Abstract
The introduction of autonomous vehicles (AVs) has the potential to drastically change society, planning, design, and development strategies. This study uses the PRISMA protocol to carry out a systematic literature review, focusing on the backcasting method as an analytic tool. By examining. 21 studies published between 2003 and 2024, this paper highlights the phases of backcasting: visioning, policy packaging, and appraisal, and identifies critical factors necessary for the successful integration of AVs. Visioning for future driverless cities includes high-quality urban areas, active mobility, and innovative developments. Policies and Packaging suggested a focus on restricting vehicular access, transit-oriented development, and encouraging public transportation. Appraisal reveals skepticism about the positive impacts of AVs, urging policies that limit access to urban areas and promote sustainable modes of transportation. The main contribution of this study lies in its comprehensive application of backcasting to AV implementation, offering a structured approach to envisioning future urban scenarios, formulating supportive policies, and evaluating their impact. This analysis provides a solid foundation for future research, urging us to explore the intersection between AVs, citizen participation, and environmental sustainability to achieve more efficient and sustainable cities.
1. Introduction
The introduction of new technologies, such as autonomous driving, has led to changes in the development of cities and surrounding territories [1]. Due to this, urbanization models have also found it necessary to change their vision for future transportation development and planning [2,3,4]. A clear example is the introduction of autonomous vehicles (AVs) as a new form of mobility in cities [5,6,7].
AVs, specifically those classified as SAE (Society of Automotive Engineers) level 3–5, are autonomous driving vehicles, i.e., the car can take complete control of decision-making [8]. Norouzi et al. [9] mention that SAE level 3 refers to when the vehicle can decide when to change lanes, brake to avoid colliding with another vehicle, etc., but the human factor is still key, as the system may require human intervention. Concerning SAE level 4, no human intervention is required since the vehicle will control the traffic and environmental conditions, define the route or alternatives, and respond to any situation [10]. In SAE level 5, the driver does not exist, meaning the vehicles no longer have a steering wheel or pedals because they control themselves without needing a person to act [11].
The introduction of this new technology (AVs) will have a significant impact on the mobility and development of cities in the coming decades [12,13,14]. Several companies, such as Comma. a.i., Tesla Inc., and Waymo, have already implemented AVs as a new form of mobility [15]. In general, AVs offer advantages in safety, flexibility of use, reliability, and greenhouse gas reduction [16,17,18]. Nevertheless, despite these advantages, AVs also present considerable challenges, such as the need for massive investments in road infrastructure and concerns around security and privacy (hacking) [19,20]. In light of this reality, most policymakers in urban policy decisions are still planning the implementation, use, or introduction of AVs in cities [21,22]. Thus, planning methods such as forecasting or backcasting have been studied to identify future urban configurations that can be established in cities [23,24]. Studies focused on these planning methods are helpful, especially those that apply scenario-oriented backcasting methods that address complex, uncertain, and long-term issues, such as the deployment, use, or introduction of autonomous vehicles [25,26]. Likewise, backcasting makes it possible to imagine a desirable future with objectives that serve as a basis for making critical decisions [27]. Therefore, the aim of this method is not to determine which scenarios are most likely to happen in the future but rather how to achieve, obtain, or arrive at the desirable scenario [28]. This is in contrast to forecasting, which seeks and focuses on elaborating scenarios that can be developed from the current situation and trends [29,30].
Regarding the structure of the backcasting methodology, it can be divided into three phases: (1) the Visioning phase, which establishes the current state of affairs and gives an alternative picture of a desired future; (2) the Policy Packaging phase, which focuses on pathways and policy measures that can lead to the desired future; and finally (3) the Appraisal phase, which evaluates the pathways and the set of policies to determine their acceptability, problems, and effectiveness [31,32,33].
Currently, most studies on planning methods for the future of AVs are based on forecasting rather than backcasting [34,35]. Therefore, it seems necessary to identify and perform a systematic review of the backcasting method to develop planning scenarios where AVs are involved. In this way, research needs could be highlighted, and consequently, studies and research on planning methods could be improved.
The primary objective of this research project is to thoroughly examine and analyze existing studies related to the backcasting strategic planning approach in the context of highly advanced level 3–5 SAE autonomous vehicles (AVs) by conducting a comprehensive systematic review following the rigorous PRISMA protocol guidelines. Through this study, it is expected to explore key research areas and improve the understanding of planning methods associated with AVs. The selected articles were published between 2003–2023. Moreover, different planning scenarios are identified and analyzed for future planning models of citizen participation, with a future vision towards sustainable development of decarbonization and the transformation of urban space and transportation.
The remainder of the systematic review is structured as follows: Section 1 presents a general review of the different methods used in urban planning and the pros and cons of new technologies (AVs). Section 2 provides the methodology used to perform the systematic review. The results are presented in Section 3, while the analysis of the results and recommended future work are presented in Section 4. Finally, the final section presents the conclusions of this study.
2. Materials and Methods
2.1. Search Strategy and Eligibility Criteria
A search strategy based on the protocol for Systematic Reviews and Meta-Analyses (PRISMA) was used in this study. This search protocol focuses on unifying criteria for the presentation of information, thus facilitating access to data from systematic reviews. As a result, it is expected that this protocol will allow conclusions to be reached on what is known and what is not known in a specific field of knowledge.
Four databases were searched: Science Direct, Scopus, Web of Science (WOS), and Google Scholar. All articles had to be the full text of peer-reviewed publications or conference papers and be written in English. Furthermore, the articles focused on scenarios where backcasting planning methods are performed with level 3–5 SAE autonomous vehicles (AVs). To make the search more consistent, logic gates (AND, OR, NOT) were used in each advanced search of the databases (see Figure 1). In this study, backcasting planning was defined as a method used to formulate and inform policymakers about a vision of a desirable future by formulating policy objectives and then analyzing the environment’s current situation and its needs to achieve the desired future scenario. Articles that did not focus on using AVs as a scenario for backcasting and future use were excluded. Likewise, articles that had not been peer-reviewed or were in a language other than English were excluded.
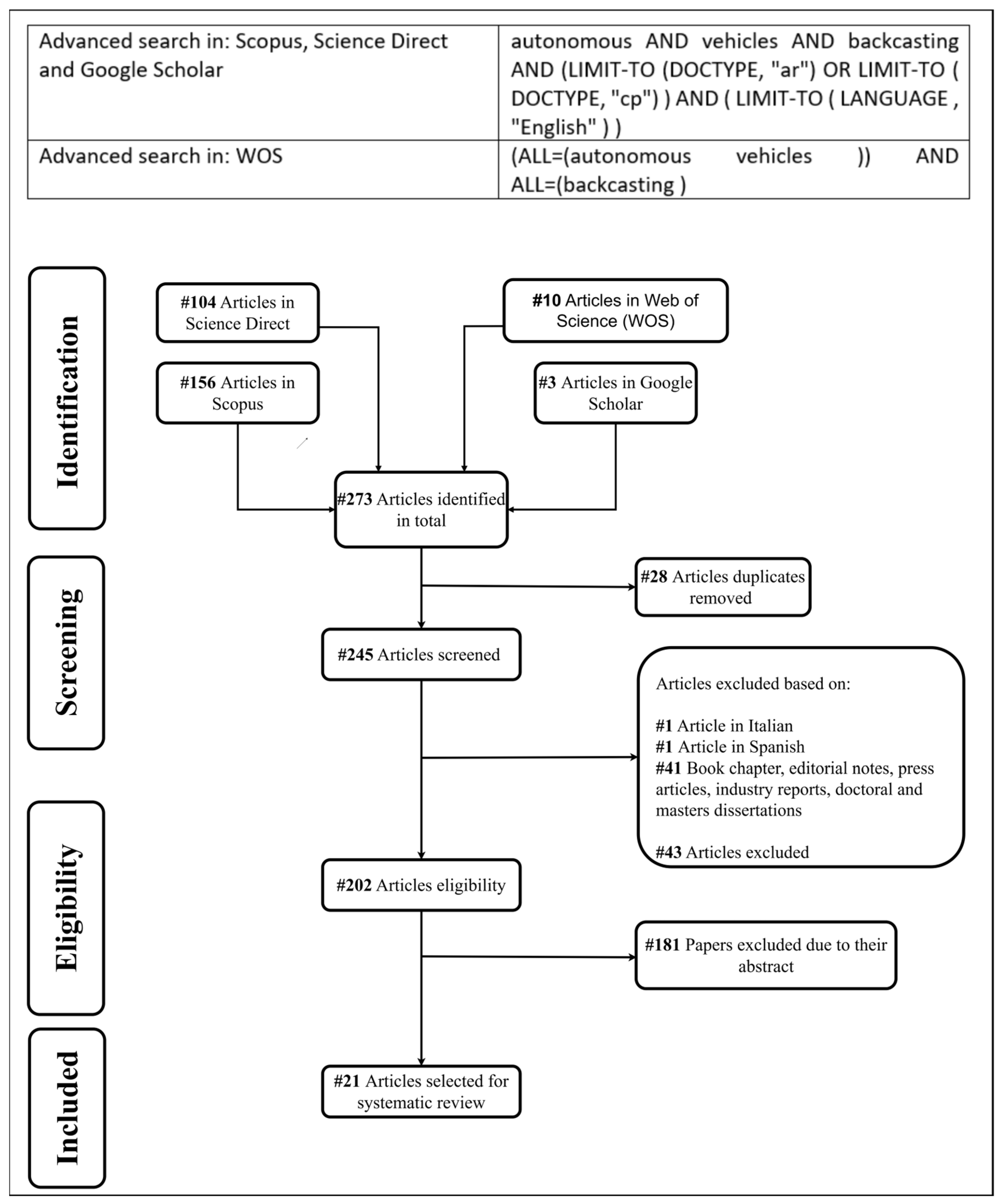
Figure 1.
Advanced search conditions in databases and flowchart of article search for systematic review.
2.2. Screening and Selection
A total of 273 articles were identified, of which 156 are from Scopus, 104 are from Science Direct, 10 from WOS, and 3 from Google Scholar. After removing duplicate articles, 211 remained (see Figure 1). The articles were selected according to the pre-specified inclusion criteria, which had to (a) be full-text articles from peer-reviewed publications written in English, (b) focus on scenarios where backcasting planning methods are performed, and (c) focus on level 3–5 SAE AVs.
The search for duplicate articles was performed first. Of the 273 articles reviewed, 28 were excluded, resulting in 245 articles being screened. For article eligibility, 1 article in Italian, 1 article in Spanish, and 41 articles that were book chapters, editorial notes, press articles, industry reports, doctoral theses, and master’s degrees were excluded. As a result, a total of 202 articles were eligible.
Abstracts considered likely to meet the inclusion criteria were selected, while those that did not were excluded from the screening. From the 202 articles eligible, 181 were excluded, and 21 were selected for the systematic review.
To systematize the criteria for classifying the articles, the articles were classified according to the stages of the retrospective approach in the selected studies, i.e., Visioning, Policy Packaging, and Appraisal. Likewise, the classification is based on the specific aspects related to the integration of AVs discussed in each article, such as technological advances, regulatory frameworks, urban planning strategies, and stakeholder involvement.
3. Results
3.1. Study Characteristics
In total, 21 articles were identified that focused on using backcasting as a field in planning and, more specifically, using AVs as the leading actor. Thus, within this focus, the recent content of studies produced in the period 2003–2024 was examined. The distribution of the articles is composed of different phases of backcasting, with the majority of articles (n = 9) comprising the use of the first phase (Visioning). Three articles include the combined use of two phases (Visioning + Policy Packaging), while six articles use the second phase (policy packaging). Two articles use the third phase (Appraisal), and just one article uses the combination of the two phases (Visioning + Appraisal).
3.2. Synthesis of Results
A summary of the main articles used in this study is shown in the Appendix A. This research results are divided into sections according to the phases of the backcasting methodology: (a) articles that use the first Visioning phase; (b) articles with planning methodologies based on the second Policy Packaging phase; (c) articles that analyze the use of the third Appraisal phase; (d) articles that use Visioning + Appraisal phase; and (e) articles that use Visioning + Policy packaging phase.
In order to specify the methodology used in each of the articles that are part of this systematic review, the following is a detailed analysis of each of the articles.
3.2.1. Visioning Phase
This research, developed by González-González et al. [36], focused on the impact of AVs on planning models (backcasting). The possible urban effects that could arise from the introduction of AVs in the cities of the future are explored. In this context, the opportunities and threats associated with AVs were identified. The causes identified include the development of mixed land use policies, the development and improvement of urban facilities and services, the restriction of motorized vehicle access to cities, and the implementation of shared multimodal transport. Furthermore, González-González et al. [37] studied a participatory vision of a driverless future town through backcasting and diverse subjective statements, which is also called the Q method. In this way, it could be determined that there is an agreement between three main visions, ranging from (1) having high-quality urban spaces and active mobility, (2) holding a social, imaginative, and innovative position, and finally (3) adopting a more traditional and closer to the usual position. This suggests that there is an agreement on policies and agreements, especially on issues of ecological and safe urban development. Fayyaz et al. [38] presented their study on the impact of introducing and implementing AVs in urban spaces. To this end, this researchers posed three key questions: (1) How will the proliferation of AVs modify the mobility system and influence urban space? (2) How will autonomous vehicles affect the public space? (3) How can the recovery of urban space for people be achieved through the design of public spaces, and especially streets? According to the first question (1), the arrival of AVs can generate new forms of mobility and urban systems, leading to both negative and positive effects. In relation to the second question (2), AVs can have positive effects in urban spaces, such as reducing the number of driving lanes and fewer vehicles in parking lots. Finally, in response to the third question (3), the design of driverless cities should be in line with new urban planning techniques, such as turning parking lots and traffic zones into flexible spaces dedicated to citizens. Overall, having planning strategies where stakeholders are engaged in the introduction and implementation of AVs could present a great opportunity to transform urban environments into citizen-friendly spaces. Avs generally provide optimistic perspectives on urban mobility, thereby encouraging policies for the introduction and implementation of Avs, which is necessary in this research by Li et al. [39] Potential policy definition methods for Avs were encouraged: (1) the backcasting method, (2) the dynamic adaptive method, and (3) the policy transfer and migration method. The results showed that applying these methods provides inputs to generate new future policies, especially backpacking, which is applied to the fields of environment, climate, renewable energy, and the policy implementation gap. This can forecast the future of connected cities where AVs can make the road safer, more comfortable, and more environmentally friendly. In the framework of urban and tourism studies, there are few studies, such as this study performed by Cohen and Hopkins [40], where the impacts and uncertainties that AVs have on urban tourist transport were analyzed. The analysis provided a better understanding of how the integration and use of AVs could affect mobility in urban tourist transport. The analysis points out that opening up the use of AVs could allow mobile hotels to grow. i.e., AVs could provide mobile accommodation services, thus generating a change in the dynamics of road travel. It would also affect tourists with little time, as they could travel to multiple locations in a short time. This researchers agree that if these types of innovations are to be implemented, stakeholders, especially tourism experts, must reconsider the traditional frameworks of mobility. This study developed by Höltl et al. [41] also used the backcasting methodology as a method of urban transport planning in the European fleet to reduce greenhouse gas emissions until 2050. The transition to automotive technology, such as electric, hybrid, and autonomous vehicles, is necessary to have a decarbonized city; with this technological transition, a 60% reduction in greenhouse gas emissions is expected. An interesting study that uses the backcasting methodology in combination with an exploratory methodology is the one conducted by Papa and Ferreira [42]. In this study, the exploratory methodology was used to analyze future scenarios in which positive or adverse outcomes were considered, while the backcasting methodology was used to determine the critical decisions of stakeholders and political parties. In this way, it is relevant to take special care of critical decisions, as this may have an impact on public transport, environmental sustainability, network information systems, autonomous cooperation, land use and parking policies, intermodal traffic regulation, transport network design, social exclusion, or data management. It is, therefore, important to study how to implement a planning policy and guidance strategy for the eventual arrival of AVs. This study by Staricco et al. [43] provided a visioning exercise to highlight how different forms of regulation of autonomous vehicle circulation and parking can impact the sustainability and livability of the city. The results propose a strict regulation of AV circulation and parking in Turin, encouraging the shared use of AVs and significantly reducing the negative impact of private AVs on the livability of residential neighborhoods. Finally, this study was developed by Marchau and Van Der Heijden [44]. Described an approach to reducing the implementation of AVs by backcasting. The approach consists of several steps: (1) the definition of plausible concepts for AVs; (2) the analysis of the implementation of these concepts; and (3) the analysis of stakeholders in relation to the plausible concepts. These steps eliminated non-plausible, unpromising, and unaccepted concepts of Avs.
3.2.2. Policy Packaging Phase
The same evaluation was carried out by Nogués et al. [45], with the difference that the second phase of backcasting (Policy Packaging) and the Q method were applied; with this combination, the authors identified two points of view on the policies of desirable scenarios with AVs. The first point of view focused on generating support for policies that favor pedestrian mobility, public transport, and the creation of green spaces. The second view focused on the transit-oriented development of new networks of green spaces. In both cases, AVs do not play an important role in the type of desirable city but, on the contrary, promote more sustainable and shared-use modes of transport. This research by Ziakopoulos et al. [46] explored how comprehensive sustainable lifestyle scenarios, coined as SLIM (Sustainable Living in Models) scenarios, could contribute to transportation and residential emissions reductions. Thereby, sustainable lifestyle scenarios can decrease transportation and residential emissions by 39% in the Global North and 27% in the Global South by 2050.
3.2.3. Appraisal Phase
In the studies carried out by Nogués et al. [47], this researchers applied the third phase of backcasting (Appraisal). A survey of 55 experts was conducted in which they expressed their opinion on the possible consequences of AVs and the effectiveness of policy packages aimed at sustainable mobility and planning. The results showed skepticism by experts about the positive impacts of AVs versus greater confidence in the negative impacts, such as increased car trajectory and urban sprawl. Furthermore, the experts considered that it would be more effective to combat this skepticism if policies were implemented more focused on restricting access to motorized modes in urban areas, the release and use of spaces freed from conventional vehicles, and the promotion of public transport as well as alternative modes (walking and cycling). This study conducted by Louen et al. [48] involved four steps: (1) Selection of critical influencing factors; (2) Development of projections for these factors; (3) Analysis of the dependencies between the projections using a cross-impact matrix; and (4) Identification and description of consistent scenarios. Scenario planning was determined to be a valid method for developing transportation network planning alternatives involving AVs.
3.2.4. Visioning + Appraisal Phase
Another relative study focused on backcasting planning with AVs is the one developed by Acheampong et al. [49], which focused on demonstrating how stakeholders visualize and evaluate urban transport and mobility in the future in relation to AVs. For this, two phases of backcasting (Visioning and Appraisal) were developed and applied, giving diverse perspectives on the use of AVs in public transport, personal and shared use, and urban freight transport functions. The results showed that stakeholders show optimism, skepticism, and uncertainty in different use cases of AVs as part of the future of automated driving. Also, this study brings to light the importance of having mediation and conflict resolution policies on cybersecurity issues, business models, and ownership agreements concerning AVs at the time of building cities of the future. Ziakopoulos et al. [46] study and include a methodology that facilitates decision-making in cities called Connected, Cooperative, and Automated Mobility (CCAM). Through the CCAM methodology, stakeholders can make decisions about urban policies. This study by Shin et al. [50] explores the use of the Q methodology as an evaluation tool in urban park development projects. The results show that the Q methodology is effective in collecting and analyzing the diverse opinions of the public in the development of large urban parks. Through a risk management approach, Westerman et al. [51] identified that land use must adapt, transform, and innovate to effectively integrate fully AVs in Australian cities. Moreover, the backcasting approach developed by Camilleri et al. [52] consists of establishing desirable futures and examining the ways in which these futures can be achieved. The results show that participatory policy packaging for transport backcasting can facilitate the reduction of CO2 emissions from the transport sector in Malta. Berg et al. [53].
3.2.5. Visioning + Policy Packaging Phase
In this study developed by Vitale Brovarone et al. [54], through the second phase of the backcasting methodology (Policy packaging) and with the collaboration of more than 50 public and private experts, they were able to develop a long-term vision for the integration of AVs in urban transport in the city. This study resulted in a vision of a sustainable city of 2050, consisting of superblocks that allow parking only along the road network and not inside the superblock. Public transport is completely autonomous and integrated not only in the main network but also in the superblocks. Connectivity is based on Vehicle-to-Infrastructure (V2V), meaning that there is continuous communication between all actors in the superblock (smart traffic lights, markings and signs, 5G band, HD maps, etc.), allowing AVs to travel easily on all roads. The authors mentioned that immediate action, forward-looking planning, and cooperation from different sectors are required to reach this future. Staricco et al. [55] discussed and applied two phases of backcasting (Visioning + Policy Packaging) in Turin, Italy. In both studies, this researchers established three visions, ranging from understanding the current state of the city’s mobility system, trust and openness of technological development, and the different regulations in circulation, sustainability, parking, and livability of the city. With the help of 7 experts and 44 interviews with local citizens, a vision for 2050 was analyzed and evaluated. The results mention that stakeholders are aware of the importance of having a vision for the future of driving with AVs; thus, strong regulations are essential in order to promote the use of car sharing, public transport, and multilevel parking close to main roads and outside residential areas. The importance of generating stakeholder interest through socioeconomic scenarios or local policies is also mentioned, as the development of these scenarios would facilitate stakeholder interest in AVs. The backcasting approach was also used to identify critical policy decisions and measures to be taken before the implementation of AVs in this study developed by González-González et al. [55]. This study implemented desired urbanization patterns, where three policy pathways with eight policy packages are proposed for the next 20–30 years to identify critical decisions and policy measures to be taken prior to the implementation of AVs, mainly focusing on the reuse and reallocation of parking and road space.
Incorporating retrospective analysis into a backcasting approach can provide the information needed to create ideal future scenarios for AVs and urban planning. In the Visioning phase and the policy development stage, past experiences provide helpful information on vision and policy formulation. The Policy Packaging phase, as lessons from past implementation, is essential for developing effective policies and pathways. Technological advances and infrastructure improvements achieved in previous implementations can guide the future. The appraisal phase is for the retrospective evaluation of past guidelines and strategies. Evaluation scenario analysis evaluates past scenarios as a basis for predicting future outcomes. The backcasting evaluation highlights potential obstacles and success factors, allowing for more accurate and reliable future predictions.
4. Discussion
Based on the extensive systematic review of the literature, this section will comprehensively analyze the results obtained from the studies on using backcasting as an urban planning method, with a specific focus on the use of AVs classified as level 3–5 SAE.
As seen in the previous section, the studies analyzed were used to provide an overview of how cities of the future should act in the face of the imminent arrival of AVs. By taking these actions, stakeholders could create emerging debates, future directions, and possible areas of research and development. This could guide researchers, practitioners, and decision-makers in urban planning with AVs. An example is “urban design strategies” that promote flexible and citizen-dedicated areas in line with the vision of more sustainable and friendly cities. The studies highlight the need for urban design strategies that promote flexible zones and more sustainable cities. This goes together with flexible regulations promoting the shared use of AVs in urban spaces.
Another example is “Critical stakeholder” decisions in areas such as cybersecurity or ownership agreements, which should also be necessary for the practical introduction of AVs. Thereby, it is essential to underline the urgency of technological transition issues towards electricity and AVs to achieve cities with planning models and citizen participation, with a future vision towards sustainable development of decarbonization and the transformation of urban space and transportation. Moreover, providing a solid foundation for understanding current trends in urban planning with AVs is essential for researchers.
“Policy Implications” and “Challenges Opportunities” are examples of how future cities might behave. Both examples suggest immediate actions, planning, and the cooperation of different sectors. Thus, stakeholders can promote public transport and transform urban spaces into flexible and sustainable zones. Furthermore, introducing AVs as a technology can improve safety flexibility and reduce greenhouse gas emissions.
Therefore, future research is recommended to explore the intersection between the introduction of AVs and critical issues such as citizen inclusion, environmental sustainability, and the integration of advanced technologies in urban infrastructure.
5. Conclusions
With the emergence of more advanced technology, especially in the automotive area, there has been an interest in developing future-oriented cities. This has led stakeholders to develop future transportation planning and development methodologies, such as using and implementing AVs.
Planning methodologies such as backcasting could help make the adoption of AVs possible. Hence, this study systematically reviews the existing literature on planning methodologies, such as backcasting. Several key phases, such as visioning, policy packaging, and appraisal, are highlighted in this methodology. The visioning phase shows the need to develop a comprehensive and forward-looking approach to urban spaces transformed by AVs. To this end, AVs must form part of existing mixed land-use policies and public transport networks. In the policy packaging phase, stakeholders should introduce policies that support sustainable transportation. This includes the development of public transportation around transit centers to help facilitate the integration of AVs. The appraisal phase emphasizes technological and social elements. Implementing cybersecurity standards is indispensable to protect AV systems from potential hazards and keep passengers safe.
This study has demonstrated different factors (visioning, policy packaging, and appraisal) that stakeholders should consider when adopting AVs. The articles from the databases analyze how to address these factors to create an environment in future cities. It is also recommended that future research focus not only on the factors presented in this article but also on issues related to cybersecurity or business models in order to generate a broader vision for governments to start adopting autonomous driving. Moreover, security issues such as cybersecurity and proprietary arrangements must be considered if stakeholders seek the introduction of AVs.
In general, stakeholders should focus on introducing AVs and critical issues such as citizen inclusion, environmental sustainability, and integrating advanced technologies into urban infrastructure. In general, considering these issues is a participatory element in developing more acceptable and effective policies.
Author Contributions
Conceptualization, F.E.E.-M., J.D.V., P.B.B., E.Q., R.V.U., J.S.V.S. and G.J.A.M.; methodology, F.E.E.-M., J.D.V., P.B.B., E.Q., R.V.U., J.S.V.S. and G.J.A.M.; software, F.E.E.-M., J.D.V., P.B.B., E.Q., R.V.U., J.S.V.S. and G.J.A.M.; validation, F.E.E.-M., J.D.V., P.B.B., E.Q., R.V.U., J.S.V.S. and G.J.A.M.; formal analysis, F.E.E.-M., J.D.V., P.B.B., E.Q., R.V.U., J.S.V.S. and G.J.A.M.; investigation, F.E.E.-M., J.D.V., P.B.B., E.Q., R.V.U., J.S.V.S. and G.J.A.M.; resources, F.E.E.-M., J.D.V., P.B.B., E.Q., R.V.U., J.S.V.S. and G.J.A.M.; data curation, F.E.E.-M., J.D.V., P.B.B., E.Q., R.V.U., J.S.V.S. and G.J.A.M.; writing—original draft preparation, F.E.E.-M., J.D.V., P.B.B., E.Q., R.V.U., J.S.V.S. and G.J.A.M.; writing—review and editing, F.E.E.-M., J.D.V., P.B.B., E.Q., R.V.U., J.S.V.S. and G.J.A.M.; visualization, F.E.E.-M., J.D.V., P.B.B., E.Q., R.V.U., J.S.V.S. and G.J.A.M.; supervision, F.E.E.-M., J.D.V., P.B.B., E.Q., R.V.U., J.S.V.S. and G.J.A.M.; project administration, F.E.E.-M., J.D.V., P.B.B., E.Q., R.V.U., J.S.V.S. and G.J.A.M.; funding acquisition, F.E.E.-M., J.D.V., P.B.B., E.Q., R.V.U., J.S.V.S. and G.J.A.M. All authors have read and agreed to the published version of the manuscript.
Funding
This research received no external funding.
Data Availability Statement
The original contributions presented in this study are included in the article; further inquiries can be directed to the corresponding author.
Acknowledgments
The authors would like to thank the “Grupo de Investigación en Ingeniería del Transporte (GIIT)” of the Universidad Politécnica Salesiana (UPS), Cuenca.
Conflicts of Interest
The authors declare no conflicts of interest.
Appendix A
The appendix gives an overview of the studies used for the systematic review. Each study has the Author, the Title of the article, the Backcasting Phase that has been applied Gap and Research Problem, and a Result and Outcome.
| Author | Title | Backcasting Phase | Gap and Research Problem | Result and Outcome |
| [50] | Automated vehicles and the city of tomorrow: A backcasting approach | Visioning | Unclear thinking among urban policymakers about the introduction of AVs in urban spaces. | The backcasting methodology used in this article identified conflicts between various political bodies. The article’s results mention that stakeholders and public policies can create attractive, healthy, and sustainable urbanization models by identifying these conflicts. |
| [55] | Parking futures: Preparing European cities for the advent of automated vehicles | Visioning + Policy Packaging | Lack of planning and policy integration to address the impact of the introduction of urban AVs, parking demand, and land use. | Creating Core Attractive Mixed-Use Spaces (CAMS) and transforming urban areas into public green spaces and community centers. It results in sustainable, high-quality urban environments that take advantage of AVs. |
| [37] | Envisioning the driverless city using backcasting and Q-methodology | Visioning | There is a gap in comprehending and planning urban planning methodologies in concert with integrating the urban environment with AVs. | Three different visions of driverless cities are proposed. The first vision focuses on urban regeneration, active mobility, and sustainable development. The second vision consists of futuristic innovation in mobility. The third vision focuses more on intermodality with a compact, mixed-use urban form. |
| [47] | New urban planning challenges under emerging autonomous mobility: evaluating backcasting scenarios and policies through an expert survey | Appraisal | Resolving uncertainties surrounding the impact of AVs on urban planning and sustainability. | According to most experts, they are supporting active and public transport modes, limiting motorized access to central urban areas, and reusing freed-up space for green spaces and public facilities to achieve a desirable urban future with AVs. |
| [45] | Planning policies for the driverless city using backcasting and participatory Q-Methodology | Policy packaging | The gap in integrating AVs into urban planning. Moreover, the lack of stakeholders’ point of view in the implementation of public policies. | This study shows two desirable points of view for a driverless future. The first point of view refers to integrating, encouraging pedestrian mobility, and prioritizing public transport. The second point of view focuses on transit-oriented development (TOD) and regulating private vehicle use. |
| [48] | Scenario planning as an approach to structuring the development of transport planning alternatives | Appraisal | There is a gap in addressing transportation-related issues, especially emerging technologies and new stakeholder dynamics. | This study shows that planning scenarios improve the integration of alternative planning structures, making the process more integrative and systematic. |
| [46] | The LEVITATE Policy Support Tool for Connected and Automated Transport Systems | Policy packaging | This study identifies a gap in the preparedness of cities to receive Connected, Cooperative and Automated Mobility (CCAM). | This study demonstrates a methodology called the LEVITATE Policy Support Tool (PST), which provides forecasting and backcasting capabilities to estimate the impact of specific policies. |
| [50] | Applicability of Q-methodology in public engagement practice for large urban park development—Case of Seoul Yongsan Park | Policy packaging | This study shows limitations in current public policies and the development of urban parks. These limitations create gaps in the adequacy of current public participation methods. | The Q methodology, combined with in-depth interviews, allows for public perspectives full of details that conventional public participation methods often overlook. |
| [51] | Preparing for Fully Autonomous Vehicles in Australian Cities: Land-Use Planning—Adapting, Transforming, and Innovating | Policy packaging | Several studies address the challenges associated with new transportation technologies. However, there is a lack of attention to land use planning and the fundamental components of urban form and function. | The results show that mobility centers improve the use of public transport by encouraging transfers between AVs and other modes of transport. |
| [52] | Participatory Policy Packaging for Transport Backcasting: A Pathway for Reducing CO2 Emissions from Transport in Malta | Policy packaging | There is a lack of consideration of current policies, such as social and cultural factors, in transport and climate policy. | The results show that it is necessary to implement policies that go beyond the provision of infrastructure. These policies are expected to influence social behavior and the adoption of new technologies. |
| [53] | (Path) ways to sustainable living: The impact of the SLIM scenarios on long-term emissions | Policy packaging | There is a lack of understanding in understanding and developing models of the impact of lifestyle changes on emissions, particularly in passenger transport and residential emissions. | Through the Sustainable Living in Models (SLIM) methodology. The results demonstrate significant emissions reductions through lifestyle changes, highlighting in particular the potential for regions in the Global South to leapfrog CO2-intensive transport modes. |
| [49] | Imagining urban mobility futures in the era of autonomous vehicles—insights from participatory visioning and multi-criteria appraisal in the UK and Australia | Visioning + Appraisal | The need for a dynamic representation of lifestyle changes that incorporates motivations, transition processes, and impacts on emission pathways in the long term has yet to be fully explored. | This study shows four Sustainable Living In Models (SLIM) scenarios, focusing on sustainable lifestyle changes and their impacts on passenger transport and residential emissions. |
| [38] | Autonomous Mobility: A Potential Opportunity to Reclaim Public Spaces for People | Visioning | There is confusion and a lack of knowledge on design recommendations and planning tools to address the various impacts of AVs. | The implementation of AVs can free up urban space for public use, aligning with urban models such as superblocks and the 15 min city. |
| [54] | Planning the transition to autonomous driving: A policy pathway towards urban liveability | Visioning + Policy packaging | A lack of policy on the transition to Avs. | This study shows this through the backcasting methodology. The AVs will be part of a comprehensive policy to improve urban livability. The vision is set for 2050 in Turin. |
| [43] | Toward policies to manage the impacts of autonomous vehicles on the city: A visioning exercise | Visioning | The impact of introducing autonomous vehicles into urban environments and policies to manage that impact. | It is determined that the integration of AVs must be promoted by sustainability and habitability. In order to achieve this, several visions, such as Strong Regulation, Moderate Regulation, and Strong Deregulation, must be considered. |
| [55] | Back to the future. A backcasting of autonomous vehicles in the real city | Visioning + Policy packaging | The significant gap in urban planning for the transition to AVs. | It is determined that stakeholders must make implications to manage the complexity and uncertainty of the transition to AVs. Therefore, a “Strong regulation” vision that outlines and accommodates stakeholder requirements is recommended. |
| [39] | Policy formulation for highly automated vehicles: Emerging importance, research frontiers, and insights | Visioning | Creating a systematic framework to address the uncertainties and complexities associated with AVs. This includes security, technological innovation, and legal issues. | Policies regarding AVs accelerate technological development while controlling potential uncertainties and balancing technological innovations with traffic safety. |
| [40] | Autonomous vehicles and the future of urban tourism | Visioning | There are limitations to finding new ways to integrate the AVs. | The results show several implications for the integration of AVs in urban tourism. It is suggested that AVs can generate aggravations due to urban transport inequalities. |
| [41] | Pathways to decarbonize the European car fleet: A scenario analysis using the backcasting approach | Visioning | The lack of a holistic approach that addresses not only technological advances but also socioeconomic and political dimensions. | This study identifies key elements necessary to achieve emission reductions, including the adoption of AVs and other low-emission vehicles. |
| [42] | Sustainable Accessibility and the Implementation of Automated Vehicles: Identifying Critical Decisions | Visioning | Understand how the implementation of AVs could affect urban systems and social practices. | AVs have the potential to completely change the urban system. Therefore, two scenarios are presented. The first one is an optimist, where AVs improve accessibility and safety. The second is a pessimistic view, where AVs generate more conflicts, such as vehicle dependency and environmental degradation. |
| Innovative methodologies for exploring the future of automated vehicle guidance | Visioning | Gaps and issues in the development and deployment of Automatic Vehicle Guidance (AVG) systems. | The results indicate that it is necessary to implement simple, short-term AVGs. Thus, continuous collaboration between stakeholders can be ensured. |
References
- Cottam, B.J. Transportation Planning for Connected Autonomous Vehicles: How It All Fits Together. Transp. Res. Rec. 2018, 2672, 12–19. [Google Scholar] [CrossRef]
- Bagloee, S.A.; Tavana, M.; Asadi, M.; Oliver, T. Autonomous vehicles: Challenges, opportunities, and future implications for transportation policies. J. Mod. Transp. 2016, 24, 284–303. [Google Scholar] [CrossRef]
- Fagnant, D.J.; Kockelman, K. Preparing a nation for autonomous vehicles: Opportunities, barriers and policy recommendations. Transp. Res. Part A Policy Pract. 2015, 77, 167–181. [Google Scholar] [CrossRef]
- Ortega, J.; Lengyel, H.; Ortega, J. Design and Analysis of the Trajectory of an Overtaking Maneuver Performed by Autonomous Vehicles Operating with Advanced Driver-Assistance Systems (ADAS) and Driving on a Highway. Electronics 2023, 12, 51. [Google Scholar] [CrossRef]
- Medina-Tapia, M.; Robusté, F. Implementation of connected and autonomous vehicles in cities could have neutral effects on the total travel time costs: Modeling and analysis for a circular city. Sustainability 2019, 11, 482. [Google Scholar] [CrossRef]
- Legacy, C.; Ashmore, D.; Scheurer, J.; Stone, J.; Curtis, C. Planning the driverless city. Transp. Rev. 2019, 39, 84–102. [Google Scholar] [CrossRef]
- Duarte, F.; Ratti, C. The Impact of Autonomous Vehicles on Cities: A Review. J. Urban Technol. 2018, 25, 3–18. [Google Scholar] [CrossRef]
- Heinrichs, D.; Cyganski, R. Automated driving: How it could enter our cities and how this might affect our mobility decisions. disP Plan. Rev. 2015, 51, 74–79. [Google Scholar] [CrossRef]
- Norouzi, A.; Barari, A.; Adibi-Asl, H. Stability Control of an Autonomous Vehicle in Overtaking Manoeuvre Using Wheel Slip Control. Int. J. Intell. Transp. Syst. Res. 2020, 18, 320–330. [Google Scholar] [CrossRef]
- Kim, J.H.; Lee, G.; Lee, J.; Yuen, K.F.; Kim, J. Determinants of personal concern about autonomous vehicles. Cities 2022, 120, 103462. [Google Scholar] [CrossRef]
- Abosuliman, S.S.; Almagrabi, A.O. Routing and scheduling of intelligent autonomous vehicles in industrial logistics systems. Soft Comput. 2021, 25, 11975–11988. [Google Scholar] [CrossRef]
- Othman, K. Impact of autonomous vehicles on the physical infrastructure: Changes and challenges. Designs 2021, 5, 40. [Google Scholar] [CrossRef]
- Ye, L.; Yamamoto, T. Evaluating the impact of connected and autonomous vehicles on traffic safety. Phys. A Stat. Mech. Its Appl. 2019, 526, 121009. [Google Scholar] [CrossRef]
- Zhou, H.; Laval, J.; Zhou, A.; Wang, Y.; Wu, W.; Qing, Z.; Peeta, S. Review of Learning-Based Longitudinal Motion Planning for Autonomous Vehicles: Research Gaps Between Self-Driving and Traffic Congestion. Transp. Res. Rec. 2022, 2676, 324–341. [Google Scholar] [CrossRef]
- Jing, P.; Huang, H.; Ran, B.; Zhan, F.; Shi, Y. Exploring the factors affecting mode choice intention of autonomous vehicle based on an extended theory of planned behavior—A case study in China. Sustainability 2019, 11, 1155. [Google Scholar] [CrossRef]
- Milakis, D. Long-Term Implications of Automated Vehicles: An Introduction; Routledge: London, UK, 2019. [Google Scholar] [CrossRef]
- Kan, S.; Lyu, W.; Zhao, S. Evaluation of the Environmental Effect of Automated Vehicles Based on IVIULWG Operator Development. Sustainability 2022, 14, 9669. [Google Scholar] [CrossRef]
- Chen, S.; Zong, S.; Chen, T.; Huang, Z.; Chen, Y.; Labi, S. A Taxonomy for Autonomous Vehicles Considering Ambient Road Infrastructure. Sustainability 2023, 15, 11258. [Google Scholar] [CrossRef]
- Boumiza, S.; Braham, R. Intrusion threats and security solutions for autonomous vehicle networks. In Proceedings of the IEEE/ACS International Conference on Computer Systems and Applications, AICCSA, IEEE Computer Society, Aqaba, Jordan, 28 October–1 November 2018; pp. 120–127. [Google Scholar] [CrossRef]
- Tibljaš, A.D.; Giuffrè, T.; Surdonja, S.; Trubia, S. Introduction of Autonomous Vehicles: Roundabouts design and safety performance evaluation. Sustainability 2018, 10, 1060. [Google Scholar] [CrossRef]
- Todorovic, M.; Simic, M.; Kumar, A. Managing Transition to Electrical and Autonomous Vehicles. In Procedia Computer Science; Elsevier B.V.: Amsterdam, The Netherlands, 2017; pp. 2335–2344. [Google Scholar] [CrossRef]
- Dortmans, P.J. Forecasting, backcasting, migration landscapes and strategic planning maps. Futures 2005, 37, 273–285. [Google Scholar] [CrossRef]
- Ebert, J.E.J.; Gilbert, D.T.; Wilson, T.D. Forecasting and backcasting: Predicting the impact of events on the future. J. Consum. Res. 2009, 36, 353–366. [Google Scholar] [CrossRef]
- Quist, J.; Rammelt, C.; Overschie, M.; de Werk, G. Backcasting for sustainability in engineering education: The case of Delft University of Technology. J. Clean. Prod. 2006, 14, 868–876. [Google Scholar] [CrossRef]
- Dreborg, K.H. Essence of Backcasting. Futures 1996, 28, 813–828. [Google Scholar] [CrossRef]
- Bibri, S.E. Backcasting in futures studies: A synthesized scholarly and planning approach to strategic smart sustainable city development. Eur. J. Futures Res. 2018, 6, 1–27. [Google Scholar] [CrossRef]
- Tuominen, A.; Tapio, P.; Varho, V.; Järvi, T.; Banister, D. Pluralistic backcasting: Integrating multiple visions with policy packages for transport climate policy. Futures 2014, 60, 41–58. [Google Scholar] [CrossRef]
- Heinrichs, D. Autonomous driving and urban land use. In Autonomous Driving: Technical, Legal and Social Aspects; Springer: Berlin/Heidelberg, Germany, 2016; pp. 213–231. [Google Scholar] [CrossRef]
- Milakis, D.; Snelder, M.; Van Arem, B.; Van Wee, B.; De Almeida Correia, G.H. Development and transport implications of automated vehicles in the Netherlands: Scenarios for 2030 and 2050. Eur. J. Transp. Infrastruct. Res. 2017, 17, 63–85. [Google Scholar] [CrossRef]
- Soria-Lara, J.A.; Banister, D. Collaborative backcasting for transport policy scenario building. Futures 2018, 95, 11–21. [Google Scholar] [CrossRef]
- Soria-Lara, J.A.; Banister, D. Evaluating the impacts of transport backcasting scenarios with multi-criteria analysis. Transp. Res. Part A Policy Pract. 2018, 110, 26–37. [Google Scholar] [CrossRef]
- Soria-Lara, J.A.; Banister, D. Dynamic participation processes for policy packaging in transport backcasting studies. Transp. Policy 2017, 58, 19–30. [Google Scholar] [CrossRef]
- Stead, D.; Vaddadi, B. Automated vehicles and how they may affect urban form: A review of recent scenario studies. Cities 2019, 92, 125–133. [Google Scholar] [CrossRef]
- Zhang, W.; Guhathakurta, S.; Fang, J.; Zhang, G. Exploring the impact of shared autonomous vehicles on urban parking demand: An agent-based simulation approach. Sustain. Cities Soc. 2015, 19, 34–45. [Google Scholar] [CrossRef]
- González-González, E.; Nogués, S.; Stead, D. Automated vehicles and the city of tomorrow: A backcasting approach. Cities 2019, 94, 153–160. [Google Scholar] [CrossRef]
- González-González, E.; Cordera, R.; Stead, D.; Nogués, S. Envisioning the driverless city using backcasting and Q-methodology. Cities 2023, 133, 104159. [Google Scholar] [CrossRef]
- Fayyaz, M.; González-González, E.; Nogués, S. Autonomous Mobility: A Potential Opportunity to Reclaim Public Spaces for People. Sustainability 2022, 14, 1568. [Google Scholar] [CrossRef]
- Li, S.; Sui, P.-C.; Xiao, J.; Chahine, R. Policy formulation for highly automated vehicles: Emerging importance, research frontiers and insights. Transp. Res. Part A Policy Pract. 2019, 124, 573–586. [Google Scholar] [CrossRef]
- Cohen, S.A.; Hopkins, D. Autonomous vehicles and the future of urban tourism. Ann. Tour. Res. 2019, 74, 33–42. [Google Scholar] [CrossRef]
- Höltl, A.; Macharis, C.; De Brucker, K. Pathways to decarbonise the European car fleet: A scenario analysis using the backcasting approach. Energies 2018, 11, 20. [Google Scholar] [CrossRef]
- Papa, E.; Ferreira, A. Sustainable Accessibility and the Implementation of Automated Vehicles: Identifying Critical Decisions. Urban Sci. 2018, 2, 5. [Google Scholar] [CrossRef]
- Staricco, L.; Rappazzo, V.; Scudellari, J.; Brovarone, E.V. Toward policies to manage the impacts of autonomous vehicles on the city: A visioning exercise. Sustainability 2019, 11, 5222. [Google Scholar] [CrossRef]
- Marchau, V.A.W.J.; Van Der Heijden, R.E.C.M. Innovative methodologies for exploring the future of automated vehicle guidance. J. Forecast. 2003, 22, 257–276. [Google Scholar] [CrossRef]
- Nogués, S.; González-González, E.; Stead, D.; Cordera, R. Planning policies for the driverless city using backcasting and the participatory Q-Methodology. Cities 2023, 142, 104535. [Google Scholar] [CrossRef]
- Ziakopoulos, A.; Roussou, J.; Chaudhry, A.; Hu, B.; Zach, M.; Oikonomou, M.; Veisten, K.; Hartveit, K.J.L.; Brackstone, M.; Vlahogianni, E.; et al. The LEVITATE Policy Support Tool of Connected and Automated Transport Systems. Transp. Res. Procedia 2023, 72, 1113–1120. [Google Scholar] [CrossRef]
- Nogués, S.; González-González, E.; Cordera, R. New urban planning challenges under emerging autonomous mobility: Evaluating backcasting scenarios and policies through an expert survey. Land Use Policy 2020, 95, 104652. [Google Scholar] [CrossRef]
- Louen, C.; Höing, N.; Böhnen, C.; Kuhnimhof, T. Scenario planning as an approach to structure the development of transport planning alternatives. Case Stud. Transp. Policy 2023, 14, 101089. [Google Scholar] [CrossRef]
- Acheampong, R.A.; Legacy, C.; Kingston, R.; Stone, J. Imagining urban mobility futures in the era of autonomous vehicles—Insights from participatory visioning and multi-criteria appraisal in the UK and Australia. Transp. Policy 2023, 136, 193–208. [Google Scholar] [CrossRef]
- Shin, M.; Woo, J.H.; Choi, H. Applicability of Q-methodology in public engagement practice for large urban park development—Case of Seoul Yongsan Park. Cities 2024, 149, 104956. [Google Scholar] [CrossRef]
- Westerman, H.; Black, J. Preparing for Fully Autonomous Vehicles in Australian Cities: Land-Use Planning—Adapting, Transforming, and Innovating. Sustainability 2024, 16, 5492. [Google Scholar] [CrossRef]
- Camilleri, R.; Attard, M.; Hickman, R. Participatory Policy Packaging for Transport Backcasting: A Pathway for Reducing CO2 Emissions from Transport in Malta. Sustainability 2024, 16, 430. [Google Scholar] [CrossRef]
- van den Berg, N.J.; Hof, A.F.; Timmer, V.; Akenji, L.; van Vuuren, D.P. (Path)ways to sustainable living: The impact of the SLIM scenarios on long-term emissions. Glob. Environ. Chang. 2024, 84, 102774. [Google Scholar] [CrossRef]
- Brovarone, E.V.; Scudellari, J.; Staricco, L. Planning the transition to autonomous driving: A policy pathway towards urban liveability. Cities 2021, 108, 102996. [Google Scholar] [CrossRef]
- Staricco, L.; Brovarone, E.V.; Scudellari, J. Back from the future. A backcasting on autonomous vehicles in the real city. TeMA-J. Land Use Mobil. Environ. 2020, 13, 209–228. [Google Scholar] [CrossRef]
- González-González, E.; Nogués, S.; Stead, D. Parking futures: Preparing European cities for the advent of automated vehicles. Land Use Policy 2020, 91, 104010. [Google Scholar] [CrossRef]
Disclaimer/Publisher’s Note: The statements, opinions and data contained in all publications are solely those of the individual author(s) and contributor(s) and not of MDPI and/or the editor(s). MDPI and/or the editor(s) disclaim responsibility for any injury to people or property resulting from any ideas, methods, instructions or products referred to in the content. |
© 2024 by the authors. Published by MDPI on behalf of the World Electric Vehicle Association. Licensee MDPI, Basel, Switzerland. This article is an open access article distributed under the terms and conditions of the Creative Commons Attribution (CC BY) license (https://creativecommons.org/licenses/by/4.0/).
