Tree Ferns Augment Native Plant Richness and Influence Composition in Urban Plant Communities
Abstract
1. Introduction
2. Materials and Methods
2.1. Study Area
2.2. Site Selection
2.3. Vegetation Survey
2.4. Data Analysis
2.4.1. Community Analysis
2.4.2. Environmental Variable Analysis
3. Results
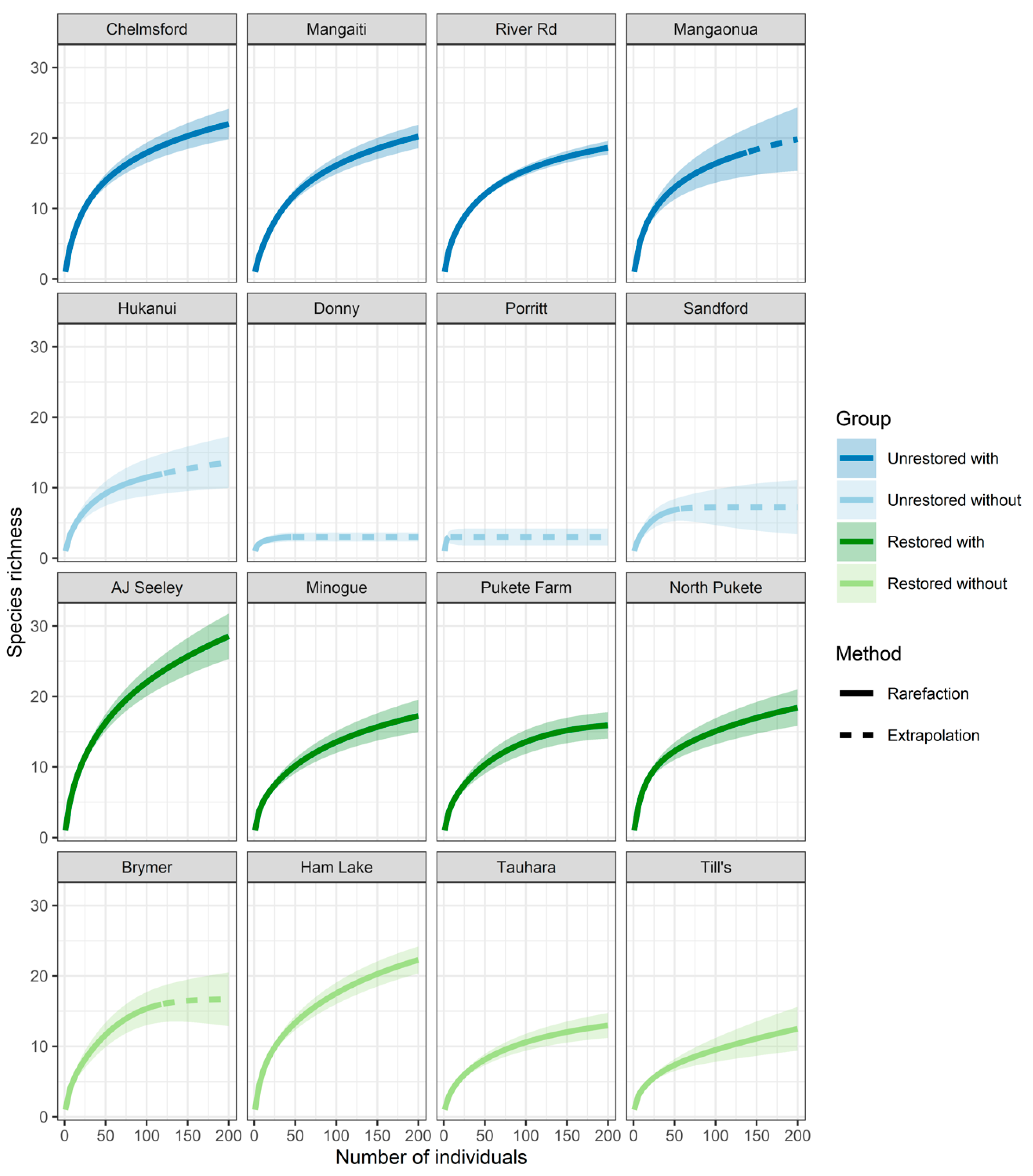
3.1. Plant Abundances and Richness
3.2. Community Composition
3.3. Community Structure
3.4. Environmental Predictors of Plant Communities
4. Discussion
4.1. Community Assembly and Succession
4.2. Study Limitations
4.3. Implications for Urban Ecological Restoration
5. Conclusions
Supplementary Materials
Author Contributions
Funding
Data Availability Statement
Acknowledgments
Conflicts of Interest
Abbreviations
| DBH | Diameter at breast height |
| dbRDA | Distance-based redundancy analysis |
| GLM | Generalised linear model |
| HCC | Hamilton City Council |
| NMDS | Nonmetric multidimensional scaling |
| PCaN | People, Cities & Nature Programme |
| PERMANOVA | Permutational multivariate analysis of variance |
Appendix A


Appendix B
| Group 1 | Group 2 | F-Value | R2 | p-Value |
|---|---|---|---|---|
| Unrestored without | Restored with | 2.23 | 0.47 | <0.05 |
| Unrestored without | Restored without | 2.25 | 0.47 | <0.05 |
| Unrestored with | Restored with | 2.58 | 0.51 | <0.05 |
| Unrestored with | Unrestored without | 4.61 | 0.43 | <0.05 |
| Unrestored with | Restored without | 4.68 | 0.65 | <0.05 |
| Restored with | Restored without | 0.87 | 0.13 | 0.68 |
| Site Type | Species | Indicator Value | p-Value |
|---|---|---|---|
| Unrestored sites with tree ferns | Tmesipteris elongata | 1.00 | <0.01 |
| Tmesipteris lanceolata | 0.92 | <0.01 | |
| Trichomanes venosum | 0.96 | <0.01 | |
| Blechnum minus | 0.93 | <0.01 | |
| Rumohra adiantiformis | 0.87 | <0.05 | |
| Dicksonia squarrosa | 0.89 | <0.01 | |
| Hymenophyllum flabellatum | 0.87 | <0.05 | |
| * Myosotis sylvatica | 0.87 | <0.05 | |
| Restored sites with tree ferns | Blechnum parrisiae | 0.87 | <0.05 |
| Cyathea medullaris | 0.87 | <0.05 | |
| Restored sites without tree ferns | Pittosporum eugenioides | 0.97 | <0.01 |
| Pittosporum tenuifolium | 0.80 | <0.05 |
| Status | Six-Letter Code | Scientific Name | Common Name | Family |
|---|---|---|---|---|
| Exotic | ACENEG | Acer negundo | Box elder | Sapindaceae |
| ALNGLU | Alnus glutinosa | Alder | Betulaceae | |
| FATJAP | Fatsia japonica | Fatsia | Araliaceae | |
| JUGAIL | Juglans ailantifolia | Japanese walnut | Juglandaceae | |
| LIGLUC | Ligustrum lucidum | Tree privet | Oleaceae | |
| LIGSIN | Ligustrum sinense | Chinese privet | Oleaceae | |
| PRUSER | Prunus serrulata | Japanese cherry | Rosaceae | |
| SALCIN | Salix cinerea | Grey willow | Salicaceae | |
| SALXFRA | Salix ×fragilis | Crack willow | Salicaceae | |
| SOLMAU | Solanum mauritianum | Woolly nightshade | Solanaceae | |
| Native | ALEEXC | Alectryon excelsus | Tītoki | Sapindaceae |
| COPROB | Coprosma robusta | Karamū | Rubiaceae | |
| COPTEN | Coprosma tenuicaulis | Hukihuki | Rubiaceae | |
| CORAUS | Cordyline australis | Tī kōuka | Asparagaceae | |
| CORLAE | Corynocarpus laevigatus | Karaka | Corynocarpaceae | |
| CYADEA | Cyathea dealbata | Ponga | Cyatheaceae | |
| CYAMED | Cyathea medullaris | Mamaku | Cyatheaceae | |
| DACCUP | Dacrydium cupressinum | Rimu | Podocarpaceae | |
| DACDAC | Dacrycarpus dacrydioides | Kahikatea | Podocarpaceae | |
| DICFIB | Dicksonia fibrosa | Whekī-ponga | Dicksoniaceae | |
| DICSQU | Dicksonia squarrosa | Whekī | Dicksoniaceae | |
| FUCEXC | Fuchsia excorticata | Kōtukutuku | Onagraceae | |
| GENLIG | Geniostoma ligustrifolium | Hangehange | Loganiaceae | |
| HOHPOP | Hoheria populnea | Houhere | Malvaceae | |
| HOHSEX | Hoheria sextylosa | Houhere | Malvaceae | |
| KNIEXC | Knightia excelsa | Rewarewa | Proteaceae | |
| KUNERI | Kunzea ericoides | Kānuka | Myrtaceae | |
| LAUNOV | Laurelia novae-zelandiae | Pukatea | Atherospermataceae | |
| MELRAM | Melicytus ramiflorus | Māhoe | Violaceae | |
| METEXC | Metrosideros excelsa | Pōhutukawa | Myrtaceae | |
| METROB | Metrosideros robusta | Northern rātā | Myrtaceae | |
| MYRAUS | Myrsine australis | Red mapou | Primulaceae | |
| NESCUN | Nestegis cunninghamii | Black maire | Oleaceae | |
| PIPEXC | Piper excelsum | Kawakawa | Piperaceae | |
| PITCRA | Pittosporum crassifolium | Karo | Pittosporaceae | |
| PITEUG | Pittosporum eugenioides | Tarata | Pittosporaceae | |
| PITTEN | Pittosporum tenuifolium | Kōhūhū | Pittosporaceae | |
| PODTOT | Podocarpus totara | Tōtara | Podocarpaceae | |
| PRUFER | Prumnopitys ferruginea | Miro | Podocarpaceae | |
| PRUTAX | Prumnopitys taxifolia | Mataī | Podocarpaceae | |
| PSEARB | Pseudopanax arboreus | Whauwhaupaku | Araliaceae | |
| SCHDIG | Schefflera digitata | Patē | Araliaceae | |
| SOPMIC | Sophora microphylla | Kōwhai | Fabaceae | |
| VITLUC | Vitex lucens | Pūriri | Lamiaceae |
References
- Heino, M.; Kummu, M.; Makkonen, M.; Mulligan, M.; Verburg, P.H.; Jalava, M.; Räsänen, T.A. Forest loss in protected areas and intact forest landscapes: A global analysis. PLoS ONE 2015, 10, 0138918. [Google Scholar] [CrossRef] [PubMed]
- Curtis, P.G.; Slay, C.M.; Harris, N.L.; Tyukavina, A.; Hansen, M.C. Classifying drivers of global forest loss. Science 2018, 361, 1108–1111. [Google Scholar] [CrossRef]
- Güneralp, B.; Seto, K.C. Futures of global urban expansion: Uncertainties and implications for biodiversity conservation. Environ. Res. Lett. 2013, 8, 014025. [Google Scholar] [CrossRef]
- Roeland, S.; Moretti, M.; Amorim, J.H.; Branquinho, C.; Fares, S.; Morelli, F.; Calfapietra, C. Towards an integrative approach to evaluate the environmental ecosystem services provided by urban forest. J. For. Res. 2019, 30, 1981–1996. [Google Scholar] [CrossRef]
- Lepczyk, C.A.; Aronson, M.F.; La Sorte, F.A. Cities as sanctuaries. Front. Ecol. Environ. 2023, 21, 251–259. [Google Scholar] [CrossRef]
- United Nations Environment Programme. On World Cities Day, UNEP Announces 19 Cities to Restore Nature’s Rightful Place in Urban Areas. Available online: www.unep.org/technical-highlight/world-cities-day-unep-announces-19-cities-restore-natures-rightful-place-urban (accessed on 9 September 2024).
- Chazdon, R.L. Chance and determinism in tropical forest succession. Trop. For. Community Ecol. 2008, 1, 384–408. [Google Scholar]
- Dávila-Hernández, G.; Meave, J.A.; Muñoz, R.; González, E.J. A flash in the pan? The population dynamics of a dominant pioneer species in tropical dry forest succession. Popul. Ecol. 2024, 67, 32–44. [Google Scholar] [CrossRef]
- St. Martin, P.; Mallik, A.U. Alternate successional pathway yields alternate pattern of functional diversity. J. Veg. Sci. 2019, 30, 461–470. [Google Scholar] [CrossRef]
- Cadotte, M.W. The interacting influences of competition, composition and diversity determine successional community change. J. Ecol. 2023, 111, 1670–1680. [Google Scholar] [CrossRef]
- Laughlin, D.C.; Clarkson, B.D. Tree seedling survival depends on canopy age, cover and initial composition: Trade-offs in forest restoration enrichment planting. Ecol. Restor. 2018, 36, 52–61. [Google Scholar] [CrossRef]
- Wyse, S.V.; Wilmshurst, J.M.; Burns, B.R.; Perry, G.L. New Zealand forest dynamics: A review of past and present vegetation responses to disturbance; and development of conceptual forest models. N. Z. J. Ecol. 2018, 42, 87–106. [Google Scholar] [CrossRef]
- Coomes, D.A.; Allen, R.B.; Bentley, W.A.; Burrows, L.E.; Canham, C.D.; Fagan, L.; Wright, E.F. The hare; the tortoise and the crocodile: The ecology of angiosperm dominance; conifer persistence and fern filtering. J. Ecol. 2005, 93, 918–935. [Google Scholar] [CrossRef]
- Walker, L.R.; Landau, F.H.; Velazquez, E.; Shiels, A.B.; Sparrow, A.D. Early successional woody plants facilitate and ferns inhibit forest development on Puerto Rican landslides. J. Ecol. 2010, 98, 625–635. [Google Scholar] [CrossRef]
- Chau, M.M.; Walker, L.R.; Mehltreter, K. An invasive tree fern alters soil and plant nutrient dynamics in Hawaii. Biol. Invasions 2013, 15, 355–370. [Google Scholar] [CrossRef]
- Forbes, A.S.; Norton, D.A.; Carswell, F.E. Tree fern competition reduces indigenous forest tree seedling growth within exotic Pinus radiata plantations. For. Ecol. Manag. 2016, 359, 1–10. [Google Scholar] [CrossRef]
- McKelvey, P.J. Forest colonisation after recent volcanicity at West Taupo. N. Z. J. For. 1953, 6, 435–438. [Google Scholar]
- Wardle, P. The kahikatea (Dacrycarpus dacrydioides) forest of south Westland. Proc. N. Z. Ecol. Soc. 1974, 21, 62–71. [Google Scholar]
- Smale, M.C.; Beveridge, A.E.; Pardy, G.F.; Steward, G.A. Selective logging in podocarp/tawa forest at Pureora and Whirinaki. N. Z. J. For. Sci. 1987, 17, 29–50. [Google Scholar]
- Norton, D.A. Seedling and sapling distribution patterns in a coastal podocarp forest; Hokitika Ecological District; New Zealand. N. Z. J. Bot. 1991, 29, 463–466. [Google Scholar] [CrossRef]
- Burns, B.R.; Smale, M.C. Changes in structure and composition over fifteen years in a secondary kauri (Agathis australis)-tanekaha (Phyllocladus trichomanoides) forest stand; Coromandel Peninsula; New Zealand. N. Z. J. Bot. 1990, 28, 141–158. [Google Scholar] [CrossRef]
- Donoghue, S.; Turner, P.A. A review of Australian tree fern ecology in forest communities. Austral Ecol. 2022, 47, 145–165. [Google Scholar] [CrossRef]
- Moran, R.C.; Klimas, S.; Carlsen, M. Low-trunk epiphytic ferns on tree ferns versus angiosperms in Costa Rica. Biotropica 2003, 35, 48–56. [Google Scholar] [CrossRef]
- Walker, L.R.; Sharpe, J.M. Ferns; disturbance and succession. In Fern Ecology; Cambridge University Press: New York, NY, USA, 2010; pp. 177–219. [Google Scholar]
- Wagner, K.; Mendieta-Leiva, G.; Zotz, G. Host specificity in vascular epiphytes: A review of methodology; empirical evidence and potential mechanisms. AoB Plants 2015, 7, plu092. [Google Scholar] [CrossRef]
- Negrão, R.; Sampaio-e-Silva, T.; Kortz, A.R.; Magurran, A.; Matos, D.M. An endangered tree fern increases beta-diversity at a fine scale in the Atlantic Forest Ecosystem. Flora 2017, 234, 1–6. [Google Scholar] [CrossRef]
- Brock, J.M.; Morales, N.S.; Burns, B.R.; Perry, G.L. The hare; tortoise and crocodile revisited: Tree fern facilitation of conifer persistence and angiosperm growth in simulated forests. J. Ecol. 2020, 108, 969–981. [Google Scholar] [CrossRef]
- Brock, J.M.; Perry, G.L.; Lee, W.G.; Schwendenmann, L.; Burns, B.R. Pioneer tree ferns influence community assembly in northern New Zealand forests. N. Z. J. Ecol. 2018, 42, 18–30. [Google Scholar] [CrossRef]
- Boffa Miskell Limited. The Manuka and Kanuka Plantation Guide. Available online: www.trc.govt.nz/assets/Documents/Guidelines/Land-infosheets/Manuka-plantation-guide-landcare-April2017.pdf (accessed on 9 September 2024).
- Blaschke, P.M. Vegetation and Landscape Dynamics in Eastern Taranaki Hill Country. Ph.D. Thesis, Victoria University, Wellington, New Zealand, 1988. [Google Scholar]
- McLeary, W.H. A Study of the Gully Systems of the Waikato Basin with Particular Reference to Those in and Surrounding the City of Hamilton: A Research Study. Diploma Dissertation, University of Canterbury, Christchurch, New Zealand, 1972. Available online: https://researcharchive.lincoln.ac.nz/entities/publication/ba9447f2-2bbc-4490-b43c-199557d9ac4d (accessed on 23 July 2024).
- Clarkson, B.D.; Kirby, C.L. Ecological restoration in urban environments in New Zealand. Ecol. Manag. Restor. 2016, 17, 180–190. [Google Scholar] [CrossRef]
- Stewart, G.H.; Ignatieva, M.E.; Meurk, C.D.; Earl, R.D. The re-emergence of indigenous forest in an urban environment; Christchurch; New Zealand. Urban For. Urban Green. 2004, 2, 149–158. [Google Scholar] [CrossRef]
- Clarkson, B.D.; Bylsma, R.J. Restoration planting in urban environments. Indigena (Journal of the Indigenous Forest Section of New Zealand Farm Forestry Association), 7–10 May 2016. [Google Scholar]
- Wallace, K.J.; Clarkson, B.D. Urban forest restoration ecology: A review from Hamilton; New Zealand. J. R. Soc. N. Z. 2019, 49, 347–369. [Google Scholar] [CrossRef]
- Clarkson, B.D.; McGowan, R.; Downs, T.M. In Proceedings of the Hamilton Gullies Workshop. Hamilton, New Zealand, 29–30 April 2000. [Google Scholar]
- Myers, N.; Mittermeier, R.A.; Mittermeier, C.G.; Da Fonseca, G.A.; Kent, J. Biodiversity hotspots for conservation priorities. Nature 2000, 403, 853–858. [Google Scholar] [CrossRef] [PubMed]
- McEwen, W.M. Ecological Regions and Districts of New Zealand; Department of Conservation: Wellington, New Zealand, 1987. [Google Scholar]
- National Institute of Water and Atmospheric Research. Climate Data and Activities. Available online: https://niwa.co.nz/education-and-training/schools/resources/climate (accessed on 23 July 2024).
- Rogers, H.C.; Clarkson, B.D. Restoration strategies for three Dacrycarpus dacrydioides (A. Rich.) de Laub.; kahikatea remnants in Hamilton City; New Zealand. Forests 2022, 13, 1633. [Google Scholar] [CrossRef]
- Rogers, H.C.; Clarkson, B.D. Epiphyte-host relationships of remnant and recombinant urban ecosystems in Hamilton; New Zealand: The importance of Dicksonia squarrosa (G. Forst.) Sw.; whekī. N. Z. J. Bot. 2025, 63, 150–159. [Google Scholar] [CrossRef]
- MacKay, D.B.; Wehi, P.M.; Clarkson, B.D. Evaluating restoration success in urban forest plantings in Hamilton, New Zealand. Urban Habitats 2011, 6. Available online: http://www.urbanhabitats.org/v06n01/hamilton_full.html (accessed on 12 September 2025).
- Planting a Lasting Urban Forest. Available online: www.peoplecitiesnature.co.nz/publications (accessed on 19 December 2024).
- Hurst, J.M.; Allen, R.B. A Permanent Plot Method for Monitoring Indigenous Forests: Field Protocols; Manaaki Whenua-Landcare Research: Lincoln, New Zealand, 2007; Available online: https://nvs.landcareresearch.co.nz/Content/PermanentPlot_FieldProtocols.pdf (accessed on 16 February 2024).
- Breitwieser, I.; Heenan, P.J. Flora of New Zealand Online. 2023. Available online: www.nzflora.info (accessed on 9 September 2024).
- R Core Team. R: A Language and Environment for Statistical Computing. R Foundation for Statistical Computing: Vienna, Austria. Available online: www.R-project.org (accessed on 23 February 2025).
- Oksanen, J.; Simpson, G.L.; Blanchet, F.G.; Kindt, R.; Legendre, P.; Minchin, P.R.; O’Hara, R.B.; Solymos, P.; Stevens, M.H.; Szoecs, E.; et al. Vegan: Community Ecology Package. R package version 2.6–4. Available online: http://CRAN.R-project.org/package=vegan (accessed on 13 September 2024).
- Hsieh, T.C.; Ma, K.; Chao, A. iNEXT: An R package for rarefaction and extrapolation of species diversity (Hill numbers). Methods Ecol. Evol. 2016, 7, 1451–1456. [Google Scholar] [CrossRef]
- Lenth, R.V. Least-squares means: The R package lsmeans. J. Stat. Softw. 2016, 69, 1–33. [Google Scholar] [CrossRef]
- Legendre, P.; Gallagher, E.D. Ecologically meaningful transformations for ordination of species data. Oecologia 2001, 129, 271–280. [Google Scholar] [CrossRef]
- Ricotta, C.; Podani, J. On some properties of the Bray-Curtis dissimilarity and their ecological meaning. Ecol. Complex. 2017, 31, 201–205. [Google Scholar] [CrossRef]
- De Cáceres, M.; Jansen, F.; De Caceres, M.M. Package’ indicspecies’. Indicators 2016, 8, 29. [Google Scholar]
- Legendre, P.; Anderson, M.J. Distance-based redundancy analysis: Testing multispecies responses in multifactorial ecological experiments. Ecol. Monogr. 1999, 69, 1–24. [Google Scholar] [CrossRef]
- Borcard, D.; Legendre, P. All-scale spatial analysis of ecological data by means of principal coordinates of neighbour matrices. Ecol. Model. 2002, 153, 51–68. [Google Scholar] [CrossRef]
- Borcard, D.; Legendre, P.; Avois-Jacquet, C.; Tuomisto, H. Dissecting the spatial structure of ecological data at multiple scales. Ecology 2004, 85, 1826–1832. [Google Scholar] [CrossRef]
- Blanchet, F.G.; Legendre, P.; Borcard, D. Forward selection of explanatory variables. Ecology 2008, 89, 2623–2632. [Google Scholar] [CrossRef]
- Peres-Neto, P.R.; Jackson, D.A.; Somers, K.M. Giving meaningful interpretation to ordination axes: Assessing loading significance in principal component analysis. Ecology 2003, 84, 2347–2363. [Google Scholar] [CrossRef]
- Mehltreter, K.; Flores-Palacios, A.; García-Franco, J.G. Host preferences of low-trunk vascular epiphytes in a cloud forest of Veracruz, Mexico. J. Trop. Ecol. 2005, 21, 651–660. [Google Scholar] [CrossRef]
- Spicer, M.E.; Woods, C.L. A case for studying biotic interactions in epiphyte ecology and evolution. Perspect. Plant Ecol. Evol. Syst. 2022, 54, 125658. [Google Scholar] [CrossRef]
- Azevedo-Schmidt, L.; Currano, E.D.; Dunn, R.E.; Gjieli, E.; Pittermann, J.; Sessa, E.; Gill, J.L. Ferns as facilitators of community recovery following biotic upheaval. BioScience 2024, 74, 322–332. [Google Scholar] [CrossRef]
- Brock, J.M.; Perry, G.L.; Burkhardt, T.; Burns, B.R. Forest seedling community response to understorey filtering by tree ferns. J. Veg. Sci. 2018, 29, 887–897. [Google Scholar] [CrossRef]
- Weidlich, E.W.; Nelson, C.R.; Maron, J.L.; Callaway, R.M.; Delory, B.M.; Temperton, V.M. Priority effects and ecological restoration. Restor. Ecol. 2021, 29, e13317. [Google Scholar] [CrossRef]
- van Breugel, M.; Bongers, F.; Norden, N.; Meave, J.A.; Amissah, L.; Chanthorn, W.; Dent, D.H. Feedback loops drive ecological succession: Towards a unified conceptual framework. Biol. Rev. 2024, 99, 9282011949. [Google Scholar] [CrossRef]
- Clarkson, B.D. Ecological restoration in Hamilton City. In Proceedings of the Greening the City, Christchurch, New Zealand, 21–24 October 2003; Royal New Zealand Institute of Horticulture: Lincoln, New Zealand, 2005. [Google Scholar]
- Bystriakova, N.; Bader, M.; Coomes, D.A. Long-term tree fern dynamics linked to disturbance and shade tolerance. J. Veg. Sci. 2011, 22, 72–84. [Google Scholar] [CrossRef]
- Landeros-López, J.G.; Krömer, T.; Gómez-Díaz, J.A.; Velázquez-Rosas, N.; Carvajal-Hernández, C.I. Influence of Microclimatic Variations on Morphological Traits of Ferns in Urban Forests of Central Veracruz, Mexico. Plants 2025, 14, 1732. [Google Scholar] [CrossRef] [PubMed]
- Jarquin-Pacheco, M.B.; Armenta-Montero, S.; Contreras-López, J.; Carvajal-Hernández, C.I. Urban forests as habitats for vascular epiphytes and allied terrestrial plants. Urban Ecosyst. 2025, 28, 150. [Google Scholar] [CrossRef]
- Auckland Council. Te Haumanu Taiao-Pānuitia Ngā Aratohu. 2024. Available online: https://www.tiakitamakimakaurau.nz/protect-and-restore-our-environment/te-haumanu-taiao-restoring-natural-environment/te-haumanu-taiao-guide/ (accessed on 29 August 2025).
- Martin, P.H.; Canham, C.D.; Marks, P.L. Why forests appear resistant to exotic plant invasions: Intentional introductions; stand dynamics; and the role of shade tolerance. Front. Ecol. Environ. 2009, 7, 142–149. [Google Scholar] [CrossRef]





| Group | Variable | Unrestored with Mean ± SD | Unrestored Without Mean ± SD | Restored with Mean ± SD | Restored Without Mean ± SD |
|---|---|---|---|---|---|
| Native | Abundance | 659.5 ± 449.3 | 61.5 ± 50.0 | 295.0 ± 82.0 | 351.8 ± 186.9 |
| Richness | 32.8 ± 3.8 | 8.5 ± 5.8 | 38.5 ± 23.3 | 29.5 ± 12.5 | |
| Rarefied richness | 20.2 ± 1.4 | 6.7 ± 5.0 | 20.0 ± 4.5 | 16.1 ± 1.1 | |
| Exotic | Abundance | 40.8 ± 25.0 | 132.3 ± 125.8 | 16.5 ± 25.2 | 54.8 ± 49.3 |
| Richness | 7.0 ± 1.4 | 7.3 ± 4.0 | 3.5 ± 1.7 | 8.0 ± 3.4 | |
| Rarefied richness | 4.4 ± 2.4 | 4.6 ± 2.9 | 2.1 ± 1.6 | 6.5 ± 3.4 | |
| Total | Abundance | 700.3 ± 465.9 | 193.8 ± 169.3 | 311.5 ± 66.4 | 406.5 ± 195.2 |
| Richness | 39.8 ± 5.0 | 15.8 ± 7.9 | 42.0 ± 22.7 | 37.5 ± 14.0 | |
| Rarefied richness | 24.3 ± 2.3 | 13.0 ± 2.8 | 22.5 ± 5.2 | 22.1 ± 3.8 | |
| Basal area | 25.7 ± 12.2 | 9.0 ± 6.8 | 18.5 ± 3.3 | 18.4 ± 3.4 |
| Model | Predictors | Incidence Rate Ratio | 95% CI | p-Value |
|---|---|---|---|---|
| Total native abundances | (Intercept) | 294.83 | 119.39–679.37 | <0.001 |
| Tree ferns [Yes] | 0.76 | 0.28–1.93 | 0.571 | |
| Status [Unrestored] | 0.42 | 0.01–14.98 | 0.633 | |
| Restoration age [log(x) + 1] | 1.49 | 0.35–6.51 | 0.584 | |
| Tree ferns [Yes] × Status [Unrestored] | 14.12 | 2.92–108.85 | 0.003 | |
| Rarefied native species richness (n = 200) | (Intercept) | 13.10 | 8.65–19.45 | <0.001 |
| Tree ferns [Yes] | 1.10 | 0.71–1.71 | 0.663 | |
| Status [Unrestored] | 1.18 | 0.27–5.17 | 0.825 | |
| Restoration age [log(x) + 1] | 1.60 | 0.87–2.97 | 0.133 | |
| Tree ferns [Yes] × Status [Unrestored] | 2.72 | 1.38–5.55 | 0.005 | |
| Rarefied seedling richness (n = 50) | (Intercept) | 4.53 | 2.46–8.00 | <0.001 |
| Tree ferns [Yes] | 0.47 | 0.22–0.93 | 0.037 | |
| Status [Unrestored] | 2.72 | 0.25–33.83 | 0.420 | |
| Restoration age [log(x) + 1] | 3.00 | 1.10–8.78 | 0.036 | |
| Tree ferns [Yes] × Status [Unrestored] | 3.89 | 1.26–13.07 | 0.021 | |
| Ground fern abundances | (Intercept) | 12.67 | 2.26–49.91 | 0.001 |
| Tree ferns [Yes] | 7.45 | 2.47–33.96 | 0.002 | |
| Status [Unrestored] | 0.15 | 0.00–8.77 | 0.368 | |
| Restoration age [ log(x) + 1] | 0.38 | 0.05–2.02 | 0.288 | |
| Rarefied ground fern richness (n = 50) | (Intercept) | 0.99 | 0.41–2.14 | 0.974 |
| Tree ferns [Yes] | 3.98 | 2.24–7.60 | <0.001 | |
| Status [Unrestored] | 1.42 | 0.12–16.66 | 0.776 | |
| Restoration age [log1p] | 0.95 | 0.34–2.54 | 0.922 | |
| Native epiphyte abundances | (Intercept) | 15.28 | 0.03–493.91 | 0.211 |
| Tree ferns [Yes] | 6.77 | 0.80–401.85 | 0.156 | |
| Status [Unrestored] | 3.35 | 0.00–22.29 × 106 | 0.850 | |
| Restoration age [log(x) + 1] | 0.89 | 0.00–252.60 | 0.963 | |
| Rarefied native epiphyte richness (n = 50) | (Intercept) | 0.62 | 0.18–1.77 | 0.411 |
| Tree ferns [Yes] | 5.40 | 2.42–14.23 | <0.001 | |
| Status [Unrestored] | 10.21 | 0.59–229.80 | 0.123 | |
| Restoration age [log(x) + 1] | 2.25 | 0.72–7.26 | 0.163 |
| Plant Group | Variable | Unrestored with Mean ± SD | Unrestored Without Mean ± SD | Restored with Mean ± SD | Restored Without Mean ± SD |
|---|---|---|---|---|---|
| Tree ferns | Abundance | 68.8 ± 33.9 | 0.8 ± 1.5 | 25.0 ± 12.1 | 0.5 ± 1.0 |
| Richness | 2.3 ± 1.3 | 0.3 ± 0.5 | 2.3 ± 1.0 | 0.3 ± 0.5 | |
| Rarefied richness | 2.1 ± 1.3 | 1 ± 0.0 | 2.3 ± 1.0 | 1 ± 0.0 | |
| Basal area | 21.1 ± 10.5 | 0.2 ± 0.4 | 6.1 ± 1.5 | 0.0 ± 0.0 | |
| Seedlings | Abundance | 24.3 ± 4.0 | 7.3 ± 11.3 | 101.5 ± 100.9 | 125.0 ± 144.7 |
| Richness | 3.5 ± 1.0 | 1.3 ± 1.3 | 7.8 ± 6.6 | 9.3 ± 5.6 | |
| Rarefied richness | 3.2 ± 1.2 | 1.8 ± 1.5 | 4.9 ± 3.3 | 7.4 ± 3.2 | |
| Saplings | Abundance | 23.8 ± 12.2 | 15.3 ± 16.5 | 72.5 ± 34.4 | 79.5 ± 40.3 |
| Richness | 5.3 ± 3.1 | 1.5 ± 0.6 | 11.0 ± 8.8 | 7.8 ± 2.9 | |
| Rarefied richness | 4.5 ± 2.7 | 1.5 ± 0.6 | 5.5 ± 3.1 | 6.0 ± 1.6 | |
| Trees | Abundance | 59.8 ± 21.0 | 6.0 ± 7.1 | 33.3 ± 9.4 | 30.5 ± 9.7 |
| Richness | 4.3 ± 1.3 | 2.3 ± 2.9 | 8.0 ± 2.9 | 9.5 ± 4.5 | |
| Rarefied richness | 3.1 ± 0.6 | 2.7 ± 2.3 | 6.3 ± 3.2 | 7.7 ± 3.4 | |
| Ground ferns | Abundance | 75.8 ± 53.9 | 14.3 ± 22.0 | 58.3 ± 45.7 | 4.8 ± 5.0 |
| Richness | 6.3 ± 1.0 | 2.0 ± 1.4 | 5.8 ± 3.8 | 1.8 ± 1.5 | |
| Rarefied richness | 5.9 ± 1.5 | 1.8 ± 1.3 | 4.0 ± 1.4 | 0.8 ± 1.0 | |
| Epiphytes | Abundance | 486.5 ± 376.0 | 7.3 ± 10.4 | 39.5 ± 36.2 | 70.8 ± 131.1 |
| Richness | 13.5 ± 3.3 | 1.5 ± 1.7 | 6.0 ± 5.5 | 1.3 ± 1.5 | |
| Rarefied richness | 8.6 ± 1.9 | 1.0 ± 1.4 | 5.5 ± 5.1 | 1.4 ± 1.1 |
| Model | Predictors | Incidence Rate Ratio | 95% CI | p-Value |
|---|---|---|---|---|
| Rarefied native richness (n = 200) | (Intercept) | 14.46 | 12.58–16.49 | <0.001 |
| Tree fern basal area | 1.37 | 1.19–1.58 | <0.001 | |
| Restoration age | 1.58 | 1.29–1.94 | <0.001 | |
| Maximum tree height | 0.75 | 0.62–0.91 | 0.003 | |
| Average slope | 0.88 | 0.75–1.03 | 0.108 | |
| Rarefied exotic richness (n = 50) | (Intercept) | 4.30 | 3.35–5.40 | <0.001 |
| Tree fern basal area | 0.82 | 0.63–1.05 | 0.117 | |
| Rarefied native seedling richness (n = 50) | (Intercept) | 3.91 | 2.97–5.02 | <0.001 |
| Restoration age | 1.64 | 1.27–2.16 | <0.001 | |
| Rarefied native sapling richness (n = 50) | (Intercept) | 3.84 | 2.89–4.96 | <0.001 |
| Restoration age | 2.15 | 1.46–3.25 | <0.001 | |
| Tree fern basal area | 1.20 | 0.91–1.58 | 0.194 | |
| Maximum tree height | 0.63 | 0.43–0.90 | 0.014 | |
| Average slope | 0.71 | 0.50–0.96 | 0.037 | |
| Rarefied native tree richness (n = 50) | (Intercept) | 4.41 | 3.41–5.57 | <0.001 |
| Restoration age | 1.82 | 1.37–2.44 | <0.001 | |
| Maximum tree age | 0.78 | 0.60–1.02 | 0.065 | |
| Rarefied ground fern richness (n = 50) | (Intercept) | 2.59 | 1.81–3.53 | <0.001 |
| Tree fern basal area | 1.89 | 1.40–2.61 | <0.001 | |
| Rarefied native epiphyte richness (n = 50) | (Intercept) | 2.96 | 2.09–4.01 | <0.001 |
| Tree fern basal area | 2.35 | 1.77–3.20 | <0.001 |
Disclaimer/Publisher’s Note: The statements, opinions and data contained in all publications are solely those of the individual author(s) and contributor(s) and not of MDPI and/or the editor(s). MDPI and/or the editor(s) disclaim responsibility for any injury to people or property resulting from any ideas, methods, instructions or products referred to in the content. |
© 2025 by the authors. Licensee MDPI, Basel, Switzerland. This article is an open access article distributed under the terms and conditions of the Creative Commons Attribution (CC BY) license (https://creativecommons.org/licenses/by/4.0/).
Share and Cite
Rogers, H.C.; Burdon, F.J.; Clarkson, B.D. Tree Ferns Augment Native Plant Richness and Influence Composition in Urban Plant Communities. Forests 2025, 16, 1498. https://doi.org/10.3390/f16091498
Rogers HC, Burdon FJ, Clarkson BD. Tree Ferns Augment Native Plant Richness and Influence Composition in Urban Plant Communities. Forests. 2025; 16(9):1498. https://doi.org/10.3390/f16091498
Chicago/Turabian StyleRogers, Hannah C., Francis J. Burdon, and Bruce D. Clarkson. 2025. "Tree Ferns Augment Native Plant Richness and Influence Composition in Urban Plant Communities" Forests 16, no. 9: 1498. https://doi.org/10.3390/f16091498
APA StyleRogers, H. C., Burdon, F. J., & Clarkson, B. D. (2025). Tree Ferns Augment Native Plant Richness and Influence Composition in Urban Plant Communities. Forests, 16(9), 1498. https://doi.org/10.3390/f16091498

