Next Article in Journal
Evaluating Mechanical Properties and Suitability of Aspen (Populus tremula L.) Load Bearing Replacements in Historical Constructions
Next Article in Special Issue
Explorations into Accessible Wood Identification in Paraguay: Wood Anatomy of Plinia rivularis and Plinia peruviana
Previous Article in Journal
Spatiotemporal Variations of Vegetation NPP Based on GF-SG and kNDVI and Its Response to Climate Change and Human Activities: A Case Study of the Zoigê Plateau
Previous Article in Special Issue
Qualitative Wood Anatomy Study of Ottobratica and Sinopolese Cultivars of Olea europaea L.
 
 
Font Type:
Arial Georgia Verdana
Font Size:
Aa Aa Aa
Line Spacing:
Column Width:
Background:
Article

Longitudinal Anatomical Variation of Wood in Stem and Branch of Six Forest Species from the Amazon Region and Its Relationship with Wood Specific Gravity

by
Carolina Martínez-Guevara
1,*,
Nancy Pulido-Rodríguez
2,
Bernardo Giraldo Benavides
1 and
Jaime Barrera García
1
1
Amazonian Scientific Research Institute SINCHI, Calle 10 No. 25ª-16, Guaviare 950001, Colombia
2
Laboratory of Woods José Antonio Lastra Rivera, Faculty of Environment and Natural Resources, Francisco José de Caldas District University, Carrera 5 Este # 15-82, Bogotá 111611, Colombia
*
Author to whom correspondence should be addressed.
Forests 2025, 16(1), 33; https://doi.org/10.3390/f16010033
Submission received: 2 November 2024 / Revised: 13 December 2024 / Accepted: 14 December 2024 / Published: 28 December 2024

Abstract

Wood functional traits provide information for the management and sustainable use of species. This study evaluated the wood specific gravity (SG) and nine anatomical characteristics of wood in six sections (three levels of stem height and three orders of the branch) in six species of bioeconomic importance for the Colombian Amazon region: Jacaranda copaia, Virola elongata, Virola peruviana, Cedrelinga cateniformis, Erisma uncinatum, and Cabari macrocarpa. The results showed that low- and medium-SG species have branches with equal or greater SG than the stem. In this group, Erisma uncinatum and Virola peruviana showed no differences between their sections. In contrast, for high-SG species such as Cabari macrocarpa, the relationship was inverse. Fiber thickness correlated mainly with SG, with no differences between sections, except in Cabari macrocarpa. Fiber length decreased in all species in the stem-to-branch direction. The other characteristics varied, suggesting an optimization in the effort of water transport along the tree. These findings infer a potential sustainable use of branches of tree species with low biomechanical variation, such as Erisma uncinatum and Virola peruviana. They also demonstrate the hydraulic and mechanical adaptability of these species, which is relevant when facing climate change scenarios.

1. Introduction

The study of wood anatomy is a key tool in sustainable forest management, as cellular morphology is intrinsically linked to the physiological responses of trees and their potential uses [1]. This xylem tissue performs functions essential for the physiological and metabolic processes of woody plants, such as biomechanical support, water and nutrient transport, and the storage of carbohydrates or secondary chemical compounds. Furthermore, understanding xylem function is crucial in ecosystem ecology, given that the carbon stored in lignified cells constitutes a significant component of global biomass [2].
In different stem sections and branch orders, wood may exhibit anatomical variations that affect the physical and mechanical properties of trees [3,4,5]. These differences also influence global carbon stock estimations [6,7,8,9] and ecophysiological processes, such as the efficiency of water and mineral transport [10]. Therefore, analyzing these variations along the tree can provide a better understanding of the functional adaptations of species [11,12,13,14], particularly in complex ecological contexts like tropical rainforests.
Although the general principles governing these adaptations are known [2,11,15,16,17], knowledge gaps remain regarding the specific mechanisms that enable trees to optimize mechanical support, hydraulic efficiency, and resilience under extreme environmental conditions. The traits influencing the biomechanical functions of species are determined by their evolution and physiology, as well as interactions with their biophysical environment, which shape growth and plasticity [18].
Among functional traits, wood specific gravity is a key parameter for understanding the mechanical and physiological strategies of trees. This parameter shows significant variation between the trunk and branches: some studies report higher densities in branches [4,5], while others find higher densities in the trunk [6,7,19] or equivalent relationships [20]. These differences appear to be determined by factors such as individual trees, species, or site conditions [19]. Specifically, in Erisma uncinatum, a 13% decrease in wood specific gravity was recorded with increasing commercial tree height [21]. However, for most species in tropical rainforests, intraspecific variations in functional traits remain poorly understood, limiting the interpretation of their biomechanical adaptations.
Hydraulic architecture, on the other hand, can exhibit patterns that seem species-independent [22], such as reduced hydraulic conductivity in the root–stem–branch direction [11,23]. Nevertheless, these paradigms have been questioned by recent studies, suggesting more complex variation depending on the tree position, environmental conditions, and biogeographic regions [24,25]. Consequently, these models need to be reconsidered and expanded for tropical species, as they may balance traits to favor hydraulic efficiency over mechanical resistance or cavitation tolerance [11,12], in response to environmental conditions such as water stress and wind disturbance [26].
In this context, wood anatomy plays a crucial role in plants’ ability to remain functional under changing environmental conditions. According to [27], the relationships between anatomical traits are modulated by both ontogenetic and biophysical environmental factors. Their analysis of seedling performance under varying drought levels revealed that trade-offs between fibers and parenchyma are more closely related to survival than growth in dry environments. However, these trade-offs vary with changes in moisture and temperature, inducing a balance in resource allocation among xylem cell types responsible for specific functions, as shown by [28] in their evaluation of 12 wood functional traits across three forest types in Colombia.
Recognizing the importance of analyzing these functional adaptations, six ecologically and economically significant species vital to local communities in the Colombian Amazon were selected. According to data from the Ventanilla Única de Trámites Ambientales (VITAL) of the Colombian Ministry of Environment [29], 2,817,834.89 m3 of timber was mobilized between 2018 and 2023, highlighting species such as Cedrelinga cateniformis (11,684.33 m3), Jacaranda copaia (9576.51 m3), Erisma uncinatum (5393.38 m3), Virola elongata (2985.3 m3), and Clathrotropis brachypetala (237.95 m3). Among them, C. cateniformis, E. uncinatum, and J. copaia rank among the 30 most traded forest species in Colombia [30].
C. cateniformis is highly valued for its economic and commercial relevance [31], while E. uncinatum stands out for its wood quality and abundance within the family Vochysiaceae [32,33]. Meanwhile, J. copaia is prioritized due to its rapid growth and high regional demand [34], and C. macrocarpa is recognized for its ecological dominance in Forest Management Plans in the northern Amazon [35].
Many species of the genus Virola, including V. elongata and V. peruviana, are abundant in northern Colombian Amazon forests [36,37,38] and play a fundamental role for local communities, as they are widely used in the construction of homes and other structures [36,39,40]. Additionally, these species have notable ecological value as they contribute significantly to the aboveground biomass of Amazonian forests [41] and serve as an important source of seeds [34,39].
Despite their importance, gaps persist in understanding how these species simultaneously optimize biomechanical, hydraulic, and storage traits. Addressing these questions will not only enhance knowledge of their ecology and functionality but also promote the sustainable and efficient use of their resources, aligning with the principles of sustainable forest management.
Thus, this study evaluated the longitudinal anatomical variation associated with support, conduction, and storage across six sections corresponding to the lower, middle, and upper stem levels, as well as the first, second, and third branch orders of six forest species significant to the Amazon region and analyzed the effects of these traits on wood specific gravity. The following hypotheses were proposed: (I) There is a positive relationship between specific wood gravity and support traits, mainly fiber length and thickness, and a negative relationship with storage and conduction traits. (II) There are no differences in the values of wood specific gravity between the stem and the branch in the species that belong to forest trials since they are under controlled growth conditions. (III) Fiber thickness varies significantly among species, decreasing along the stem from base to apex and then between branches from the first to the third order. (IV) Significant differences are greater among traits associated with mechanical support.

2. Materials and Methods

2.1. Study Area

The samples were collected in August and November 2023 at the El Trueno Experimental Station of the Sinchi Institute, located in San Antonio, municipality of El Retorno, in the department of San José del Guaviare, Colombia (2°24’ N, 72°43’ W). The Experimental Station covers an area of 119 hectares, including 12.5 hectares dedicated to forest trials and 87.3 hectares designated as conservation areas for residual upland forests [19,20]. Between 2019 and 2023, the average annual precipitation was 2867.5 mm, with the lowest recorded in 2023, at 2253.6 mm. The average temperature for 2023 was 26.7 °C, with June and September registering the lowest (26.1 °C) and highest (27.3 °C) monthly averages, respectively [42].

2.2. Species Selection

Five sample trees per species were selected following the methodology proposed by [43], from Jacaranda copaia (Aubl.) D. Don, Cedrelinga cateniformis (Ducke) Ducke, Virola peruviana (A. DC.) Warb., Virola elongata (Benth.) Warb., Erisma uncinatum Warm., and Cabari macrocarpa (Ducke) Gregório & D.B.O.S. Cardoso (basionym of Clathrotropis macrocarpa Ducke). Each tree was required to exhibit good phytosanitary conditions, a Diameter at Breast Height (DBH) ≥ 10 cm [7], and similar dasometric attributes (Table 1).
The selected species are significant in the Amazon region due to the ecosystem services they provide and their widespread use by local communities. The sampled individuals were located within forest trials for adaptation and growth evaluation, established in open-field systems between 1982 and 1984 at the El Trueno Experimental Station. Exceptions include C. macrocarpa and V. elongata, which are part of the secondary forest matrix within the phenological and growth evaluation blocks named “Cacao” and “Phenología VI.” C. cateniformis and J. copaia are part of the “Quince Especies” trial, while V. peruviana is part of “Indígenas I” and E. uncinatum is part of “Indígenas II” [44,45]. It is important to note that the information regarding the location and context of the sampled individuals is provided as part of the qualitative description of the study sites. Therefore, the effect of age on the properties and structure of the wood will not be considered in this study’s analysis.

2.3. Collection of Plant Material by Species

For each individual tree, six samples were assessed: three sections corresponding to the stem (lower, middle, and upper part of the commercial height) and three branch orders (first, second, and third) for a total of 180 processed samples (6 species × 5 individuals × 6 samples). Wood core samples of 5 mm in diameter and 10 cm in length were extracted from the stem using a Pressler auger, at stem heights of 1.3 m, 6.0 m, and 9.0 m, except for C. macrocarpa, which was assessed at 1.3 m, 3.0 m, and 5.0 m. The bark was removed along with any elements attached to it [7,20,28,46]. Samples located above 1.3 m were collected by a certified height professional using a harness. Samples of active xylem were taken, and sapwood was measured [7].
Subsequently, lignified branches exposed to sunlight were harvested with a trimmer at heights exceeding 8.0 m, with a branch insertion distance of 30 cm for each order. The wood sections measured 12 cm in length, with an average diameter of 6 cm in the first-order branches and 3 to 2 cm in the second and third orders, respectively [7,47,48]. Wood core samples were stored in straws with sealed ends, while branches with bark and pith larger than 1 mm in diameter were stripped of these components [3,6,19,20,43,47]. All samples were kept in a water-filled container until they were transported to the laboratory. Botanical material collected during the sampling process was identified at the Colombian Amazon Herbarium (COAH).

2.4. Sample Processing in the Lab

2.4.1. Determination of Wood Specific Gravity in Branch and Core Samples

The plant material was processed in the Ecophysiology Laboratory of the Sinchi Institute, located in the department of San José del Guaviare, Colombia. The samples were saturated in water for 48 h to achieve rehydration. Branch samples were divided into two sections: one measuring 10 cm in length for specific gravity (SG) determination, and the other measuring 2 cm for anatomical analysis [3].
The basic specific gravity of the wood was calculated as the ratio of the oven-dry mass (moisture content = 0%) to the green volume (moisture content = fiber saturation point), relative to the density of water (1.000 g/cm3 at 4.4 °C) [19]. The green volume was determined using the water displacement method [43]. Subsequently, the samples were dried in an oven at 105 °C for 72 h until a constant dry weight was achieved [19]. Specific gravity measurements were conducted on active wood samples, represented by sapwood from both the stem and branches.

2.4.2. Anatomical Analysis

The anatomical analysis was assessed on the active tissue [7]. From the cores, 1 cm long sections were taken, while from the branches, 1 cm3 wood cubes were cut. The boiling water method was used to soften low- and medium-SG woods (≤0.60); this consisted of leaving them for 6 to 7 h in the water. For C. macrocarpa, which has high-SG wood (>0.60), the samples were soaked in water for three weeks, followed by processing in a pressure cooker at 50 kPa and approximately 130 °C for 10 h [49,50]. Microsections were prepared using a Leica SM2010R sliding microtome, with the declination angle set to 15° and the cutting angle adjusted to less than 0° for high-SG woods and between 0° and 5° for low- and medium-SG woods [51]. Leica DB80LS low-profile disposable blades were used, with a cutting thickness ranging from 10 to 20 μm.
The wood tissues were stained with a drop of safranin for 90 s. Subsequently, the microsections were dehydrated by sequentially washing with 50% and 90% ethanol using a 500 mL wash bottle until excess dye was removed, allowing for a 10 min interval between each wash. Clarification was performed by applying a drop of xylol. For mounting, the dehydrated tissue samples were placed on clean glass slides, two drops of Eukitt® mounting medium were added on top, and a second glass slide was placed at an angle. The slides were then dried in the laboratory at room temperature for 72 h under a constant weight of 200 g to prevent bubble formation [47].
The maceration process was performed following the methodology of [52]. Thin wood chips, less than 1 mm in the longitudinal direction of the fibers, were obtained from both core samples and branches. For the core samples, a 2 cm section was used, while for the branches, 1 cm3 cubes previously prepared for anatomical cuts were utilized. The wood chips were stored in glass jars containing a solution of glacial acetic acid and hydrogen peroxide (1:1). The samples were then placed in an oven at 60 °C until a white precipitate formed, and the xylem elements were fully individualized. Subsequently, the samples were stained with safranin solution for 24 h to ensure proper visualization.
Photographic recording was performed using an Olympus CX43 optical microscope equipped with an Olympus SC50 digital camera at a resolution of 2560 × 1920 pixels. Biometric characteristics were measured using ImageJ software, version 1.54g [53].

2.5. Parameter Selection

The parameters were selected based on the established relationship between specific gravity, longitudinal variation within the tree, and its effect on the species’ ecophysiology. The number of xylem element measurements was conducted following the methodology outlined in [54]. Table 2 presents the evaluated wood section (transverse, tangential, or macerated), the microscope objective used, and the corresponding units.
The fiber lumen fraction (Lf) was calculated as the ratio of the internal diameter or lumen (Di) over the total fiber diameter (Dt) (Lf = Di/Dt) [55]. On the other hand, theoretical hydraulic conductivity (Kh) was determined based on the Hagen–Poiseuille law (1), where Vdi is the vessel diameter in meters and η is the water viscosity index (1.002 × 10−9 MPa−1 × s−1 at 20 °C) [54].
K h = π V d i 4 128 η

2.6. Data Analysis

The terminology of anatomical features was followed according to the parameters established by the International Association of Wood Anatomists [56]. A two-factor analysis of variance (α = 0.05) followed by a Tukey test (α = 0.05) was performed to determine if significant differences existed between species, sections, and their interactions. Subsequently, a backward stepwise regression analysis with a maximum value for retention of 0.10 was carried out to assess the predictor variables that significantly influence the specific gravity in both the stem and the branch. The analyses were carried out using Infostat statistical software, version 2017.1.2 [57] and the graphs were made with RStudio version 4.4.1 [58].

3. Results

3.1. Longitudinal Variation of the Wood Between the Stem and the Branches

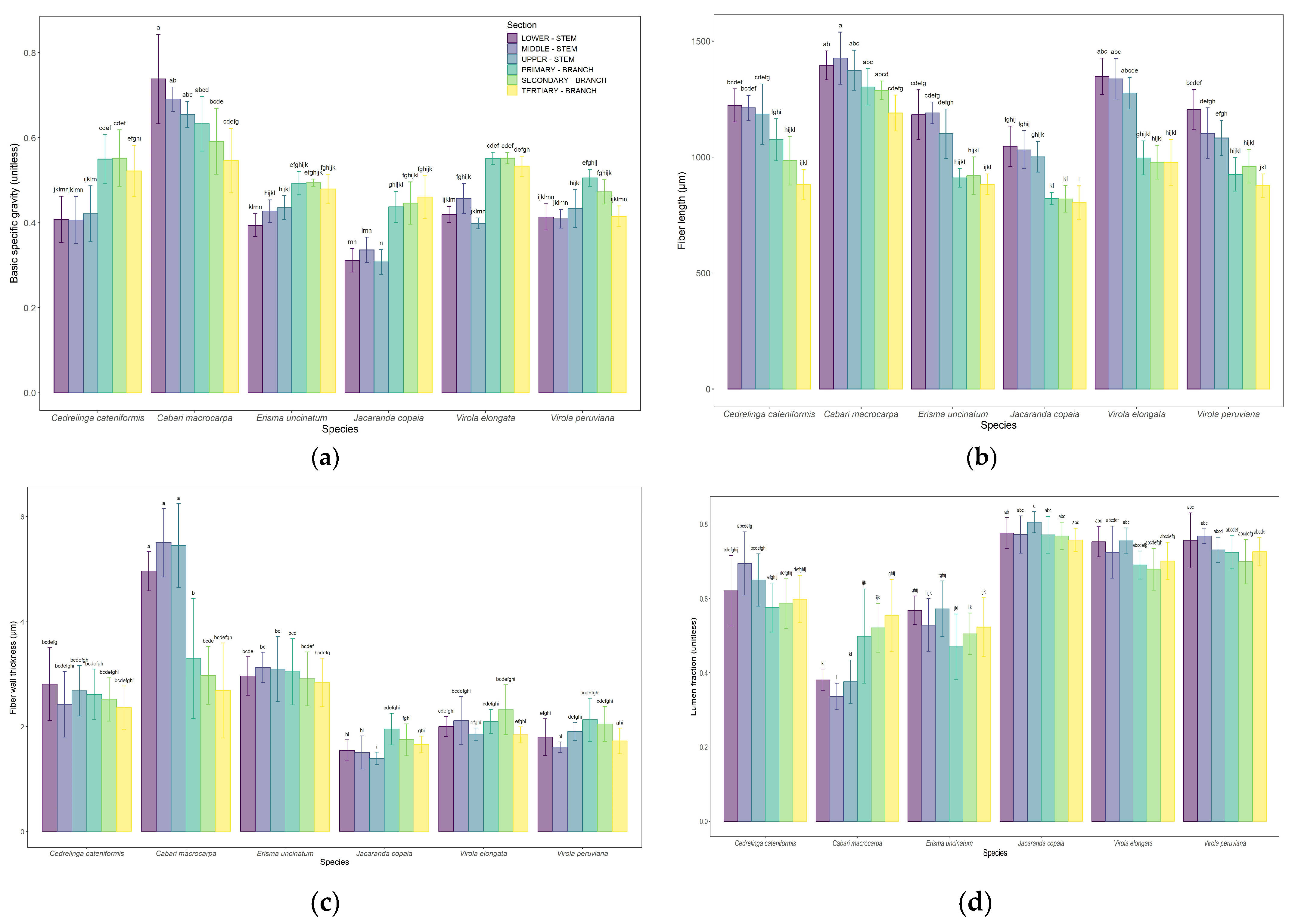
The analysis results are presented in two complementary formats: Table 3 displays the mean values and standard error obtained from a two-factor analysis of variance, followed by Tukey’s multiple comparisons test, broken down by species and section for each variable. In addition, Figure 1 graphically illustrates the interaction results, providing a visual representation of the statistical differences between sections and between species for each analyzed variable. The results of the analyses for each variable are described in detail below.
Wood specific gravity: Contrary to the initial approach, only E. uncinatum and V. peruviana showed no differences. In C. cateniformis, J. copaia, and V. elongata, the WSG of branches was statistically higher than that of the stem, while in C. macrocarpa, this relationship was inverse.
Fiber length: There was no variation in the stem sections. In the branches, only C. cateniformis displayed differences between the first and third order. However, the values for the stem sections were significantly higher than those of the branches.
Fiber wall thickness and lumen fraction: No differences were observed between most species and sections; only for C. macrocarpa, significant differences were observed, with greater fiber wall thickness in the stem than in the branch orders, and the inverse in the lumen fraction. This was contrary to our hypothesis, since it was expected that all species would display higher values of fiber wall thickness at the base of the stem, with a significant decrease towards the apex, due to a greater need for mechanical support of the tree.
Vessel density: No differences were observed between C. macrocarpa, E. uncinatum, and J. copaia. However, in C. cateniformis, V. elongata and V. peruviana vessel density significantly increased from the three levels of the stem to the second- and third-order branches.
Vessel diameter: C. macrocarpa and V. elongata showed no differences. C. cateniformis and E. uncinatum displayed differences between each of the stem sections and the orders of the branches, while in J. copaia and V. peruviana, these differences were observed only in the second- and third-order branches, with higher values for the stem.
Theoretical hydraulic conductivity: C. cateniformis displayed differences between the stem sections and the three orders of the branch and E. uncinatum between the middle stem and the secondary branch. In both cases, the values for the stem were higher.
Intervessel pit diameter: C. cateniformis showed differences between the three stem sections and the third-order branches, E. uncinatum displayed differences between the three stem sections and the second-order branches, and C. macrocarpa displayed differences between the three branch orders and the upper stem section. The other three species did not show any differences.
Ray height: In all species except C. cateniformis, there were statistically significant higher values in the lower stem in comparison to the third-order branch.
Ray width: In C. macrocarpa, differences were displayed between the lower and middle stem and the primary and secondary branch. In J. copaia, differences were observed between the lower/upper stem and the third-order branch. Lastly, V. peruviana displayed differences between the three sections of the trunk and the tertiary branch.
Both the intervessel pit diameters and rays showed differences without a specific pattern of variation, although in general, higher values were observed in the stem sections in comparison to the branch orders. In summary, disparity was observed in at least one characteristic of each type of functional classification, which indicates that the main differences were not exclusively observed in the characteristics associated with the support.

3.2. Stepwise Regression Between Anatomical Variables and Wood Specific Gravity

In the models obtained for wood specific gravity computed using stem and branch data, the anatomical characteristics of fiber thickness and fiber length significantly predict wood specific gravity; their T-statistic value is higher in each case, suggesting coefficients of greater significance in the model. These variables show a directly proportional relationship, which is corroborated by the data found for the species (Table 4, see Figure A1a–c in the Appendix A). This responds to our hypothesis posed at the beginning for the characteristics associated with the support, allowing us to obtain reliable results on woods’ properties by assessing their anatomical conditions.
In these regression models, relationships were identified between wood specific gravity and anatomical conduction and storage characteristics: the vessel density and ray width of the stem, as well as the vessel diameter and ray height of the branch. On the other hand, although both models are statistically significant, the wood specific gravity of the stem explains 82% of the variation between the four parameters, while it only explains 52% for the branches. Table 4 shows the values of the coefficients and statistical parameters of the model, suggesting relationships between wood specific gravity and anatomical variables.

4. Discussion

4.1. Biomechanical Support: Its Functional Relationship and Use of Forest Species

The values of wood specific gravity obtained from the stem are within the range of those reported in [59,60], as well as the averages of the anatomical parameters assessed for the species and at the genus level in the particular case of Virola [59,61].
In general, higher values were found for wood SG in the branches in comparison to the stem in low- and medium-SG species, which has been reported by [4,5,6,62,63]. This can be explained by the following: (1) the attachment of older branches to non-vertical tension (Panshin and de Zeeuw, 1980 cited in [6,19]); (2) the higher proportion of reaction wood (Tsoumis, 1991 cited in [4]); (3) the slower growth of branches in comparison to stem wood, resulting in the formation of thicker cell walls [4,5]; or (4) the presence of juvenile wood in young branches [19]. However, in [7,20], an inverse behavior was observed, as was the case in the results observed for C. macrocarpa. This can be attributed to the fact that trees with higher specific gravity may have relatively less dense branches [4,6,63].
Moreover, [63] found that there is an influence between canopy position and stem-to-branch SG differences. Canopy-dominant trees had denser branches than stems, whereas understory trees showed the opposite behavior. This behavior matches that of C. cateniformis, V. elongata, and J. copaia, which were in forestry trials and, therefore, had greater light availability, similar to canopy species as they reached greater heights and had larger crown diameters. According to [63], these species may need denser branches for mechanical safety/support, as they are more exposed to external forces such as wind. In that way, they can withstand stress better without suffering damage that could lead to embolism (physiological dysfunction under water stress).
E. uncinatum and V. peruviana did not display this behavior, possibly because among the medium-SG species, they had the lowest average values of crown diameter, indicating a lower structural complexity to transport water along the tree [63]. With these elements of analysis, it is possible to suggest a silvicultural management strategy through formative pruning of the species used in forestry trials to reduce the size of their crowns, and to influence the development of branches with less variability in their SG. Therefore, this will allow to use a greater portion of the total volume, taking into account that 50% of the used parts of the trees are branches, crowns, and trunks [62]. This helps to establish that silvicultural management is a fundamental need to grow straight trunks and to obtain greater volumes of wood per tree by using a large percentage of its branches.
C. macrocarpa, a high-SG species, located in the forest matrix with less light, invests in maintaining the strength of the stem. This allows less dense branches to bend or break to avoid stem breakage. In addition, as the stem is more hydraulically efficient, it does not require denser branches to supply these water needs, and this is confirmed by the fact that it did not display significant changes in the diameter and density of the vessel [63].
On the other hand, for our study, the analysis carried out showed that the biomass area can be over- or underestimated [7,10] because it depends on the species, their structure, sections, and orders of stems and branches. This also suggests the need for knowledge on a greater number of species in natural forests and the analysis of their behavioral patterns.
Fiber length was the only variable that showed significant differences between all species. The higher values reported for stems in comparison to branches are similar to those reported in [7,10,22,64,65,66,67]. The length decrease in the primary to tertiary branch direction may be due to variations in its diameter [64]. The highest values observed in the stem can be explained by a higher proportion of mature wood, a higher concentration of secondary compounds, and the need to withstand lateral wind forces [7].
These higher values in the stems imply a higher mechanical strength at the base to tolerate static loads and its own weight [16,22]. Moreover, these higher values can be attributed to a mature cambium that can produce longer cells [65]. These elements of analysis can have a high impact on forest harvesting and when establishing ranges of the stem cross-sections for each of the different structural conditions. This would allow to differentiate species, stem cross-sections, and lead to more competitive prices for harvested woods.
Fiber thickness did not show variations between sections and species. Variation was only observed for C. macrocarpa, a high-SG tree that requires a greater investment in the woody tissue of the stems for its mechanical support, as mentioned previously [2,63]. According to [10,68], the decrease in the fiber length in the base to apex direction does not have a great impact on mechanical strength. In our study, fiber thickness, which has been previously indicated to influence mechanical strength, did not display variations between the stems and branch portions studied, which is similar to the findings of the stem regression model, where this variable is the most influential.
This main condition assessed between SG and fiber thickness, in which differences are not displayed in the sections of the stems and branches, specifically for the species E. uncinatum and V. peruviana, increases the probability of not having disparity in the natural durability and workability of both types of wood. This is especially relevant for E. uncinatum since, within the SG regression model, there is an effect of vessel density and ray width, two parameters that did not show significant differences. Therefore, since they are two species of the Amazon of regional importance, the use of branches can be a complement to stem wood for value-added products [4,62]. Regarding the lumen fraction, an inversed behavior in comparison to fiber thickness was observed [3].
On the other hand, the major influence of fiber thickness and length on both stem and branch wood specific gravity has also been reported in [2,3,4,5,64]. Moreover, the effect of characteristics related to vessel diameter and density, as well as ray height and width, explains wood heterogeneity in the angiosperms [69].
Taking into account that a plant’s main investment is the stem, since it favors the formation of organs that represent years of growth and carbohydrate investment in comparison to small and distal organs that are dispensable [15], it is likely that the parameters evaluated showed smaller differences at the longitudinal level in the stem with respect to the branch, and consequently, its regression model would explain better the variability of wood specific gravity.
It is important to mention that there were no significant differences in the three levels of the stem for wood specific gravity and for the anatomical parameters that have an effect according to the regression model, mainly on fiber thickness. This could suggest a degree of uniformity of wood behavior along the stem during processing and use, without forgetting the relationship between SG and anatomical and mechanical properties [69].

4.2. Relationship Structure—Hydraulic Function of the Xylem

For the vessel diameter parameter, there is a trend from a higher condition to lower condition in the direction of stem sections to branch orders [25]. It is also observed that the density of the vessels behaves inversely to the vessel diameter (Figure A1d–f), which can be explained by the occupation of spaces in the xylem. This indicates that there is a compensation and that water conduction is similar along the tree [65]. This structure model analyzed for the vessels, which included stems of six species with larger diameters and low vessel densities, indicates that there is greater efficiency in water transport, while in the branches, which display inverse conditions, there is hydraulic security [10,22,63] that guarantees the transport of resources to the leaves [7].
Regarding the diameter and density of the vessel, the most abrupt change between the sections of the stem with respect to the branch was displayed by C. cateniformis, which had the highest values in total height, allowing to establish the possible relationship between the variation of tree height and vessel diameter (hypothesis of Olson et al., 2013 cited in [2,67]) (Figure 1f).
For the species C. cateniformis and E. uncinatum, the vessel diameter showed a significantly abrupt reduction between the upper stem and the first-order branch. This suggests the presence of “hydraulic bottlenecks”, as mentioned by [11], which affirms that there is a strong decrease in vessel diameter above the branch junctions. However, this decrease in vessel diameter above the branch junctions is not a constant characteristic of the species and, when it happens, it can be compensated by other functional characteristics, reducing its impact on hydraulic conductivity [22]. The presence of these “hydraulic bottlenecks” may be one reason why C. cateniformis and E. uncinatum displayed significant differences in hydraulic conductivity between the stem–branch sections. However, this high variability in their hydraulic characteristics suggests a greater capacity to withstand drought [70].
On the other hand, there is a theoretical model WBE (West Brown and Enquist) (cited in [25,67]) about the decrease in vessel diameter in the axial direction and inverse in vessel density. These behaviors were observed in C. cateniformis and V. peruviana. This suggests that a continuous water flow along the tree may be influenced by other factors such as pitting, vessel grouping, and paratracheal parenchyma. For example, for the E. uncinatum and J. copaia species, which do not display differences in vessel density, it is possible that water extraction from embolized vessels is carried out through secondary metabolites that can be identified thanks to a greater amount of parenchyma, which shows in wide bands in E. uncinatum (Figure A1g). On the other hand, higher and wider rays in J. copaia would contribute to this restoration due to hydrolyzed starch sugars that help recover vessels from embolization [25,65]. C. macrocarpa did not display significant differences regarding both vessel density and diameter, corroborating its greater investment in mechanical support, although its resistance to cavitation may also be influenced by paratracheal parenchyma (Figure A1h) and wider rays.
Although vessel grouping was not assessed, it has been mentioned that the presence of multiple radial vessels reduces mechanical resistance and embolism. Therefore, it can be inferred that V. peruviana and V. elongata display this behavior because they have this anatomical feature to a greater extent (Figure A1d–f), allowing water to flow between adjacent vessels [22,65]. Moreover, being the species with the highest density of vessels both in the sections of the stem and branches, they are more resistant to water stress [70].
The species C. cateniformis showed the highest values of vessel diameter, indicating the highest theoretical hydraulic conductivity (Kh), as these two parameters have a direct relationship. The higher values in the stem indicate that there is a lower investment in mechanical resistance [22] and greater hydraulic compensation [63], which in turn may help to explain why the wood SG in the stem is lower than that of the branches in this species.
The absence of significant differences for this parameter between the sections and the other species suggests that conduction is similar throughout the tree. It also infers that there is a compensation based on the anatomical characteristics of each species that reduces the cost of water transport to the leaves [65]. The decrease in Kh in the branches of smaller diameter in comparison to those of the stem in E. uncinatum suggests competition for water resources that is necessary in species with greater apical control [15].
The intervessel pit diameter displayed statistically lower values in the secondary and tertiary branches, while there were no differences between the sections of the stem. This decrease towards the distal sides was also reported by [25]. The hydraulic resistance of the small branch pits may be higher than in the older regions of the trees, suggesting that it would help the plants to respond to the canopy microenvironments [71]. Moreover, this functional characteristic has been reported to be important in preventing cavitation, as it hinders the passage of air bubbles [7,15,22,72]. In particular, the presence of vestured pits, as is the case for E. uncinatum, C. cateniformis, and C. macrocarpa (Figure A1i), which were the only species with significant differences between the stem–branch sections, helps to reduce the vulnerability to cavitation or repair the embolism through their lignified structure [11,73].
Regarding the ray height and width, the highest values were found in the stem sections rather than in the branches. This has been reported in [3,22,66]. Larger rays, thick-walled fibers, and narrow diameter vessels in the stem influence heavily the mechanical resistance of highly branched and wide-crowned trees to wind and rain [67], as observed in C. macrocarpa. The presence of narrow and smaller rays in C. cateniformis suggests a lower resistance to bending and shearing. However, the fact that no differences were found between sections and between fiber thickness suggests a uniform behavior in its mechanical resistance along the stem and branches, as well as a strategy to maximize resource use efficiency and maintain the essential functions of nutrient storage and structural support.
In terms of differences between species, it was observed that V. peruviana, V. elongata, and J. copaia displayed a higher number of vessels per mm2, but with a smaller vessel diameter, a lower intervessel pit diameter, and lower fiber thickness compared to the other species. E. uncinatum, C. cateniformis, and C. macrocarpa exhibited the highest values of fiber thickness, which translates into higher SG, and these are attributes that mainly determine the higher mechanical strength of the wood (Table 4) [3]. The species C. cateniformis stood out with the lowest values in terms of height and ray width, but showed the highest values in vessel diameter. At the hydraulic level, a lower efficiency of water transport due to smaller rays could be suggested, since it has been shown that rays influence conductivity by connecting the inner cortex and xylem [74]. However, it could be more efficient in axial transport due to its large-diameter vessels, which despite being more vulnerable to cavitation, can have an advantage during dry periods with narrower vessels in the branches [47,70] and the presence of paratracheal parenchyma, maintaining the plant’s water storage.

5. Conclusions

The species with low and medium wood SG present higher SG values in the branches than in the trunk, except for E. uncinatum and V. peruviana, which showed no differences between their sections, suggesting a uniform or even higher SG in the branches compared to the stem. For the high-SG species C. macrocarpa, the relationship was reversed. The main significant effect on SG was the fiber wall thickness, with no differences between sections, as well as the lumen fraction, except for C. macrocarpa, which showed differences in the trunk. In general, regarding anatomical characteristics, all species showed variations in fiber length, decreasing from stem to branch. Vessel diameter and frequency showed higher values in the stem and branches in each case, especially for C. cateniformis and V. peruviana. Hydraulic conductivity showed differences only in C. cateniformis across all sections and in E. uncinatum between the middle stem and secondary branch. Intervessel pit diameter, ray height, and ray width varied in some species, without a specific pattern.
The uniformity observed in the SG and fiber wall thickness between the stem and branch sections in E. uncinatum and V. peruviana strengthens their potential for utilizing a larger total tree volume, suggesting natural durability and consistent workability in both types of material, especially when the primary effect on SG is fiber wall thickness. This behavior is particularly relevant for E. uncinatum, where vessel frequency and ray width also showed no significant variations, and were identified as key factors within the multiple regression model for explaining the SG. This not only reinforces its position as a strategic species for sustainable use in the Amazon region, but also maximizes economic performance by reducing waste.
Variation in wood SG may also be influenced by crown height and diameter, which at larger scales, would require an increase in structural complexity at the anatomical level for water transport, to compensate for both water stress and structural support against external forces. Therefore, in low- and medium-SG species used in forestry trials, as could be seen in E. uncinatum and V. peruviana, greater apical control or a reduction in crown size could have an impact on hydraulic compensation. It could also decrease the variability of branch SG, allowing it to be a complement to wood extracted from the stem for value-added products.
Plants develop strategies through their anatomical characteristics to reduce the cost of water transport. This explains better why these species have the capacity to face cavitation and drought under climate change scenarios. They develop more efficient stems and branches with greater hydraulic security or through the presence of paratracheal parenchyma, larger rays, and vestured pits.

Supplementary Materials

The following supporting information can be downloaded at: https://www.mdpi.com/article/10.3390/f16010033/s1, Data: Mean values per species, sections, and individuals.

Author Contributions

Conceptualization, C.M.-G. and N.P.-R.; Data curation, C.M.-G.; Formal analysis, C.M.-G.; Funding acquisition, J.B.G.; Investigation, C.M.-G.; Methodology, C.M.-G., N.P.-R. and B.G.B.; Project administration, B.G.B.; Resources, B.G.B. and J.B.G.; Software, C.M.-G.; Supervision, B.G.B.; Validation, C.M.-G., N.P.-R. and B.G.B.; Visualization, C.M.-G.; Writing—original draft, C.M.-G.; Writing—review and editing, N.P.-R., B.G.B. and J.B.G. All authors have read and agreed to the published version of the manuscript.

Funding

This research was funded by GEF “Forest Conservation and Sustainability in the Heart of the Colombian Amazon (AF2)” funded by the World Bank under its Second Additional Financing (AF2) for the project: P144271, P158003, where the World Bank acts as the implementing agency of the Global Environment Facility (GEF) Fund.

Institutional Review Board Statement

Not applicable.

Informed Consent Statement

Not applicable.

Data Availability Statement

Data are contained within the article and Supplementary Materials.

Acknowledgments

Thanks to Professor Orlando Martínez for his guidance in the statistical analysis. To Phavlevi Díaz, Hilda Betancurt, Marisol Betancur, Armando Lucena, “Gato” Heiler, and Ismael Murcia for their support in obtaining the samples from the field and for their work in the lab.

Conflicts of Interest

The authors declare no conflicts of interest.

Appendix A

Figure A1. (ac) differences in fiber wall thickness between low (J. copaia)-, medium (C. cateniformis), and high-SG (C. macrocarpa) woods, respectively (scale 20 µm); (df) differences in vessel density and diameter in V. peruviana for first-, second-, and third-order branches (scale 500 µm); (g,h) wide-banded parenchyma in E. uncinatum and C. macrocarpa (scale 500 µm); (i) vestured pits in C. macrocarpa (scale 20 µm).
Figure A1. (ac) differences in fiber wall thickness between low (J. copaia)-, medium (C. cateniformis), and high-SG (C. macrocarpa) woods, respectively (scale 20 µm); (df) differences in vessel density and diameter in V. peruviana for first-, second-, and third-order branches (scale 500 µm); (g,h) wide-banded parenchyma in E. uncinatum and C. macrocarpa (scale 500 µm); (i) vestured pits in C. macrocarpa (scale 20 µm).
Forests 16 00033 g0a1aForests 16 00033 g0a1b

References

  1. Palacios-Juárez, H.; Lomelí-Ramírez, M.G.; Zamora-Natera, J.F. La estructura interna de la madera: Herramienta para manejo y aprovechamiento de los recursos forestales. In Los Recursos Forestales del Occidente de México: Biodiversidad, Manejo, Producción, Aprovechamiento y Conservación. Tomo II; Amaya Ediciones: Guadalajara, México, 2013; pp. 4–15. [Google Scholar]
  2. Chave, J.; Coomes, D.; Jansen, S.; Lewis, S.; Swenson, N.; Zanne, A. Towards a Worldwide Wood Economics, Spectrum. Ecol. Lett. 2009, 12, 351–366. [Google Scholar] [CrossRef] [PubMed]
  3. Ziemińska, K.; Butler, D.W.; Gleason, S.M.; Wright, I.J.; Westoby, M. Fibre wall and lumen fractions drive wood density variation across 24 Australian angiosperms. AoB Plants 2013, 5, plt046. [Google Scholar] [CrossRef]
  4. Dadzie, P.K.; Amoah, M.; Frimpong-Mensah, K.; Shi, S.Q. Comparison of density and selected microscopic characteristics of stem and branch wood of two commercial trees in Ghana. Wood Sci. Technol. 2016, 50, 91–104. [Google Scholar] [CrossRef]
  5. Dadzie, P.K.; Amoah, M.; Ebanyenle, E.; Frimpong-Mensah, K. Characterization of density and selected anatomical features of stemwood and branchwood of E. cylindricum, E. angolense and K. ivorensis from natural forests in Ghana. Eur. J. Wood Wood Prod. 2018, 76, 655–667. [Google Scholar] [CrossRef]
  6. Sarmiento, C.; Patiño, S.; Paine, C.T.; Beauchêne, J.; Thibaut, A.; Baraloto, C. Within-individual variation of trunk and branch xylem density in tropical trees. Am. J. Bot. 2011, 98, 140–149. [Google Scholar] [CrossRef]
  7. Pulido-Rodríguez, E.; López-Camacho, R.; Torres, J.; Velasco, E.; Salgado-Negret, B. Traits and trade- offs of wood anatomy between trunks and branches in tropical dry forest species. Trees 2020, 34, 497–505. [Google Scholar] [CrossRef]
  8. Castillo-Figueroa, D.; González-Melo, A.; Posada, J.M. Wood density is related to aboveground biomass and productivity along a successional gradient in upper Andean tropical forests. Front. Plant Sci. 2023, 14, 1276424. [Google Scholar] [CrossRef]
  9. González-Melo, A. Radial variations in wood density, and their implications for above-ground biomass estimations, in a tropical high-Andean forest. Dendrobiology 2021, 86, 19–28. [Google Scholar] [CrossRef]
  10. León, W. Anatomía xilemática de fuste y ramas de Theobroma cacao L. (Malvaceae: Byttnerioideae). Ernstia 2015, 25, 1–17. [Google Scholar]
  11. Tyree, M.T.; Zimmermann, M.H. Xylem Structure and The Ascent of Sap; Springer: Berlin, Germany, 2002. [Google Scholar] [CrossRef]
  12. Pratt, R.B.; Jacobsen, A.L. Conflicting demands on angiosperm xylem: Tradeoffs among storage, transport and biomechanics. Plant Cell Environ. 2017, 40, 897–913. [Google Scholar] [CrossRef]
  13. Carlquist, S. Comparative Wood Anatomy: Systematic, Ecological, and Evolutionary Aspects of Dicotyledon Wood; Springer: New York, NY, USA, 2001. [Google Scholar]
  14. Zimmermann, M.H. Hydraulic architecture of some diffuse-porous trees. Can. J. Bot. 1978, 56, 2286–2295. [Google Scholar] [CrossRef]
  15. Tyree, M.T.; Ewers, F.W. The hydraulic architecture of trees and other woody plants. New Phytol. 1991, 119, 345–360. [Google Scholar] [CrossRef]
  16. Niklas, K.J. Plant Biomechanics: An Engineering Approach to Plant Form and Function; University of Chicago Press: Chicago, IL, USA, 1992. [Google Scholar]
  17. Sperry, J.S.; Meinzer, F.C.; McCulloh, K.A. Safety and efficiency conflicts in hydraulic architecture: Scaling from tissues to trees. Plant Cell Environ. 2008, 31, 632–645. [Google Scholar] [CrossRef] [PubMed]
  18. Fournier, M.; Stokes, A.; Coutand, C.; Fourcaud, T.; Moulia, B. Tree biomechanics and growth strategies in the context of forest functional ecology. In Ecology and Biomechanics: A Mechanical Approach to the Ecology of Animals and Plant; Herrel, A., Speck, T., Rowe, N., Eds.; Taylor and Francis Group: Boca Raton, FL, USA, 2006; pp. 2–25. [Google Scholar]
  19. Williamson, G.B.; Wiemann, M.C. Measuring wood specific gravity… correctly. Am. J. Bot. 2010, 97, 519–524. [Google Scholar] [CrossRef] [PubMed]
  20. Swenson, N.G.; Enquist, B.J. The relationship between stem and branch wood specific gravity and the ability of each measure to predict leaf are. Am. J. Bot. 2008, 95, 516–519. [Google Scholar] [CrossRef]
  21. Velásquez, J.; Toro, M.E.; Gómez, L.; Terzo, F.M.; Márquez, A. Patrón de variación axial y radial del peso específico en la madera de Erisma uncinatum Warm. Interciencia 2009, 34, 873–879. [Google Scholar]
  22. Longui, E.L.; Rajput, K.; Galvão de Melo, A.C.; de Araújo Alves, L.; do Nascimento, C.B. Root to branch wood anatomical variation and its influence on hydraulic conductivity in five Brazilian Cerrado species. Bosque (Valdivia) 2017, 38, 183–193. [Google Scholar] [CrossRef]
  23. West, G.B.; Brown, J.H.; Enquist, B.J. A general model for the structure and allometry of plant vascular systems. Nature 1999, 400, 664–667. [Google Scholar] [CrossRef]
  24. Schuldt, B.; Leuschner, C.; Brock, N.; Horna, V. Changes in wood density, wood anatomy and hydraulic properties of the xylem along the root-to-shoot flow path in tropical rainforest trees. Tree Physiol. 2013, 33, 161–174. [Google Scholar] [CrossRef]
  25. Kotowska, M.M.; Hertel, D.; Rajab, Y.A.; Barus, H.; Schuldt, B. Patterns in hydraulic architecture from roots to branches in six tropical tree species from cacao agroforestry and their relation to wood density and stem growth. Front. Plant Sci. 2015, 6, 191. [Google Scholar] [CrossRef]
  26. Fortunel, C.; Ruelle, J.; Beauchêne, J.; Fine, P.V.A.; Baraloto, C. Wood specific gravity and anatomy of branches and roots in 113 Amazonian rainforest tree species across environmental gradients. New Phytol. 2014, 202, 79–94. [Google Scholar] [CrossRef] [PubMed]
  27. González-Melo, A.; Salgado-Negret, B.; Norden, N.; González-M, R.; Benavides, J.P.; Cely, J.M.; Abad Ferrer, J.; Idárraga, Á.; Moreno, E.; Pizano, C.; et al. Linking seedling wood anatomical trade-offs with drought and seedling growth and survival in tropical dry forests. New Phytol. 2024, 245, 117–129. [Google Scholar] [CrossRef] [PubMed]
  28. López-Camacho, R.; Quintero-Gómez, A.; Amado-Ariza, S. Rasgos funcionales de la madera de tres bosques en Colombia: Bosque Seco, Andino y Alto-Andino. Cienc. Florest. 2020, 30, 856–872. [Google Scholar] [CrossRef]
  29. Ventanilla Única de Trámites Ambientales (VITAL). MINAMBIENTE (2008–2013). Available online: https://vital-publico.minambiente.gov.co/inicio (accessed on 2 December 2024).
  30. Blanco, J. Caracterización de las 30 Especies Forestales Maderables más Movilizadas en Colombia Provenientes del Bosque Natural; Organización de las Naciones Unidas para la Alimentación y la Agricultura, Ministerio de Ambiente y Desarrollo Sostenible y Unión Europea: Bogotá, Colombia, 2020. [Google Scholar]
  31. Montero-González, M.I.; Barrera-García, J.A.; Giraldo Benavides, B.; Lucena-Mancera, A.A. Fichas Técnicas de Especies de uso Forestal y Agroforestal de la Amazonia Colombiana; Instituto Amazónico de Investigaciones Científicas SINCHI: Bogotá, Colombia, 2016. [Google Scholar]
  32. Moret, A.; Ruiz, P. Determinación de ecuaciones de volumen para Mureillo (Erisma uncinatum) en la unidad C4 de la Reserva Forestal Imataca, Bolívar-Venezuela. Rev. Forest. Venez 1998, 42, 187–197. [Google Scholar]
  33. Justiniano, M.; Fredericksen, T.S. Ecología y Silvicultura de Especies Menos Conocidas—Cambará Hembra Erisma Uncinatum Warm. Vochysiaceae; Proyecto de Manejo Forestal Sostenible (BOLFOR): Santa Cruz, Bolivia, 1999. [Google Scholar]
  34. Giraldo Benavides, B.; Oidor Causaya, M.; Ochica Gaitán, P.; Ruiz Fuentes, H. Técnicas Integrales de Viverismo en la Amazonia Colombiana; Instituto Amazónico de Investigaciones Científicas SINCHI: Bogotá, Colombia, 2020. [Google Scholar]
  35. CONSORCIO IMA-A.M.C.A. Formulación del Plan de Ordenación Forestal del Departamento del Guaviare en el Bloque 1 Integrado por los Bloques Norte a, Norte b, Occidente a y Occidente b, en un Área de 706.846 Hectáreas; de Conformidad con las Normas, Lineamientos Vigentes y los Términos de Referencia; MinAmbiente, CDA, Visión Amazonía: Bogotá, Colombia, 2022. [Google Scholar]
  36. Peñuela Mora, M.C.; Jiménez Rojas, E.M. Plantas del Centro Experimental Amazónico –CEA– Mocoa, Putumayo; Corporación para el Desarrollo Sostenible del Sur de la Amazonía- Corpoamazonia; Universidad Nacional de Colombia–Sede Amazonía: Leticia, Amazonas, 2010. [Google Scholar]
  37. Rodríguez León, C.H.; Sterling Cuellar, A. Sucesión Ecológica y Restauración en Paisajes Fragmentados de la Amazonia Colombiana. Tomo 2. Buenas Prácticas para la Restauración de los Bosques; Instituto Amazónico de Investigaciones Científicas SINCHI: Bogotá, Colombia, 2021. [Google Scholar]
  38. SINCHI; CDA. Experiencia Piloto de Ordenación Forestal de Atapabó; Instituto Amazónico de Investigaciones Científicas SINCHI: Bogotá, Colombia, 2016. [Google Scholar]
  39. Valderrama-Freyre, H. Plantas de importancia económica y ecológica en el jardín botánico ARBORETUM el Huayo, Iquitos, Perú. Folia Amaz. 2006, 14, 159–175. [Google Scholar] [CrossRef]
  40. Zárate, R.; Valles-Pérez, L.A.; Maco-García, J.T. Inventario de cumalas (Myristicaceae) en la amazonía peruana. Folia Amaz. 2012, 21, 7–22. [Google Scholar] [CrossRef]
  41. Ureta Adrianzén, M. Aporte de biomasa aérea de las especies arbóreas de la familia Myristicaceae en los bosques Amazónicos del Perú. Rev. Biol. Trop. 2015, 63, 263–273. [Google Scholar] [CrossRef]
  42. Sinchi (Instituto Amazónico de Investigaciones Científicas Sinchi, San José del Guaviare, Guaviare, Colombia). Personal communication, 2023.
  43. Pérez-Harguindeguy, N.; Díaz, S.; Garnier, E.; Lavorel, S.; Poorter, H.; Jaureguiberry, P.; Bret-Harte, M.S.; Cornwell, W.K.; Craine, J.M.; Gurvich, D.E.; et al. New handbook for standardised measurement of plant functional traits worldwide. Aust. J. Bot. 2013, 61, 167–234. [Google Scholar] [CrossRef]
  44. Giraldo-Benavides, B.; Zubieta-Vega, M.; Vargas-Ávila, G.; Barrera-García, J.A. Bases Técnicas Para el Desarrollo Forestal en el Departamento del Guaviare, Amazonia Colombiana; Instituto Amazónico de Investigaciones Científicas—Sinchi: Bogotá, Colombia, 2013. [Google Scholar]
  45. Giraldo-Benavides, B.; Vargas-Ávila, G.; Zubieta-Vega, M.; Barrera-García, J.A.; Montero-González, M.I. Investigación en Sistemas Productivos Sostenibles en la Amazonia Norte Colombiana (Arreglos Agroforestales, Arreglos de Enriquecimiento Forestal); Instituto Amazónico de Investigaciones Científicas—Sinchi: Bogotá, Colombia, 2013. [Google Scholar]
  46. Chave, J. Measuring Wood Density for Tropical Forest Trees. A Field Manual for the CTFS Sites; Universite Paul Sabatier: Toulouse, France, 2005; pp. 1–7. [Google Scholar]
  47. Salgado-Negret, B.; Pulido-Rodríguez, E.N.; Cabrera, M.; Ruíz-Osorio, C.; Paz, H. Protocolo para la medición de rasgos funcionales en plantas. In La Ecología Funcional como Aproximación al Estudio, Manejo y Conservación de la Biodiversidad: Protocolos y Aplicaciones; Salgado-Negret, B., Ed.; Instituto de Investigación de Recursos Biológicos Alexander von Humboldt: Bogotá, Colombia, 2015; pp. 37–79. [Google Scholar]
  48. Nieto-Vargas, J.E. Variación de Rasgos de Madera en Bosque Seco Tropical a Través de un Gradiente de Sequía en Colombia. Master’s Thesis, Universidad Distrital Francisco José de Caldas, Bogotá, Colombia, 2020. [Google Scholar]
  49. Gärtner, H.; Schweingruber, F.H. Microscopic Preparation Techniques for Plant Stem Analysis; Kessel Publishing House: Remagen, Germany, 2013. [Google Scholar]
  50. Tardif, J.C.; Conciatori, F. Microscopic Examination of Wood: Sample Preparation and Techniques for Light Microscopy. In Plant Microtechniques and Protocols; Yeung, E., Stasolla, C., Sumner, M., Huang, B., Eds.; Springer: Cham, Switzerland, 2015; pp. 373–415. [Google Scholar] [CrossRef]
  51. Polanco-Tapia, C.; Grande-Pulido, D.C. Análisis ecoanatómico, evolutivo y comparativo de la madera de 40 especies de dos asociaciones del Bosques altoandino colombiano. Colomb. For. 2009, 12, 183–203. [Google Scholar] [CrossRef][Green Version]
  52. Jansen, S.; Kitin, P.; De Pauw, H.; Idris, M.; Beeckman, H.; Smets, E. Preparation of wood specimens for transmitted light microscopy and scanning electron microscopy. Belg. J. Bot. 1998, 131, 41–49. [Google Scholar]
  53. Rasband, W.S. ImageJ; National Institutes of Health: Bethesda, MD, USA, 1997–2018. Available online: https://imagej.net/ij/ (accessed on 31 October 2023).
  54. Scholz, A.; Klepsch, M.; Karimi, Z.; Jansen, S.; Stephan, D.; Torres-ruiz, J.M. How to quantify conduits in wood? Front. Plant Sci. 2013, 4, 56. [Google Scholar] [CrossRef] [PubMed]
  55. Deklerck, V.; Price, E.; Vanden Abeele, S.; Lievens, K.; Espinoza, E.; Beeckman, H. Timber identification of Autranella, Baillonella and Tieghemella in the taxonomically challenging Sapotaceae family. Plant Methods 2021, 17, 64. [Google Scholar] [CrossRef] [PubMed]
  56. IAWA Committee. IAWA list of microscopic features for hardwood identification. IAWA Bull. 1989, 10, 219–332. [Google Scholar] [CrossRef]
  57. Di Rienzo, J.A.; Casanoves, F.; Balzarini, M.G.; Gonzalez, L.; Tablada, M.; Robledo, C.W. InfoStat Versión 2020; Centro de Transferencia InfoStat, FCA, Universidad Nacional de Córdoba: Córdoba, Argentina, 2020; Available online: https://www.infostat.com.ar/ (accessed on 31 March 2024).
  58. R Core Team. R: A Language and Environment for Statistical Computing; R Foundation for Statistical Computing: Vienna, Austria, 2024; Available online: https://www.R-project.org/ (accessed on 31 March 2024).
  59. Commercial Timbers: Descriptions, Illustrations, Identification, and Information Retrieval. Available online: https://www.delta-intkey.com/wood/index.htm (accessed on 8 July 2023).
  60. Zanne, A.E.; Lopez-Gonzalez, G.; Coomes, D.A.; Ilic, J.; Jansen, S.; Lewis, S.L.; Miller, R.B.; Swenson, N.G.; Wiemann, M.C.; Chave, J. Data from: Towards a Worldwide Wood Economics Spectrum [Dataset]. Dryad. 2009. Available online: https://datadryad.org/stash/dataset/doi:10.5061/dryad.234 (accessed on 28 June 2024).
  61. The InsideWood Database. Available online: https://insidewood.lib.ncsu.edu/search?1 (accessed on 28 June 2024).
  62. Okai, R.; Frimpong-Mensah, K.; Yeboah, D. Characterization of moisture content and specific gravity of branchwood and stemwood of Aningeria robusta and Terminalia ivorensis. Holz Als Roh-Werkstof 2003, 61, 155–158. [Google Scholar] [CrossRef]
  63. MacFarlane, D.W. Functional Relationships Between Branch and Stem Wood Density for Temperate Tree Species in North America. Front. For. Glob. Chang. 2020, 3, 63. [Google Scholar] [CrossRef]
  64. Bhat, K.M.; Bhat, K.V.; Dhamodaran, T.K. Fibre Length Variation in Stem and Branches of Eleven Tropical Hardwoods. IAWA Journa 1989, 10, 63–70. [Google Scholar] [CrossRef]
  65. Longui, E.L.; de Lima, I.L.; Florsheim, S.M.B. Root-branch anatomical investigation of Eriotheca gracilipes young trees: A biomechanical and ecological approach. Sci. For. 2012, 40, 23–33. [Google Scholar]
  66. Yaman, B. Anatomical differences between stem and branch wood of Ficus carica L. subsp. carica. Mod. Phytomorphology 2014, 6, 79–83. [Google Scholar]
  67. Longui, E.L.; Galão, A.T.D.; Rajput, K.S.; De Melo, A.C.G. Anatomical investigation of root, stem and branch wood in 10-year-old Inga laurina in the context of anatomical adaptation to hydraulic and mechanical stresses. An. Biol. 2018, 40, 31–39. [Google Scholar] [CrossRef]
  68. León, W. Estudio anatómico de la madera e incidencias tecnológicas en 7 especies del género Protium Burm. F. (Burseraceae). Rev. Forest. Venez. 2002, 46, 73–82. [Google Scholar]
  69. León, W. Anatomía y densidad o peso específico de la madera. Rev. For. Venez. 2010, 54, 67–76. [Google Scholar]
  70. Salgado-Negret, B.; Pérez, F.; Markesteijn, L.; Castillo, M.J.; Armesto, J. Diverging drought-tolerance strategies explain tree species distribution along a fog-dependent moisture gradient in a temperate rain forest. Oecologia 2013, 173, 625–635. [Google Scholar] [CrossRef] [PubMed]
  71. Choat, B.; Brodie, T.W.; Cobb, A.R.; Zwieniecki, M.A.; Holbrook, N.M. Direct measurements of intervessel pit membrane hydraulic resistance in two angiosperm tree species. Am. J. Bot. 2006, 93, 993–1000. [Google Scholar] [CrossRef] [PubMed]
  72. Jansen, S.; Choat, B.; Pletsers, A. Morphological variation of intervessel pit membranes and implications to xylem function in angiosperms. Am. J. Bot. 2009, 96, 409–419. [Google Scholar] [CrossRef]
  73. Jansen, S.; Baas, P.; Gasson, P.; Smets, E. Vestured Pits: Do They Promote Safer Water Transport? Int. J. Plant Sci. 2003, 164, 405–413. [Google Scholar] [CrossRef]
  74. Pfautsch, S.; Hölttä, T.; Mencuccini, M. Hydraulic functioning of tree stems—Fusing ray anatomy, radial transfer and capacitance. Tree Physiol. 2015, 35, 706–722. [Google Scholar] [CrossRef]
Figure 1. Mean values for stem and branches of six species: (a) wood basic specific gravity; (b) fiber length; (c) fiber wall thickness; (d) lumen fraction; (e) vessel density; (f) vessel diameter; (g) theoretical hydraulic conductivity; (h) intervessel pit diameter; (i) ray height; (j) ray width. Means with the same letter are not significantly different (Tukey’s test, p > 0.05).
Figure 1. Mean values for stem and branches of six species: (a) wood basic specific gravity; (b) fiber length; (c) fiber wall thickness; (d) lumen fraction; (e) vessel density; (f) vessel diameter; (g) theoretical hydraulic conductivity; (h) intervessel pit diameter; (i) ray height; (j) ray width. Means with the same letter are not significantly different (Tukey’s test, p > 0.05).
Forests 16 00033 g001aForests 16 00033 g001b
Table 1. Average dasometric attributes of the six studied species.
Table 1. Average dasometric attributes of the six studied species.
SpeciesCommon NameDBH (cm)Total Height (m)Commercial Height (m)Diameter Crown Axis X (m)Diameter Crown Axis Y (m)
Jacaranda copaiaPavito37.621.59.98.18.1
Virola elongataSangretoro29.922.311.39.89.6
Virola peruvianaSangretoro31.218.814.47.65.8
Cedrelinga cateniformisAchapo39.024.09.911.18.2
Erisma uncinatumMilpo39.221.613.67.25.5
Cabari macrocarpaFariñero34.516.97.09.49.6
Table 2. Measurement parameters per individual and per sections according to [54].
Table 2. Measurement parameters per individual and per sections according to [54].
Functional ClassificationParameterAbbreviationN° of MeasurementsUnitCamera ZoomSection
Biomechanical supportWood basic specific
gravity
SG1Unitless--
Fiber lengthFl50µmMaceration
Fiber wall thickness *Fwt100µm100×Transverse
Lumen fractionLf100Unitless-Transverse
Conductive functionVessel densityVde5N°/mm2Transverse
Vessel diameter *Vdi100µmTransverse
Theoretical hydraulic conductivity Kh100m4/MPa−1 × s−1--
Intervessel pit diameter *Ip50µm100×Tangential
StorageRay heightRh50µmTangential
Ray widthRw50µmTangential
* The fiber wall thickness was calculated as the total diameter minus the lumen diameter, divided by two (single wall thickness). Vessel diameter and pit diameter were measured along a single tangential axis.
Table 3. Averages and standard error per species and per sections for stem and branch samples according to the two-factor analysis of variance, followed by a Tukey test (α = 0.05).
Table 3. Averages and standard error per species and per sections for stem and branch samples according to the two-factor analysis of variance, followed by a Tukey test (α = 0.05).
SpeciesSectionSG *FlFwtLfVdeVdiKhIpRhRw
Jacaranda
copaia
Lower stem0.311046.281.550.782.20183.363.60 × 10−65.31452.7747.63
Middle stem0.341031.121.510.772.84192.964.70 × 10−66.50382.4244.97
Upper stem0.311001.321.400.813.84185.174.20 × 10−66.42345.6348.84
Primary branch0.44821.151.960.773.92140.291.40 × 10−66.35271.9341.80
Secondary branch0.45819.571.750.775.84118.851.10 × 10−65.94265.3745.23
Tertiary branch0.46803.591.660.768.60109.045.90 × 10−76.35241.3132.03
Cedrelinga
cateniformis
Lower stem0.411222.962.810.622.52274.451.70 × 10−57.00161.1917.86
Middle stem0.411212.522.430.692.08292.402.30 × 10−57.04164.8416.26
Upper stem0.421185.132.690.652.56297.052.40 × 10−57.17171.0517.89
Primary branch0.551074.472.620.586.04175.774.00 × 10−66.17127.2814.59
Secondary branch0.55984.372.520.596.64152.551.90 × 10−65.49112.1713.15
Tertiary branch0.52881.112.360.6014.00108.947.00 × 10−75.03119.2214.62
Virola
peruviana
Lower stem0.411204.091.800.7616.64124.426.90 × 10−75.75510.4533.50
Middle stem0.411102.881.610.7716.52129.578.20 × 10−75.52422.9132.28
Upper stem0.431082.361.910.7320.40122.816.40 × 10−75.65383.0132.77
Primary branch0.51925.342.120.7217.5699.002.80 × 10−74.50354.4328.62
Secondary branch0.47960.172.050.7031.0080.171.20 × 10−74.88423.2421.28
Tertiary branch0.42876.341.730.7335.2463.464.80 × 10−84.64351.2416.11
Virola
elongata
Lower stem0.421348.022.000.7511.68110.833.30 × 10−76.47485.5328.41
Middle stem0.461337.622.120.7214.68107.604.50 × 10−75.75434.3227.06
Upper stem0.401276.091.850.7512.36108.954.40 × 10−76.00444.0127.61
Primary branch0.55996.252.100.6918.3285.941.60 × 10−75.36342.3422.67
Secondary branch0.55977.942.320.6824.5281.501.40 × 10−74.82305.0521.44
Tertiary branch0.53977.161.850.7028.6065.165.60 × 10−84.74327.5617.77
Erisma
uncinatum
Lower stem0.391182.862.970.573.24173.263.00 × 10−68.89391.7233.90
Middle stem0.431190.303.130.533.92205.366.80 × 10−68.70363.1333.95
Upper stem0.441100.323.100.573.48206.965.70 × 10−68.89346.7239.24
Primary branch0.49910.053.050.475.16151.532.00 × 10−68.46273.8136.30
Secondary branch0.49919.772.910.517.64119.637.40 × 10−74.94317.4532.16
Tertiary branch0.48882.742.840.529.80128.911.10 × 10−67.39230.8033.26
Cabari
macrocarpa
Lower stem0.741395.424.960.386.00127.508.30 × 10−77.42466.2051.81
Middle stem0.691426.585.500.344.72126.047.30 × 10−77.07463.2452.22
Upper stem0.661374.435.450.384.52133.701.00 × 10−67.94481.2346.21
Primary branch0.631302.603.300.507.56129.701.10 × 10−66.05329.6333.58
Secondary branch0.591288.232.980.527.27117.196.80 × 10−74.95347.7731.34
Tertiary branch0.551189.802.690.5511.2498.543.00 × 10−75.83282.1637.87
Standard
error
0.0235.500.210.031.629.521.10 × 10−60.3323.672.69
* Where SG (wood specific gravity); Fl (fiber length); Fwt (fiber wall thickness); Lf (lumen fraction); Vde (vessel density); Vdi (vessel diameter); Kh (theoretical hydraulic conductivity); Ip (intervessel pit diameter); Rh (ray height); Rw (ray width).
Table 4. 1 Coefficients and associated statistics for multiple linear regression models of wood specific gravity based on anatomical variables in stems and branches.
Table 4. 1 Coefficients and associated statistics for multiple linear regression models of wood specific gravity based on anatomical variables in stems and branches.
Predictor VariableCoef.S.E.Tp-ValueLC (95%)UC (95%)NR2M.S.E.
Stem
Intercept0.02000.06000.410.6808−0.09000.1400900.820.003
Fiber length0.00010.00012.500.01420.00000.0002
Fiber wall thickness0.07000.010011.69<0.00010.06000.0900
Vessel density0.00450.00104.56<0.00010.00250.0100
Ray width0.00100.00051.990.04980.00010.0021
Branch
Intercept0.32000.04008.24<0.00010.25000.4000900.520.002
Fiber length0.00030.00006.53<0.00010.00020.0003
Fiber wall thickness0.03000.01003.350.00120.01000.0500
Vessel diameter−0.00060.0002−3.090.0027−0.0009−0.0002
Ray height−0.00020.0001−3.640.0005−0.0004−0.0001
1 Where Coef.: estimation of the regression coefficient of the predictor parameter; S.E.: standard error; T: statistical value for each coefficient; LC: lower confidence interval; UC: upper confidence interval; N: sample size; R2: coefficient of determination indicating the proportion of variance explained by the model; M.S.E: mean square error.
Disclaimer/Publisher’s Note: The statements, opinions and data contained in all publications are solely those of the individual author(s) and contributor(s) and not of MDPI and/or the editor(s). MDPI and/or the editor(s) disclaim responsibility for any injury to people or property resulting from any ideas, methods, instructions or products referred to in the content.

Share and Cite

MDPI and ACS Style

Martínez-Guevara, C.; Pulido-Rodríguez, N.; Giraldo Benavides, B.; Barrera García, J. Longitudinal Anatomical Variation of Wood in Stem and Branch of Six Forest Species from the Amazon Region and Its Relationship with Wood Specific Gravity. Forests 2025, 16, 33. https://doi.org/10.3390/f16010033

AMA Style

Martínez-Guevara C, Pulido-Rodríguez N, Giraldo Benavides B, Barrera García J. Longitudinal Anatomical Variation of Wood in Stem and Branch of Six Forest Species from the Amazon Region and Its Relationship with Wood Specific Gravity. Forests. 2025; 16(1):33. https://doi.org/10.3390/f16010033

Chicago/Turabian Style

Martínez-Guevara, Carolina, Nancy Pulido-Rodríguez, Bernardo Giraldo Benavides, and Jaime Barrera García. 2025. "Longitudinal Anatomical Variation of Wood in Stem and Branch of Six Forest Species from the Amazon Region and Its Relationship with Wood Specific Gravity" Forests 16, no. 1: 33. https://doi.org/10.3390/f16010033

APA Style

Martínez-Guevara, C., Pulido-Rodríguez, N., Giraldo Benavides, B., & Barrera García, J. (2025). Longitudinal Anatomical Variation of Wood in Stem and Branch of Six Forest Species from the Amazon Region and Its Relationship with Wood Specific Gravity. Forests, 16(1), 33. https://doi.org/10.3390/f16010033

Note that from the first issue of 2016, this journal uses article numbers instead of page numbers. See further details here.

Article Metrics

Back to TopTop