The Use of High-Flow Nasal Cannula and Non-Invasive Mechanical Ventilation in the Management of COVID-19 Patients: A Prospective Study
Abstract
:1. Introduction
2. Materials and Methods
2.1. Inclusion Criteria
2.2. Exclusion Criteria
2.3. Settings for HFNC
2.4. Settings for NIV
2.5. Statistical Analysis
3. Results
3.1. Results of Statistical Analysis for Success/Failure of HFNC and Ventilator NIV
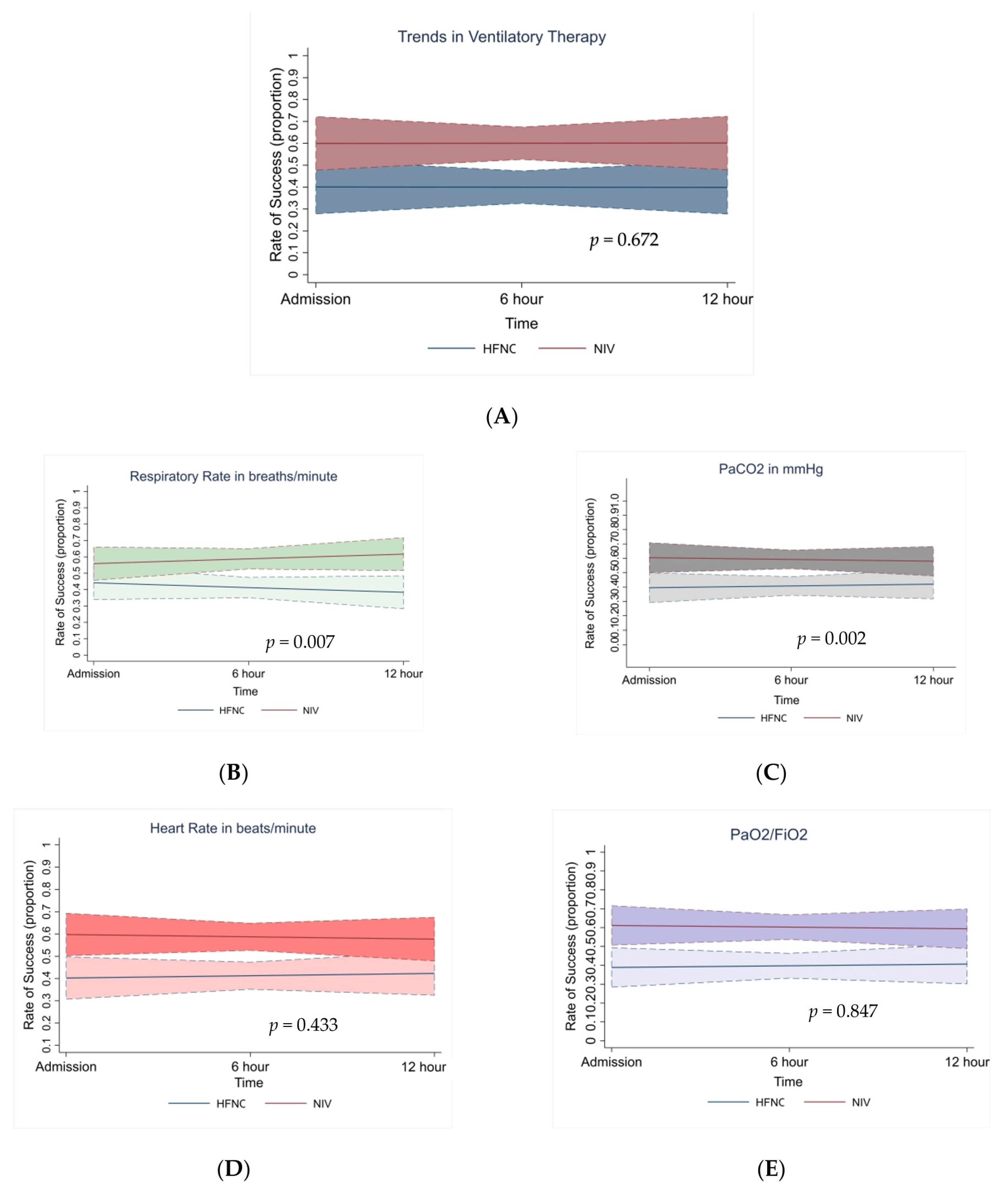
3.2. The Role of Vital Parameters in the Successful Outcome of Either Ventilation Therapy
3.3. Results of Statistical Analysis for Mortality Outcomes in HFNC and Ventilator NIV
4. Discussion
5. Conclusions
Author Contributions
Funding
Institutional Review Board Statement
Informed Consent Statement
Data Availability Statement
Acknowledgments
Conflicts of Interest
Abbreviations
| Abbreviation/Acronym | Definition/Full-form | 
| APACHE II | Acute Physiology and Chronic Health Evaluation | 
| ARDS | Acute Respiratory Distress | 
| CI | Confidence Interval | 
| COVID-19 | Coronavirus Disease 2019 | 
| CPAP | Continuous Positive Airway Pressure | 
| GEE | Generalized Estimating Equations | 
| HFNC | High-Flow Nasal Cannula | 
| HR | Hazard Ratio | 
| ICU | Intensive Care Unit | 
| ISCCM | Indian Society of Critical Care Medicine | 
| LMICs | Low- and Middle-Income Countries | 
| MODS | Multi-Organ Dysfunction Syndrome | 
| MOHFW | Ministry Of Health and Family Welfare | 
| NIV | Non-Invasive Ventilation | 
| NLR | Neutrophil-to-Lymphocyte Ratio | 
| PaO2 | Partial Pressure of Oxygen | 
| PaO2/FiO2 | Ratio of Partial Pressure of Arterial Oxygen and Fraction of Inspired Oxygen | 
| PH | Acidity/Alkalinity | 
| RT-PCR | Reverse Transcription Polymerase Chain Reaction | 
| RR | Respiratory Rate | 
| SPO2/FIO2 | Ratio of Oxygen Saturation to The Fraction of Inspired Oxygen | 
References
- Nishimura, M. High-Flow Nasal Cannula Oxygen Therapy in Adults. J. Intensive Care 2015, 3, 15. [Google Scholar] [CrossRef]
- Sryma, P.B.; Mittal, S.; Madan, K.; Mohan, A.; Tiwari, P.; Hadda, V.; Pandey, R.M.; Guleria, R. Awake Prone Positioning in Non-Intubated Patients for the Management of Hypoxemia in COVID-19: A Systematic Review and Meta-Analysis. Monaldi Arch. Chest Dis. 2021, 91. [Google Scholar] [CrossRef]
- De Jong, A.; Hernandez, G.; Chiumello, D. Is There Still a Place for Noninvasive Ventilation in Acute Hypoxemic Respiratory Failure? Intensive Care Med. 2018, 44, 2248–2250. [Google Scholar] [CrossRef] [PubMed]
- Chawla, R.; Dixit, S.B.; Zirpe, K.G.; Chaudhry, D.; Khilnani, G.C.; Mehta, Y.; Khatib, K.I.; Jagiasi, B.G.; Chanchalani, G.; Mishra, R.C.; et al. ISCCM Guidelines for the Use of Non-Invasive Ventilation in Acute Respiratory Failure in Adult ICUs. Indian J. Crit. Care Med. Peer-Rev. Off. Public Indian Soc. Crit. Care Med. 2020, 24, S61–S81. [Google Scholar] [CrossRef]
- Shoukri, A.M. High Flow Nasal Cannula Oxygen and Non-Invasive Mechanical Ventilation in Management of COVID-19 Patients with Acute Respiratory Failure: A Retrospective Observational Study. Egypt. J. Bronchol. 2021, 15, 17. [Google Scholar] [CrossRef]
- Costa, W.N.d.S.; Miguel, J.P.; Prado, F.D.S.; Lula, L.H.S.d.M.; Amarante, G.A.J.; Righetti, R.F.; Yamaguti, W.P. Noninvasive Ventilation and High-Flow Nasal Cannula in Patients with Acute Hypoxemic Respiratory Failure by COVID-19: A Retrospective Study of the Feasibility, Safety and Outcomes. Respir. Physiol. Neurobiol. 2022, 298, 103842. [Google Scholar] [CrossRef]
- Duan, J.; Chen, B.; Liu, X.; Shu, W.; Zhao, W.; Li, J.; Li, Y.; Hong, Y.; Pan, L.; Wang, K. Use of High-Flow Nasal Cannula and Noninvasive Ventilation in Patients with COVID-19: A Multicenter Observational Study. Am. J. Emerg. Med. 2021, 46, 276–281. [Google Scholar] [CrossRef]
- Perkins, G.D.; Ji, C.; Connolly, B.A.; Couper, K.; Lall, R.; Baillie, J.K.; Bradley, J.M.; Dark, P.; Dave, C.; De Soyza, A.; et al. Effect of Noninvasive Respiratory Strategies on Intubation or Mortality Among Patients with Acute Hypoxemic Respiratory Failure and COVID-19: The RECOVERY-RS Randomized Clinical Trial. JAMA 2022, 327, 546–558. [Google Scholar] [CrossRef] [PubMed]
- Ranieri, V.M.; Tonetti, T.; Navalesi, P.; Nava, S.; Antonelli, M.; Pesenti, A.; Grasselli, G.; Grieco, D.L.; Menga, L.S.; Pisani, L.; et al. High-Flow Nasal Oxygen for Severe Hypoxemia: Oxygenation Response and Outcome in Patients with COVID-19. Am. J. Respir. Crit. Care Med. 2022, 205, 431–439. [Google Scholar] [CrossRef]
- Nair, P.R.; Haritha, D.; Behera, S.; Kayina, C.A.; Maitra, S.; Anand, R.K.; Ray, B.R.; Soneja, M.; Subramaniam, R.; Baidya, D.K. Comparison of High-Flow Nasal Cannula and Noninvasive Ventilation in Acute Hypoxemic Respiratory Failure Due to Severe COVID-19 Pneumonia. Respir. Care 2021, 66, 1824–1830. [Google Scholar] [CrossRef]
- Pearson, S.D.; Stutz, M.R.; Lecompte-Osorio, P.; Wolfe, K.S.; Pohlman, A.S.; Hall, J.B.; Kress, J.P.; Patel, B.K. Helmet Noninvasive Ventilation Versus High Flow Nasal Cannula for COVID-19 Related Acute Hypoxemic Respiratory Failure. In Proceedings of the American Thoracic Society 2021 International Conference, San Diego, CA, USA, 14–19 May 2021; Volume 203, p. A2599. [Google Scholar]
- Grieco, D.L.; Menga, L.S.; Cesarano, M.; Rosà, T.; Spadaro, S.; Bitondo, M.M.; Montomoli, J.; Falò, G.; Tonetti, T.; Cutuli, S.L.; et al. Effect of Helmet Noninvasive Ventilation vs. High-Flow Nasal Oxygen on Days Free of Respiratory Support in Patients with COVID-19 and Moderate to Severe Hypoxemic Respiratory Failure: The HENIVOT Randomized Clinical Trial. J. Am. Med. Assoc. 2021, 325, 1731–1743. [Google Scholar] [CrossRef]
- COVID-ICU Group, for the REVA Network, COVID-ICU Investigators. Benefits and Risks of Noninvasive Oxygenation Strategy in COVID-19: A Multicenter, Prospective Cohort Study (COVID-ICU) in 137 Hospitals. Crit. Care Lond. Engl. 2021, 25, 421. [Google Scholar] [CrossRef]
- Vianello, A.; Turrin, M.; Guarnieri, G.; Molena, B.; Arcaro, G.; Turato, C.; Braccioni, F.; Bertagna De Marchi, L.; Lionello, F.; Subotic, P.; et al. Prone Positioning Is Safe and May Reduce the Rate of Intubation in Selected COVID-19 Patients Receiving High-Flow Nasal Oxygen Therapy. J. Clin. Med. 2021, 10, 3404. [Google Scholar] [CrossRef] [PubMed]
- Wilson, N.M.; Marks, G.B.; Eckhardt, A.; Clarke, A.M.; Young, F.P.; Garden, F.L.; Stewart, W.; Cook, T.M.; Tovey, E.R. The Effect of Respiratory Activity, Non-Invasive Respiratory Support and Facemasks on Aerosol Generation and Its Relevance to COVID-19. Anaesthesia 2021. [Google Scholar] [CrossRef] [PubMed]
- Wadhawa, R.; Thakkar, A.; Chhanwal, H.S.; Bhalotra, A.; Rana, Y.; Wadhawa, V. Spontaneous Pneumomediastinum and Subcutaneous Emphysema in Patients with COVID-19. Saudi J. Anaesth. 2021, 15, 93–96. [Google Scholar] [CrossRef] [PubMed]
- Sryma, P.; Mittal, S.; Mohan, A.; Madan, K.; Tiwari, P.; Bhatnagar, S.; Trikha, A.; Dosi, R.; Bhopale, S.; Viswanath, R.; et al. Effect of Proning in Patients with COVID-19 Acute Hypoxemic Respiratory Failure Receiving Noninvasive Oxygen Therapy. Lung India 2021, 38, S6–S10. [Google Scholar] [CrossRef]
- Zhao, Z.; Cao, H.; Cheng, Q.; Li, N.; Zhang, S.; Ge, Q.; Shen, N.; Yang, L.; Shi, W.; Bai, J.; et al. Effect of Noninvasive Positive Pressure Ventilation and High-Flow Nasal Cannula Oxygen Therapy on the Clinical Efficacy of Coronavirus Disease 2019 Patients with Acute Respiratory Distress Syndrome. Zhonghua Wei Zhong Bing Ji Jiu Yi Xue 2021, 33, 708–713. [Google Scholar] [CrossRef]
- Peng, Y.; Dai, B.; Zhao, H.; Wang, W.; Kang, J.; Hou, H.; Tan, W. Comparison between High-Flow Nasal Cannula and Noninvasive Ventilation in COVID-19 Patients: A Systematic Review and Meta-Analysis. Ther. Adv. Respir. Dis. 2022, 16, 17534666221113664. [Google Scholar] [CrossRef]
- Abate, S.M.; Ali, S.A.; Mantfardo, B.; Basu, B. Rate of Intensive Care Unit Admission and Outcomes among Patients with Coronavirus: A Systematic Review and Meta-Analysis. PLoS ONE 2020, 15, e0235653. [Google Scholar] [CrossRef]
- Schmidt, M.; Hajage, D.; Demoule, A.; Pham, T.; Combes, A.; Dres, M.; Lebbah, S.; Kimmoun, A.; Mercat, A.; Beduneau, G.; et al. Clinical Characteristics and Day-90 Outcomes of 4244 Critically Ill Adults with COVID-19: A Prospective Cohort Study. Intensive Care Med. 2021, 47, 60–73. [Google Scholar] [CrossRef]
- COVID-19 Treatment Guidelines Panel Coronavirus Disease 2019 (COVID-19) Treatment Guidelines. National Institutes of Health. Available online: https://www.covid19treatmentguidelines.nih.gov/ (accessed on 1 September 2020).
- Zirpe, K.G. Timing of Invasive Mechanical Ventilation and Mortality among Patients with Severe COVID-19-Associated Acute Respiratory Distress Syndrome. Indian Soc. Crit. Care Med. 2021, 25, 493–498. [Google Scholar] [CrossRef]
- Government of India, Ministry of Health and Family Welfare. Clinical Management Protocol for COVID-19 (In Adults), Version 6. 2021. Available online: https://www.mohfw.gov.in/pdf/UpdatedDetailedClinicalManagementProtocolforCOVID19adultsdated24052021.pdf (accessed on 1 August 2023).
- Pisani, L.; Fasano, L.; Corcione, N. Change in Pulmonary Mechanics and the Effect on Breathing Pattern of High Flow Oxygen Therapy in Stable Hypercapnic COPD. Thorax 2017, 72, 373–375. [Google Scholar] [CrossRef]
- Bräunlich, J.; Beyer, D.; Hammerschmidt, S.; Seyfarth, H.; Wirtz, H. Effects of Nasal High Flow on Ventilation in Volunteers, COPD and Idiopathic Pulmonary Fibrosis Patients. Respiration 2013, 85, 319–325. [Google Scholar] [CrossRef]
- Bräunlich, J.; Dellweg, D.; Bastian, A.; Budweiser, S.; Randerath, W.J.; Triché, D.; Bachmann, M.; Kähler, C.; Bayarassou, A.; Mäder, I.; et al. Nasal High-Flow versus Noninvasive Ventilation in Patients with Chronic Hypercapnic COPD. Int. J. Chron. Obstruct. Pulmon. Dis. 2019, 5, 1411–1421. [Google Scholar] [CrossRef] [PubMed]
- Frat, J.-P.; Thille, A.W.; Mercat, A.; Girault, C.; Ragot, S.; Perbet, S.; Prat, G.; Boulain, T.; Morawiec, E.; Cottereau, A.; et al. High-Flow Oxygen through Nasal Cannula in Acute Hypoxemic Respiratory Failure. N. Engl. J. Med. 2015, 372, 2185–2196. [Google Scholar] [CrossRef]
- Avdeev, S.N. Non-Invasive Ventilation in Patients with Novel Coronavirus Infection COVID-19. Pulmonologiya 2020, 30, 679–687. [Google Scholar] [CrossRef]
- Wang, Z.; Wang, Z. Identification of Risk Factors for In-Hospital Death of COVID-19 Pneumonia-Lessions from the Early Outbreak. BMC Infect. Dis. 2021, 21, 113. [Google Scholar] [CrossRef] [PubMed]
- Coudroy, R.; Frat, J.-P.; Ehrmann, S.; Pène, F.; Decavèle, M.; Terzi, N.; Prat, G.; Garret, C.; Contou, D.; Gacouin, A.; et al. High-Flow Nasal Oxygen Alone or Alternating with Non-Invasive Ventilation in Critically Ill Immunocompromised Patients with Acute Respiratory Failure: A Randomised Controlled Trial. Lancet Respir. Med. 2022, 10, 641–649. [Google Scholar] [CrossRef] [PubMed]





| All Patients (N = 88) | HFNC (N = 37) | NIV (N = 51) | p-Value | |
|---|---|---|---|---|
| Age (years) | 59.0 (39.7–78.3) | 61.5 (54.9–69.1) | 55.0 (45.0–66.0) | 0.172 | 
| Gender | ||||
| Male (n, %) | 71 (80.7) | 30 (81.1) | 41 (80.4) | 0.830 | 
| Female (n, %) | 17 (19.3) | 7 (18.9) | 10 (19.6) | |
| Duration of ICU stay (days) | 8.0 (5.0–12.0) | 8.00 (4.0–12.0) | 7.00 (2.0–12.0) | 0.055 | 
| APACHE II score | 10.0 (7.8–13.0) | 9.0 (7.0–12.0) | 11.0 (8.0–13.8) | 0.100 | 
| Systolic blood pressure | 130.0 (120.0–140.0) | 132.0 (129.8–150.0) | 136.0 (130.0–148.3) | 0.840 | 
| Diastolic blood pressure | 76.0 (70.0–80.0) | 80.0 (71.2–88.8) | 70.0 (59.9–60.1) | 0.338 | 
| Complications | 18.0 (20.5) | 6.0 (16.2) | 12.0 (23.5) | 0.402 | 
| Outcomes | ||||
| Success rate (n, %) | 48 (54.5) | 16 (43.2) | 32 (62.7) | 0.690 | 
| Intubation rate (n, %) | 28 (31.8) | 11 (29.7) | 17 (33.3) | 0.720 | 
| Mortality rate (n, %) | 13 (14.8) | 4 (10.8) | 9 (17.6) | 0.370 | 
| Switch to HFNC (n, %) | 3 (3.4) | - | 3 (5.8) | -- | 
| Switch to NIV (n, %) | 17 (20.4) | 17 (37.8) | - | -- | 
| Comorbidities | ||||
| Hypertension (n, %) | 45 (51.1) | 21 (56.7) | 24 (47.1) | 0.390 | 
| Chronic Cardiac disease (n, %) | 11 (12.5) | 3 (8.1) | 8 (15.6) | 0.220 | 
| Chronic respiratory disease (n, %) | 3 (3.4) | 1 (2.7) | 2 (3.9) | 0.230 | 
| Others (n, %) | 11 (12.5) | 3 (8.1) | 8 (15.6) | 0.610 | 
| Haematological investigations | ||||
| Haemoglobin | 12.82 ± 1.96 | 13.13 ± 1.81 | 12.60 ± 2.05 | 0.211 | 
| Total Leukocyte Count | 10.10 (4.67–15.53) | 9.700 (7.60–13.07) | 11.54 (8.08–13.19) | 0.067 | 
| Platelet | 2.875 (1.90–3.85) | 2.90 (2.50–3.20) | 3.0 (2.40–3.60) | 0.100 | 
| NLR | 11.28 (0.61–21.89) | 11.40 (8.80–15.0) | 12.00 (6.00–17.70) | 0.478 | 
| Urea | 43.00 (23.25–62.75) | 43.0 (36.0–48.7) | 45.0 (32.30–59.30) | 0.087 | 
| Creatinine | 0.810 (0.53–1.09) | 0.80 (0.70–0.90) | 0.80 (0.70–1.00) | 0.279 | 
| Sodium | 137.00 (131.25–142.75) | 136.0 (132.0–140.0) | 138 (132.12–143.88) | 0.018 | 
| Potassium | 4.35 (3.65–5.05) | 4.40 (3.90–4.70) | 4.40 (4.10–4.70) | 0.576 | 
| Chloride | 97.00 (92.25–101.75) | 96.47 ± 3.10 | 97.97 ± 5.18 | 0.122 | 
| At Admission | After 6 h | After 12 h | p-Value | |
|---|---|---|---|---|
| HFNC | ||||
| RR | 31.14 (22–42) | 26.65 (21–38) | 24.68 (19.0–38) | <0.01 | 
| PaCO2 | 33.47 (22–61) | 34.26 (24.9–54) | 33.97 (23–52) | 0.04 | 
| HR | 106.97 (74–150) | 102.65 (64–162) | 100.94 (52–150) | 0.02 | 
| PaO2/FiO2 | 134.38(58–241.5) | 144.38 (61–262.7) | 157.90 (61–300) | 0.03 | 
| NIV | ||||
| RR | 31.46 (21–50) | 29.04 (22.0–46.0) | 28.10 (22.0–48.0) | 0.03 | 
| PaCO2 | 35.47 (18–81) | 38.30 (25–74) | 38.34 (22–69) | 0.04 | 
| HR | 100.80 (46–200) | 100.49 (46–148) | 104.95 (46–158) | <0.01 | 
| PaO2/FiO2 | 134.38 (58–241.5) | 145.86 (61–262.5) | 156.53 (61–300) | <0.01 | 
| HFNC (N = 37) | NIV (N = 51) | |||
|---|---|---|---|---|
| Unadjusted Beta Co-Efficient (β) | Adjusted Beta Co-Efficient (aβ) | Unadjusted Beta Co-Efficient (β) | Adjusted Beta Co-Efficient (aβ) | |
| RR | −0.11 (−0.16, −0.07) *** | −0.11 (−0.16, −0.07) *** | −0.05 (−0.09, −0.02) ** | −0.05 (−0.09, −0.02) ** | 
| PaCO2 | 0.007 (−0.03, 0.04) | 0.005 (−0.03, 0.04) | 0.03 (0.004, 0.071) * | 0.03 (0.004, 0.072) * | 
| HR | −0.029 (−0.05, −0.006) * | −0.029 (−0.05, −0.006) * | 0.02 (0.0004, 0.039) * | 0.01 (−0.0006, 0.038) | 
| PaO2/FiO2 | 0.0042 (0.0005, 0.0080) * | 0.0044 (0.0005, 0.0083) * | 0.053 (0.035, 0.071) *** | 0.054 (0.036, 0.072) *** | 
| Characteristic | HR (Univariable) | HR (Multivariable) | |
|---|---|---|---|
| Age | 1.0 (0.97–1.03) | 0.98 (0.94–1.01) | |
| Sex | Male | - | - | 
| Female | 0.58 (0.17–1.92) | 0.81 (0.23–2.85) | |
| Intervention | NIV | - | - | 
| HFNC | 0.57 (0.26–1.26) | 0.80 (0.32–1.97) | |
| APACHE II | 1.31 (1.06–1.61) * | 1.32 (1.06–1.64) * | |
| Complications † | Absent | - | - | 
| Present | 5.35 (2.26–12.68) *** | 3.02 (0.98–9.25) | |
| Comorbidities | |||
| Hypertension | Absent | - | - | 
| Present | 0.95 (0.44–2.07) | 0.98 (0.42–2.32) | |
| Chronic Heart Disease | Absent | - | - | 
| Present | 1.12 (1.05–1.20) *** | 1.42 (1.08–1.88) * | |
| Chronic Kidney Disease | Absent | - | - | 
| Present | 1.39 (0.18–10.43) | 0.64 (0.02–17.04) | |
| Chronic Respiratory disease | Absent | - | - | 
| Present | 4.24 (1.68–10.69) ** | 5.18 (1.45–18.46) * | |
| Author | Number of Patients | Type of NIV | Outcome | Comments | ||
|---|---|---|---|---|---|---|
| Failure and Need for IMV | Ventilator-Free Days | Mortality | ||||
| Grieco et al. [12] | 109 | Ventilator NIV | Lower in the NIV group | Similar in both groups | No significant difference | Patients requiring helmet NIV for >48 h were eventually treated with HFNC, diluting the treatment effect from NIV alone | 
| Nair PR et al. [10] | 199 | Data not available | Lower in the HFNC group at 7 days | Not available | No significant difference | Single-centre randomized controlled trial did not find the difference between NIV and HFNC | 
| COVID-ICU cohort [13] | 556 | 11 patients out of 34 received portable CPAP. Rest received ventilator NIV | No significant difference | Not assessed between HFNC and NIV groups | Higher mortality in the NIV group | Only 34 patients received NIV. The remaining 484 patients received HFNC | 
| Recovery-RS trial [8] | 798 | Portable CPAP delivered via NIV device | Lower in the CPAP group | Not assessed | Lower in the CPAP group | The trial was CPAP over HFNC | 
| Costa WNS et al. [6] | 37 | Portable NIV device | No significant difference | Not assessed | No significant difference | Only 14 patients received NIV and the majority received HFNC | 
| Our study | 88 | Ventilator NIV | No significant difference | Not assessed | No significant difference | Performed on moderate ARDS only | 
| Pearson et al. [11] | 109 | NIV delivered via Helmet | No significant difference | Not assessed | Similar in both groups | Performed on both moderate and severe ARDS | 
| Ranieri et al. [9] | 315 | Ventilator NIV | Lower in the HFNC group | Not assessed | Similar in both groups | No significant difference in outcome between groups | 
| Shoukri et al. [5] | 63 | Ventilator NIV | No significant difference | Not assessed | Similar in both groups | No significant difference in outcome between groups | 
| Disclaimer/Publisher’s Note: The statements, opinions and data contained in all publications are solely those of the individual author(s) and contributor(s) and not of MDPI and/or the editor(s). MDPI and/or the editor(s) disclaim responsibility for any injury to people or property resulting from any ideas, methods, instructions or products referred to in the content. | 
© 2023 by the authors. Licensee MDPI, Basel, Switzerland. This article is an open access article distributed under the terms and conditions of the Creative Commons Attribution (CC BY) license (https://creativecommons.org/licenses/by/4.0/).
Share and Cite
Arunachala, S.; Parthasarathi, A.; Basavaraj, C.K.; Malamardi, S.; Chandran, S.; Venkataraman, H.; Ullah, M.K.; Ganguly, K.; Upadhyay, S.; Mahesh, P.A. The Use of High-Flow Nasal Cannula and Non-Invasive Mechanical Ventilation in the Management of COVID-19 Patients: A Prospective Study. Viruses 2023, 15, 1879. https://doi.org/10.3390/v15091879
Arunachala S, Parthasarathi A, Basavaraj CK, Malamardi S, Chandran S, Venkataraman H, Ullah MK, Ganguly K, Upadhyay S, Mahesh PA. The Use of High-Flow Nasal Cannula and Non-Invasive Mechanical Ventilation in the Management of COVID-19 Patients: A Prospective Study. Viruses. 2023; 15(9):1879. https://doi.org/10.3390/v15091879
Chicago/Turabian StyleArunachala, Sumalatha, Ashwaghosha Parthasarathi, Chetak Kadabasal Basavaraj, Sowmya Malamardi, Shreya Chandran, Hariharan Venkataraman, Mohammed Kaleem Ullah, Koustav Ganguly, Swapna Upadhyay, and Padukudru Anand Mahesh. 2023. "The Use of High-Flow Nasal Cannula and Non-Invasive Mechanical Ventilation in the Management of COVID-19 Patients: A Prospective Study" Viruses 15, no. 9: 1879. https://doi.org/10.3390/v15091879
APA StyleArunachala, S., Parthasarathi, A., Basavaraj, C. K., Malamardi, S., Chandran, S., Venkataraman, H., Ullah, M. K., Ganguly, K., Upadhyay, S., & Mahesh, P. A. (2023). The Use of High-Flow Nasal Cannula and Non-Invasive Mechanical Ventilation in the Management of COVID-19 Patients: A Prospective Study. Viruses, 15(9), 1879. https://doi.org/10.3390/v15091879
 
        




 
       