Adaptive Distribution and Vulnerability Assessment of Endangered Maple Species on the Tibetan Plateau
Abstract
1. Introduction
2. Materials and Methods
2.1. Data Screening and Processing
2.2. Model Prediction and Accuracy Assessment
2.3. Habitat Suitability Calculation Methodologies for Highly Adaptive Areas
2.4. Vulnerability Assessment Methodologies for Highly Adaptive Areas
3. Results
3.1. Current Adaptive Distribution and Environmental Factors
3.2. Future Adaptive Distribution
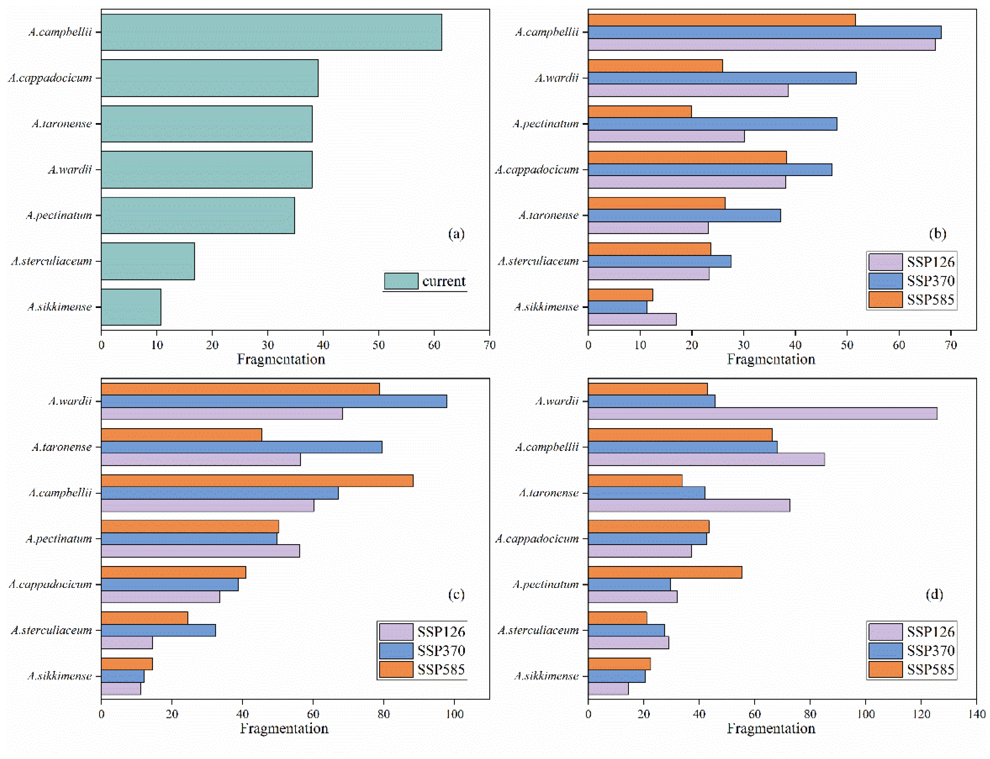
3.3. Vulnerability Assessment of Maple
4. Discussion
5. Conclusions
Supplementary Materials
Author Contributions
Funding
Data Availability Statement
Conflicts of Interest
References
- Manthey, M.; Box, E.O. Realized climatic niches of deciduous trees: Comparing western Eurasia and eastern North America. J. Biogeogr. 2007, 34, 1028–1040. [Google Scholar] [CrossRef]
- Newbold, T. Future effects of climate and land-use change on terrestrial vertebrate community diversity under different scenarios. Proc. R. Soc. B Biol. Sci. 2018, 285, 20180792. [Google Scholar] [CrossRef] [PubMed]
- Piao, S.; Liu, Q.; Chen, A.; Janssens, I.A.; Fu, Y.; Dai, J.; Liu, L.; Lian, X.; Shen, M.; Zhu, X. Plant phenology and global climate change: Current progresses and challenges. Glob. Chang. Biol. 2019, 25, 1922–1940. [Google Scholar] [CrossRef]
- Pretzsch, H.; Biber, P.; Uhl, E.; Dahlhausen, J.; Schütze, G.; Perkins, D.; Rötzer, T.; Caldentey, J.; Koike, T.; Con, T.V.; et al. Climate change accelerates growth of urban trees in metropolises worldwide. Sci. Rep. 2017, 7, 15403. [Google Scholar] [CrossRef] [PubMed]
- Parmesan, C.; Yohe, G. A globally coherent fingerprint of climate change impacts across natural systems. Nature 2003, 421, 37–42. [Google Scholar] [CrossRef]
- Thomas, C.D. Climate, climate change and range boundaries. Divers. Distrib. 2010, 16, 488–495. [Google Scholar] [CrossRef]
- Armarego-Marriott, T. Climate or biodiversity? Nat. Clim. Chang. 2020, 10, 385. [Google Scholar] [CrossRef]
- Pecl, G.T.; Araújo, M.B.; Bell, J.D.; Blanchard, J.; Bonebrake, T.C.; Chen, I.C.; Clark, T.D.; Colwell, R.K.; Danielsen, F.; Evengård, B.; et al. Biodiversity redistribution under climate change: Impacts on ecosystems and human well-being. Science 2017, 355, eaai9214. [Google Scholar] [CrossRef]
- Menges, E.S. Population Viability Analysis for an Endangered Plant. Conserv. Biol. 1990, 4, 52–62. [Google Scholar] [CrossRef]
- Schemske, D.W.; Husband, B.C.; Ruckelshaus, M.H.; Goodwillie, C.; Parker, I.M.; Bishop, J.G. Evaluating Approaches to the Conservation of Rare and Endangered Plants. Ecology 1994, 75, 584–606. [Google Scholar] [CrossRef]
- Pörtner, H.-O.; Roberts, D.; Tignor, M.; Poloczanska, E.; Mintenbeck, K.; Alegría, A.; Craig, M.; Langsdorf, S.; Löschke, S.; Möller, V.; et al. Climate Change 2022: Impacts, Adaptation and Vulnerability; Working Group II Contribution to the Sixth Assessment Report of the Intergovernmental Panel on Climate Change; IPCC: Geneva, Switzerland, 2022. [Google Scholar]
- Ni, J.; Wei, L.-F.; Cheng, Q.; Hu, X.-F.; Wu, X.-Q. A climate diagram atlas of Qingzang Plateau. Chin. J. Plant Ecol. 2022, 46, 484–492. [Google Scholar] [CrossRef]
- Sun, H.; Zheng, D.; Ya, T.; Yili, Z. Protection and Construction of the National Ecological Security Shelter Zone on Tibetan Plateau. Acta Geogr. Sin. 2012, 67, 3–12. [Google Scholar] [CrossRef]
- Sha, Y.; Shi, Z.; Liu, X.; An, Z. Distinct impacts of the Mongolian and Tibetan Plateaus on the evolution of the East Asian monsoon. J. Geophys. Res. Atmos. 2015, 120, 4764–4782. [Google Scholar] [CrossRef]
- Chen, Y.J.; Zhu, L.; Wu, Q.N.; Hu, C.C.; Qu, Y.F.; Ji, X. Geological and climatic influences on population differentiation of the Phrynocephalus vlangalii species complex (Sauria: Agamidae) in the northern Qinghai-Tibet Plateau. Mol. Phylogenet. Evol. 2022, 169, 107394. [Google Scholar] [CrossRef]
- Luo, L.; Ma, W.; Zhuang, Y.; Zhang, Y.; Yi, S.; Xu, J.; Long, Y.; Ma, D.; Zhang, Z. The impacts of climate change and human activities on alpine vegetation and permafrost in the Qinghai-Tibet Engineering Corridor. Ecol. Indic. 2018, 93, 24–35. [Google Scholar] [CrossRef]
- Favre, A.; Päckert, M.; Pauls, S.U.; Jähnig, S.C.; Uhl, D.; Michalak, I.; Muellner-Riehl, A.N. The role of the uplift of the Qinghai-Tibetan Plateau for the evolution of Tibetan biotas. Biol. Rev. 2015, 90, 236–253. [Google Scholar] [CrossRef]
- Dabang, J.; Yuanhai, F. Climate Change over China with a 2 °C Global Warming. Chin. J. Atmos. Sci. 2012, 36, 234. [Google Scholar] [CrossRef]
- Yan, B.; Yuchen, W.; Sulan, N.; Wenchuan, Z. Vegetation over the Qinghai-Xizang Plateau in Response to Climate Change with a 2 °C Global Warming. Plateau Meteorol. 2023, 42, 49–59. [Google Scholar]
- Pimm, S.L. Biodiversity: Climate Change or Habitat Loss—Which Will Kill More Species? Curr. Biol. 2008, 18, R117–R119. [Google Scholar] [CrossRef]
- An, X.; Huang, T.S.; Zhang, H.Y.; Yue, J.J.; Zhao, B.J. Prediction of Potential Distribution Patterns of Three Larix Species on Qinghai-Tibet Plateau under Future Climate Scenarios. Forests 2023, 14, 1058. [Google Scholar] [CrossRef]
- Thuiller, W.; Lavorel, S.; Araújo, M.B.; Sykes, M.T.; Prentice, I.C. Climate change threats to plant diversity in Europe. Proc. Natl. Acad. Sci. USA 2005, 102, 8245–8250. [Google Scholar] [CrossRef]
- Ahuja, I.; de Vos, R.C.H.; Bones, A.M.; Hall, R.D. Plant molecular stress responses face climate change. Trends Plant Sci. 2010, 15, 664–674. [Google Scholar] [CrossRef]
- Povilitis, A.J.; Suckling, K.F. Addressing Climate Change Threats to Endangered Species in U.S. Recovery Plans. Conserv. Biol. 2010, 24, 372–376. [Google Scholar] [CrossRef] [PubMed]
- Bernazzani, P.; Bradley, B.A.; Opperman, J.J. Integrating climate change into habitat conservation plans under the U.S. endangered species act. Environ. Manag. 2012, 49, 1103–1114. [Google Scholar] [CrossRef]
- Alsos, I.G.; Ehrich, D.; Thuiller, W.; Eidesen, P.B.; Tribsch, A.; Schönswetter, P.; Lagaye, C.; Taberlet, P.; Brochmann, C. Genetic consequences of climate change for northern plants. Proc. R. Soc. B Biol. Sci. 2012, 279, 2042–2051. [Google Scholar] [CrossRef] [PubMed]
- Zhao, G.; Cui, X.; Sun, J.; Li, T.; Wang, Q.; Ye, X.; Fan, B. Analysis of the distribution pattern of Chinese Ziziphus jujuba under climate change based on optimized biomod2 and MaxEnt models. Ecol. Indic. 2021, 132, 108256. [Google Scholar] [CrossRef]
- Momblanch, A.; Beevers, L.; Srinivasalu, P.; Kulkarni, A.; Holman, I.P. Enhancing production and flow of freshwater ecosystem services in a managed Himalayan river system under uncertain future climate. Clim. Chang. 2020, 162, 343–361. [Google Scholar] [CrossRef]
- Cheng, D.; Xu, L. Predicting the potential distributions of Senecio vulgaris L. in China. PeerJ PrePrints 2015, 3, e1612v1. [Google Scholar] [CrossRef]
- Qin, M.; Gao, X.; Feng, M.; Jin, N.; Wang, C.; Cheng, W. Modeling of the potential geographical distribution of naked oat under climate change. Front. Plant Sci. 2023, 13, 1009577. [Google Scholar] [CrossRef]
- Merow, C.; Smith, M.J.; Silander, J.A. A practical guide to MaxEnt for modeling species’ distributions: What it does, and why inputs and settings matter. Ecography 2013, 36, 1058–1069. [Google Scholar] [CrossRef]
- Abrha, H.; Birhane, E.; Hagos, H.; Manaye Demissie, A.; Mengesha, H. Predicting suitable habitats of endangered Juniperus procera tree under climate change in Northern Ethiopia. J. Sustain. For. 2018, 37, 842–853. [Google Scholar] [CrossRef]
- Girma, A.; Bie, C.A.J.M.d.; Skidmore, A.K.; Venus, V.; Bongers, F. Hyper-temporal SPOT-NDVI dataset parameterization captures species distributions. Int. J. Geogr. Inf. Sci. 2016, 30, 107–189. [Google Scholar] [CrossRef]
- Kumar, S.; Stohlgren, T.J. Maxent modeling for predicting suitable habitat for threatened and endangered tree Canacomyrica monticola in New Caledonia. J. Ecol. Nat. Environ. 2009, 1, 94–98. [Google Scholar]
- Phillips, S.; Dudík, M.; Schapire, R. A Maximum Entropy Approach to Species Distribution Modeling. In Proceedings of the 21st International Conference on Machine Learning, Banff, AB, Canada, 4–8 July 2004; Volume 21. [Google Scholar]
- Hernandez, P.; Graham, C.; Master, L.; Albert, D. The effect of sample size and species characteristics on performance of different species distribution modeling methods. Ecography 2006, 29, 773–785. [Google Scholar] [CrossRef]
- Khanum, R.; Mumtaz, A.S.; Kumar, S. Predicting impacts of climate change on medicinal asclepiads of Pakistan using Maxent modeling. Acta Oecol. 2013, 49, 23–31. [Google Scholar] [CrossRef]
- Pearson, R.G.; Raxworthy, C.J.; Nakamura, M.; Townsend Peterson, A. ORIGINAL ARTICLE: Predicting species distributions from small numbers of occurrence records: A test case using cryptic geckos in Madagascar. J. Biogeogr. 2006, 34, 102–117. [Google Scholar] [CrossRef]
- Proosdij, A.s.J.; Sosef, M.; Wieringa, J.; Raes, N. Minimum required number of specimen records to develop accurate species distribution models. Ecography 2016, 39, 542–552. [Google Scholar] [CrossRef]
- Wisz, M.S.; Hijmans, R.J.; Li, J.; Peterson, A.T.; Graham, C.H.; Guisan, A.; Group, N.P.S.D.W. Effects of sample size on the performance of species distribution models. Divers. Distrib. 2008, 14, 763–773. [Google Scholar] [CrossRef]
- Chandora, R.; Paul, S.; Rc, K.; Kumar, P.; Singh, B.; Kumar, P.; Sharma, A.; Kumar, A.; Singh, D.; Negi, N.; et al. Ecological survey, population assessment and habitat distribution modelling for conserving Fritillaria roylei—A critically endangered Himalayan medicinal herb. S. Afr. J. Bot. 2023, 160, 75–87. [Google Scholar] [CrossRef]
- Wang, R.; Xia, Y.; Shen, Z.; Wang, Y.; Zhou, X.; Xiang, M.; Yang, Y. Genetic diversity analysis and potential suitable habitat of Chuanminshen violaceum for climate change. Ecol. Inform. 2023, 77, 102209. [Google Scholar] [CrossRef]
- Li, X.; Wu, K.; Hao, S.; Yue, Z.; Ran, Z.; Ma, J. Mapping cropland suitability in China using optimized MaxEnt model. Field Crops Res. 2023, 302, 109064. [Google Scholar] [CrossRef]
- Ouyang, X.; Chen, A.; Brien Strachan, G.; Mao, Y.; Zuo, L.; Lin, H. Simulation of the Potential Suitable Distribution of the Endangered Cremastra appendiculata in China Under Global Climate Change. Front. Environ. Sci. 2022, 10, 878115. [Google Scholar] [CrossRef]
- Cursach, J.; Far, A.J.; Ruiz, M. Geospatial analysis to assess distribution patterns and predictive models for endangered plant species to support management decisions: A case study in the Balearic Islands. Biodivers. Conserv. 2020, 29, 3393–3410. [Google Scholar] [CrossRef]
- Group, T.A.P.; Chase, M.W.; Christenhusz, M.J.M.; Fay, M.F.; Byng, J.W.; Judd, W.S.; Soltis, D.E.; Mabberley, D.J.; Sennikov, A.N.; Soltis, P.S.; et al. An update of the Angiosperm Phylogeny Group classification for the orders and families of flowering plants: APG IV. Bot. J. Linn. Soc. 2016, 181, 1–20. [Google Scholar] [CrossRef]
- Bi, W.; Gao, Y.; Shen, J.; He, C.; Liu, H.; Peng, Y.; Zhang, C.; Xiao, P. Traditional uses, phytochemistry, and pharmacology of the genus Acer (maple): A review. J. Ethnopharmacol. 2016, 189, 31–60. [Google Scholar] [CrossRef]
- Harris, J.G.S. Tree Genera—3. Acer—Of the Maple. Arboric. J. Int. J. Urban For. 1975, 2, 361–369. [Google Scholar] [CrossRef]
- Liang, E.; Leuschner, C.; Dulamsuren, C.; Wagner, B.; Hauck, M. Global warming-related tree growth decline and mortality on the north-eastern Tibetan plateau. Clim. Chang. 2016, 134, 163–176. [Google Scholar] [CrossRef]
- Joshi, V.C.; Bisht, D.; Sundriyal, R.C.; Pant, H. Species richness, diversity, structure, and distribution patterns across dominating forest communities of low and mid-hills in the Central Himalaya. Geol. Ecol. Landsc. 2023, 7, 329–339. [Google Scholar] [CrossRef]
- Wang, S.; Xie, Y. China Species Red List; Higher Education Press: Beijing, China, 2004. [Google Scholar]
- Guarino, C.; Santoro, S.; De Simone, L.; Cipriani, G.; Testolin, R. Differentiation in DNA fingerprinting among species of the genus Acer L. in Campania (Italy). Plant Biosyst. 2008, 142, 454–461. [Google Scholar] [CrossRef]
- Yalma, L.V.-R.; Lowell, E.U.; Vesna, K.-C. Taxonomy and phylogenetic insights for Mexican and Central American species of Acer (Sapindaceae). J. Torrey Bot. Soc. 2020, 147, 49–86. [Google Scholar] [CrossRef]
- Ball, D.W. The Chemical Composition of Maple Syrup. J. Chem. Educ. 2007, 84, 1647–1650. [Google Scholar] [CrossRef]
- Li, L.; Seeram, N.P. Quebecol, a novel phenolic compound isolated from Canadian maple syrup. J. Funct. Foods 2011, 3, 125–128. [Google Scholar] [CrossRef]
- Kamei, A.; Watanabe, Y.; Shinozaki, F.; Yasuoka, A.; Kondo, T.; Ishijima, T.; Toyoda, T.; Arai, S.; Abe, K. Administration of a maple syrup extract to mitigate their hepatic inflammation induced by a high-fat diet: A transcriptome analysis. Biosci. Biotechnol. Biochem. 2015, 79, 1893–1897. [Google Scholar] [CrossRef]
- Liu, W.; Wei, Z.; Ma, H.; Cai, A.; Liu, Y.; Sun, J.; DaSilva, N.A.; Johnson, S.L.; Kirschenbaum, L.; Cho, B.P.; et al. Anti-glycation and anti-oxidative effects of a phenolic-enriched maple syrup extract and its protective effects on normal human colon cells. Food Funct. 2017, 8, 757–766. [Google Scholar] [CrossRef]
- Kim, C.; Kim, W.; Song, W.; Cho, J.; Choi, J. Prediction of Native Seed Habitat Distribution According to SSP Scenario and Seed Transfer Zones: A Focus on Acer pictum subsp. mono and Quercus acuta. Forests 2023, 14, 87. [Google Scholar] [CrossRef]
- Aouinti, H.; Moutahir, H.; Touhami, I.; Bellot, J.; Khaldi, A. Observed and Predicted Geographic Distribution of Acer monspessulanum L. Using the MaxEnt Model in the Context of Climate Change. Forests 2022, 13, 2049. [Google Scholar] [CrossRef]
- Available online: https://data.tpdc.ac.cn/home (accessed on 24 March 2023).
- Available online: http://www.resdc.cn/ (accessed on 23 April 2023).
- Available online: https://www.gbif.org (accessed on 6 March 2023).
- Available online: https://www.cvh.ac.cn (accessed on 13 March 2023).
- Zhu, Q.; Wang, F.; Yi, Q.; Zhang, X.; Chen, S.; Zheng, J.; Li, J.; Xu, T.; Peng, D. Modeling soybean cultivation suitability in China and its future trends in climate change scenarios. J. Environ. Manag. 2023, 345, 118934. [Google Scholar] [CrossRef] [PubMed]
- Shi, X.; Wang, J.; Zhang, L.; Chen, S.; Zhao, A.; Ning, X.; Fan, G.; Wu, N.; Zhang, L.; Wang, Z. Prediction of the potentially suitable areas of Litsea cubeba in China based on future climate change using the optimized MaxEnt model. Ecol. Indic. 2023, 148, 110093. [Google Scholar] [CrossRef]
- Cong, Y.; Gu, Y.; Wang, W.J.; Wang, L.; Xue, Z.; Chen, Y.; Jin, Y.; Xu, J.; Li, M.-H.; He, H.S.; et al. The interaction between temperature and precipitation on the potential distribution range of Betula ermanii in the alpine treeline ecotone on the Changbai Mountain. For. Ecosyst. 2024, 11, 100166. [Google Scholar] [CrossRef]
- O’Neill, B.C.; Kriegler, E.; Ebi, K.L.; Kemp-Benedict, E.; Riahi, K.; Rothman, D.S.; van Ruijven, B.J.; van Vuuren, D.P.; Birkmann, J.; Kok, K.; et al. The roads ahead: Narratives for shared socioeconomic pathways describing world futures in the 21st century. Glob. Environ. Chang. 2017, 42, 169–180. [Google Scholar] [CrossRef]
- Kriegler, E.; Bauer, N.; Popp, A.; Humpenöder, F.; Leimbach, M.; Strefler, J.; Baumstark, L.; Bodirsky, B.L.; Hilaire, J.; Klein, D.; et al. Fossil-fueled development (SSP5): An energy and resource intensive scenario for the 21st century. Glob. Environ. Chang. 2017, 42, 297–315. [Google Scholar] [CrossRef]
- Zhan, P.; Wang, F.; Xia, P.; Zhao, G.; Wei, M.; Wei, F.; Han, R. Assessment of suitable cultivation region for Panax notoginseng under different climatic conditions using MaxEnt model and high-performance liquid chromatography in China. Ind. Crops Prod. 2022, 176, 114416. [Google Scholar] [CrossRef]
- Available online: http://www.worldclim.org/ (accessed on 23 March 2023).
- Available online: http://www.iiasa.ac.at/web/home/research/researchPrograms/water/HWSD.html (accessed on 12 April 2023).
- Fielding, A.H.; Bell, J.F. A review of methods for the assessment of prediction errors in conservation presence/absence models. Environ. Conserv. 1997, 24, 38–49. [Google Scholar] [CrossRef]
- Swets, J.A. Measuring the Accuracy of Diagnostic Systems. Science 1988, 240, 1285–1293. [Google Scholar] [CrossRef] [PubMed]
- Phillips, S.J.; Anderson, R.P.; Schapire, R.E. Maximum entropy modeling of species geographic distributions. Ecol. Model. 2006, 190, 231–259. [Google Scholar] [CrossRef]
- Klorvuttimontara, S.; McClean, C.J.; Hill, J.K. Evaluating the effectiveness of Protected Areas for conserving tropical forest butterflies of Thailand. Biol. Conserv. 2011, 144, 2534–2540. [Google Scholar] [CrossRef]
- Loyola, R.; Lemes, P.; Faleiro, F.; Trindade-Filho, J.; Machado, R. Severe Loss of Suitable Climatic Conditions for Marsupial Species in Brazil: Challenges and Opportunities for Conservation. PLoS ONE 2012, 7, e46257. [Google Scholar] [CrossRef]
- Wang, G.; Wang, C.; Guo, Z.; Dai, L.; Wu, Y.; Liu, H.; Li, Y.; Chen, H.; Zhang, Y.; Zhao, Y.; et al. Integrating Maxent model and landscape ecology theory for studying spatiotemporal dynamics of habitat: Suggestions for conservation of endangered Red-crowned crane. Ecol. Indic. 2020, 116, 106472. [Google Scholar] [CrossRef]
- Yang, X.; Zheng, X.-Q.; Chen, R. A land use change model: Integrating landscape pattern indexes and Markov-CA. Ecol. Model. 2014, 283, 1–7. [Google Scholar] [CrossRef]
- Heinken, T.; Weber, E. Consequences of habitat fragmentation for plant species: Do we know enough? Perspect. Plant Ecol. Evol. Syst. 2013, 15, 205–216. [Google Scholar] [CrossRef]
- Stephanie, K.S.; Jürgen, N.; Pilgrim, J.D.; Schrder, B.; Lindenborn, J.; Reinfelder, V.; Stillfried, M.; Heckmann, I.; Scharf, A.K.; Augeri, D.M. The importance of correcting for sampling bias in MaxEnt species distribution models. Divers. Distrib. 2013, 19, 1366–1379. [Google Scholar] [CrossRef]
- Gaston, K.J. The Structure and Dynamics of Geographic Ranges; Oxford University Press: Cary, NC, USA, 2003. [Google Scholar]
- Bellard, C.; Bertelsmeier, C.; Leadley, P.; Thuiller, W.; Courchamp, F. Impacts of climate change on the future of biodiversity. Ecol. Lett. 2012, 15, 365–377. [Google Scholar] [CrossRef]
- Zhang, P.; Kong, X.; Bakker, E.S.; Xu, J.; Zhang, M. Temperature affects carbon and nitrogen stable isotopic signatures of aquatic plants. Aquat. Sci. 2021, 83, 39. [Google Scholar] [CrossRef]
- Yin, Y.; Wang, J.a.; Leng, G.; Zhao, J.; Wang, L.; Ma, W. Future potential distribution and expansion trends of highland barley under climate change in the Qinghai-Tibet plateau (QTP). Ecol. Indic. 2022, 136, 108702. [Google Scholar] [CrossRef]
- Jiang, R.; Zou, M.; Qin, Y.; Tan, G.; Huang, S.; Quan, H.; Zhou, J.; Liao, H. Modeling of the Potential Geographical Distribution of Three Fritillaria Species under Climate Change. Front. Plant Sci. 2022, 12, 749838. [Google Scholar] [CrossRef]
- Liu, M.-L.; Sun, H.-Y.; Jiang, X.; Zhou, T.; Zhang, Q.-J.; Su, Z.-D.; Zhang, Y.-N.; Liu, J.-N.; Li, Z.-H. Simulation and Prediction of the Potential Geographical Distribution of Acer cordatum Pax in Different Climate Scenarios. Forests 2022, 13, 1380. [Google Scholar] [CrossRef]
- Yang, L.; Liu, L.N.; Sun, S.B. The dominated environmental factors of veetation change on the Qinghai-Tibet Plateau from 1982 to 2015. Acta Ecol. 2023, 43, 744–755. [Google Scholar] [CrossRef]
- Liu, N.; Peng, S.Z.; Chen, Y.M. Temporal effects of climate factors on vegetation growth on the Qingzang Plateau, China. Chin. J. Plant Ecol. 2022, 46, 18–26. [Google Scholar] [CrossRef]
- Zhuo, G.; Chen, S.R.; Zhou, B. Spatio-temporal variation of vegetation coverage over the Tibetan Plateau and its responses to climatic factors. Acta Ecol. Sin. 2018, 38, 3208–3218. [Google Scholar] [CrossRef]
- Li, H.Y.; Zhang, C.G.; Wang, S.Z.; Ma, W.D.; Liu, F.G.; Chen, Q.; Zhou, Q.; Xia, X.S.; Niu, B.C. Response of vegetation dynamics to hydrothermal conditions on the Qinghai-Tibet Plateau in the last 40 years. Acta Ecol. Sin. 2022, 42, 4770–4783. [Google Scholar] [CrossRef]
- Kunwar, R.M.; Thapa-Magar, K.B.; Subedi, S.C.; Kutal, D.H.; Baral, B.; Joshi, N.R.; Adhikari, B.; Upadhyaya, K.S.; Thapa-Magar, S.; Ansari, A.S.; et al. Distribution of important medicinal plant species in Nepal under past, present, and future climatic conditions. Ecol. Indic. 2023, 146, 109879. [Google Scholar] [CrossRef]
- Yu, H.Y.; Xu, J.C. Effects of climate change on vegetations on Qinghai-Tibet Plateau: A review. Chin. J. Ecol. 2009, 28, 747–754. [Google Scholar]
- Ni, J. A Simulation of Biomes on the Tibetan Plateau and Their Responses to Global Climate Change. Mt. Res. Dev. 2000, 20, 80–89. [Google Scholar] [CrossRef]
- Zhao, D.S.; Zhu, Y.; Wu, S.H.; Zheng, D. Projection of vegetation distribution to 1.5 °C and 2 °C of global warming on the Tibetan Plateau. Glob. Planet. Chang. 2021, 202, 103525. [Google Scholar] [CrossRef]
- Ning, L.N.; Yan, L.H.; Wen, P.K.; Qing, W.K.; Ping, Z.A.; Lin, Z. Predicting Potential Distribution of Two Species of Spruce in Qinghai-Tibet Plateau under Climate Change. Bull. Bot. Res. 2019, 39, 395–406. [Google Scholar] [CrossRef]
- Yu, M.; Li, Q.; Hayes, M.; Hayes, M.J.; Svoboda, M.D.; Heim, R.R. Are droughts becoming more frequent or severe in China based on the Standardized Precipitation Evapotranspiration Index: 1951–2010? Int. J. Climatol. 2014, 34, 545–558. [Google Scholar] [CrossRef]
- Mapunda, K.K.; Andrew, S.M. Predicting the distribution of critically endangered tree species Karomia gigas under climate change in Tanzania. Ecol. Eng. 2023, 195, 107065. [Google Scholar] [CrossRef]
- Pickering, C.; Hill, W.; Green, K. Vascular plant diversity and climate change in the alpine zone of the Snowy Mountains, Australia. Biodivers. Conserv. 2008, 17, 1627–1644. [Google Scholar] [CrossRef]
- Yan, Y.; Tang, Z. Protecting endemic seed plants on the Tibetan Plateau under future climate change: Migration matters. J. Plant Ecol. 2019, 12, 962–971. [Google Scholar] [CrossRef]
- Xue, T.; Gadagkar, S.R.; Albright, T.P.; Yang, X.; Li, J.; Xia, C.; Wu, J.; Yu, S. Prioritizing conservation of biodiversity in an alpine region: Distribution pattern and conservation status of seed plants in the Qinghai-Tibetan Plateau. Glob. Ecol. Conserv. 2021, 32, e01885. [Google Scholar] [CrossRef]
- Gao, Q.; Guo, Y.; Xu, H.; Ganjurjav, H.; Li, Y.; Wan, Y.; Qin, X.; Ma, X.; Liu, S. Climate change and its impacts on vegetation distribution and net primary productivity of the alpine ecosystem in the Qinghai-Tibetan Plateau. Sci. Total Environ. 2016, 554–555, 34–41. [Google Scholar] [CrossRef]
- Xu, X.; Chen, H.; Levy, J.K. Spatiotemporal vegetation cover variations in the Qinghai-Tibet Plateau under global climate change. Chin. Sci. Bull. 2008, 53, 915–922. [Google Scholar] [CrossRef]
- Chen, S.T.; Guo, B.; Yang, F.; Han, B.M.; Fan, Y.W.; Yang, X.; He, T.L.; Liu, Y.; Yang, W.N. Spatial and temporal patterns of NPP and its response to climate change in the Qinghai-Tibet Plateau from 2000 to 2015. J. Nat. Resour. 2020, 35, 2511–2527. [Google Scholar] [CrossRef]
- Xu, H.J.; Wang, X.P.; Zhang, X.X. Alpine grasslands response to climatic factors and anthropogenic activities on the Tibetan Plateau from 2000 to 2012. Ecol. Eng. 2016, 92, 251–259. [Google Scholar] [CrossRef]
- Tao, J.; Zhang, Y.-J.; Dong, J.; Fu, Y.; Zhu, J.; Zhang, G.; Jiang, Y.; Tian, L.; Zhang, X.-Z.; Zhang, T.; et al. Elevation-dependent relationships between climate change and grassland vegetation variation across the Qinghai-Xizang Plateau. Int. J. Climatol. 2015, 35, 1638–1647. [Google Scholar] [CrossRef]
- Thomas, C.D.; Cameron, A.; Green, R.E.; Bakkenes, M.; Beaumont, L.J.; Collingham, Y.C.; Erasmus, B.F.N.; de Siqueira, M.F.; Grainger, A.; Hannah, L.; et al. Extinction risk from climate change. Nature 2004, 427, 145–148. [Google Scholar] [CrossRef] [PubMed]
- Remya, K.; Ramachandran, A.; Jayakumar, S. Predicting the current and future suitable habitat distribution of Myristica dactyloides Gaertn. using MaxEnt model in the Eastern Ghats, India. Ecol. Eng. 2015, 82, 184–188. [Google Scholar] [CrossRef]
- Rowland, E.L.; Davison, J.E.; Graumlich, L.J. Approaches to Evaluating Climate Change Impacts on Species: A Guide to Initiating the Adaptation Planning Process. Environ. Manag. 2011, 47, 322–337. [Google Scholar] [CrossRef] [PubMed]
- Määttänen, A.-M.; Virkkala, R.; Leikola, N.; Aalto, J.; Heikkinen, R.K. Combined threats of climate change and land use to boreal protected areas with red-listed forest species in Finland. Glob. Ecol. Conserv. 2023, 41, e02348. [Google Scholar] [CrossRef]
- Kuipers, K.J.J.; Hilbers, J.P.; Garcia-Ulloa, J.; Graae, B.J.; May, R.; Verones, F.; Huijbregts, M.A.J.; Schipper, A.M. Habitat fragmentation amplifies threats from habitat loss to mammal diversity across the world’s terrestrial ecoregions. One Earth 2021, 4, 1505–1513. [Google Scholar] [CrossRef]
- Murray, D.L.; Peers, M.J.L.; Majchrzak, Y.N.; Wehtje, M.; Ferreira, C.; Pickles, R.S.A.; Row, J.R.; Thornton, D.H. Continental divide: Predicting climate-mediated fragmentation and biodiversity loss in the boreal forest. PLoS ONE 2017, 12, e0176706. [Google Scholar] [CrossRef] [PubMed]
- Yan, Y.; Zhao, C.; Xie, Y.; Jiang, X. Nature reserves and reforestation expend the potential habitats for endangered plants: A model study in Cangshan, China. J. Nat. Conserv. 2024, 77, 126533. [Google Scholar] [CrossRef]
- Fernandes-Filho, E.I.; Reynaud Schaefer, C.E.G.; Faria, R.M.; Lopes, A.; Francelino, M.R.; Gomes, L.C. The unique and endangered Campo Rupestre vegetation and protected areas in the Iron Quadrangle, Minas Gerais, Brazil. J. Nat. Conserv. 2022, 66, 126131. [Google Scholar] [CrossRef]






| Category | Variable | A. campbellii | A. pectinatum | A. pectinatum | A. sikkimense | A. sterculiaceum | A. taronense | A. wardii | 
|---|---|---|---|---|---|---|---|---|
| Climate | BIO2 | √ | √ | √ | - | √ | - | √ | 
| BIO3 | - | √ | √ | - | - | √ | - | |
| BIO4 | √ | √ | - | - | √ | √ | √ | |
| BIO5 | - | √ | - | - | - | - | - | |
| BIO6 | - | √ | - | - | - | - | - | |
| BIO7 | √ | - | √ | √ | √ | √ | - | |
| BIO11 | - | - | √ | √ | - | √ | - | |
| BIO12 | √ | √ | - | - | - | - | √ | |
| BIO14 | √ | - | √ | - | - | √ | √ | |
| BIO15 | - | √ | √ | - | - | - | - | |
| BIO16 | - | - | - | - | √ | - | - | |
| BIO17 | - | - | - | - | √ | - | - | |
| Topography | SLO | √ | √ | √ | - | - | √ | √ | 
| ASP | √ | √ | √ | - | - | √ | √ | |
| Soil | T_ESP | - | √ | √ | - | - | √ | √ | 
| T_GRAVEL | √ | - | √ | - | √ | - | √ | |
| T_PH_H2O | - | - | - | - | √ | - | - | |
| T_REF_ BULK_DEN | - | - | - | - | √ | - | - | |
| S_CLAY | √ | √ | √ | - | - | √ | √ | |
| S_GRAVEL | √ | - | - | √ | - | - | - | |
| S_REF_ BULK_DEN | - | - | - | √ | √ | - | - | 
| Disclaimer/Publisher’s Note: The statements, opinions and data contained in all publications are solely those of the individual author(s) and contributor(s) and not of MDPI and/or the editor(s). MDPI and/or the editor(s) disclaim responsibility for any injury to people or property resulting from any ideas, methods, instructions or products referred to in the content. | 
© 2024 by the authors. Licensee MDPI, Basel, Switzerland. This article is an open access article distributed under the terms and conditions of the Creative Commons Attribution (CC BY) license (https://creativecommons.org/licenses/by/4.0/).
Share and Cite
Zhang, H.; Sun, P.; Zou, H.; Ji, X.; Wang, Z.; Liu, Z. Adaptive Distribution and Vulnerability Assessment of Endangered Maple Species on the Tibetan Plateau. Forests 2024, 15, 491. https://doi.org/10.3390/f15030491
Zhang H, Sun P, Zou H, Ji X, Wang Z, Liu Z. Adaptive Distribution and Vulnerability Assessment of Endangered Maple Species on the Tibetan Plateau. Forests. 2024; 15(3):491. https://doi.org/10.3390/f15030491
Chicago/Turabian StyleZhang, Huayong, Pengfei Sun, Hengchao Zou, Xiande Ji, Zhongyu Wang, and Zhao Liu. 2024. "Adaptive Distribution and Vulnerability Assessment of Endangered Maple Species on the Tibetan Plateau" Forests 15, no. 3: 491. https://doi.org/10.3390/f15030491
APA StyleZhang, H., Sun, P., Zou, H., Ji, X., Wang, Z., & Liu, Z. (2024). Adaptive Distribution and Vulnerability Assessment of Endangered Maple Species on the Tibetan Plateau. Forests, 15(3), 491. https://doi.org/10.3390/f15030491
 
        



 
       