Change Characteristics of Soil Erodibility during Natural Restoration in an Earthquake Landslide of Southwestern China
Abstract
1. Introduction
2. Materials and Methods
2.1. Study Area
2.2. The Research Areas Setup and Vegetation Survey
2.3. Soil Sample Collection
2.4. Construction and Determination of Comprehensive Soil Erodibility Index
2.5. Spatial Heterogeneity Analysis
2.6. Statistical Analysis
3. Results
3.1. Change Characteristics of Main Soil Indicators Related to CSEI
3.1.1. Change Characteristics of D
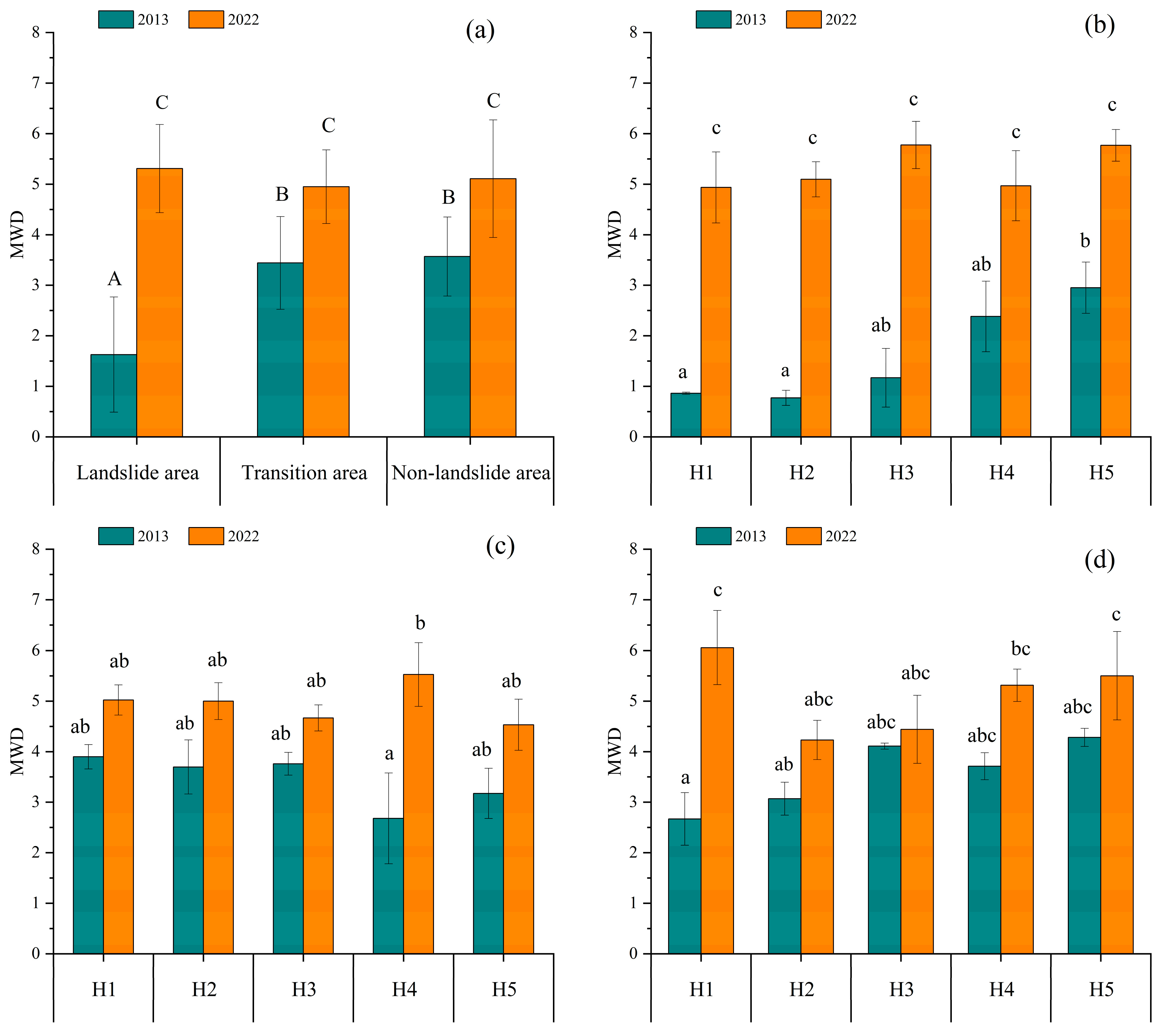
3.1.2. Change Characteristics of MWD
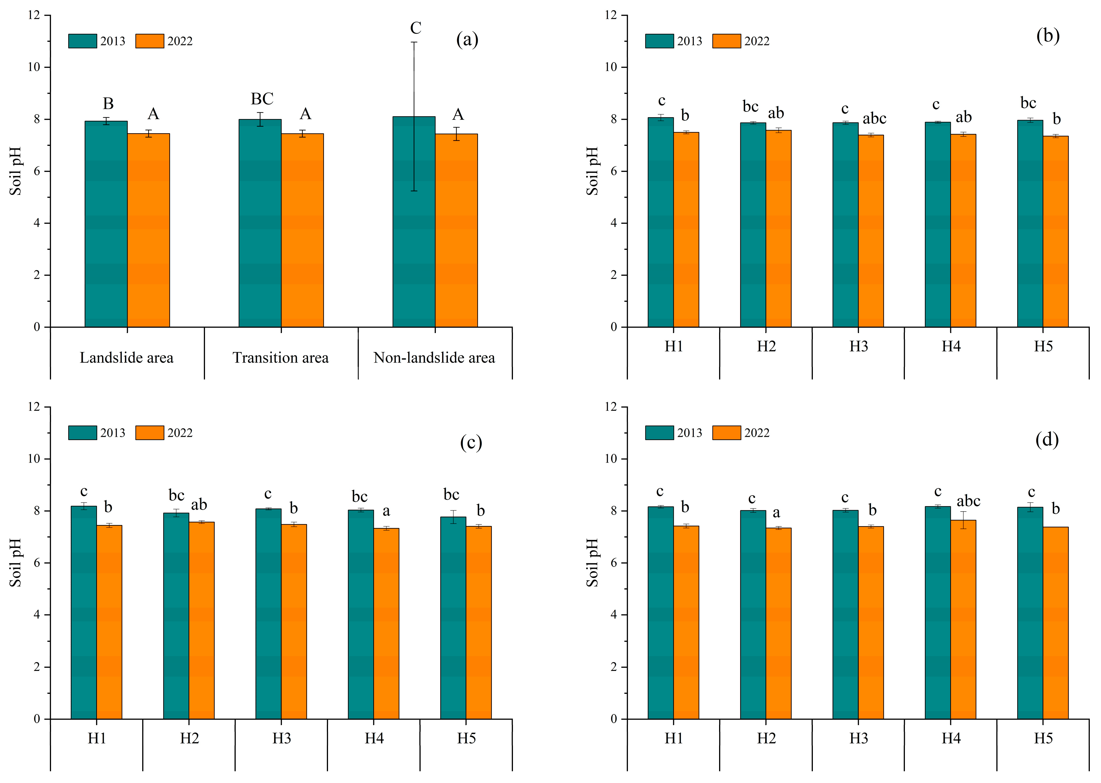
3.1.3. Change Characteristics of Soil pH
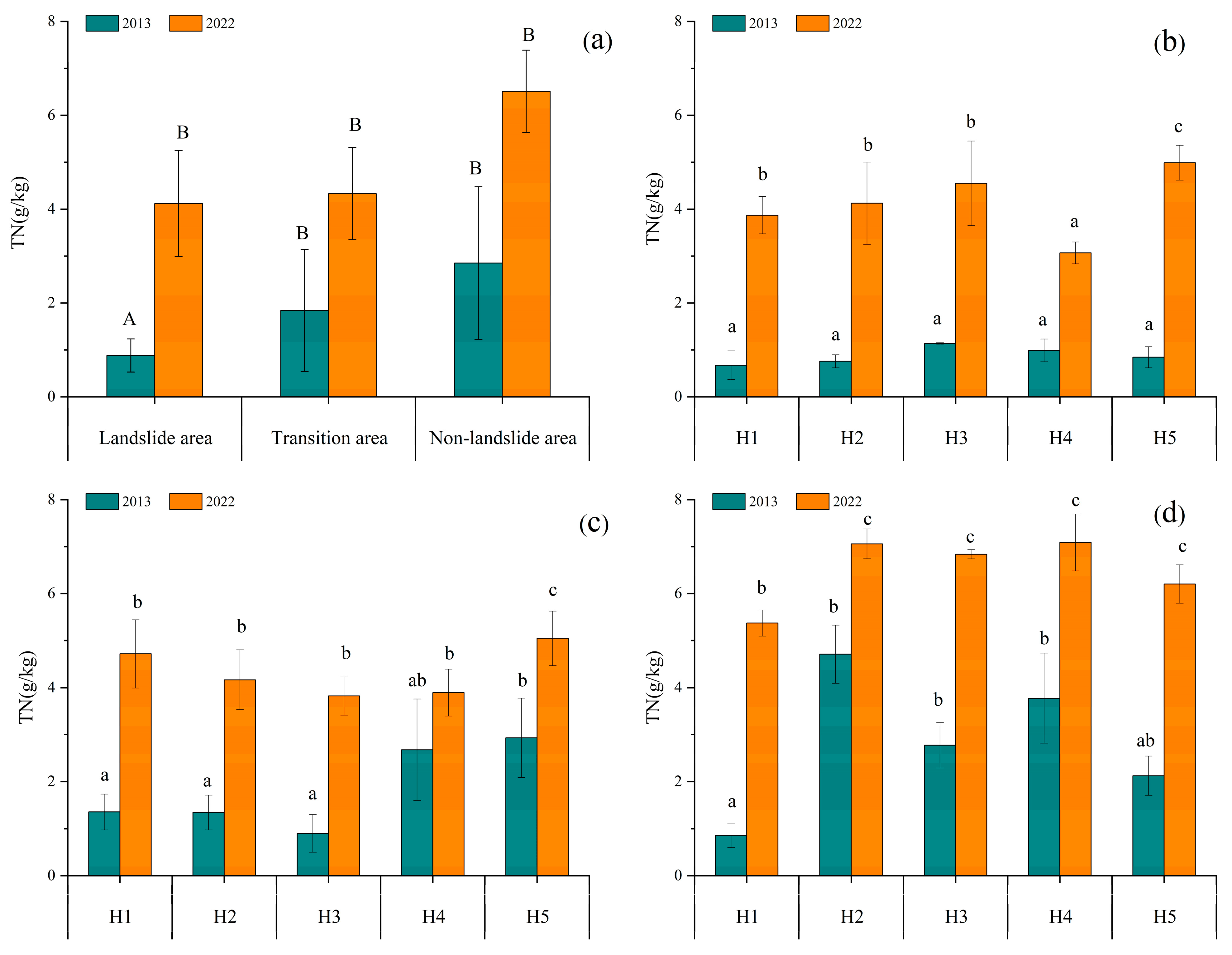
3.1.4. Change Characteristics of TN
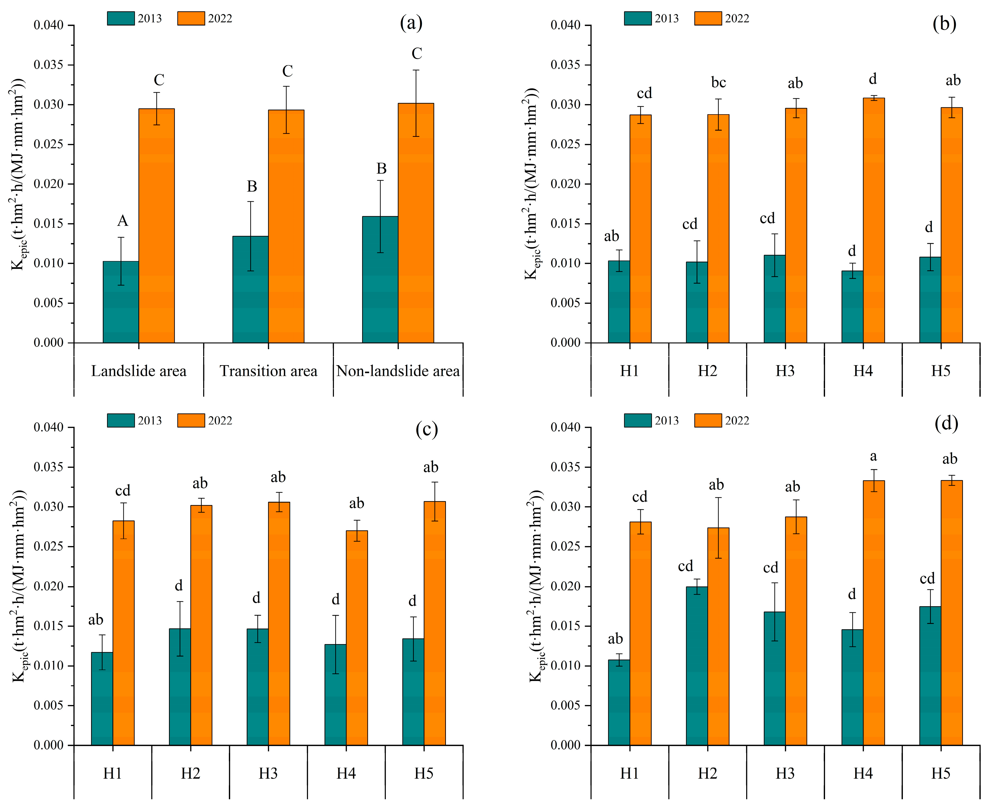
3.1.5. Change Characteristics of Kepic
3.2. Change Characteristics of Comprehensive Soil Erodibility Index
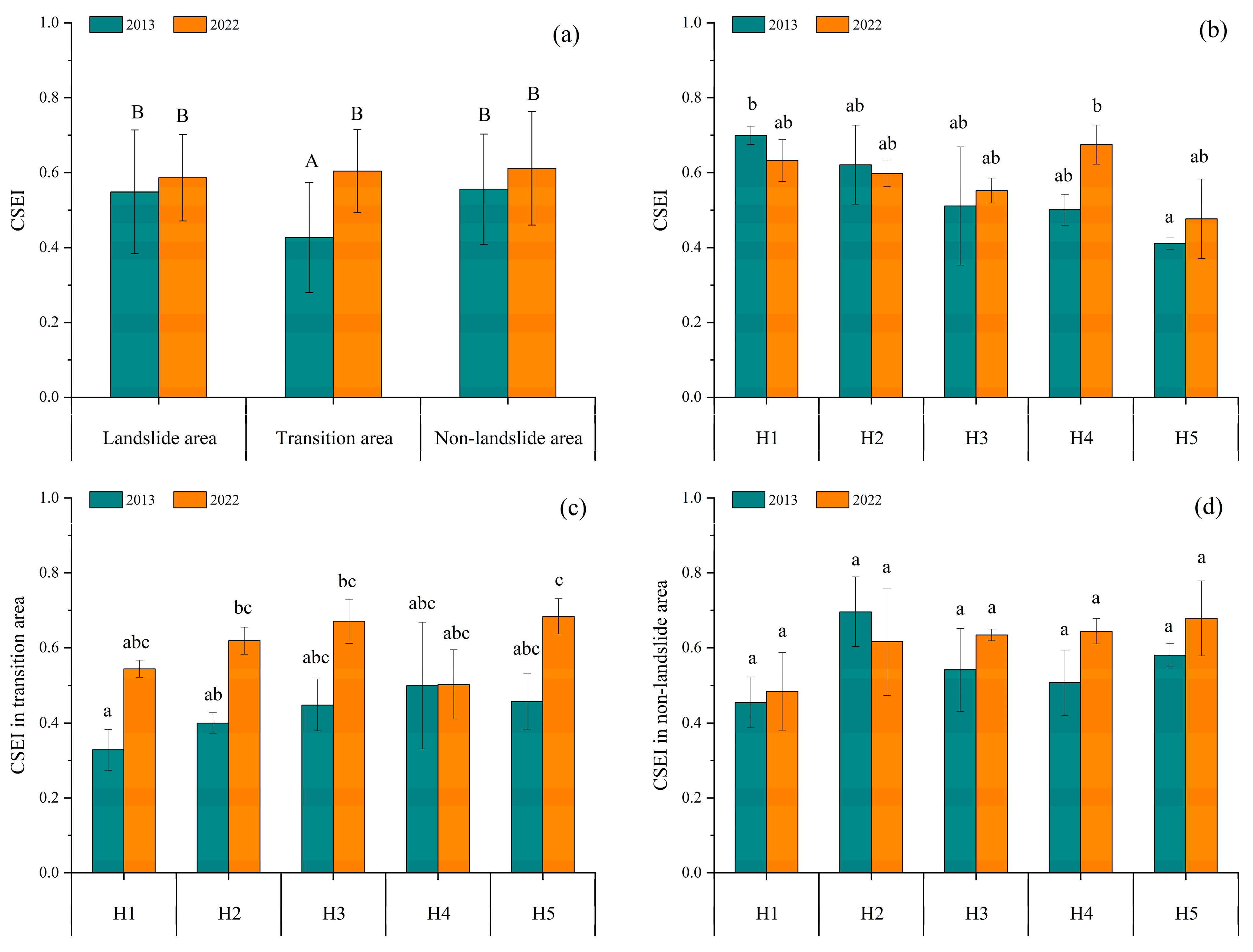
3.2.1. Temporal Variation Characteristics of CSEI
3.2.2. Spatial Variation Characteristics of CSEI
3.2.3. Geostatistical Characteristics of CSEI
4. Discussion
5. Conclusions
Author Contributions
Funding
Institutional Review Board Statement
Informed Consent Statement
Data Availability Statement
Conflicts of Interest
References
- Chigira, M.; Wu, X.; Inokuchi, T.; Wang, G. Landslides Induced by the 2008 Wenchuan Earthquake, Sichuan, China. Geomorphology 2010, 118, 225–238. [Google Scholar] [CrossRef]
- Wang, X.; Fan, X.; Fang, C.; Dai, L.; Zhang, W.; Zheng, H.; Xu, Q. Long-term Landslide Evolution and Restoration after the Wenchuan Earthquake Revealed by Time-series Remote Sensing Images. Geophys. Res. Lett. 2024, 51, e2023GL106422. [Google Scholar] [CrossRef]
- Zhang, L.; Xiao, T.; He, J.; Chen, C. Erosion-Based Analysis of Breaching of Baige Landslide Dams on the Jinsha River, China, in 2018. Landslides 2019, 16, 1965–1979. [Google Scholar] [CrossRef]
- Li, P.; Wang, J.; Hu, K.; Shen, F. Effects of Bed Longitudinal Inflexion and Sediment Porosity on Basal Entrainment Mechanism: Insights from Laboratory Debris Flows. Landslides 2021, 18, 3041–3062. [Google Scholar] [CrossRef]
- Wang, J.; Sun, G.; Shi, F.; Lu, T.; Wang., Q.; Wu, Y.; Wu, N.; Oli, K.P. Runoff and soil loss in a typical subtropical evergreen forest stricken by the wenchuan earthquake: Their relationships with rainfall, slope inclination, and vegetation cover. J. Soil Water Conserv. 2014, 69, 65–74. [Google Scholar] [CrossRef]
- Chen, H.S.; Wang, X.K.; Lei, S.; Wang, X.X.; Yan, X.F. Soil Erosion Characteristics in an Earthquake-Impacted Mountainous Basin Based on RUSLE Model: Implications for Geohazards. J. Soils Sediments 2023, 23, 3857–3878. [Google Scholar] [CrossRef]
- Lyu, D.; Yang, Y.; Zhao, W.; Xu, X.; He, L.; Guo, J.; Lei, S.; Liu, B.; Zhang, X. Effects of Different Vegetation Restoration Types on Soil Hydro-Physical Properties in the Hilly Region of the Loess Plateau, China. Soil Res. 2022, 61, 94–105. [Google Scholar] [CrossRef]
- Yan, Y.; Dai, Q.; Yang, Y.; Lan, X. Effects of Vegetation Restoration Types on Soil Erosion Reduction of a Shallow Karst Fissure Soil System in the Degraded Karst Areas of Southwestern China. Land Degrad. Dev. 2023, 34, 2241–2255. [Google Scholar] [CrossRef]
- Sun, H.; Luo, L.; Guo, W.; Hu, X.; Xu, Y.; Wang, W. Exploring Rational Vegetation Configuration to Relative Increase Runoff, Reduce Erosion and Soil Organic Carbon Loss in Gully-Slopes on the Chinese Loess Plateau. J. Hydrol. 2024, 640, 131678. [Google Scholar] [CrossRef]
- Rajbanshi, J.; Das, S.; Paul, R. Quantification of the Effects of Conservation Practices on Surface Runoff and Soil Erosion in Croplands and Their Trade-off: A Meta-Analysis. Sci. Total Environ. 2023, 864, 161015. [Google Scholar] [CrossRef]
- Wu, Y.; Yu, X.; Jia, G. Seasonal Variation of Soil Erodibility Under Vegetation Restoration in the Agro-Pastoral Ecotone of Northern China. J. Soil Sci. Plant Nutr. 2023, 23, 2331–2343. [Google Scholar] [CrossRef]
- Wu, Y.; Jia, G.; Yu, X.; Rao, H.; Peng, X.; Wang, Y.; Wang, Y.; Wang, X. Response of Soil Nutrients and Erodibility to Slope Aspect in the Northern Agro-Pastoral Ecotone, China. SOIL 2024, 10, 61–75. [Google Scholar] [CrossRef]
- Zhang, B.; Zhang, G.; Yang, H.; Wang, H. Soil Resistance to Flowing Water Erosion of Seven Typical Plant Communities on Steep Gully Slopes on the Loess Plateau of China. Catena 2019, 173, 375–383. [Google Scholar] [CrossRef]
- Zeng, R.; Zhang, G.; Su, X.; Wang, C. Soil Erosion Resistance of Gully System under Different Plant Communities on the Loess Plateau of China. Earth Surf. Pro. Landf. 2024, 49, 1748–1761. [Google Scholar] [CrossRef]
- Batista, P.V.G.; Evans, D.L.; Cândido, B.M.; Fiener, P. Does Soil Thinning Change Soil Erodibility? An Exploration of Long-Term Erosion Feedback Systems. SOIL 2023, 9, 71–88. [Google Scholar] [CrossRef]
- Fomicheva, D.V.; Zhidkin, A.P.; Komissarov, M.A. Multiscale Estimates of Soil Erodibility Variation under Conditions of High Soil Cover Heterogeneity in the Northern Forest-Steppe of the Central Russian Upland. Eurasian Soil Sci. 2024, 57, 325–336. [Google Scholar] [CrossRef]
- Kašanin-Grubin, M.; Hukić, E.; Bellan, M.; Bialek, K.; Bosela, M.; Coll, L.; Czacharowski, M.; Gajica, G.; Giammarchi, F.; Gömöryová, E.; et al. Soil Erodibility in European Mountain Beech Forests. Can. J. For. Res. 2021, 51, 1846–1855. [Google Scholar] [CrossRef]
- Wang, H.; Zhang, G.; Li, N.; Zhang, B.; Yang, H. Soil Erodibility as Impacted by Vegetation Restoration Strategies on the Loess Plateau of China. Earth Surf. Proc. Landf. 2019, 44, 796–807. [Google Scholar] [CrossRef]
- Li, Y.; Lu, B.; Zhou, H.; Zhang, Y.; Zhao, Z.; Chen, W.; Wu, Y.; Guo, Z.; Jiang, J.; Xue, S. Effects of Degradation Level and Vegetation Recovery Age on Soil Erodibility of Alpine Grasslands on the Qinghai−Tibetan Plateau. J. Soils Sediments 2024, 24, 294–306. [Google Scholar] [CrossRef]
- Liu, J.; Chen, L.; Wang, B.; Peng, X. Effects of Physical Crust on Soil Detachment by Overland Flow in the Loess Plateau Region of China. Int. Soil Water Conse. Res. 2024, 12, 107–120. [Google Scholar] [CrossRef]
- Zhang, P.; Yao, W.; Liu, G.; Xiao, P. Experimental Study on Soil Erosion Prediction Model of Loess Slope Based on Rill Morphology. Catena 2019, 173, 424–432. [Google Scholar] [CrossRef]
- Sun, L.; Wu, S.; Hill, R.L.; Guo, H.; Feng, H. The Effects of Three Micro-Catchment Practices on Erosion and Runoff Dynamics for a Typical Soil Slope on the Loess Plateau of China. Can. J. Soil. Sci. 2019, 99, 46–59. [Google Scholar] [CrossRef]
- Olson, T.C.; Wischmeier, W. Soil-Erodability Evaluations for Soils on the Runoff and Erosion Stations. Soil Sci. Soc. Am. J. 1963, 27, 590–592. [Google Scholar] [CrossRef]
- Liu, X.; Zhang, Y.; Li, P. Spatial Variation Characteristics of Soil Erodibility in the Yingwugou Watershed of the Middle Dan River, China. Int. J. Environ. Res. Public Health 2020, 17, 3568. [Google Scholar] [CrossRef] [PubMed]
- Lin, H.; Cheng, X.; Bruijnzeel, L.A.; Duan, X.; Zhang, J.; Chen, L.; Zheng, H.; Lu, S.; Dong, Y.; Huang, J.; et al. Land Degradation and Climate Change Lessened Soil Erodibility across a Wide Area of the Southern Tibetan Plateau over the Past 35–40 Years. Land Degrad. Dev. 2023, 34, 2636–2651. [Google Scholar] [CrossRef]
- Al-Omran, A.; Ibrahim, A.; Alharbi, A. Effects of Biochar and Compost on Soil Physical Quality Indices. Commun. Soil Sci. Plan. 2021, 52, 2482–2499. [Google Scholar] [CrossRef]
- Bennett, H. Some Comparisons of the Properties of Humid-Tropical and Humid-Temperate American Soils, with Special Reference to Indicated Relations between Chemical Composition and Physical Properties. Soil Sci. 1926, 21, 349–376. [Google Scholar] [CrossRef]
- Middleton, H.E. Properties of Soils Which Influence Soil Erosion; US Department of Agriculture: Washington, DC, USA, 1930.
- Bouyoucos, G.J. The Clay Ratio as a Criterion of Susceptibility of Soils to Erosion 1. Agron. J. 1935, 27, 738–741. [Google Scholar] [CrossRef]
- Vahabi, J.; Nikkami, D. Assessing dominant factors affecting soil erosion using a portable rainfall simulator. Int. J. Sediment Res. 2008, 23, 376–386. [Google Scholar] [CrossRef]
- Peele, T. The Relation of Certain Physical Characteristics to the Erodibility of Soils. Soil Sci. Soc. Am. J. 1938, 2, 97–100. [Google Scholar] [CrossRef]
- Lan, J. Changes of Soil Aggregate Stability and Erodibility After Cropland Conversion in Degraded Karst Region. J. Soil Sci. Plant Nutr. 2021, 21, 3333–3345. [Google Scholar] [CrossRef]
- Obour, P.B.; Oppong Danso, E.; Dorvlo, S.Y.; Arthur, E. Soil Aggregate Stability Quantified by Different Methods Is Unaffected by Rice Straw Biochar in the Long Term. Soil Sci. Soc. Am. J. 2023, 87, 1018–1028. [Google Scholar] [CrossRef]
- Wischmeier, W.H. A Soil Erodibility Nomograph for Farmland and Construction Sites. J. Soil Water Conserv. 1971, 26, 189–193. [Google Scholar]
- Huang, R.; Xu, Q.; Huo, J. Mechanism and Geo-Mechanics Models of Landslides Triggered by 5.12 Wenchuan Earthquake. J. Mt. Sci. 2011, 8, 200–210. [Google Scholar] [CrossRef]
- Shannon, C.E.; Wiener, W. The Mathematical Theory of Communities; University of Illinois Press: Champaign, IL, USA, 1963. [Google Scholar]
- Simpson, E.H. The measurement of diversity. Nature 1949, 163, 63–88. [Google Scholar] [CrossRef]
- Pielou, E.C. Shannon’s Formula as a Measure of Specific Diversity: Its Use and Misuse. Am. Nat. 1966, 100, 463–465. [Google Scholar] [CrossRef]
- Strong, W.L. Biased Richness and Evenness Relationships within Shannon–Wiener Index Values. Ecol. Indic. 2016, 67, 703–713. [Google Scholar] [CrossRef]
- Shi, Y.; Zhang, Q.; Liu, X.; Jing, X.; Shi, C.; Zheng, L. Organic Manure Input and Straw Cover Improved the Community Structure of Nitrogen Cycle Function Microorganism Driven by Water Erosion. Int. Soil Water Conse. Res. 2022, 10, 129–142. [Google Scholar] [CrossRef]
- Liu, Q.; Li, J.; Guo, Z.; Chang, C.; Wang, H. The Relationships between Root Traits and the Soil Erodibility of Farmland Shelterbelts in the Bashang Region of China. Forests 2023, 14, 1827. [Google Scholar] [CrossRef]
- Le Bissonnais, Y. Aggregate Stability and Assessment of Soil Crustability and Erodibility: I. Theory and Methodology. Eur. J. Soil Sci. 1996, 47, 425–437. [Google Scholar] [CrossRef]
- Xia, J.; Zhao, Z.; Fang, Y. Soil Hydro-Physical Characteristics and Water Retention Function of Typical Shrubbery Stands in the Yellow River Delta of China. Catena 2017, 156, 315–324. [Google Scholar] [CrossRef]
- Parysow, P.; Wang, G.; Gertner, G.; Anderson, A.B. Spatial Uncertainty Analysis for Mapping Soil Erodibility Based on Joint Sequential Simulation. Catena 2003, 53, 65–78. [Google Scholar] [CrossRef]
- Li, Y.; He, X.; Lin, D.; Wei, P.; Zhou, L.; Zeng, L.; Qian, S.; Zhao, L.; Yang, Y.; Zhu, G. Effects of Fractal Dimension and Soil Erodibility on Soil Quality in an Erodible Region: A Case Study from Karst Mountainous Areas. Forests 2023, 14, 1609. [Google Scholar] [CrossRef]
- Bajracharya, R.; Lal, R.; Kimble, J. Soil Organic Carbon Distribution in Aggregates and Primary Particle Fractions as Influenced by Erosion Phases and Landscape Position. Soil Processes and the Carbon Cycle; CRC Press: Boca Raton, FL, USA, 2018; pp. 353–367. [Google Scholar]
- Chang, W.; Song, Q.; Zheng, X.; Li, C.; Wang, L.; Li, H.; Zhang, L.; You, C.; Xu, H.; Xu, L.; et al. Leaf Trait Variations and Correlations across Four Forests with Similar Mean Annual Precipitation in Northern China. Ecol. Indic. 2024, 165, 112199. [Google Scholar] [CrossRef]
- Jonczak, J.; Oktaba, L.; Pawłowicz, E.; Chojnacka, A.; Regulska, E.; Słowińska, S.; Olejniczak, I.; Oktaba, J.; Kruczkowska, B.; Kondras, M. Soil Organic Matter Transformation Influenced by Silver Birch (Betula pendula Roth) Succession on Abandoned from Agricultural Production Sandy Soil. Eur. J. Forest Res. 2023, 142, 367–379. [Google Scholar] [CrossRef]
- Feng, N.; Liu, D.; She, D. Effects of Vegetation Restoration on Carbonate-derived Laterite Erodibility in Karst Mountain Areas. Land Degrad. Dev. 2022, 33, 1347–1365. [Google Scholar] [CrossRef]
- Hong, S.; Piao, S.; Chen, A.; Liu, Y.; Liu, L.; Peng, S.; Sardans, J.; Sun, Y.; Peñuelas, J.; Zeng, H. Afforestation Neutralizes Soil pH. Nat. Commun. 2018, 9, 520. [Google Scholar] [CrossRef]
- Maffre, P.; Godderis, Y.; Pohl, A.; Donnadieu, Y.; Carretier, S.; Le Hir, G. The Complex Response of Continental Silicate Rock Weathering to the Colonization of the Continents by Vascular Plants in the Devonian. Am. J. Sci. 2022, 322, 461–492. [Google Scholar] [CrossRef] [PubMed]
- Hu, P.; Zhao, Y.; Xiao, D.; Xu, Z.; Zhang, W.; Xiao, J.; Wang, K. Dynamics of Soil Nitrogen Availability Following Vegetation Restoration along a Climatic Gradient of a Subtropical Karst Region in China. J. Soils Sediments 2021, 21, 2167–2178. [Google Scholar] [CrossRef]
- Liang, P.; Wang, X.; Xu, Q.; Zhang, J.; Fang, R.; Fu, Z.; Chen, H. Lithology-mediated Soil Erodibility Characteristics after Vegetation Restoration in the Karst Region of Southwest China. Land Degrad. Dev. 2024, 35, 1074–1086. [Google Scholar] [CrossRef]
- Chang, D.S.; Zhang, L.M.; Xu, Y.; Huang, R.Q. Field Testing of Erodibility of Two Landslide Dams Triggered by the 12 May Wenchuan Earthquake. Landslides 2011, 8, 321–332. [Google Scholar] [CrossRef]
- Nampak, H.; Pradhan, B.; Mojaddadi Rizeei, H.; Park, H. Assessment of Land Cover and Land Use Change Impact on Soil Loss in a Tropical Catchment by Using Multitemporal SPOT -5 Satellite Images and R Evised U Niversal Soil L Oss E Quation Model. Land Degrad. Dev. 2018, 29, 3440–3455. [Google Scholar] [CrossRef]
- Ai, X.; Wang, L.; Xu, D.; Rong, J.; Ai, S.; Liu, S.; Li, C.; Ai, Y. Stability of Artificial Soil Aggregates for Cut Slope Restoration: A Case Study from the Subalpine Zone of Southwest China. Soil Tillage Res. 2021, 209, 104934. [Google Scholar] [CrossRef]
- Giovannini, G.; Vallejo, R.; Lucchesi, S.; Bautista, S.; Ciompi, S.; Llovet, J. Effects of Land Use and Eventual Fire on Soil Erodibility in Dry Mediterranean Conditions. Forest Ecol. Manag. 2001, 147, 15–23. [Google Scholar] [CrossRef]
- Corella, J.P.; Benito, G.; Wilhelm, B.; Montoya, E.; Rull, V.; Vegas-Vilarrúbia, T.; Valero-Garcés, B.L. A Millennium-Long Perspective of Flood-Related Seasonal Sediment Yield in Mediterranean Watersheds. Global Planet. Change 2019, 177, 127–140. [Google Scholar] [CrossRef]
- Sun, R.; Wu, Z.; Lan, G.; Yang, C.; Fraedrich, K. Effects of Rubber Plantations on Soil Physicochemical Properties on Hainan Island, China. J. Environ. Qual. 2021, 50, 1351–1363. [Google Scholar] [CrossRef]
- Guo, M.; Wang, W.; Kang, H.; Yang, B.; Li, J. Changes in Soil Properties and Resistance to Concentrated Flow across a 25-year Passive Restoration Chronosequence of Grasslands on the Chinese Loess Plateau. Restor. Ecol. 2020, 28, 104–114. [Google Scholar] [CrossRef]








| Research Areas | Year | Vegetable Layer | H | H′ | Jsw | S |
|---|---|---|---|---|---|---|
| Landslide area | 2013 | Arbor | 0.000 | 0.000 | 0.000 | 0 |
| Shrub | 1.475 | 0.718 | 0.823 | 6 | ||
| herbaceous | 2.365 | 0.833 | 0.671 | 34 | ||
| 2022 | Arbor | 1.277 | 0.644 | 0.614 | 8 | |
| Shrub | 3.382 | 0.947 | 0.816 | 63 | ||
| herbaceous | 2.885 | 0.903 | 0.745 | 48 | ||
| Transition area | 2013 | Arbor | 1.196 | 0.671 | 0.863 | 4 |
| Shrub | 1.777 | 0.785 | 0.854 | 8 | ||
| herbaceous | 2.517 | 0.818 | 0.661 | 45 | ||
| 2022 | Arbor | 1.318 | 0.744 | 0.807 | 8 | |
| Shrub | 3.122 | 0.929 | 0.763 | 60 | ||
| herbaceous | 2.712 | 0.882 | 0.708 | 45 | ||
| Non-landslide area | 2013 | Arbor | 1.533 | 0.662 | 0.698 | 9 |
| Shrub | 2.529 | 0.880 | 0.807 | 23 | ||
| herbaceous | 2.437 | 0.778 | 0.623 | 50 | ||
| 2022 | Arbor | 0.336 | 0.117 | 0.161 | 8 | |
| Shrub | 3.264 | 0.941 | 0.834 | 50 | ||
| herbaceous | 2.990 | 0.900 | 0.736 | 58 |
| Index | Membership Function Types | C | a | b |
|---|---|---|---|---|
| Kepic | S-Curve | 0.38 | 0.01 | 0.03 |
| MWD | Anti S-Curve | 0.27 | 1.77 | 4.32 |
| D | S-Curve | 0.19 | 2.20 | 3.51 |
| TN | Anti S-Curve | 0.11 | 1.84 | 5.54 |
| pH | Anti S-Curve | 0.05 | 7.33 | 8.25 |
| Year | Function | C0 | C + C0 | C0/(C0 + C) | A(m) | R2 | RSS |
|---|---|---|---|---|---|---|---|
| 2013 | Gaussian | 1.85 × 10−2 | 2.55 × 10−2 | 72.5% | 19 | 0.158 | 4.78 × 10−4 |
| 2022 | exponential | 8.31 × 10−3 | 1.67 × 10−2 | 49.70% | 23 | 0.105 | 2.16 × 10−4 |
Disclaimer/Publisher’s Note: The statements, opinions and data contained in all publications are solely those of the individual author(s) and contributor(s) and not of MDPI and/or the editor(s). MDPI and/or the editor(s) disclaim responsibility for any injury to people or property resulting from any ideas, methods, instructions or products referred to in the content. |
© 2024 by the authors. Licensee MDPI, Basel, Switzerland. This article is an open access article distributed under the terms and conditions of the Creative Commons Attribution (CC BY) license (https://creativecommons.org/licenses/by/4.0/).
Share and Cite
Zheng, J.; Yan, J.; Chen, Q.; Hu, W.; Zhao, P.; Hou, G.; Wang, Y. Change Characteristics of Soil Erodibility during Natural Restoration in an Earthquake Landslide of Southwestern China. Forests 2024, 15, 1352. https://doi.org/10.3390/f15081352
Zheng J, Yan J, Chen Q, Hu W, Zhao P, Hou G, Wang Y. Change Characteristics of Soil Erodibility during Natural Restoration in an Earthquake Landslide of Southwestern China. Forests. 2024; 15(8):1352. https://doi.org/10.3390/f15081352
Chicago/Turabian StyleZheng, Jiangkun, Junxia Yan, Qiyang Chen, Wangyang Hu, Peng Zhao, Guirong Hou, and Yong Wang. 2024. "Change Characteristics of Soil Erodibility during Natural Restoration in an Earthquake Landslide of Southwestern China" Forests 15, no. 8: 1352. https://doi.org/10.3390/f15081352
APA StyleZheng, J., Yan, J., Chen, Q., Hu, W., Zhao, P., Hou, G., & Wang, Y. (2024). Change Characteristics of Soil Erodibility during Natural Restoration in an Earthquake Landslide of Southwestern China. Forests, 15(8), 1352. https://doi.org/10.3390/f15081352

