Sustainable Resource Acquisition Path: A Dynamic Model of Embedded Entrepreneurial Network Governance under Uncertainty
Abstract
1. Introduction
2. Literature Return and Problem Presentation
2.1. Uncertainty in Entrepreneurial Action
2.2. Entrepreneurial Network and Resource Acquisition
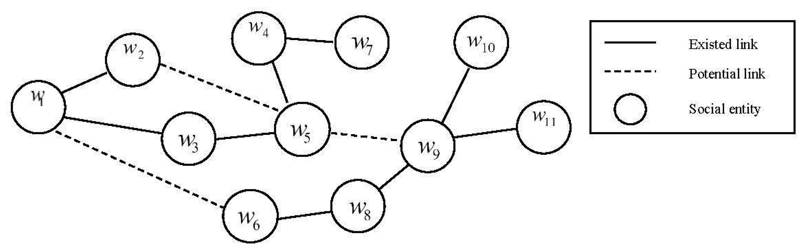
2.3. The Link Prediction Problem in Social Network
3. Key Factors Underlying Entrepreneurial Decision: Related Theory and Operationalization
3.1. Related Theory with Network Structural Feature
3.2. Operationalization with Network Structural Feature
4. Model Building
4.1. Construction of the Naive Bayesian Classifier
4.2. Estimating Missing Values Using EM Algorithm
4.3. The Utility-Based Resource Acquisition Decision
5. Empirical Evaluation
5.1. Sample and Data Collection
5.2. Experimental Design and Results
6. Conclusions
Author Contributions
Funding
Conflicts of Interest
Appendix A. Derivation of Equation (17)
Appendix B. Explanation of Theorem 1
Appendix C. Variable Metrics of Questionnaires
Appendix D. Test of Reliability and Validity of Questionnaires
| Variable | Variable Item | Factor Load | Cronbach’s α | AVE | CR |
|---|---|---|---|---|---|
| Network size | A01 | 0.549 | 0.826 | 0.454321 | 0.830130672 |
| A02 | 0.784 | ||||
| A03 | 0.53 | ||||
| A04 | 0.738 | ||||
| A05 | 0.753 | ||||
| A06 | 0.646 | ||||
| Ties strength | B01 | 0.629 | 0.907 | 0.4800928 | 0.901395106 |
| B02 | 0.761 | ||||
| B03 | 0.682 | ||||
| B04 | 0.607 | ||||
| B05 | 0.672 | ||||
| B06 | 0.654 | ||||
| B07 | 0.862 | ||||
| B08 | 0.69 | ||||
| B09 | 0.655 | ||||
| B10 | 0.682 | ||||
| Structural equivalence | C01 | 0.676 | 0.756 | 0.44449025 | 0.758947323 |
| C02 | 0.78 | ||||
| C03 | 0.648 | ||||
| C04 | 0.541 | ||||
| Heterogeneity | D01 | 0.663 | 0.845 | 0.442340714 | 0.846794735 |
| D02 | 0.627 | ||||
| D03 | 0.749 | ||||
| D04 | 0.668 | ||||
| D05 | 0.638 | ||||
| D06 | 0.697 | ||||
| D07 | 0.603 |
| Variable | /df | RMSEA | CFI | NFI | RFI | IFI | TLI |
|---|---|---|---|---|---|---|---|
| A | 1.443 | 0.047 | 0.973 | 0.921 | 0.866 | 0.974 | 0.955 |
| B | 1.891 | 0.067 | 0.911 | 0.833 | 0.775 | 0.914 | 0.879 |
| C | 1.658 | 0.057 | 0.985 | 0.965 | 0.929 | 0.986 | 0.971 |
| D | 0.572 | 0 | 1 | 0.984 | 0.968 | 1.012 | 1.025 |
References
- Leung, A.; Zhang, J.; Wong, P.K.; Foo, M.D. The use of networks in human resource acquisition for entrepreneurial firms: Multiple “fit” considerations. J. Bus. Ventur. 2006, 21, 664–686. [Google Scholar] [CrossRef]
- McMullen, J.S.; Shepherd, D.A. Entrepreneurial action and the role of uncertainty in the theory of the entrepreneur. Acad. Manag. Rev. 2006, 31, 132–152. [Google Scholar] [CrossRef]
- Engel, Y.; Kaandorp, M.; Elfring, T. Toward a dynamic process model of entrepreneurial networking under uncertainty. J. Bus. Ventur. 2017, 32, 35–51. [Google Scholar] [CrossRef]
- Song, L.; Augustine, D.; Yang, J.Y. Environmental uncertainty, prospector strategy, and new venture performance: The moderating role of network capabilities. Int. Entrep. Manag. J. 2016, 12, 1103–1126. [Google Scholar] [CrossRef]
- Mckelvie, A.; Haynie, J.M.; Gustavsson, V. Unpacking the uncertainty construct: Implications for entrepreneurial action. J. Bus. Ventur. 2011, 26, 273–292. [Google Scholar] [CrossRef]
- Martens, M.L.; Jennings, J.E.; Jennings, P.D. Do the stories they tell get them the money they need? The role of entrepreneurial narratives in resource acquisition. Acad. Manag. J. 2007, 50, 1107–1132. [Google Scholar] [CrossRef]
- Bacq, S.; Eddleston, K.A. A Resource-Based View of Social Entrepreneurship: How Stewardship Culture Benefits Scale of Social Impact. J. Bus. Ethics 2018, 152, 589–611. [Google Scholar] [CrossRef]
- Barney, J. Firm Resources and Sustained Competitive Advantage. J. Manag. 1991, 17, 99–120. [Google Scholar] [CrossRef]
- Newbert, S.L. Empirical research on the resource-based view of the firm: An assessment and suggestions for future research. Strateg. Manag. J. 2007, 28, 121–146. [Google Scholar] [CrossRef]
- Villanueva, J.; Van de Ven, A.H.; Sapienza, H.J. Resource mobilization in entrepreneurial firms. J. Bus. Ventur. 2012, 27, 19–30. [Google Scholar] [CrossRef]
- Zhang, J. The Problems of Using Social Networks in Entrepreneurial Resource Acquisition. Soc. Sci. Electron. Publ. 2012, 28, 338–361. [Google Scholar] [CrossRef]
- Aldrich, H.E.; Zimmer, C. Entrepreneurship through social networks. Calif. Manag. Rev. 1986, 33, 3–23. [Google Scholar]
- Vissa, B. Agency in Action: Entrepreneurs’ Networking Style and Initiation of Economic Exchange. Soc. Sci. Electron. Publ. 2012, 23, 492–510. [Google Scholar] [CrossRef]
- Bliemel, M.J.; McCarthy, I.P.; Maine, E.M.A. An Integrated Approach to Studying Multiplexity in Entrepreneurial Networks. Entrep. Res. J. 2014, 4. [Google Scholar] [CrossRef]
- Alvarez, S.A.; Barney, J.B. How Do Entrepreneurs Organize Firms Under Conditions of Uncertainty? J. Manag. 2005, 31, 776–793. [Google Scholar] [CrossRef]
- Ozcan, P.; Eisenhardt, K.M. Origin of alliance portfolios: Entrepreneurs, network strategies, and firm performance. Acad. Manag. J. 2009, 52, 246–279. [Google Scholar] [CrossRef]
- Jauch, L.R.; Kraft, K.L. Strategic Management of Uncertainty. Acad. Manag. Rev. 1986, 11, 777–790. [Google Scholar] [CrossRef]
- Starr, J.A.; Macmillan, I.C. Resource Cooptation Via Social Contracting: Resource Acquisition Strategies for New Ventures. Soc. Sci. Electron. Publ. 2009, 11, 79–92. [Google Scholar]
- Elfring, T.; Hulsink, W. Networks in entrepreneurship: The case of high-technology firms. Small Bus. Econ. 2003, 21, 409–422. [Google Scholar] [CrossRef]
- Martinez, V.; Berzal, F.; Cubero, J. A Survey of Link Prediction in Complex Networks. ACM Comput. Surv. 2017, 49. [Google Scholar] [CrossRef]
- Li, Z.; Fang, X.; Bai, X.; Sheng, O.R.L. Utility-Based Link Recommendation for Online Social Networks. Manag. Sci. 2017, 63, 1938–1952. [Google Scholar] [CrossRef]
- Aldrich, H.E.; Kim, P.H. Small worlds, infinite possibilities? How social networks affect entrepreneurial team formation and search. IEEE Eng. Manag. Rev. 2012, 40, 3–23. [Google Scholar] [CrossRef]
- Porter, C.M.; Woo, S.E. Untangling the Networking Phenomenon: A Dynamic Psychological Perspective on How and Why People Network; SAGE Publications: Angeles, CA, USA, 2015; pp. 1477–1500. [Google Scholar]
- Burns, B.L.; Barney, J.B.; Angus, R.W.; Herrick, H.N. Enrolling Stakeholders under Conditions of Risk and Uncertainty. Strat. Entrep. J. 2016, 10, 97–106. [Google Scholar] [CrossRef]
- Hallen, B.L.; Eisenhardt, K.M. Catalyzing Strategies and Efficient Tie Formation: How Entrepreneurial Firms Obtain Investment Ties. Acad. Manag. J. 2012, 55, 35–70. [Google Scholar] [CrossRef]
- Duncan, R.B. Characteristics of Organizational Environments and Perceived Environmental Uncertainty. Adm. Sci. Q. 1972, 17, 313–327. [Google Scholar] [CrossRef]
- Alvarez, S.A.; Barney, J.B. Discovery and Creation: Alternative Theories of Entrepreneurial Action. Strat. Entrep. J. 2007, 1, 11–26. [Google Scholar] [CrossRef]
- Zhang, J.; Souitaris, V.; Soh, P.H.; Wong, P.K. A contingent model of network utilization in early financing of technology ventures. Entrep. Theory Pract. 2008, 32, 593–613. [Google Scholar] [CrossRef]
- Bratkovic, T.; Antoncic, B.; Ruzzier, M. Strategic utilization of entrepreneur’s resource-based social capital and small firm growth. J. Manag. Organ. 2009, 15, 486–499. [Google Scholar] [CrossRef]
- Slotte-Kock, S.; Coviello, N. Entrepreneurship Research on Network Processes: A Review and Ways Forward. Entrep. Theory Pract. 2010, 34, 31–57. [Google Scholar] [CrossRef]
- Soh, P.H. The Role of Networking Alliances in Information Acquisition and Its Implications for New Product Performance. J. Bus. Ventur. 2003, 18, 727–744. [Google Scholar] [CrossRef]
- Fiss, P.C. A Set-Theoretic Approach to Organizational Configurations. Acad. Manag. Rev. 2007, 32, 1180–1198. [Google Scholar] [CrossRef]
- Larson, A. Partner Networks: Leveraging External Ties to Improve Entrepreneurial Performance. J. Bus. Ventur. 1991, 6, 173–188. [Google Scholar] [CrossRef]
- Hite, J.M. Evolutionary Processes and Paths of Relationally Embedded Network Ties in Emerging Entrepreneurial Firms. Entrep. Theory Pract. 2005, 29, 113–144. [Google Scholar] [CrossRef]
- Meyskens, M.; Robb-Post, C.; Stamp, J.; Carsrud, A.; Reynolds, P. Social ventures from a resource-based perspective: An exploratory study assessing global Ashoka Fellows. Entrep. Theory Pract. 2010, 34, 661–680. [Google Scholar] [CrossRef]
- Granovetter, M. Economic Action and Social Structure: The Problem of Embeddedness. Am. J. Sociol. 1985, 91, 481–510. [Google Scholar] [CrossRef]
- Hite, J.M.; Hesterly, W.S. The Evolution of Firm Networks: From Emergence to Early Growth of the Firm. Strateg. Manag. J. 2001, 22, 275–286. [Google Scholar] [CrossRef]
- Sirmon, D.G.; Hitt, M.A.; Ireland, R.D. Managing firm resources in dynamic environments to create value: Looking inside the black box. Acad. Manag. Rev. 2007, 32, 273–292. [Google Scholar] [CrossRef]
- Lü, L.; Zhou, T. Link prediction in complex networks: A survey. Phys. Stat. Mech. Appl. 2011, 390, 1150–1170. [Google Scholar] [CrossRef]
- Fang, X.; Hu, P.J.; Li, Z.; Tsai, W. Predicting Adoption Probabilities in Social Networks. Inf. Syst. Res. 2013, 24, 128–145. [Google Scholar] [CrossRef]
- Liben-Nowell, D.; Kleinberg, J. The link-prediction problem for social networks. J. Am. Soc. Inf. Sci. Technol. 2007, 58, 1019–1031. [Google Scholar] [CrossRef]
- Hill, S.; Provost, F.; Volinsky, C. Network-Based Marketing: Identifying Likely Adopters via Consumer Networks. Stat. Sci. 2006, 21, 256–276. [Google Scholar] [CrossRef]
- Domingos, P.; Richardson, M. Mining the Network Value of Customers. In Proceedings of the 7th ACM SIGKDD International Conference on Knowledge Discovery and Data Mining, San Francisco, CA, USA, 26–29 August 2001; pp. 57–66. [Google Scholar]
- Hartmann, W.R. Demand Estimation with Social Interactions and the Implications for Targeted Marketing. Mark. Sci. 2010, 29, 585–601. [Google Scholar] [CrossRef]
- Hasan, M.A. Link prediction using supervised learning. In Proceedings of the SDM Workshop on Link Analysis Counterterrorism & Security, Minneapolis, MN, USA, 26–28 April 2006; pp. 798–805. [Google Scholar]
- Backstrom, L.; Leskovec, J. Supervised random walks: Predicting and recommending links in social networks. In Proceedings of the WSDM ‘11 Fourth ACM International Conference Web Search Data Mining, Hong Kong, China, 9–12 February 2011; pp. 635–644. [Google Scholar]
- Hopcroft, J.; Lou, T.; Tang, J. Who will follow you back? Reciprocal relationship prediction. In Proceedings of the ACM International Conference on Information and Knowledge Management, Scotland, UK, 24–28 October 2011; pp. 1137–1146. [Google Scholar]
- Brandstätter, H. Personality aspects of entrepreneurship: A look at five meta-analyses. Personal. Individ. Differ. 2011, 51, 222–230. [Google Scholar] [CrossRef]
- Dvouletý, O.; Mühlböck, M.; Warmuth, J.; Kittel, B. ‘Scarred’ young entrepreneurs. Exploring young adults’ transition from former unemployment to self-employment. J. Youth Stud. 2017, 21, 1159–1181. [Google Scholar] [CrossRef]
- Jack, S.L. The Role, Use and Activation of Strong and Weak Network Ties: A Qualitative Analysis. J. Manag. Stud. 2005, 42, 1233–1259. [Google Scholar] [CrossRef]
- Milgram, S. Small world problem. Psychol. Today. 1967, 1, 61–67. [Google Scholar]
- Granovetter, M. The Strength of Weak Ties. Am. J. Sociol. 1973, 78, 1360–1380. [Google Scholar] [CrossRef]
- Krackhardt, D. The Strength of Strong Ties: The Importance of Philos in Organizations. Netw. Organ. 1992, 5, 216–239. [Google Scholar]
- Burt, R.S. Social Contagion and Innovation: Cohesion versus Structural Equivalence. Am. J. Sociol. 1987, 92, 1287–1335. [Google Scholar] [CrossRef]
- Audretsch, D.B.; Bonte, W.; Tamvada, J.P. Religion, social class, and entrepreneurial choice. J. Bus. Ventur. 2013, 28, 774–789. [Google Scholar] [CrossRef]
- Gulati, R.; Sytch, M. Dependence Asymmetry and Joint Dependence in Inter-Organizational Relationships: Effects of Embeddedness on a Manufacturer’s Performance in Procurement Relationships. Adm. Sci. Q. 2007, 52, 32–69. [Google Scholar] [CrossRef]
- Coleman, J.S. Social Capital in the Creation of Human Capital. Am. J. Sociol. 1988, 94, 95–120. [Google Scholar] [CrossRef]
- Tajfel, H. Social-psychology of inter-group relations. Annu. Rev. Psychol. 2003, 33, 1–39. [Google Scholar] [CrossRef]
- Jackson, C.J. Gray’s Reinforcement Sensitivity Theory: A psychometric critique. Pers. Individ. Differ. 2003, 34, 533–544. [Google Scholar] [CrossRef]
- Richard, O.C.; Barnett, T.; Dwyer, S.; Chadwick, K. Cultural diversity in management, firm performance, and the moderating role of entrepreneurial orientation dimensions. Acad. Manag. J. 2004, 47, 255–266. [Google Scholar]
- Miller, C.C.; Burke, L.M.; Glick, W.H. Cognitive diversity among upper-echelon executives: Implications for strategic decision processes. Strat. Manag. J. 1998, 19, 39–58. [Google Scholar] [CrossRef]
- Eisenhardt, K.M. Making fast strategic decisions in high-velocity environments. Acad. Manag. J. 1989, 32, 543–576. [Google Scholar]
- Ferrier, W.J. Navigating the competitive landscape: The drivers and consequences of competitive aggressiveness. Acad. Manag. J. 2001, 44, 858–877. [Google Scholar]
- Hoang, H.; Antoncic, B. Network-based research in entrepreneurship. J. Bus. Ventur. 2003, 18, 165–187. [Google Scholar] [CrossRef]
- Morse, E.A.; Fowler, S.W.; Lawrence, T.B. The Impact of Virtual Embeddedness on New Venture Survival: Overcoming the Liabilities of Newness. Entrep. Theory Pract. 2010, 31, 139–159. [Google Scholar] [CrossRef]
- Uzzi, B. Social Structure and Competition in Interfirm Networks: The Paradox of Embeddedness. Adm. Sci. Q. 1997, 42, 35–67. [Google Scholar] [CrossRef]
- Han, J.; Kamber, M. Data Mining: Concepts and Techniques. In Data Mining Concepts Models Methods Algorithms, 2nd ed.; Wiley-IEEE Press: Hoboken, NJ, USA, 2011; Volume 5, pp. 1–18. [Google Scholar]
- Hamers, L.H.Y.H.G. Similarity measures in scientometric research: The Jaccard index versus Salton’s cosine formula. Inf. Process. Manag. 1989, 25, 315–318. [Google Scholar] [CrossRef]
- Mcgrath, R.G. Falling Forward: Real Options Reasoning and Entrepreneurial Failure. Acad. Manag. Rev. 1999, 24, 13–30. [Google Scholar] [CrossRef]
- Leiblein, M. The Choice of Organizational Governance Form and Performance: Predictions from Transaction Cost, Resource-based, and Real Options Theories. J. Manag. 2003, 29, 937–961. [Google Scholar]
- Friedman, N. Learning Belief Networks in the Presence of Missing Values and Hidden Variables. In Proceedings of the Fourteenth International Conference on Machine Learning, Nashville, TN, USA, 8–12 July 1997; Morgan Kaufmann Publishers Inc.: San Francisco, CA, USA, 1997; pp. 125–133. [Google Scholar]
- Friedman, N. The Bayesian structural EM algorithm. In Proceedings of the 14th Conference on Uncertainly in Artificial Intelligence, Madison, WI, USA, 24–26 July 1998. [Google Scholar]
- Dicker, L.H.; Zhao, S.D. Nonparametric empirical Bayes and maximum likelihood estimation for high-dimensional data analysis. arXiv, 2014; arXiv:1407.2635. [Google Scholar]
- Dempster, A.P.; Laird, N.M.; Rubin, D.B. Maximum Likelihood from Incomplete Data via the EM Algorithm. J. R. Stat. Soc. 1977, 39, 1–38. [Google Scholar]
- Do, C.B.; Batzoglou, S. What is the expectation maximization algorithm? Nat. Biotechnol. 2008, 26, 897–899. [Google Scholar] [CrossRef] [PubMed]
- Freund, J.E. A Bivariate Extension of the Exponential Distribution. Publ. Am. Stat. Assoc. 1961, 56, 971–977. [Google Scholar] [CrossRef]
- Bishop, C.M. Pattern Recognition and Machine Learning (Information Science and Statistics); Springer: New York, NY, USA, 2006. [Google Scholar]
- Lechner, C.; Dowling, M. Firm networks: External relationships as sources for the growth and competitiveness of entrepreneurial firms. Entrep. Reg. Dev. 2003, 15, 1–26. [Google Scholar] [CrossRef]
- Rosenbusch, N.; Brinckmann, J.; Bausch, A. Is innovation always beneficial? A meta-analysis of the relationship between innovation and performance in SMEs. J. Bus. Ventur. 2011, 26, 441–457. [Google Scholar] [CrossRef]
- Zhang, W.; Jiang, Y.; Yin, G.; Yu, L. Handling missing values in software effort data based on naive Bayes and EM algorithm. Syst. Eng.-Theory Pract. 2017, 37, 2965–2974. [Google Scholar]
- Wu, X.; Kumar, V.; Quinlan, J.R.; Ghosh, J.; Yang, Q.; Motoda, H.; McLachlan, G.J.; Ng, A.; Liu, B.; Yu, P.S.; et al. Top 10 algorithms in data mining. Knowl. Inf. Syst. 2008, 14, 1–37. [Google Scholar] [CrossRef]
- Tong, S.; Koller, D. Support vector machine active learning with applications to text classification. Mach. Learn. Res. 2002, 2, 999–1006. [Google Scholar]
- Li, L.; Weinberg, C.R.; Darden, T.A.; Pedersen, L.G. Gene selection for sample classification based on gene expression data: Study of sensitivity to choice of parameters of the GA/KNN method. Bioinformatics 2001, 17, 1131–1142. [Google Scholar] [CrossRef] [PubMed]
- Vismara, S. Equity retention and social network theory in equity crowdfunding. Small Bus. Econ. 2016, 46, 1–12. [Google Scholar] [CrossRef]
- Stam, W.; Arzlanian, S.; Elfring, T. Social capital of entrepreneurs and small firm performance: A meta-analysis of contextual and methodological moderators. J. Bus. Ventur. 2014, 29, 152–173. [Google Scholar] [CrossRef]
- Wang, L.; Wang, Y.; Chen, H. Study on Mechanism of Firms Social Network for Innovation Performance: Case Study of Zhejiang. Sci. Technol. Manag. Res. 2011, 14, 59–64. [Google Scholar]
- Burt, R.S. Network items and the general social survey. Soc. Netw. 1984, 6, 293–339. [Google Scholar] [CrossRef]
- Reagans, R.; Zuckerman, E.W. Networks, Diversity, and Productivity: The Social Capital of Corporate R&D Teams. Organ. Sci. 2001, 12, 502–517. [Google Scholar]
- Chatman, J.A.; Polzer, J.T.; Barsade, S.G.; Neale, M.A. Being Different Yet Feeling Similar: The Influence of Demographic Composition and Organizational Culture on Work Processes and Outcomes. Adm. Sci. Q. 1998, 43, 749–780. [Google Scholar] [CrossRef]





| Classification Project | Number of Samples | Percentage | |
|---|---|---|---|
| Year of establishment | Less than 1 year | 26 | 12.94% |
| 1–2 year | 54 | 26.87% | |
| 3–5 year | 55 | 27.36% | |
| 5–10 year | 66 | 32.83% | |
| Number of employees | Less than 5 person | 21 | 10.45% |
| 5–20 person | 61 | 30.35% | |
| 21–50 person | 40 | 19.90% | |
| 51–100 person | 34 | 16.92% | |
| 101–200 person | 28 | 13.93% | |
| 201–500 person | 17 | 8.5% | |
| Industry | Agricultural and sideline food processing industry | 10 | 4.98% |
| Manufacturing | 31 | 15.42% | |
| Biology and medicine industry | 10 | 4.98% | |
| Electricity, gas and other related industry | 7 | 3.48% | |
| Construction industry and real estate industry | 19 | 9.45% | |
| Transportation, warehousing and postal services | 7 | 3.48% | |
| Financial industry | 19 | 9.45% | |
| Wholesale and retail | 19 | 9.45% | |
| Information transfer | 8 | 3.98% | |
| Computer service and software industry | 19 | 9.45% | |
| Accommodation and catering industry | 11 | 5.47% | |
| Leasing and business services industry | 5 | 2.49% | |
| others | 36 | 17.91% |
| 2.5 | 1 | 3.5 | 4 | 4.5 | |
| 4 | 1.5 | 5 | 2 | 3 | |
| 3 | 2.5 | 4 | 1 | 2 | |
| 1.5 | 3 | 2 | 0.5 | 2.5 | |
| N | 3.4943 | 1.6809 | 1.9270 | 3.6843 | 2.1792 |
| 67.00% | 26.92% | 91.67% | 13.45% | 74.42% | |
| V | 3 | 2 | 4 | 1 | 5 |
| 2.010 | 0.538 | 3.667 | 0.135 | 3.721 |
© 2018 by the authors. Licensee MDPI, Basel, Switzerland. This article is an open access article distributed under the terms and conditions of the Creative Commons Attribution (CC BY) license (http://creativecommons.org/licenses/by/4.0/).
Share and Cite
Chen, F.-W.; Lin, M.-X.; Wang, T. Sustainable Resource Acquisition Path: A Dynamic Model of Embedded Entrepreneurial Network Governance under Uncertainty. Sustainability 2018, 10, 4061. https://doi.org/10.3390/su10114061
Chen F-W, Lin M-X, Wang T. Sustainable Resource Acquisition Path: A Dynamic Model of Embedded Entrepreneurial Network Governance under Uncertainty. Sustainability. 2018; 10(11):4061. https://doi.org/10.3390/su10114061
Chicago/Turabian StyleChen, Feng-Wen, Meng-Xian Lin, and Ting Wang. 2018. "Sustainable Resource Acquisition Path: A Dynamic Model of Embedded Entrepreneurial Network Governance under Uncertainty" Sustainability 10, no. 11: 4061. https://doi.org/10.3390/su10114061
APA StyleChen, F.-W., Lin, M.-X., & Wang, T. (2018). Sustainable Resource Acquisition Path: A Dynamic Model of Embedded Entrepreneurial Network Governance under Uncertainty. Sustainability, 10(11), 4061. https://doi.org/10.3390/su10114061
