The Sustainable Characteristic of Bio-Bi-Phase Flow of Peristaltic Transport of MHD Jeffrey Fluid in the Human Body
Abstract
1. Introduction
2. Modelling
3. Exact Solutions
4. Validation of Results
- the problem under consideration reduces to a hydrodynamic case, if Hartmann number M = 0.
- The results for Newtonian fluid can be recovered if relaxation time .This study leads to a single-phase problem if volume fraction C = 0.
5. Results and Discussion
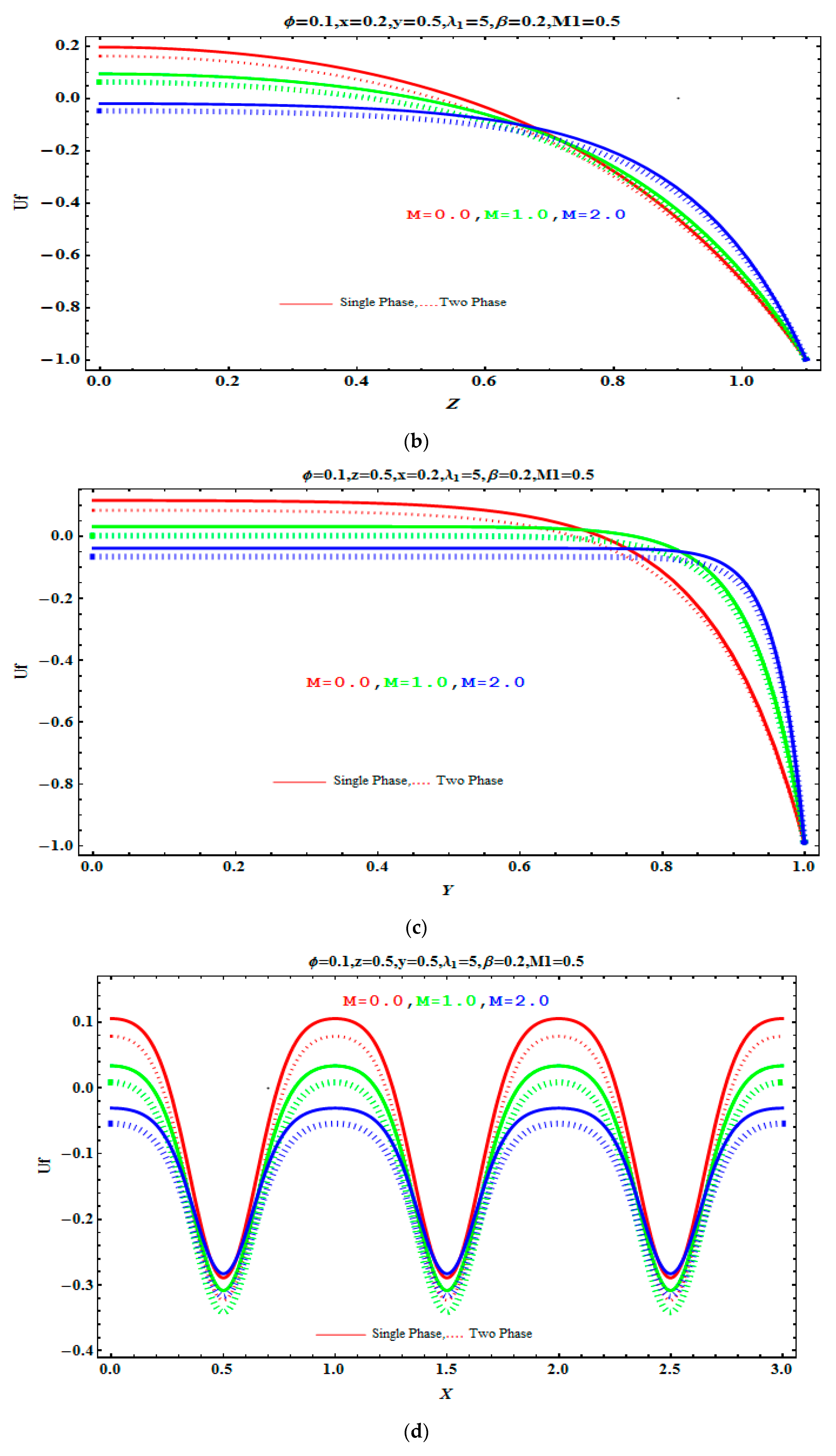
5.1. Velocity Profile
5.2. Pressure Gradient and Pressure Rise
6. Conclusions
- It is found that velocity of the fluid decreases when the Hartmann number, Jeffreys’ parameter, and aspect ratio increased.
- Velocity decreases by increasing the value of volume fraction.
- Negative effects are observed on a pressure gradient due to Jeffrey fluid parameter λ1, Hartmann number M, and concentration fraction C.
- The rise in pressure is observed due to augmentation in aspect ratio.
- A pressure drop is observed for the increasing values of a magnetic field parameter, Jeffrey fluid parameter, and volume fraction.
Author Contributions
Conflicts of Interest
References
- Ishii, M.; Mishima, K. Two-fluid model and hydrodynamic constitutive relations. Nucl. Eng. Des. 1984, 82, 107–126. [Google Scholar]
- Dukowicz, J.K. A particle-fluid numerical model for liquid sprays. J. Comput. Phys. 1980, 35, 229–253. [Google Scholar] [CrossRef]
- Tsuji, Y.; Tanaka, T.; Yonemura, S. Cluster patterns in circulating fluidized beds predicted by numerical simulation (discrete particle model versus two-fluid model). Powder Technol. 1998, 95, 254–264. [Google Scholar] [CrossRef]
- Srivastava, L.M.; Srivastava, V.P. Peristaltic transport of a particle-fluid suspension. J. Biomech. Eng. 1989, 111, 157–165. [Google Scholar] [CrossRef] [PubMed]
- Misra, J.C.; Pandey, S.K. Peristaltic transport of blood in small vessels: Study of a mathematical model. Comput. Math. Appl. 2002, 43, 1183–1193. [Google Scholar] [CrossRef]
- Bhatti, M.M.; Zeeshan, A.; Ellahi, R. Heat transfer analysis on peristaltically induced motion of particle-fluid suspension with variable viscosity: Clot blood model. Comput. Meth. Program Biomed. 2016, 137, 115–124. [Google Scholar] [CrossRef] [PubMed]
- Mekheimer, K.S.; Elmaboud, Y.A. Peristaltic transport of a particle–fluid suspension through a uniform and non-uniform annulus. Appl. Bionics Biomech. 2008, 5, 47–57. [Google Scholar] [CrossRef]
- Krishnamurthy, M.R.; Prasannakumara, B.C.; Gireesha, B.J.; Gorla, R.S.R. Effect of viscous dissipation on hydromagnetic fluid flow and heat transfer of nanofluid over an exponentially stretching sheet with fluid-particle suspension. Cogent Math. 2015, 2, 1050973. [Google Scholar] [CrossRef]
- Chamkha, A.J. Solutions for fluid-particle flow and heat transfer in a porous channel. Int. J. Eng. Sci. 1996, 34, 1423–1439. [Google Scholar] [CrossRef]
- Chu, K.W.; Yu, A.B. Numerical simulation of complex particle–fluid flows. Powder Technol. 2008, 179, 104–114. [Google Scholar] [CrossRef]
- Hussain, F.; Ellahi, R.; Zeeshan, A.; Vafai, K. Modelling study on heated couple stress fluid peristaltically conveying gold nanoparticles through coaxial tubes: A remedy for gland tumors and arthritis. J. Mol. Liq. 2018, 268, 149–155. [Google Scholar] [CrossRef]
- Najafi, Z.; Gautam, P.; Schwartz, B.F.; Chandy, A.J.; Mahajan, A.M. Three-dimensional numerical simulations of peristaltic contractions in obstructed ureter flows. Biomech. Eng. 2016, 138, 101002. [Google Scholar] [CrossRef] [PubMed]
- Bhatti, M.M.; Rashidi, M.M. Study of heat and mass transfer with Joule heating on magnetohydrodynamic (MHD) peristaltic blood flow under the influence of Hall effect. Propuls. Power Res. 2017, 6, 177–185. [Google Scholar] [CrossRef]
- Bhatti, M.M.; Abbas, M.A.; Rashidi, M.M. Combine effects of magnetohydrodynamics (MHD) and partial slip on peristaltic blood flow of Ree–Eyring fluid with wall properties. Eng. Sci. Technol. Int. J. 2016, 19, 1497–1502. [Google Scholar] [CrossRef]
- Vafai, K.; Khan, A.A.; Sajjad, S.; Ellahi, R. The study of peristaltic motion of third grade fluid under the effects of hall current and heat transfer. J. Z. Naturforsc A 2015, 70, 281–293. [Google Scholar] [CrossRef]
- Tripathi, D.; Jhorar, R.; Bég, O.A.; Kadir, A. Electro-magneto-hydrodynamic peristaltic pumping of couple stress biofluids through a complex wavy micro-channel. J. Mol. Liq. 2017, 236, 358–367. [Google Scholar] [CrossRef]
- Fung, Y.C. Biomechanical aspects of growth and tissue engineering. In Biomechanics; Springer: New York, NY, USA, 1990; pp. 499–546. [Google Scholar]
- Kothandapani, M.; Srinivas, S. On the influence of wall properties in the MHD peristaltic transport with heat transfer and porous medium. Phys. Lett. A 2008, 372, 4586–4591. [Google Scholar] [CrossRef]
- Tripathi, D.; Bég, O.A. A study on peristaltic flow of nanofluids: Application in drug delivery systems. Int. J. Heat Mass Transf. 2014, 70, 61–70. [Google Scholar] [CrossRef]
- Shapiro, A.H.; Jaffrin, M.Y.; Weinberg, S.L. Peristaltic pumping with long wavelengths at low Reynolds number. J. Fluid Mech. 1969, 37, 799–825. [Google Scholar] [CrossRef]
- Hsiao, K.L. To promote radiation electrical MHD activation energy thermal extrusion manufacturing system efficiency by using Carreau-nanofluid with parameters control method. Energy 2017, 130, 486–499. [Google Scholar] [CrossRef]
- Hsiao, K.L. Micropolar nanofluid flow with MHD and viscous dissipation effects towards a stretching sheet with multimedia feature. Int. J. Heat Mass Transf. 2017, 112, 983–990. [Google Scholar] [CrossRef]
- Hsiao, K.L. Stagnation electrical MHD nanofluid mixed convection with slip boundary on a stretching sheet. Appl. Therm. Eng. 2016, 98, 850–861. [Google Scholar] [CrossRef]
- Ellahi, R. The effects of MHD and temperature dependent viscosity on the flow of non-Newtonian nanofluid in a pipe: Analytical solutions. Appl. Math. Model. 2013, 37, 1451–1457. [Google Scholar] [CrossRef]
- Ellahi, R.; Zeeshan, A.; Shehzad, N.; Alamri, S.Z. Structural impact of Kerosene-Al2O3 nanoliquid on MHD Poiseuille flow with variable thermal conductivity: Application of cooling process. J. Mol. Liq. 2018, 264, 607–615. [Google Scholar] [CrossRef]
- Ellahi, R.; Alamri, S.Z.; Basit, A.; Majeed, A. Effects of MHD and slip on heat transfer boundary layer flow over a moving plate based on specific entropy generation. J. Taibah Univ. Sci. 2018, 12, 476–482. [Google Scholar] [CrossRef]
- Prakash, J.; Tripathi, D. Electroosmotic flow of Williamson ionic nanoliquids in a tapered microfluidic channel in presence of thermal radiation and peristalsis. J. Mol. Liq. 2018, 256, 352–371. [Google Scholar] [CrossRef]
- Rashidi, S.; Bovand, M.; Esfahani, J.A. Opposition of magnetohydrodynamic and AL2O3–water nanofluid flow around a vertex facing triangular obstacle. J. Mol. Liq. 2016, 215, 276–284. [Google Scholar] [CrossRef]
- Haq, R.U.; Nadeem, S.; Khan, Z.H.; Noor, N.F.M. Convective heat transfer in MHD slip flow over a stretching surface in the presence of carbon nanotubes. Physica B 2015, 457, 40–47. [Google Scholar] [CrossRef]
- Othman, M.I.A.; Marin, M. Effect of thermal loading due to laser pulse on thermoelastic porous medium under G-N theory. Results Phys. 2017, 7, 3863–3872. [Google Scholar] [CrossRef]
- Khan, W.A.; Irfan, M.; Khan, M.; Alshomrani, A.S.; Alghamdi, M.S. Impact of chemical processes on magneto nanoparticle for the generalized Burgers fluid. J. Mol. Liq. 2017, 234, 201–208. [Google Scholar] [CrossRef]
- Haq, R.U.; Khan, Z.H.; Hussain, S.T.; Hammouch, Z. Flow and heat transfer analysis of water and ethylene glycol based Cu nanoparticles between two parallel disks with suction injection effects. J. Mol. Liq. 2016, 221, 298–304. [Google Scholar]
- Akbar, N.S.; Raza, M.; Ellahi, R. Copper oxide nanoparticles analysis with water as base fluid for peristaltic flow in permeable tube with heat transfer. Comput. Meth. Program Biomed. 2016, 130, 22–30. [Google Scholar] [CrossRef] [PubMed]
- Riaz, A.; Nadeem, S.; Ellahi, R. Effects of the wall properties on unsteady peristaltic flow of an Eyring–Powell fluid in a three-dimensional rectangular duct. Int. J. Biomath. 2015, 8, 1550081. [Google Scholar] [CrossRef]
- Ijaz, N.; Zeeshan, A.; Bhatti, M.M. Peristaltic propulsion of particulate non-Newtonian Ree-Eyring fluid in a duct through constant magnetic field. Alex. Eng. J. 2017, 1–6. [Google Scholar] [CrossRef]
- Ellahi, R.; Hussain, F. Simultaneous effects of MHD and partial slip on peristaltic flow of Jeffrey fluid in a rectangular duct. J. Magn. Magn. Mater. 2015, 393, 284–292. [Google Scholar] [CrossRef]













| z | C | M | β | λ1 | Ijaz et al. [35] | Ellahi and Farooq [36] | Present solution |
|---|---|---|---|---|---|---|---|
| 0 | 0 | 0 | 0.2 | 0 | 0.4934 | 0.4788 | 0.478898 |
| 0.5 | 0.3824 | 0.3638 | 0.363826 | ||||
| 0 | 0 | 0 | 0.2 | 5 | - | 0.3145 | 0.31468 |
| 0.5 | - | 0.2727 | 0.272837 | ||||
| 0 | 0 | 0 | 0.4 | 5 | - | 0.2598 | 0.259948 |
| 0.5 | - | 0.2476 | 0.247785 | ||||
| 0 | 0 | 1 | 0.4 | 5 | - | 0.2293 | 0.229664 |
| 0.5 | - | 0.2164 | 0.216551 |
© 2018 by the authors. Licensee MDPI, Basel, Switzerland. This article is an open access article distributed under the terms and conditions of the Creative Commons Attribution (CC BY) license (http://creativecommons.org/licenses/by/4.0/).
Share and Cite
Zeeshan, A.; Ijaz, N.; Abbas, T.; Ellahi, R. The Sustainable Characteristic of Bio-Bi-Phase Flow of Peristaltic Transport of MHD Jeffrey Fluid in the Human Body. Sustainability 2018, 10, 2671. https://doi.org/10.3390/su10082671
Zeeshan A, Ijaz N, Abbas T, Ellahi R. The Sustainable Characteristic of Bio-Bi-Phase Flow of Peristaltic Transport of MHD Jeffrey Fluid in the Human Body. Sustainability. 2018; 10(8):2671. https://doi.org/10.3390/su10082671
Chicago/Turabian StyleZeeshan, Ahmed, Nouman Ijaz, Tehseen Abbas, and Rahmat Ellahi. 2018. "The Sustainable Characteristic of Bio-Bi-Phase Flow of Peristaltic Transport of MHD Jeffrey Fluid in the Human Body" Sustainability 10, no. 8: 2671. https://doi.org/10.3390/su10082671
APA StyleZeeshan, A., Ijaz, N., Abbas, T., & Ellahi, R. (2018). The Sustainable Characteristic of Bio-Bi-Phase Flow of Peristaltic Transport of MHD Jeffrey Fluid in the Human Body. Sustainability, 10(8), 2671. https://doi.org/10.3390/su10082671

