirošová et al. [31].
The mixture for the filling of the dispensers was comprised of 1,8-cineol, racemic trans-conophthorin, and NHV-alcohols (1-hexanol, 1-octene-3-ol, and 3-octanol). In dispensers for experiments in 2021, trans-4-thujanol was added (see Table 1).
The content of the customized dispensers was developed based on a modified mixture of compounds used to compose the experimental lure ‘IT-REP’, an anti-attractant blend that proved its inhibition efficacy in field experiments in Slovakia and Sweden [21]. The dispensers should last around 8 weeks, as stated by the manufacturer.
A commercial pheromone lure, Pheroprax A (BASF SE, Ludwigshafen, Germany), was used in the monitoring traps. In order to minimize the effect of pheromones on experiments, we have used half of the pheromone lure Pheroprax A per trap. The original Pheroprax A contains 2 separate ampoules. We have cut devices with scissors, and we have used one ampoule per trap. In 2020, we used one ampoule per experiment duration, as we started the experiment at the end of July. In 2021, we replaced the ampoule once per season.
In trapping experiments, we used a strong commercial pheromone lure IT ECOLURE EXTRA (Fytofarm Ltd., Bratislava, Slovak Republic).

2.3. Experimental Design

2.3.1. Trapping Experiments

Three black window-slot traps manufactured by RIDEX (Ridex Ltd., Vrbno pod Pradědem, Czech Republic) were deployed. The traps were positioned about 20 m from the forest’s recently cut edge and spaced approximately 15 m apart. The experiment started in June and August 2022. The baits’ placement was randomized during each rotation. In total, we completed 10 rotations.

2.3.2. Tree Protection Experiments

Experiments were performed in mature pure Norway spruce stands (older than 80 years) on relatively flat terrain (slope in the range 0–15°). The edges of the stand were situated in areas with a high probability of bark beetle attack. Experimental plots were located on the forest edges after the salvage cut of trees that were attacked the previous year, which were processed by the harvester and removed before the start of the experiment. All the experimental trees and plots in the surrounding area had no sign of attack before the experiment. The opposing boundaries of clear-cut areas were at a distance greater than twice the average height of the forest stands. The distance between the experimental plots was between several hundred meters and several kilometers. The experimental plots are described in Table 2 and their location is shown in Figure 2.
In contrast to most tree earlier protection experimental designs, based on treated and control plots [20,21] or treated, control, and switch plots, [33] we used here a radically modified design. It is based on measuring the distances of all attacked trees outside the treated group of trees, first used in protection experiments in Sweden by Schiebe et al. [21] (Figure 3).
One monitoring pheromone-baited trap was installed in the salvage cut area, approximately 50 m from the threatened forest edge. We have used black window-slot traps (Ridex Ltd., Vrbno pod Pradědem, Czech Republic).
Each treated tree was protected by a single dispenser attached to the north side of the stem at ~1.2 m height.
The decision to use a single dispenser at this height was based on the findings of Jakuš et al. [33]. They showed no differences in tree mortality between treatments with anti-attractant dispensers installed at one and two different heights. The release rate of anti-attractants per tree was the same (2 dispensers at one height versus 2 dispensers at two different heights).
We monitored trees for bark beetle infestation signs and checked pheromone traps at the forest edges at intervals of ~2–7 days, depending on the weather. In the course of the experiment, beetle-infested trees were gradually subjected to sanitary cutting as part of conventional forest management practices implemented in the experimental blocks.
Experiment 2020
In 2020, we started an experiment in July and tested only anti-attractants in the summer swarm. The anti-attractant and pheromone lures were not changed. We treated 10 trees directly at the edge of the forest (forest margin) adjacent to the clear-cut area (total = 10 trees per treatment) (Figure 3a and Figure 4). We consider this line to be the first row of trees from the forest edge. The distance between trees ranged from 1 to 10 m. An example of an experimental plot is shown in Figure 3. We used 12 experimental plots (Table 2).
We used a Mavic 2 Pro (DJI) UAV in 2021 (June 17) and a DJI Phantom 4 Pro (DJI) UAV in 2020 (August 12 to September 10) to take aerial photographs of all the experimental plots. We used a drone and took RGB aerial photographs at a resolution of 2.25 cm/pixel spatial resolution.
During the inspections, we monitored bark beetle-killed trees in treated areas and visible bark beetle-killed trees, and we measured distances between treated trees and bark beetle-killed trees with a laser rangefinder in all small infestations (patches with less than 30 beetle-killed trees). At the end of the experiment, the whole area of the experimental plots was inspected, and distances were measured (spots with less than 30 beetle-killed trees). Later, we analyzed tree mortality in larger bark beetle spots using a time series of 2 aerial photographs, all undertaken in QGIS software version 3.28.9 (Open Source Geospatial Foundation (OSGeo)). We identified the next bark beetle-killed trees or fresh stumps and measured the distances between treated trees and bark beetle-killed trees or stumps. All distances were recorded for further analysis.
Experiment 2021
In 2021, we started the experiment in the month of May. For the spring swarm, we treated 10 trees in the first row (the edge of the forest) and 10 trees in the second row from the forest edge (total = 20 trees per treatment) (Figure 3b). For summer swarming, we added new dispensers on 10 trees in the second row and on 10 trees in the third row from the forest edge (total = 20 trees per treatment) (Figure 3c). We did not remove the spring dispensers. We also replaced all pheromone dispensers in traps. We used the same plots as in 2020. However, 3 plots were damaged by wind in winter 2020/2021. It means that we used only 9 plots in 2021 (Table 2).
In 2021, we performed only terrestrial monitoring of bark beetle-killed trees, in the same way as in 2020.

2.4. Statistical Analysis

2.4.1. Trapping Experiments

A Kruskal-Wallis test was used to assess the impact of anti-attractant mixtures on pheromone trap catches, aimed at decreasing insect attraction. Data were categorized into three treatment groups: (1) traps with the pheromone IT ECOLURE EXTRA; (2) traps with the pheromone and anti-attractant mixture A2020; and (3) traps with the pheromone and anti-attractant mixture A2021 (details on the anti-attractants can be found in Table 1). The Kruskal-Wallis test identified differences due to the mixtures, and the subsequently performed Dunn’s test allowed for pairwise comparisons between the groups.

2.4.2. Tree Protection Experiments

Tree mortality data
In the initial phase of our analysis, we rigorously examined the data set, focusing in particular on the distances between treated and bark beetle-infested trees, as described by Schiebe et al. [21]. Despite the exhaustive nature of our investigation, the results of the statistical analyses did not reach the desired level of significance. We also tested other approaches (such as binomial regression) with similar results. Recognizing the importance of robust statistical methods in ecological studies and understanding that traditional models may not fully capture the underlying patterns in our data, we sought an alternative approach. Our decision to turn to the Negative Binomial regression model [44] is underpinned by its ability to handle data that fits seamlessly with the nature of our observations. Unlike traditional models, the negative binomial regression framework accommodates the inherent variability in our dataset, allowing for a more nuanced and context-specific analysis. This model allows us to account for the discrete and non-negative nature of our data, recognizing the distinct ecological dynamics at play in our investigation. By choosing the negative binomial regression model, we aim to gain a deeper understanding of the relationship between tree treatments and bark beetle-induced mortality, ensuring a more accurate representation of the ecological processes at play.
We conducted an analysis on a dataset comprising records detailing the distances between trees killed by bark beetles and treated trees during the years 2020 and 2021 in VSCode 1.85.1 in Jupiter Notebook using Python programming language (ver. 3.11.1; [45] and pandas 1.5.0 library for data manipulation and analysis.
To conduct a detailed analysis, we divided the range of distances into discrete bins. Each bin spanned a 10-m range, from 0 to 100 m. These bins were labeled from “0–10” to “90.1–100”.
The dataset was then filtered, in order to separate the densities of bark beetle-killed trees for each year, 2020 and 2021. The data for each year were categorized according to the defined distance bins, facilitating a year-wise analysis of bark beetle attack density in relation to the distance from the treated forest edge. For the purpose of statistical analysis, each distance bin was assigned a midpoint value. For instance, the bin “0–10” was assigned a midpoint of 5 meters, “10.1–20” was assigned 15 m, and so forth. This approach transformed the categorical distance bins into a continuous numerical variable, thus enabling a more refined statistical analysis. After transforming the data, we aggregated the density of bark beetle attacks for each distance bin for both 2020 and 2021.
We applied negative binomial regression models to analyze the relationship between the distance from the forest edge (represented by the bin midpoints) and the density of bark beetle attacks for 2020 and 2021 data separately. In each model, the dependent variable was the density of bark beetle-killed trees per bin, and the independent variable was the bin midpoint distance in linear and quadratic form. A constant term was included in the models to incorporate the intercept.

3. Results

3.1. Trapping Experiments

The results of trapping experiments are shown in Figure 5.
The application of both anti-attractant mixtures resulted in a decrease in the capture rates of I. typographus in the pheromone traps utilized. The reduction in capture rates associated with the anti-attractant mixture implemented in 2021 indicated a slightly greater repellency compared to the 2020 mixture. However, the post-hoc Dunn’s test, using a Bonferroni corrected alpha of 0.017, indicated that only the mean ranks of the following pairs are significantly different: Ph and Ph+A2020, as well as Ph and Ph+A2021.

3.2. Tree Protection Experiments

3.2.1. Tree Mortality

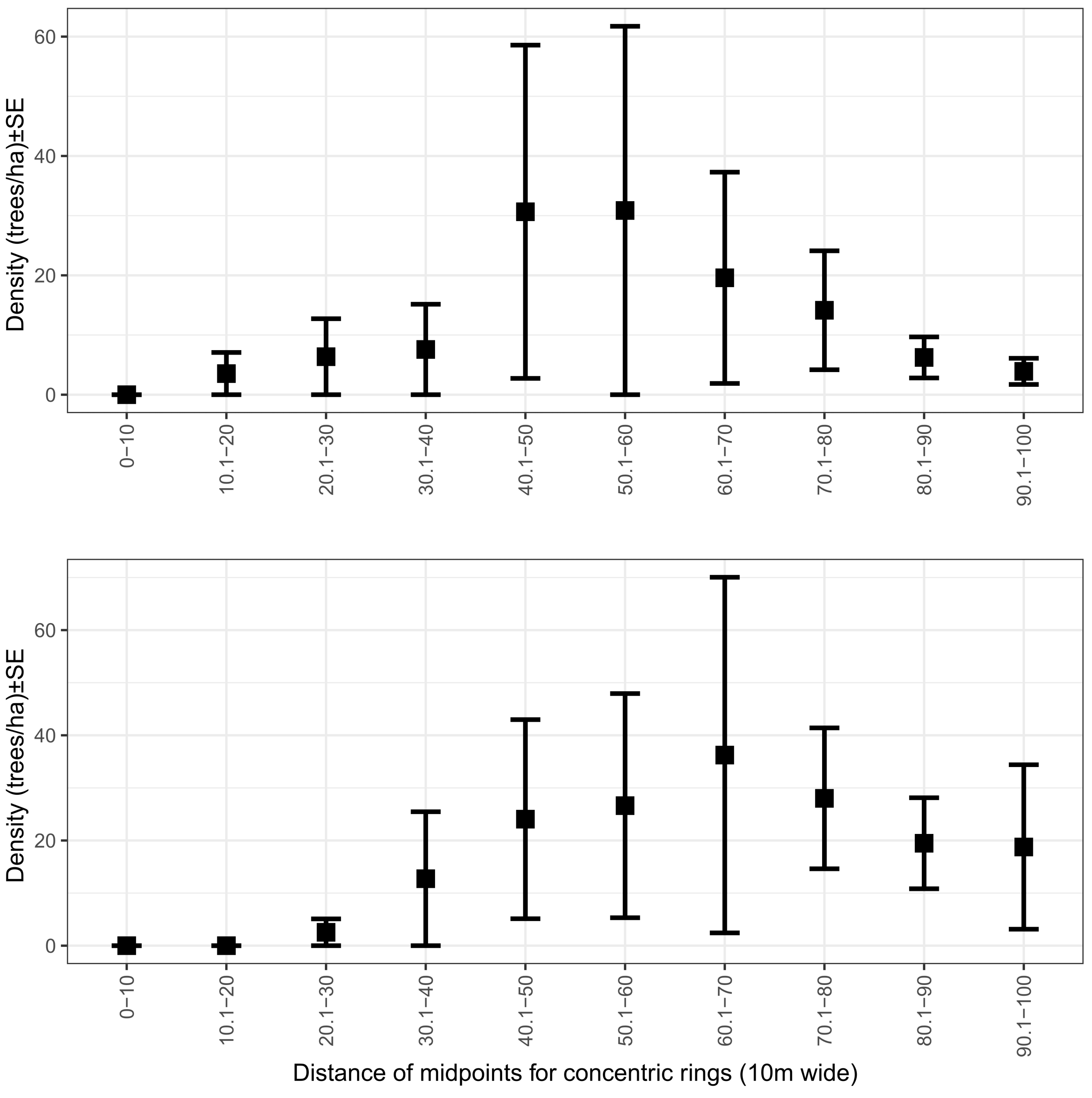
During the duration of the experiment, we did not find any attacks on trees with experimental dispensers. In 2020, we observed bark beetle-killed trees on 6 plots (Table 3). The distance from the anti-attractant dispenser to the nearest bark beetle-killed tree was 19 m. In 2021, we observed bark beetle-killed trees on 5 plots (Table 3). The distance from the anti-attractant dispenser to the nearest bark beetle-killed tree was 30 m.
The intensity of Ips typographs-caused tree mortality at different distances from treated trees in both years is shown in Figure 6.
Statistical analysis using the method described by Schiebe et al. [21] did not show any statistically significant results for both analyzed years. There was a high level of variability in the data. There was a zero or very low level of tree mortality in the majority of distances from treated trees. However, in several cases, there was a very high level of tree mortality. The data were extremely heterogeneous. This is why we decided to use the negative binomial regression model. We assumed that in the case where our treatment was not effective, there would be no relation between distance from treated trees and tree mortality.
The negative binomial regression model for 2020 provides insights into the relationship between the distance from the anti-attractant treated forest edge and the density of bark beetle-killed trees. The model summary is as follows:
Model Characteristics: Model Type: Generalized Linear Model (GLM), Link Function: Logarithmic, Number of Observations: 60, Deviance: 240.11, Pearson chi2: 230.3, Pseudo R2 (CS): 0.5766. The GLM equation estimating the alteration in the density of bark beetle-killed trees is shown in Table 4.
The positive coefficient for the distance midpoint suggests a relationship between increased distance from the treated trees and a higher density of bark beetle-killed trees.
The negative binomial regression model for 2021 further elucidates the pattern of bark beetle-killed trees.
Model Characteristics: Model Type: Generalized Linear Model (GLM), Link Function: Logarithmic, Number of Observations: 50, Deviance: 161.19, Pearson chi2: 142.4, Pseudo R2. (CS): 0.7323. GLM equation estimating the alteration in density of bark beetle-killed trees is shown in Table 5.
The resulting models are shown in Figure 7.
The statistical analysis for both years indicates a significant association between the distance of trees from the anti-attractant treated trees and the density of bark beetle-killed trees. The positive coefficients in both models suggest that trees located farther from the treated trees are more likely to experience bark beetle attacks. This trend is more pronounced in 2021, as indicated by the higher coefficient value.
These findings highlight the effectiveness of anti-attractants in reducing bark beetle attacks near the treated trees and suggest that their influence diminishes with increasing distance.

3.2.2. Monitoring Traps

Results from monitoring traps from 2020 are shown in Figure 8, and from 2021 are shown in Figure 9. There were no statistically significant differences between plots with tree mortality and without tree mortality.

4. Discussion

The new anti-attractant mixtures effectively prevented tree mortality in treated trees and their surroundings (see Figure 6). It is important to note that there was no peak in kill density near the treatment zones, which has been observed as a ‘switching’ of attack in previous studies [21,33,46].

4.1. Effectiveness of Anti-Attractant Mixtures

Both anti-attractant mixtures resulted in a significant catch reduction compared to the control, a standard pheromone bait (Figure 5). Although we used anti-attractants alone, i.e., without pheromone traps for tree protection as used in push-pull, as done in related studies on Norway spruce and I. typographus [20,21,22,33,37], the anti-attractant treatment alone had an evident tree protection effect (Figure 6 and Figure 7). There were zero bark beetle attacks on any of the treated trees, and there was no tree mortality up to 19 m in 2020 and up to 30 m in 2021 away from the treated zone. These results are much better than the results of previous studies, where bark beetles also killed trees with anti-attractant dispensers attached [20,21,22,33,37]. The spatial pattern of the density of tree mortality on our experimental plots was highly heterogeneous. We were unable to clearly demonstrate significant differences in mean tree mortality density between individual bins over distance, as shown by Schiebe et al. [21] in Figure 4. However, we found a significant relationship between tree mortality and distance for both 2020 and 2021 (Table 4, Table 5, and Figure 7). The results show a peak in tree mortality at around 60 m in 2021 and around 70 m in 2021. We hypothesize that the increase in tree mortality up to 60–70 m may reflect the repellent effect of the anti-attractant treatment. However, we currently lack a comprehensive explanation for the decrease in tree mortality at greater distances. One plausible explanation is the natural spatial autocorrelation of I. typographus attacks [47], whereby the beetles tend to target trees in close proximity to previous infestations. As the distance from these infested trees increases, the probability of attack decreases, which corresponds to the observed pattern of decline beyond 60 m. This phenomenon has also been shown in previous studies by Schiebe et al. (21). Another possible explanation is the heterogeneous nature of the landscape, which is characterized by a mosaic of forested and non-forested areas, as well as a mixture of forests of different maturity, including spruce monocultures, clear-cuts, and mixed stands with different proportions of spruce and broadleaf trees (see Figure 2 and Figure 4). Our experimental plots were established within spruce stands; however, it is possible that there was a lower proportion of mature spruce at greater distances from the treated areas. To fully explain the observed patterns, experiments with untreated plots would be necessary for comparison. Unfortunately, our experimental area was limited, and we did not have areas available to use as control plots.
The monitoring traps caught a relatively high number of I. typographus during the spring swarming in 2021 (Figure 9), indicating a high population level. According to Pirtskhalava-Karpova et al. [48], the bark beetle outbreak in our experimental area peaked in 2020 and began to decline in 2021.

4.2. Spillover Effect from Pheromone Traps

There is a noteworthy absence of tree mortality to >20 m from treated trees in both years, indicating that we avoided spill-over effects from pheromone traps in our experiments. Likely, this is so, as we have used only monitoring traps with a relatively weak pheromone dose at a relatively long distance from the tree treatments.
The catches in monitoring traps on plots with and without tree mortality were similar on almost all dates (Figure 8 and Figure 9), suggesting minimal interference between the catches in monitoring traps and the tree mortality caused by bark beetles. The pattern observed in this study differs from the pattern reported by Jakuš et al. [33] in pheromone traps with strong pheromones in the “push and pull” system, where pheromone trap catches were found to be correlated with tree mortality.

4.3. Switching Effect from Verbenone

In the present study, a notable absence of an increased density of bark beetle-infested trees adjacent to treatment plots was observed (Figure 4 and Figure 6). Similar patterns, resembling the natural shift of attack focus from early attacked trees referred to as “switching”; Anderbrant et al. [48] their Figure 8, have been documented in spruce stands by Schiebe et al. [21] and Jakuš et al. [33] in experiments targeting I. typographus. This particular lack of increased densities near anti-attractant trees could be due to the removal of verbenone from our anti-attractant mixtures but also to overall lower beetle numbers or more resistant trees.

4.4. Experimental Plot Design: Conventional Plots or Patterns over Distance?

For tree protection experiments targeting aggressive bark beetles, it is challenging to propose the optimal experimental design if using the standard protocol of treatment vs. control plots. A first limitation is the need for relatively large clear-cut edges or edges from previously infested areas to allow a sufficient number of replications [34]. This is particularly so, as often far from all non-treated control areas will be attacked. Thus, suitable-sized areas of forest areas are rarely available. Variability in space of the density of bark beetle-induced tree mortality is always relatively high. Likely, this is due to the aggregated nature of attacks driven by aggregation pheromones plus a grouping of susceptible host trees. Still, the approach is widely used both in both N America and Europe [14]. The standard approach to use control plots as reference for I. typographus beetle attack pressure in Norway spruce forests is described by Jakuš et al. [20,33] and Deganutti et al. [22] and on Slovak plots in the paper by Schiebe et al. [21]. A second limitation is the difficulty in assessing the effects of spill-over and switching, as described by Jakuš et al. [33].
A newer, alternative approach to assess the range and efficiency of tree protection is to measure the distances from the zone of anti-attractant treated trees to the density of non-protected trees bark beetle killed. This was used in the Swedish plots by Schiebe et al. [21] and in our current work. Our results showed high spatial variability in the density of bark beetle-killed trees, see above and Figure 6. This can cause serious problems in the statistical evaluation of the results and their use for management at larger scales. The extent of zero-values of kills in the zone of highest protection and nearby further increases the statistical variance but is highly relevant from a management perspective and a much simpler measure. It could be prone to noise of single randomly attacked trees, however.
Based on our results and the existing literature, a combined approach may be a possible solution to these diverse problems. In the smaller plot scale, it means the use of control plots plus simultaneous measurement of distances between zones treated with anti-attractants and non-attacked, untreated trees. On the larger scale, surrounding stands or landscape scales, the range of zones of bark beetle-killed trees with densities similar to surrounding stands or landscape scales is of interest for area-wide management.

4.5. Practical Implementations

Our results showed that the use of anti-attractants can be effective without the use of pheromone traps (attractant sources) as it is in push and pull systems. The biologically effective use of push and pull systems was achieved only in the case of massive use of pheromone traps in the system of pheromone trap barriers [5], as described by Jakuš et al. [20,37]. In the case of local use of a few (4) traps on experimental plots with a “push and pull” application, there was still relatively high tree mortality caused by “spillover” and “switching” effects [33]. However, Deganutti et al. [22] demonstrated the effectiveness of the local push and pull system in the initial phase of the bark beetle outbreak immediately after extensive wind damage.
For practical use, we recommend using anti-attractants alone in areas where pheromone traps are not already intensively used. We recommend using “push and pull” systems combining anti-attractants with pheromone to be restricted to areas that already have barriers of pheromone traps [5] or landscape scale mass trapping [9].

5. Conclusions

Our new anti-attractant treatment demonstrated tree protection during an I. typographus outbreak in spruce forests, also in the absence of verbenone. This included no bark beetle damage on any treated trees and zero tree mortality within a range of 20 to 30 m from treatments. Notably, our exclusive use of anti-attractants, without combining them with pheromone traps (push and pull), eliminated any spillover from traps. The exclusion of verbenone from the anti-attractant blend likely contributed to the lack of switching from treated trees.
The results are not entirely clear. Further experiments are necessary to prove our concept. However, the use of new anti-attractant mixtures, without verbenone and with the addition of trans-thujan-4-ol, could considerably increase the effectiveness of anti-attractant treatments and make this method practically applicable.

Author Contributions

Conceptualization R.J., A.T., R.M., A.J., M.T., N.K. and F.S.; methodology R.J., A.T., A.J., R.M., P.S., A.A.C.M., J.K., V.V.S., K.Z., M.S. and F.S.; investigation R.J., A.T., V.V.S., K.Z., A.J., A.M., N.K., J.K., P.S., A.A.C.M., M.S. and F.S.; data curation R.J., A.T., A.M. and F.S.; writing—original draft preparation R.J., A.T., A.M. and F.S.; writing—review and editing R.J., A.T., V.V.S., K.Z., A.J., A.M., N.K., J.K., P.S., M.T., M.S. and F.S.; visualization, A.M., A.T.; funding acquisition, R.J., M.T. and F.S. All authors have read and agreed to the published version of the manuscript.

Funding

This research was founded by: Development of integrated modern and innovative diagnostic and protection methods of spruce stands with the use of semiochemicals and methods of molecular biology. NAZV—Ministry of Agriculture—Czech Republic QK1910480; Project EXTEMIT-K: Building up an excellent scientific team and its spatio-technical background focused on mitigation of the impact of climatic changes to forests from the level of a gene to the level of a landscape at the FFWS CULS Prague.

Data Availability Statement

Data are contained within the article.

Conflicts of Interest

The authors declare no conflicts of interest.

References

  1. Wermelinger, B. Ecology and Management of the Spruce Bark Beetle Ips typographus—A Review of Recent Research. For. Ecol. Manag. 2004, 202, 67–82. [Google Scholar] [CrossRef]
  2. Gonzalez, R.; Grégoire, J.-C.; Drumont, A.; De Windt, N. A Sampling Technique to Estimate Within-tree Populations of Pre-emergent Ips typographus (Col., Scolytidae). J. Appl. Entomol. 1996, 120, 569–576. [Google Scholar] [CrossRef]
  3. Kautz, M.; Schopf, R.; Ohser, J. The “Sun-Effect”: Microclimatic Alterations Predispose Forest Edges to Bark Beetle Infestations. Eur. J. For. Res. 2013, 132, 453–465. [Google Scholar] [CrossRef]
  4. Doležal, P.; Sehnal, F. Effects of Photoperiod and Temperature on the Development and Diapause of the Bark Beetle Ips typographus. J. Appl. Entomol. 2007, 131, 165–173. [Google Scholar] [CrossRef]
  5. Jakuš, R. A Method for the Protection of Spruce Stands against Ips typographus by the Use of Barriers of Pheromone Traps in North-Eastern Slovakia. Anz. Für Schädlingskunde Pflanzenschutz Umweltschutz 1998, 71, 152–158. [Google Scholar] [CrossRef]
  6. Bakke, A. Mass Trapping of the Spruce Bark Beetle Ips typographus. Pheromone and Trap Technology. Medd Skogforsoeksves 1983, 38, 1–35. [Google Scholar]
  7. Vité, J.P. Erfahrungen und Erkenntnisse zur Akuten Gefährdung Des Mitteleuropäischen Fichtenwaldes Durch Käferbefall. Allg. Forstz. 1984, 39, 249–254. [Google Scholar]
  8. Vité, J.P. The European Struggle to Control Ips typographus-Past, Present and Future. Ecography 1989, 12, 520–525. [Google Scholar] [CrossRef]
  9. Weslien, J. Effects of Mass Trapping on Ips typographus (L.) Populations1. J. Appl. Entomol. 1992, 114, 228–232. [Google Scholar] [CrossRef]
  10. Niemeyer, H. Integrated Bark Beetle Control: Experiences and Problems in Northern Germany. USDA For. Serv. Gen. Tech. Rep. NE 1997, 236, 80–86. [Google Scholar]
  11. Faccoli, M.; Stergulc, F. Réduction Des Dégâts et Efficacité Des Dispositifs de Piégeage de Masse Pour La Protection Des Forêts Contre Le Typographe, Ips typographus (Coleoptera Curculionidae Scolytinae). Ann. For. Sci. 2008, 65, 309. [Google Scholar] [CrossRef]
  12. Zahradník, P.; Zahradníková, M. The Efficacy of a New Pheromone Trap Setup Design, Aimed for Trapping Ips typographus (Coleoptera, Curculionidae, Scolytinae). Šumar. List 2015, 139, 185–186. [Google Scholar]
  13. Ross, D.W.; Daterman, G.E. Efficacy of an antiaggregation pheromone for reducing Douglas fir beetle, Dendroctonus pseudotsugae Hopkins (Coleoptera: Scolytidae), infestation in high risk stands. Can. Entomol. 1995, 127, 805–811. [Google Scholar] [CrossRef]
  14. Schlyter, F. Semiochemical Diversity in Practice: Antiattractant Semiochemicals Reduce Bark Beetle Attacks on Standing Trees—A First Meta-Analysis. Psyche J. Entomol. 2012, 2012, 268621. [Google Scholar] [CrossRef]
  15. Cook, S.M.; Khan, Z.R.; Pickett, J.A. The Use of Push-Pull Strategies in Integrated Pest Management. Annu. Rev. Entomol. 2007, 52, 375–400. [Google Scholar] [CrossRef] [PubMed]
  16. Seybold, S.J.; Bentz, B.J.; Fettig, C.J.; Lundquist, J.E.; Progar, R.A.; Gillette, N.E. Management of Western North American Bark Beetles with Semiochemicals. Annu. Rev. Entomol. 2018, 63, 407–432. [Google Scholar] [CrossRef] [PubMed]
  17. Ross, D.W.; Daterman, G.E. Reduction of Douglas-Fir Beetle Infestation of High-Risk Stands by Antiaggregation and Aggregation Pheromones. Can. J. For. Res. 1994, 24, 2184–2190. [Google Scholar] [CrossRef]
  18. Borden, J.H.; Birmingham, A.L.; Burleigh, J.S. Evaluation of the Push-Pull Tactic against the Mountain Pine Beetle Using Verbenone and Non-Host Volatiles in Combination with Pheromone-Baited Trees. For. Chron. 2006, 82, 579–590. [Google Scholar] [CrossRef]
  19. Gillette, N.E.; Mehmel, C.J.; Mori, S.R.; Webster, J.N.; Wood, D.L.; Erbilgin, N.; Owen, D.R. The Push-Pull Tactic for Mitigation of Mountain Pine Beetle (Coleoptera: Curculionidae) Damage in Lodgepole and Whitebark Pines. Environ. Entomol. 2012, 41, 1575–1586. [Google Scholar] [CrossRef]
  20. Jakuš, R.; Schlyter, F.; Zhang, Q.-H.; Blaženec, M.; Vaverčák, R.; Grodzki, W.; Brutovský, D.; Lajzová, E.; Turčáni, M.; Bengtsson, M.; et al. Overview of Development of an Anti-attractant Based Technology for Spruce Protection against Ips typographus: From Past Failures to Future Success. Anz. Für Schädlingskunde 2003, 76, 89–99. [Google Scholar] [CrossRef]
  21. Schiebe, C.; Blaženec, M.; Jakuš, R.; Unelius, C.R.; Schlyter, F. Semiochemical Diversity Diverts Bark Beetle Attacks from Norway Spruce Edges: NHV Interfere with Bark Beetles’ Host Finding. J. Appl. Entomol. 2011, 135, 726–737. [Google Scholar] [CrossRef]
  22. Deganutti, L.; Biscontin, F.; Bernardinelli, I.; Faccoli, M. The Semiochemical Push-and-pull Technique Can Reduce Bark Beetle Damage in Disturbed Norway Spruce Forests Affected by the Vaia Storm. Agric. For. Entomol. 2023, 26, afe.12600. [Google Scholar] [CrossRef]
  23. Birgersson, G.; Leufvén, A. The Influence of Host Tree Response to Ips typographus and Fungal Attack on Production of Semiochemicals. Insect Biochem. 1988, 18, 761–770. [Google Scholar] [CrossRef]
  24. Zhang, Q.; Schlyter, F. Olfactory Recognition and Behavioural Avoidance of Angiosperm Nonhost Volatiles by Conifer-inhabiting Bark Beetles. Agric. For. Entomol. 2004, 6, 1–20. [Google Scholar] [CrossRef]
  25. Zhang, Q.-H.; Birgersson, G.; Zhu, J.; Löfstedt, C.; Löfqvist, J.; Schlyter, F. Leaf Volatiles from Nonhost Deciduous Trees: Variation by Tree Species, Season and Temperature, and Electrophysiological Activity in Ips typographus. J. Chem. Ecol. 1999, 25, 1923–1943. [Google Scholar] [CrossRef]
  26. Andersson, M.N.; Larsson, M.C.; Blaženec, M.; Jakuš, R.; Zhang, Q.-H.; Schlyter, F. Peripheral Modulation of Pheromone Response by Inhibitory Host Compound in a Beetle. J. Exp. Biol. 2010, 213, 3332–3339. [Google Scholar] [CrossRef]
  27. Binyameen, M.; Jankuvová, J.; Blaženec, M.; Jakuš, R.; Song, L.; Schlyter, F.; Andersson, M.N. Co-localization of Insect Olfactory Sensory Cells Improves the Discrimination of Closely Separated Odour Sources. Funct. Ecol. 2014, 28, 1216–1223. [Google Scholar] [CrossRef]
  28. Kalinová, B.; Břízová, R.; Knížek, M.; Turčáni, M.; Hoskovec, M. Volatiles from Spruce Trap-Trees Detected by Ips typographus Bark Beetles: Chemical and Electrophysiological Analyses. Arthropod-Plant Interact. 2014, 8, 305–316. [Google Scholar] [CrossRef]
  29. Blažytė-Čereškienė, L.; Apšegaitė, V.; Radžiutė, S.; Mozūraitis, R.; Būda, V.; Pečiulytė, D. Electrophysiological and Behavioural Responses of Ips typographus (L.) to Trans-4-Thujanol—A Host Tree Volatile Compound. Ann. For. Sci. 2015, 73, 247–256. [Google Scholar] [CrossRef]
  30. Schiebe, C.; Unelius, C.R.; Ganji, S.; Binyameen, M.; Birgersson, G.; Schlyter, F. Styrene, (+)-Trans-(1R,4S,5S)-4-Thujanol and Oxygenated Monoterpenes Related to Host Stress Elicit Strong Electrophysiological Responses in the Bark Beetle Ips typographus. J. Chem. Ecol. 2019, 45, 474–489. [Google Scholar] [CrossRef] [PubMed]
  31. Jirošová, A.; Kalinová, B.; Modlinger, R.; Jakuš, R.; Unelius, C.R.; Blaženec, M.; Schlyter, F. Anti-Attractant Activity of (+)-Trans-4-Thujanol for Eurasian Spruce Bark Beetle Ips typographus: Novel Potency for Females. Pest Manag. Sci. 2022, 78, 1992–1999. [Google Scholar] [CrossRef] [PubMed]
  32. Jakuš, R.; Dudová, A. Experimental Use of Aggregation and Anti-Aggregation Pheromones against the Spruce Bark Beetle (Ips typographus) in Decaying Spruce Stands with a Lower Level of Canopy Closure. J. For. Sci.-UZPI Czech Repub. 1999, 45, 525–531. [Google Scholar]
  33. Jakuš, R.; Modlinger, R.; Kašpar, J.; Majdák, A.; Blaženec, M.; Korolyova, N.; Jirošová, A.; Schlyter, F. Testing the Efficiency of the Push-and-Pull Strategy during Severe Ips typographus Outbreak and Extreme Drought in Norway Spruce Stands. Forests 2022, 13, 2175. [Google Scholar] [CrossRef]
  34. Hurlbert, S.H. Pseudoreplication and the Design of Ecological Field Experiments. Ecol. Monogr. 1984, 54, 187–211. [Google Scholar] [CrossRef]
  35. Schlyter, F.; Birgersson, G.; Leufvén, A. Inhibition of Attraction to Aggregation Pheromone by Verbenone and Ipsenol: Density Regulation Mechanisms in Bark beetle Ips typographus. J. Chem. Ecol. 1989, 15, 2263–2277. [Google Scholar] [CrossRef] [PubMed]
  36. Frühbrodt, T.; Schebeck, M.; Andersson, M.N.; Holighaus, G.; Kreuzwieser, J.; Burzlaff, T.; Delb, H.; Biedermann, P.H.W. Verbenone—The Universal Bark Beetle Repellent? Its Origin, Effects, and Ecological Roles. J. Pest Sci. 2023, 97, 35–71. [Google Scholar] [CrossRef]
  37. Jakuš, R.; Blaženec, M.; Vojtěch, O. Use of Anti-Attractants in Specific Conditions of Protected Areas. Folia Oecologica 2011, 38, 46–51. [Google Scholar]
  38. Gillette, N.E.; Erbilgin, N.; Webster, J.N.; Pederson, L.; Mori, S.R.; Stein, J.D.; Owen, D.R.; Bischel, K.M.; Wood, D.L. Aerially Applied Verbenone-Releasing Laminated Flakes Protect Pinus Contorta Stands from Attack by Dendroctonus ponderosae in California and Idaho. For. Ecol. Manag. 2009, 257, 1405–1412. [Google Scholar] [CrossRef]
  39. Gillette, N.E.; Mehmel, C.J.; Webster, J.N.; Mori, S.R.; Erbilgin, N.; Wood, D.L.; Stein, J.D. Aerially Applied Methylcyclohexenone-Releasing Flakes Protect Pseudotsuga Menziesii Stands from Attack by Dendroctonus Pseudotsugae. For. Ecol. Manag. 2009, 257, 1231–1236. [Google Scholar] [CrossRef]
  40. Tolasz, R. Atlas podnebí Česka, 1st ed.; Univerzita Palackého: Olomouc, Czech Republic, 2007; ISBN 978-80-86690-26-1. [Google Scholar]
  41. Remeš, J. The University Forest Enterprise in Kostelec Nad Černỳmi Lesy–a Basis for Practical Education and Research at the Faculty of Forestry and Wood Sciences in Prague. For. Univ. Educ. Ex. Exp. 2017, 17–22. [Google Scholar]
  42. Buras, A.; Rammig, A.; Zang, C.S. Quantifying Impacts of the 2018 Drought on European Ecosystems in Comparison to 2003. Biogeosciences 2020, 17, 1655–1672. [Google Scholar] [CrossRef]
  43. Hlásny, T.; Zimová, S.; Merganičová, K.; Štěpánek, P.; Modlinger, R.; Turčáni, M. Devastating Outbreak of Bark Beetles in the Czech Republic: Drivers, Impacts, and Management Implications. For. Ecol. Manag. 2021, 490, 119075. [Google Scholar] [CrossRef]
  44. Cameron, A.C.; Trivedi, P.K. Regression Analysis of Count Data; Cambridge University Press: Cambridge, UK, 2013; ISBN 978-1-139-01356-7. [Google Scholar]
  45. VanRossum, G.; Drake, F.L. The Python Language Reference; Python Software Foundation: Amsterdam, The Netherlands, 2010; Volume 561. [Google Scholar]
  46. Anderbrant, O.; Schlyter, F.; Löfqvist, J. Dynamics of Tree Attack in The Bark Beetle Ips typographus under Semi-Epidemic Conditions. In Proceedings of the IUFRO Working Party and XVII International Congress of Entomology Symposium; Payne, T.L., Saarenmaa, H., Eds.; Integrated Control of Scolytid Bark Beetles: Vancouver, BC, Canada, 1988; pp. 35–49. [Google Scholar]
  47. Kaminska, A. Spatial autocorrelation based on remote sensing data in monitoring of Norway spruce dieback caused by the European spruce bark beetle Ips typographus L. in the Białowieża Forest. Sylwan 2022, 166, 719–732. [Google Scholar]
  48. Pirtskhalava-Karpova, N.; Trubin, A.; Karpov, A.; Jakuš, R. Drought Initialised Bark Beetle Outbreak in Central Europe: Meteorological Factors and Infestation Dynamic. For. Ecol. Manag. 2024; in print. [Google Scholar]
Figure 1. Localization of experimental areas: School Forest Enterprise (Kostelec nad Černými Lesy) and VU Libavá.
Figure 1. Localization of experimental areas: School Forest Enterprise (Kostelec nad Černými Lesy) and VU Libavá.
Forests 15 00356 g001
Figure 2. Map of the experimental area with experimental plots (Names of experimental plots/2020-04-23 Sentinel-2_L2A True_colorMap). Capital letters denote the names of experimental plots. For further information, refer to Table 2.
Figure 2. Map of the experimental area with experimental plots (Names of experimental plots/2020-04-23 Sentinel-2_L2A True_colorMap). Capital letters denote the names of experimental plots. For further information, refer to Table 2.
Forests 15 00356 g002
Figure 3. Scheme of experimental plots and treatment areas for the year 2020 (a), spring 2021 (b), and summer 2021 (c).
Figure 3. Scheme of experimental plots and treatment areas for the year 2020 (a), spring 2021 (b), and summer 2021 (c).
Forests 15 00356 g003
Figure 4. Experimental plot design in 2020—aerial photography (Plot B).
Figure 4. Experimental plot design in 2020—aerial photography (Plot B).
Forests 15 00356 g004
Figure 5. Results of the trapping experiment for assessing the reduction pheromone trap catch (averages and standard errors) (Ph = IT ECOLURE EXTRA) with anti-attractant blends (A2020—anti-attractant mixture used in 2020, A2021—anti-attractant mixture used in 2021; for anti-attractant composition, see Table 1).
Figure 5. Results of the trapping experiment for assessing the reduction pheromone trap catch (averages and standard errors) (Ph = IT ECOLURE EXTRA) with anti-attractant blends (A2020—anti-attractant mixture used in 2020, A2021—anti-attractant mixture used in 2021; for anti-attractant composition, see Table 1).
Forests 15 00356 g005
Figure 6. Results of tree protection experiments in 2020 and 2021 (averages and standard errors).
Figure 6. Results of tree protection experiments in 2020 and 2021 (averages and standard errors).
Forests 15 00356 g006
Figure 7. The result of fitting the negative binomial regression model with a 95% confidence interval for the relation between the distance from the anti-attractant-treated forest edge and the density of beetle-killed trees during the two years of study.
Figure 7. The result of fitting the negative binomial regression model with a 95% confidence interval for the relation between the distance from the anti-attractant-treated forest edge and the density of beetle-killed trees during the two years of study.
Forests 15 00356 g007
Figure 8. Average I. typographus catch (and standard error) in monitoring traps in 2020.
Figure 8. Average I. typographus catch (and standard error) in monitoring traps in 2020.
Forests 15 00356 g008
Figure 9. Average I. typographus catch (and standard error) in monitoring traps in 2021.
Figure 9. Average I. typographus catch (and standard error) in monitoring traps in 2021.
Forests 15 00356 g009
Table 1. Anti-attractant bait compositions.
Table 1. Anti-attractant bait compositions.
SemiochemicalsLoad Weight (mg/Dispenser)
Type, SourceNameYear 2020Year 2021
NHV, leaf1-hexanol10251012
NHV, bark1-octene-3-ol10251012
Anti-attractant, host bark1,8-cineol15371517
NHV, bark3-octanol15221517
NHV, barktrans-conophthorin1515
Anti-attractant, host barktrans-4-thujanol-51
Total51245124
Table 2. Description of experimental plots.
Table 2. Description of experimental plots.
PlotUsed inGeoposition Elevation (m)Edge Orient. Stand Age (Years)Average DBH (cm)
20202021LatitudeLongitude
Ayesyes49°58′10.44″ N14°49′42.95″ E 419N8745
Byesyes49°58′8.17″ N14°51′18.46″ E412NE12834
Cyesyes49°57′34.62″ N14°49′37.90″ E 401N12842
Dyesyes49°55′37.17″ N14°50′59.90″ E394SW8545
Eyesyes49°54′56.07″ N14°52′38.25″ E431S8541
Fyesyes49°56′4.48″ N14°52′36.26″ E389N10747
Gyesyes49°56′14.61″ N14°52′10.08″ E449S9348
Hyesno49°56′18.75″ N14°54′48.33″ E442S9234
Iyesyes49°55′28.35″ N14°53′4.15″ E397N8642
Jyesno49°56′9.88″ N14°54′21.81″ E438SW9746
Kyesyes49°55′0.36″ N14°54′52.33″ E371SW13839
Lyesno49°54′22.90″ N14°55′43.03″ E350SE12233
Table 3. Number of bark beetle-killed non-treated trees on experimental plots.
Table 3. Number of bark beetle-killed non-treated trees on experimental plots.
PlotBark Beetle-Killed Trees
20202021
A06
B52
C140
D40
E012
F2105
G047
H00
I20
J101-
K00
L0-
Table 4. GLM equation estimating the alteration in the density of bark beetle-killed trees as a function of the midpoint of distance from the anti-attractant treated forest edge in 2020.
Table 4. GLM equation estimating the alteration in the density of bark beetle-killed trees as a function of the midpoint of distance from the anti-attractant treated forest edge in 2020.
ParameterCoefficientStandard Errorp-Value
Intercept−1.50040.5580.007
distance_midpoint0.170.024<0.0001
distance_midpoint squared−0.00150.000<0.0001
Table 5. GLM equation estimating the alteration in the density of bark beetle-killed trees as a function of the midpoint of distance from the anti-attractant-treated forest edge in 2021.
Table 5. GLM equation estimating the alteration in the density of bark beetle-killed trees as a function of the midpoint of distance from the anti-attractant-treated forest edge in 2021.
ParameterCoefficientStandard Errorp-Value
Intercept−3.77930.888 <0.0001
distance_midpoint0.22450.034 <0.0001
distance_midpoint squared−0.00170.000<0.0001
Disclaimer/Publisher’s Note: The statements, opinions and data contained in all publications are solely those of the individual author(s) and contributor(s) and not of MDPI and/or the editor(s). MDPI and/or the editor(s) disclaim responsibility for any injury to people or property resulting from any ideas, methods, instructions or products referred to in the content.

Share and Cite

MDPI and ACS Style

Jakuš, R.; Trubin, A.; Singh, V.V.; Zabihi, K.; Jirošová, A.; Modlinger, R.; Majdák, A.; Korolyova, N.; Moliterno, A.A.C.; Kašpar, J.; et al. Spruce Protection against Ips typographus with Anti-Attractant Blend of Tree-Based Semiochemicals: From Small Experimental Plots to Stand Scales. Forests 2024, 15, 356. https://doi.org/10.3390/f15020356

AMA Style

Jakuš R, Trubin A, Singh VV, Zabihi K, Jirošová A, Modlinger R, Majdák A, Korolyova N, Moliterno AAC, Kašpar J, et al. Spruce Protection against Ips typographus with Anti-Attractant Blend of Tree-Based Semiochemicals: From Small Experimental Plots to Stand Scales. Forests. 2024; 15(2):356. https://doi.org/10.3390/f15020356

Chicago/Turabian Style

Jakuš, Rastislav, Aleksei Trubin, Vivek Vikram Singh, Khodabakhsh Zabihi, Anna Jirošová, Roman Modlinger, Andrej Majdák, Nataliya Korolyova, Antonioni Acacio Campos Moliterno, Jaroslav Kašpar, and et al. 2024. "Spruce Protection against Ips typographus with Anti-Attractant Blend of Tree-Based Semiochemicals: From Small Experimental Plots to Stand Scales" Forests 15, no. 2: 356. https://doi.org/10.3390/f15020356

APA Style

Jakuš, R., Trubin, A., Singh, V. V., Zabihi, K., Jirošová, A., Modlinger, R., Majdák, A., Korolyova, N., Moliterno, A. A. C., Kašpar, J., Slavík, M., Surový, P., Turčáni, M., & Schlyter, F. (2024). Spruce Protection against Ips typographus with Anti-Attractant Blend of Tree-Based Semiochemicals: From Small Experimental Plots to Stand Scales. Forests, 15(2), 356. https://doi.org/10.3390/f15020356

Note that from the first issue of 2016, this journal uses article numbers instead of page numbers. See further details here.

Article Metrics

Back to TopTop