Fuzzy Logic-Based Autonomous Lane Changing Strategy for Intelligent Internet of Vehicles: A Trajectory Planning Approach
Abstract
1. Introduction
- Fuzzy logic-based lane-changing decision model: We proposes a novel lane-changing decision model based on fuzzy logic and use a quintic polynomial function to plan the lane-changing trajectory. This approach optimizes both driving comfort and efficiency, effectively addressing the complexities involved in various lane-changing scenarios.
- Trajectory optimization using Particle Swarm Optimization (PSO): An objective function is formulated that considers both the time required for lane-changing and the maximum acceleration, ensuring an optimal balance between these factors. The PSO algorithm is utilized for real-time trajectory optimization, leveraging Vehicle-to-Everything (V2X) communication capabilities for dynamic adjustments based on changing traffic conditions.
- Agile lane-changing decision model for urgent scenarios: An agile decision model is developed to handle urgent lane-changing situations. The proposed decision model is capable of rapidly re-planning trajectories and communicating critical data back to the central information processing hub. Comprehensive simulations using Carsim and Simulink validate the capabilities of the model, demonstrating significant improvements in stability and safety during the lane-changing process.
2. Related Works
2.1. Autonomous Lane Change Strategy Based on V2X
2.2. Trajectory Planning Methods
2.3. Network Security Protection Strategies
3. Network Architecture
4. Fuzzy Logic-Based Lane Change Decision Model
4.1. Lane Change Scenario Analysis
- The speed of the vehicle remains constant during lane changes.
- The lateral and longitudinal movements of the vehicle do not interfere with each other during lane changes.
- The vehicles in the lane-change scenario use the same specifications and models.
4.2. Polynomial-Based Trajectory Planning for Lane Changes
4.3. Lane Change Distance Model
4.4. Polynomial-Based Trajectory Planning
5. Trajectory Planning Using Quintic Polynomials
- Each individual in a group can be considered a particle; collectively, they form a particle swarm. Assuming a swarm of M particles exploring an N-dimensional space, each particle is assigned a ‘position’, as follows:
- In each particle, the position serves as a potential solution. Its fitness value is calculated by inserting it into the objective function, with its worth determined based on this fitness value. The optimal position of each particle is recorded during each search process:
- The best position among all particles is regarded as the optimal solution of the entire particle population during this search process:
- This process repeats until the global optimal solution is found. Each search necessitates the update of particle velocity and position. The velocity of the i-th particle is represented as follows:
- The velocities and positions of the particles are updated using the following equations:
6. Results and Discussions
6.1. Parameter Setting
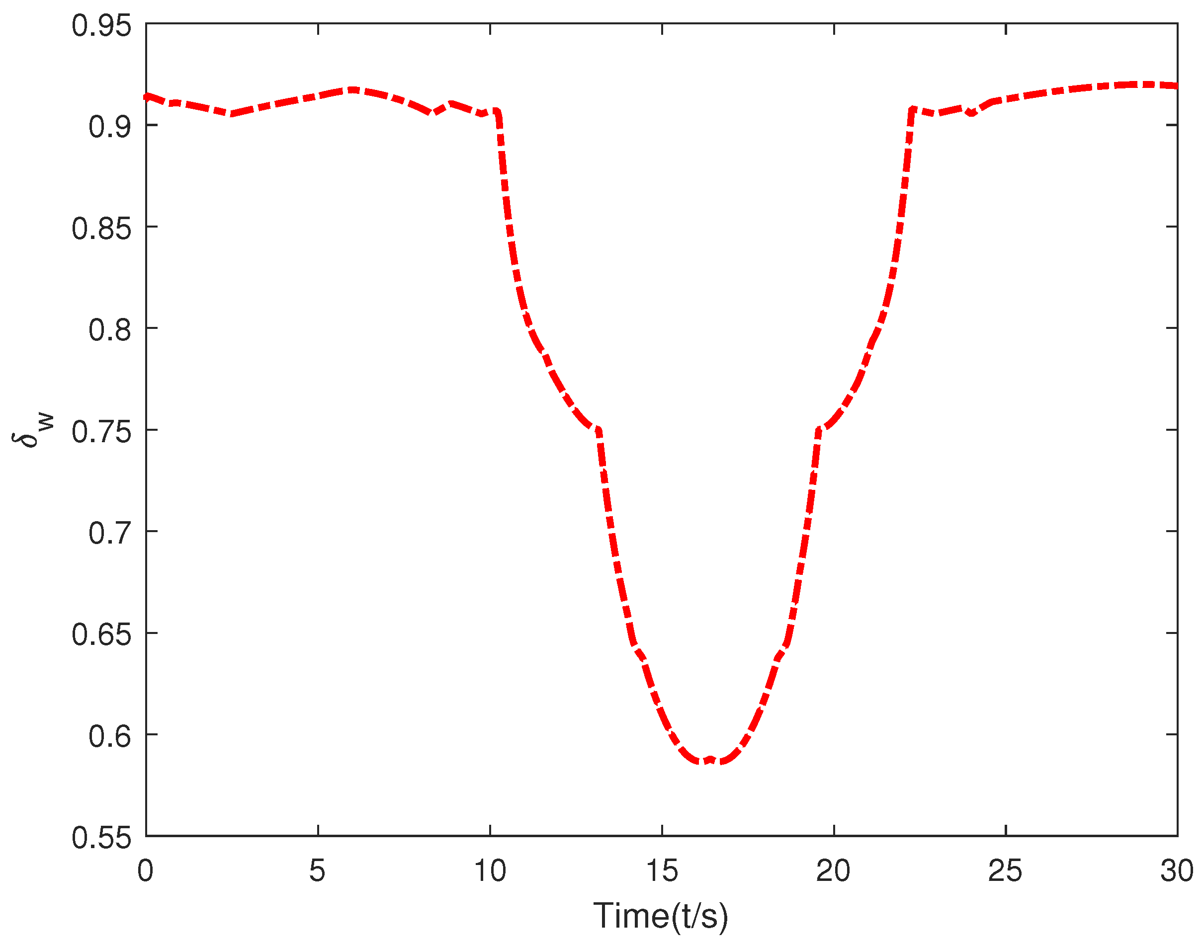
6.2. Free Lane-Change Decision Model
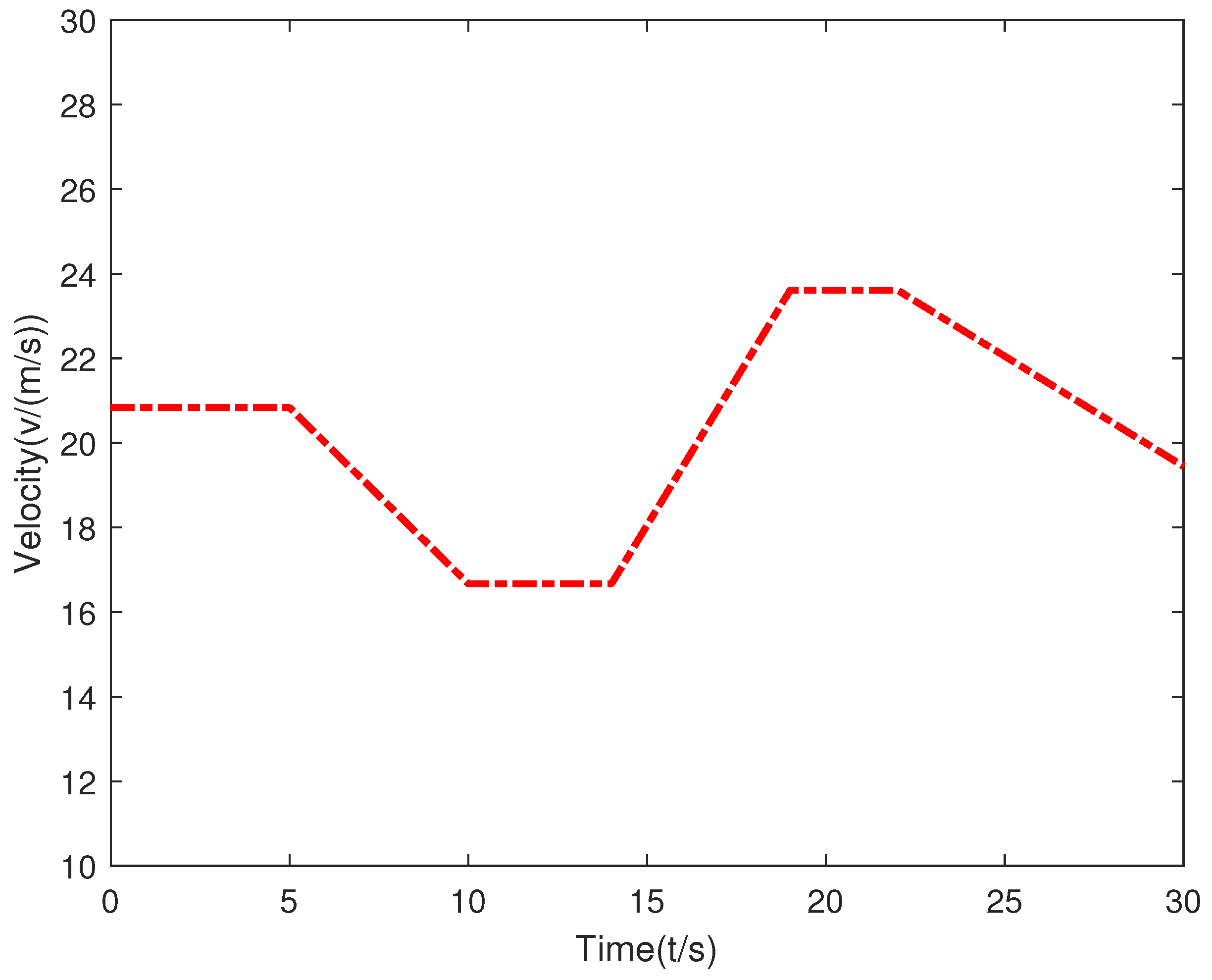
- For the time interval , the relative speed value is low and the relative distance value is high, maintaining the lane change inclination of the IV at a high level.
- For the time interval , the relative speed increases and the relative distance decreases; consequently, the lane change inclination of the IV decreases.
- For the time interval , as the relative speed and relative distance both increase, the lane change inclination of the IV decreases further.
- For the time interval , with the relative speed low and the relative distance high, the inclination of the IV to change lanes remains at a high level.
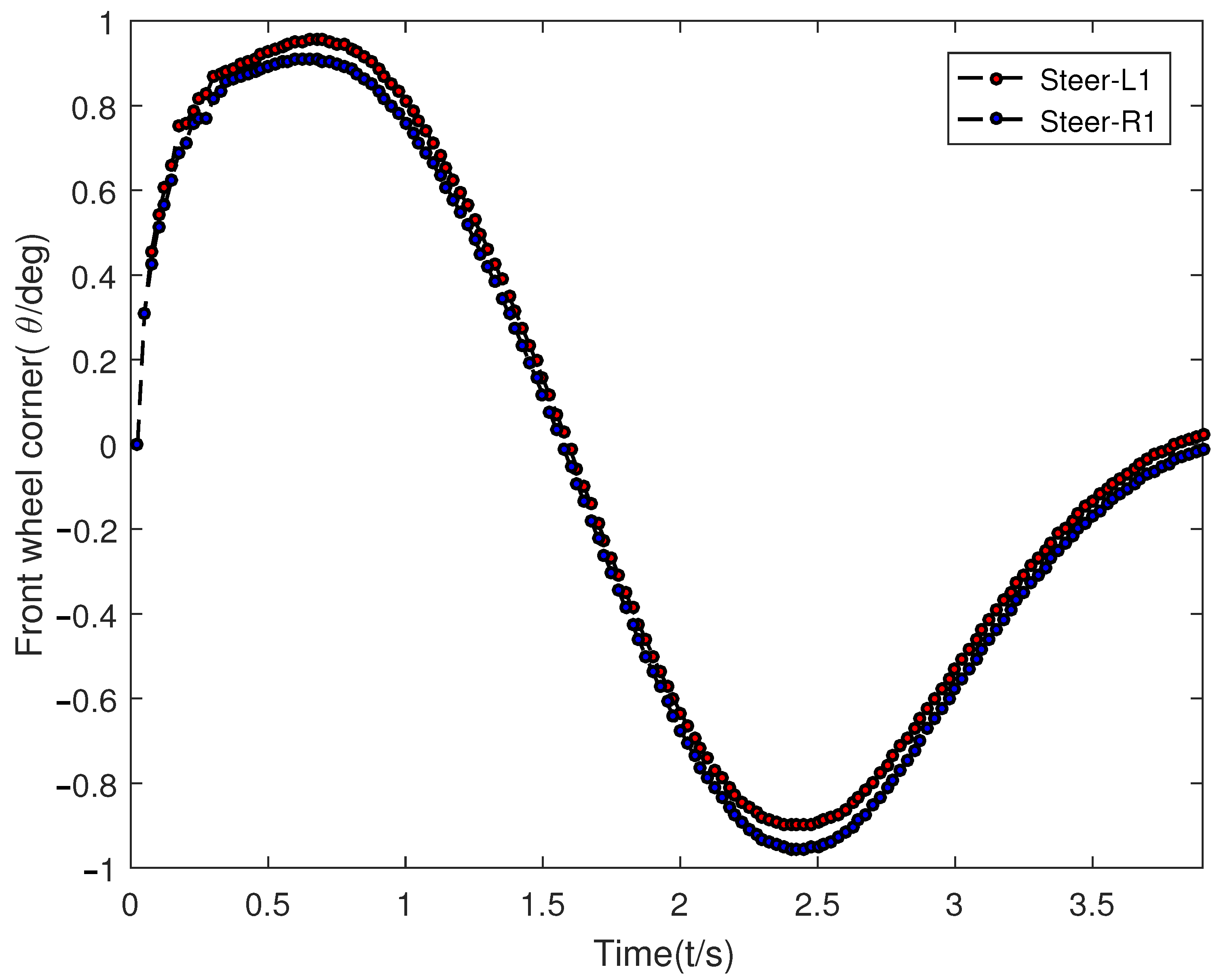
6.3. Autonomous Lane Change Trajectory Planning Verification
6.4. Trajectory Tracking Verification
7. Discussion on Limitations and Future Enhancements
8. Conclusions
- The integration of fuzzy logic theory with real-time vehicle-to-vehicle communication allows for a robust lane change decision model. This model accurately reflects lane change intentions and enhances vehicle safety by dynamically adjusting to surrounding traffic conditions. The protective function is enhanced by reducing the likelihood of collisions through informed decision-making processes.
- The trajectory planning approach utilizing quintic polynomials and particle swarm optimization optimizes lane change timing and path smoothness, contributing to technical support for IV development by providing a framework for real-time trajectory adjustments based on dynamic traffic data. The proposed method’s application in practice can improve traffic flow and reduce congestion by enabling smoother and more predictable lane changes.
- While our simulation and testing scenarios were not exhaustive, they provide a foundation for future research. Expanding the range of scenarios to include variable speeds and mixed traffic conditions will further enhance the model’s applicability. Establishing specific thresholds and safety margins will be crucial for practical implementation, where IVs need to safely navigate complex real-world environments.
Author Contributions
Funding
Data Availability Statement
Conflicts of Interest
Abbreviations
| IV | Intelligent Vehicle |
| ITS | Intelligent Transportation System |
| RNN | Recurrent Neural Network |
| RF | Random Forest |
| V2X | Vehicle-to-Everything |
| DQN | Deep Q-Network |
| IoV | Internet of Vehicles |
| SVM | Support Vector Machine |
References
- Claussmann, L.; Revilloud, M.; Gruyer, D.; Glaser, S. A Review of Motion Planning for Highway Autonomous Driving. IEEE Trans. Intell. Transp. Syst. 2020, 21, 1826–1848. [Google Scholar] [CrossRef]
- Huang, Y.; Du, J.; Yang, Z.; Zhou, Z.; Zhang, L.; Chen, H. A Survey on Trajectory-Prediction Methods for Autonomous Driving. IEEE Trans. Intell. Veh. 2022, 7, 652–674. [Google Scholar] [CrossRef]
- Feng, Z.; Song, W.; Fu, M.; Yang, Y.; Wang, M. Decision-Making and Path Planning for Highway Autonomous Driving Based on Spatio-Temporal Lane-Change Gaps. IEEE Syst. J. 2022, 16, 3249–3259. [Google Scholar] [CrossRef]
- Li, S.; Wei, C.; Wang, Y. Combining Decision Making and Trajectory Planning for Lane Changing Using Deep Reinforcement Learning. IEEE Trans. Intell. Transp. Syst. 2022, 23, 16110–16136. [Google Scholar] [CrossRef]
- Wiseman, Y. Real-time monitoring of traffic congestions. In Proceedings of the 2017 IEEE International Conference on Electro Information Technology (EIT), Lincoln, NE, USA, 14–17 May 2017; Volume 9, pp. 501–505. [Google Scholar]
- Li, L.; Zhao, W.; Xu, C.; Wang, C.; Chen, Q.; Dai, S. Lane-Change Intention Inference Based on RNN for Autonomous Driving on Highways. IEEE Trans. Veh. Technol. 2021, 70, 5499–5510. [Google Scholar] [CrossRef]
- Zhang, J.; Chang, C.; Zeng, X.; Li, L. Multi-Agent DRL-Based Lane Change with Right-of-Way Collaboration Awareness. IEEE Trans. Intell. Transp. Syst. 2023, 24, 854–869. [Google Scholar] [CrossRef]
- Li, M.; Zhang, J.; Li, W.; Yin, T.; Chen, W.; Du, L.; Yan, X.; Liu, H. Improved Taillight Detection Model for Intelligent Vehicle Lane-Change Decision-Making Based on YOLOv8. World Electr. Veh. J. 2024, 15, 369. [Google Scholar] [CrossRef]
- Zheng, L.; Liu, W. A Comprehensive Investigation of Lane-Changing Risk Recognition Framework of Multi-Vehicle Type Considering Key Features Based on Vehicles’ Trajectory Data. Electronics 2024, 13, 1097. [Google Scholar] [CrossRef]
- Wang, Q.; Ayalew, B.; Weiskircher, T. Predictive Maneuver Planning for an Autonomous Vehicle in Public Highway Traffic. IEEE Trans. Intell. Transp. Syst. 2019, 20, 1303–1315. [Google Scholar] [CrossRef]
- Tang, X.; Huang, B.; Liu, T.; Lin, X. Highway Decision-Making and Motion Planning for Autonomous Driving via Soft Actor-Critic. IEEE Trans. Veh. Technol. 2022, 71, 4706–4717. [Google Scholar] [CrossRef]
- Suh, J.; Chae, H.; Yi, K. Stochastic Model-Predictive Control for Lane Change Decision of Automated Driving Vehicles. IEEE Trans. Veh. Technol. 2018, 67, 4771–4782. [Google Scholar] [CrossRef]
- Rasekhipour, Y.; Khajepour, A.; Chen, S.-K.; Litkouhi, B. A Potential Field-Based Model Predictive Path-Planning Controller for Autonomous Road Vehicles. IEEE Trans. Intell. Transp. Syst. 2017, 18, 1255–1267. [Google Scholar] [CrossRef]
- Sun, Y.; Zhang, C.; Sun, P.; Liu, C. Safe and smooth motion planning for Mecanum-Wheeled robot using improved RRT and cubic spline. Arabian J. Sci. Eng. 2020, 45, 3075–3090. [Google Scholar] [CrossRef]
- Sheng, Z.; Liu, L.; Xue, S.; Zhao, D.; Jiang, M.; Li, D. A Cooperation-Aware Lane Change Method for Automated Vehicles. IEEE Trans. Intell. Transp. Syst. 2023, 24, 3236–3251. [Google Scholar] [CrossRef]
- Zhao, H.; Wu, H.; Lu, N.; Zhan, X.; Xu, E.; Yuan, Q. Lane Changing in a Vehicle-to-Everything Environment: Research on a Vehicle Lane-Changing Model in the Tunnel Area by Considering the Influence of Brightness and Noise under a Vehicle-to-Everything Environment. IEEE Intell. Transp. Syst. Mag. 2023, 15, 225–237. [Google Scholar] [CrossRef]
- Chen, N.; Arem, B.V.; Wang, M. Hierarchical Optimal Maneuver Planning and Trajectory Control at On-Ramps with Multiple Mainstream Lanes. IEEE Trans. Intell. Transp. Syst. 2022, 23, 18889–18902. [Google Scholar] [CrossRef]
- Diao, D.; Zhang, D.; Liang, W.; Gaudiot, J. A Novel Spatial-Temporal Multi-Scale Alignment Graph Neural Network Security Model for Vehicles Prediction. IEEE Trans. Intell. Transp. Syst. 2023, 24, 904–914. [Google Scholar] [CrossRef]
- Dong, C.; Chen, Y.; Wang, H.; Ni, D.; Shi, X.; Lyu, K. An Evolutionary Learning Framework of Lane-Changing Control for Autonomous Vehicles at Freeway Off-Ramps. IEEE Trans. Veh. Technol. 2023, 72, 1611–1628. [Google Scholar] [CrossRef]
- Hang, P.; Lv, C.; Huang, C.; Cai, J.; Hu, Z.; Xing, Y. An Integrated Framework of Decision Making and Motion Planning for Autonomous Vehicles Considering Social Behaviors. IEEE Trans. Veh. Technol. 2020, 69, 14458–14469. [Google Scholar] [CrossRef]
- Daoud, M.A.; Mehrez, M.W.; Rayside, D.; Melek, W.W. Simultaneous Feasible Local Planning and Path-Following Control for Autonomous Driving. IEEE Trans. Intell. Transp. Syst. 2022, 23, 16358–16370. [Google Scholar] [CrossRef]
- Peng, T.; Liu, X.; Fang, R.; Zhang, R.; Pang, Y.; Wang, T.; Tong, Y. Lane-change path planning and control method for self-driving articulated trucks. J. Intell. Connected Veh. 2020, 3, 49–66. [Google Scholar] [CrossRef]
- Benciolini, T.; Wollherr, D.; Leibold, M. Non-Conservative Trajectory Planning for Automated Vehicles by Estimating Intentions of Dynamic Obstacles. IEEE Trans. Intell. Veh. 2023, 8, 2463–2481. [Google Scholar] [CrossRef]
- Chen, L.-W.; Wang, G.-L. Risk-Aware and Collision-Preventive Cooperative Fleet Cruise Control Based on Vehicular Sensor Networks. IEEE Trans. Syst. Man Cybern. Syst. 2022, 52, 179–191. [Google Scholar] [CrossRef]
- Lee, S.; Oh, J.; Kim, M.; Lim, M.; Yun, K.; Yun, H.; Kim, C.; Lee, J. A Study on Reducing Traffic Congestion in the Roadside Unit for Autonomous Vehicles Using BSM and PVD. World Electr. Veh. J. 2024, 15, 117. [Google Scholar] [CrossRef]
- Sharma, O.; Sahoo, N.C.; Puhan, N.B. Dynamic Planning of Optimally Safe Lane-change Trajectory for Autonomous Driving on Multi-lane Highways Using a Fuzzy Logic-based Collision Estimator. ACM J. Auton. Transp. Syst. 2024, 1, 4. [Google Scholar] [CrossRef]
- Huang, J.; Long, Y.; Zhao, X. Driver Glance Behavior Modeling Based on Semi-Supervised Clustering and Piecewise Aggregate Representation. IEEE Trans. Intell. Transp. Syst. 2022, 23, 8396–8411. [Google Scholar] [CrossRef]
- Gangopadhyay, B.; Soora, H.; Dasgupta, P. Hierarchical Program-Triggered Reinforcement Learning Agents for Automated Driving. Trans. Intell. Transp. Syst. 2022, 23, 10902–10911. [Google Scholar] [CrossRef]
- Goldman, R.W. Development of a Rollover-Warning Device for Road Vehicles; The Pennsylvania State University: University Park, PA, USA, 2001; pp. 1–156. [Google Scholar]
- Tan, Z.; Wei, J.; Dai, N. Real-time Dynamic Trajectory Planning for Intelligent Vehicles Based on Quintic Polynomial. In Proceedings of the 2022 IEEE 21st International Conference on Ubiquitous Computing and Communications (IUCC/CIT/DSCI/SmartCNS), Chongqing, China, 19–21 December 2022; pp. 51–56. [Google Scholar]





















| Notation | Description | Value |
|---|---|---|
| C-Class | Model of this vehicle | AITO 9 |
| Pavement adhesion coefficient | 0.9 | |
| The Longitudinal distance between and | 35 m | |
| The Longitudinal distance between and | 40 m | |
| The initial distance between and | 50 m | |
| The speed of the | 20 m/s | |
| The speed of the | 18 m/s | |
| The speed of the | 22 m/s | |
| d | Lane width | 3.5 m |
Disclaimer/Publisher’s Note: The statements, opinions and data contained in all publications are solely those of the individual author(s) and contributor(s) and not of MDPI and/or the editor(s). MDPI and/or the editor(s) disclaim responsibility for any injury to people or property resulting from any ideas, methods, instructions or products referred to in the content. |
© 2024 by the authors. Published by MDPI on behalf of the World Electric Vehicle Association. Licensee MDPI, Basel, Switzerland. This article is an open access article distributed under the terms and conditions of the Creative Commons Attribution (CC BY) license (https://creativecommons.org/licenses/by/4.0/).
Share and Cite
He, C.; Jiang, W.; Li, J.; Wei, J.; Guo, J.; Zhang, Q. Fuzzy Logic-Based Autonomous Lane Changing Strategy for Intelligent Internet of Vehicles: A Trajectory Planning Approach. World Electr. Veh. J. 2024, 15, 403. https://doi.org/10.3390/wevj15090403
He C, Jiang W, Li J, Wei J, Guo J, Zhang Q. Fuzzy Logic-Based Autonomous Lane Changing Strategy for Intelligent Internet of Vehicles: A Trajectory Planning Approach. World Electric Vehicle Journal. 2024; 15(9):403. https://doi.org/10.3390/wevj15090403
Chicago/Turabian StyleHe, Chao, Wenhui Jiang, Junting Li, Jian Wei, Jiang Guo, and Qiankun Zhang. 2024. "Fuzzy Logic-Based Autonomous Lane Changing Strategy for Intelligent Internet of Vehicles: A Trajectory Planning Approach" World Electric Vehicle Journal 15, no. 9: 403. https://doi.org/10.3390/wevj15090403
APA StyleHe, C., Jiang, W., Li, J., Wei, J., Guo, J., & Zhang, Q. (2024). Fuzzy Logic-Based Autonomous Lane Changing Strategy for Intelligent Internet of Vehicles: A Trajectory Planning Approach. World Electric Vehicle Journal, 15(9), 403. https://doi.org/10.3390/wevj15090403
