Impacts of Climate and Land Cover on Soil Organic Carbon in the Eastern Qilian Mountains, China
Abstract
1. Introduction
2. Materials and Methods
2.1. Description of the Study Area
2.2. Soil Sampling and Analysis
2.3. Topsoil Concentration Factors (TCFs)
2.4. Statistical Analysis
3. Results
3.1. Statistical Description of SOC
3.2. Vertical Distribution of SOC
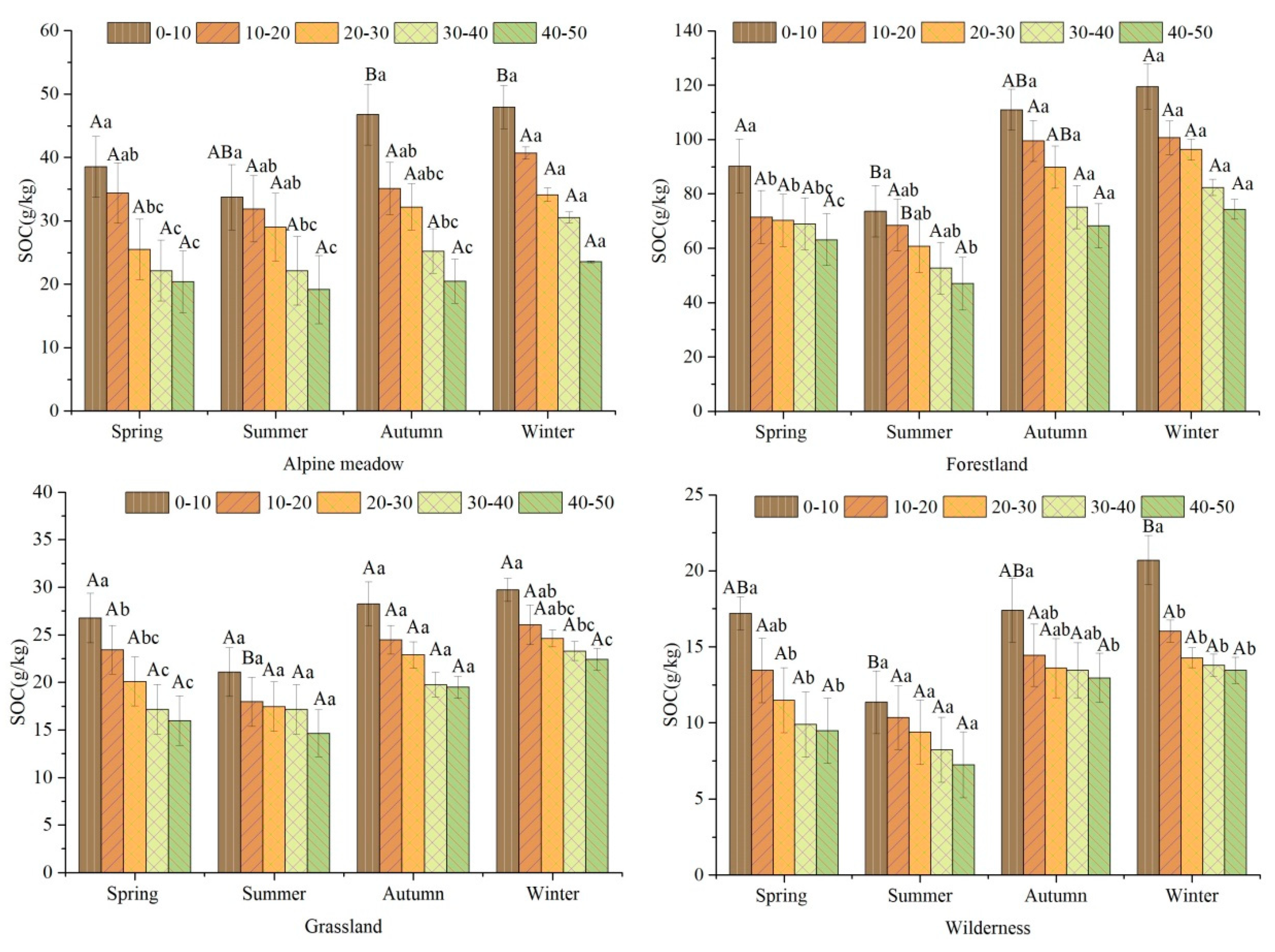
3.3. Seasonal Dynamics of SOC
4. Discussion
4.1. Comparison of SOC with Other Mountainous Regions
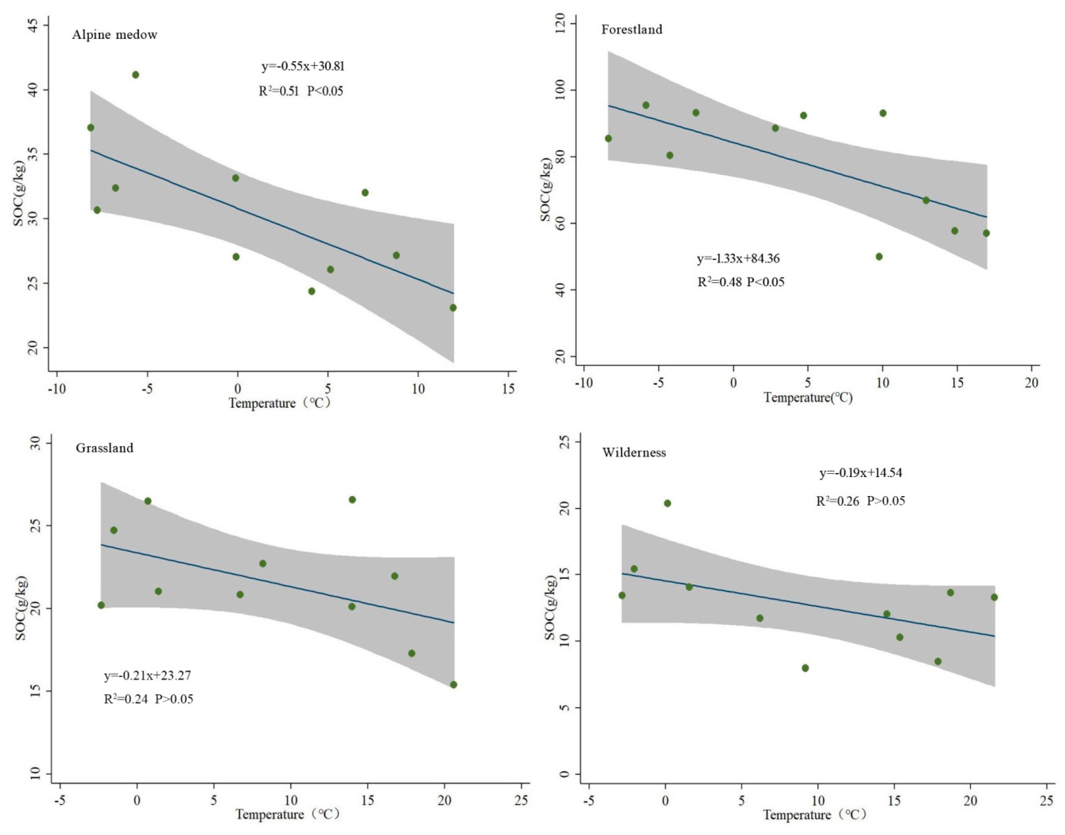
4.2. Impact of Τemperature on SOC
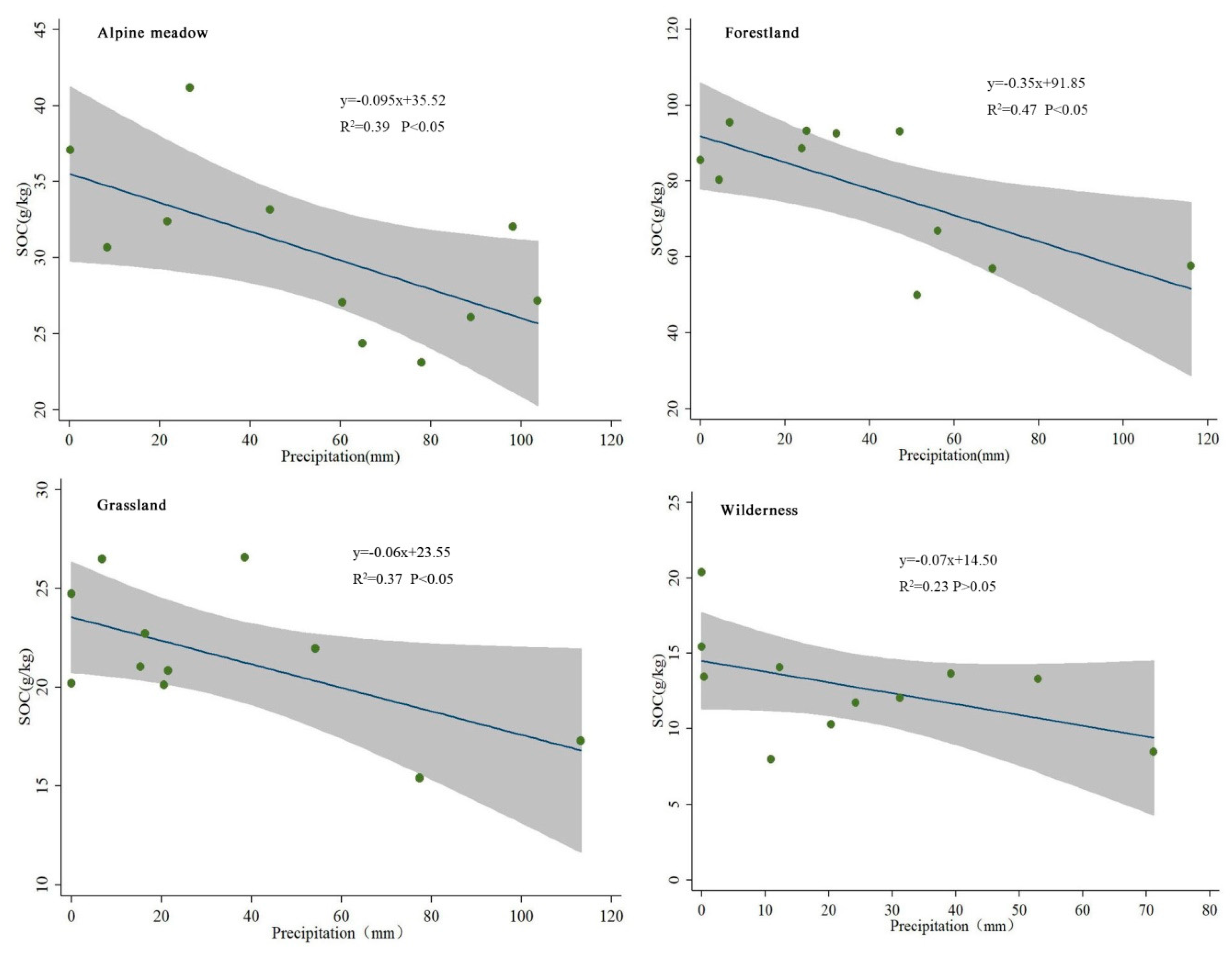
4.3. Impact of Precipitation on SOC
4.4. Impact of Vegetation on SOC
4.5. Comprehensive Impact of Various Factors on SOC
5. Conclusions
Author Contributions
Funding
Conflicts of Interest
References
- Liu, Y.; Wen, X.; Zhang, Y.; Tian, J.; Gao, Y.; Ostle, N.J.; Niu, S.; Chen, S.; Sun, X.; He, N. Widespread asymmetric response of soil heterotrophic respiration to warming and cooling. Sci. Total. Environ. 2018, 635, 423–431. [Google Scholar] [CrossRef] [PubMed]
- Nishina, K.; Ito, A.; Beerling, D.J.; Cadule, P.; Ciais, P.; Clark, D.B.; Falloon, P.; Friend, A.D.; Kahana, R.; Kato, E.; et al. Quantifying uncertainties in soil carbon responses to changes in global mean temperature and precipitation. Earth Syst. Dyn. 2014, 5, 197–209. [Google Scholar] [CrossRef]
- Dai, W.; Zhao, K.; Fu, W.; Jiang, P.; Li, Y.; Zhang, C.; Gielen, G.; Gong, X.; Li, Y.; Wang, H.; et al. Spatial variation of organic carbon density in topsoils of a typical subtropical forest, southeastern China. Catena 2018, 167, 181–189. [Google Scholar] [CrossRef]
- Liu, S.L.; Du, Y.G.; Zhang, F.W.; Li, Y.K.; Cao, G.M.; Li, Q.; Lin, L.; Guo, X.W. Distribution of soil carbon in different grassland types of the Qinghai-Tibetan Plateau. J. Mt. Sci. 2016, 13, 1806–1817. [Google Scholar] [CrossRef]
- O’Rourke, S.M.; Angers, D.A.; Holden, N.M.; McBratney, A.B. Soil organic carbon across scales. Glob. Chang. Boil. 2015, 21, 3561–3574. [Google Scholar] [CrossRef]
- Qian, J.; Zhang, L.P.; Wang, W.Y.; Liu, Q. Organic carbon losses by eroded sediments from sloping vegetable fields in South China. J. Mt. Sci. 2017, 14, 539–548. [Google Scholar] [CrossRef]
- Andrews, S.S.; Karlen, D.L.; Cambardella, C.A. The soil management assessment framework: A quantitative soil quality evaluation method. Soil Sci. Soc. Am. J. 2004, 68, 1945–1962. [Google Scholar] [CrossRef]
- Fantappiè, M.; L’Abate, G.; Costantini, E. The influence of climate change on the soil organic carbon content in Italy from 1961 to 2008. Geomorphology 2011, 135, 343–352. [Google Scholar] [CrossRef]
- Hu, Y.J.; Kong, X.B.; Yao, J.T. Vertical distribution characteristics of soil organic carbon in Beijing plain area. Acta Ecol. Sin. 2019, 39, 561–570. [Google Scholar] [CrossRef]
- Bohn, H.L. Estimate of Organic Carbon in World Soils1. Soil Sci. Soc. Am. J. 1976, 40, 468. [Google Scholar] [CrossRef]
- Bolin, B.; Degens, E.T.; Kempe, S.; Ketner, P. The global carbon cycles. Carbon Dioxide Clim. Soc. 1979, 241, 35–38. [Google Scholar] [CrossRef]
- Arrouays, D.; Deslais, W.; Badeau, V. The carbon content of topsoil and its geographical distribution in France. Soil Use Manag. 2010, 17, 7–11. [Google Scholar] [CrossRef]
- Krogh, L.; Noergaard, A.; Hermansen, M.; Greve, M.H.; Balstroem, T.; Breuning-Madsen, H. Preliminary estimates of contemporary soil organic carbon stocks in Denmark using multiple datasets and four scaling-up methods. Agric. Ecosyst. Environ. 2003, 96, 19–28. [Google Scholar] [CrossRef]
- Wang, S.; Huang, M.; Shao, X.; Mickler, R.A.; Li, K.; Ji, J. Vertical Distribution of Soil Organic Carbon in China. Environ. Manag. 2004, 33, 200–209. [Google Scholar] [CrossRef]
- Post, W.M.; Emanuel, W.R.; Zinke, P.J.; Stangenberger, A.G. Soil carbon pools and world life zones. Nature 1982, 298, 156–159. [Google Scholar] [CrossRef]
- Wang, S.Q.; Zhou, C.H.; Li, K.R.; Zhu, S.L.; Huang, F.H. Analysis of soil organic carbon storage and spatial distribution characteristics in China. Acta Geogr. Sin. 2000, 67, 533–544. [Google Scholar] [CrossRef]
- Ghosh, S.; Scharenbroch, B.C.; Ow, L.F. Soil organic carbon distribution in roadside soils of Singapore. Chemosphere 2016, 165, 163–172. [Google Scholar] [CrossRef]
- Chmura, G.L. What do we need to assess the sustainability of the tidal salt marsh carbon sink? Ocean Coast. Manag. 2013, 83, 25–31. [Google Scholar] [CrossRef]
- Wang, Y.F.; Chen, Z.Z.; Tieszen, L.T. Distribution of soil organic carbon in the major grasslands of Xilinguole, Inner Mongolia, China. Acta Phytoecol. Sin 1998, 22, 545–551. [Google Scholar]
- Bai, J.H.; Zhang, G.L.; Zhao, Q.Q.; Lu, Q.Q.; Jia, J.; Cui, B.S.; Liu, X.H. Depth-distribution patterns and control of soil organic carbon in coastal salt marshes with different plant covers. Nature 2016, 6, 34835. [Google Scholar] [CrossRef]
- Angers, D.A.; Eriksen-Hamel, N.S. Full-Inversion Tillage and Organic Carbon Distribution in Soil Profiles: A Meta-Analysis. Soil Sci. Soc. Am. J. 2008, 72, 1370. [Google Scholar] [CrossRef]
- Trumbore, S. Carbon respired by terrestrial ecosystems—Recent progress and challenges. Glob. Chang. Biol. 2010, 12, 141–153. [Google Scholar] [CrossRef]
- Yigini, Y.; Panagos, P. Assessment of soil organic carbon stocks under future climate and land cover changes in Europe. Sci. Total Environ. 2016, 557–558, 838–850. [Google Scholar] [CrossRef] [PubMed]
- Li, M.; Han, X.Z.; Du, S.L.; Li, L.J. Profile stock of soil organic carbon and distribution in croplands of Northeast China. Catena 2019, 174, 285–292. [Google Scholar] [CrossRef]
- Yang, R.M.; Zhang, G.L.; Yang, F.; Zhi, J.J.; Yang, F.; Liu, F.; Zhao, Y.G.; Li, D.C. Precise estimation of soil organic carbon stocks in the northeast Tibetan Plateau. Sci. Rep. 2016, 6, 21842. [Google Scholar] [CrossRef] [PubMed]
- Zhu, M.; Feng, Q.; Qin, Y.Y.; Cao, J.J.; Zhang, M.X.; Liu, W.; Deo, R.C.; Zhang, C.Q.; Li, R.L.; Li, B.F. The role of topography in shaping the spatial patterns of soil organic carbon. Catena 2019, 176, 296–305. [Google Scholar] [CrossRef]
- Song, X.D.; Brus, D.J.; Liu, F.; Li, D.C.; Zhao, Y.G.; Yang, J.L.; Zhang, G.L. Mapping soil organic carbon content by geographically weighted regression: A case study in the Heihe River Basin, China. Geoderma 2016, 261, 11–22. [Google Scholar] [CrossRef]
- Yang, R.; Su, Y.Z.; Wang, M.; Wang, T.; Yang, X.; Fan, G.P.; Wu, T.C. Spatial pattern of soil organic carbon in desert grasslands of the diluvial-alluvial plains of northern Qilian Mountains. J. Arid Land 2014, 6, 136–144. [Google Scholar] [CrossRef]
- He, Z.B.; Zhao, W.Z.; Liu, H.; Su, Y.Z. Characteristics and influencing factors of topsoil organic carbon in Qinghai spruce forest in Qilian Mountains. Acta Ecol. Sin. 2006, 26, 2572–2577. [Google Scholar] [CrossRef]
- Wang, X.L. Study on mountain climate of Xiying River Basin in the eastern Qilian Mountains. Ph.D. Thesis, Lanzhou University, Lanzhou, China, 2008. [Google Scholar]
- Nielsen, D.R.; Bouma, J. Soil spatial variability: Proceedings of a workshop of the ISSS and the SSSA, Las Vegas, USA, 30 November–1 December 1984. Geoderma 1985, 39, 158–159. [Google Scholar] [CrossRef]
- Ma, W.Y.; Zhao, C.Y.; Wang, C.; Wang, Y. Spatial heterogeneity of soil organic carbon and its influencing factors in Tianlaochi watershed in Qilian Mountains. Soil 2014, 46, 426–432. [Google Scholar]
- Wang, L.H.; Gao, J.; Xu, B.; Xue, J.Y. Effect of increasing precipitation on soil organic carbon mineralization in yunnan pine plantation in arid valley of Sichuan Province. Chin. J. Soil Sci. 2018, 49, 105–111. [Google Scholar] [CrossRef]
- Brus, D.; Yang, R.M.; Zhang, G.L. Three-dimensional geostatistical modeling of soil organic carbon: A case study in the Qilian Mountains, China. Catena 2016, 141, 46–55. [Google Scholar] [CrossRef]
- Bojko, O.; Kabala, C. Organic carbon pools in mountain soils—Sources of variability and predicted changes in relation to climate and land use changes. Catena 2017, 149, 209–220. [Google Scholar] [CrossRef]
- Zhang, Z.M.; Zhou, Y.C.; Li, H.; Huang, X.F. Distribution characteristics and influencing factors of soil organic carbon in karst watershed. Earth Environ. 2017, 45, 38–45. [Google Scholar] [CrossRef]
- Tsozué, D.; Nghonda, J.P.; Tematio, P.; Basga, S.D. Changes in soil properties and soil organic carbon stocks along an elevation gradient at Mount Bambouto, Central Africa. Catena 2019, 175, 251–262. [Google Scholar] [CrossRef]
- Xu, H.J. Spatial distribution of soil organic carbon in the north slope of Tianshan Mountains. Ph.D. Thesis, China University of Mining and Technology, Beijing, China, 2010. [Google Scholar]
- Dintwe, K.; Okin, G.S. Soil organic carbon in savannas decreases with anthropogenic climate change. Geoderma 2018, 309, 7–16. [Google Scholar] [CrossRef]
- Liu, W.; Cheng, J.M.; Gao, Y.; Cheng, J.; Liang, W.P. The distribution of soil organic carbon and its influencing factors in Loess Plateau grassland. Acta Pedol. Sin. 2012, 49, 68–76. [Google Scholar]
- Streit, K.; Hagedorn, F.; Hiltbrunner, D.; Portmann, M.; Saurer, M.; Buchmann, N.; Wild, B.; Richter, A.; Wipf, S.; Siegwolf, R.T.W. Soil warming alters microbial substrate use in alpine soils. Glob. Chang. Boil. 2014, 20, 1327–1338. [Google Scholar] [CrossRef]
- Royles, J.; Amesbury, M.J.; Convey, P.; Griffiths, H.; Hodgson, D.A.; Leng, M.J.; Charman, D.J. Plants and soil microbes respond to recent warming on the Antarctic Peninsula. Curr. Biol. 2013, 23, 1702–1706. [Google Scholar] [CrossRef]
- Conant, R.T.; Ryan, M.G.; Gren, G.I.; Birge, H.E.; Davidson, E.A.; Eliasson, P.E.; Evans, S.E.; Frey, S.D.; Giardina, C.P.; Hopkins, F.M.; et al. Temperature and soil organic matter decomposition rates – synthesis of current knowledge and a way forward. Glob. Chang. Biol. 2011, 17, 3392–3404. [Google Scholar] [CrossRef]
- Ben, B.L.; Vanessa, L.B.; Min, C.; Christopher, M.G.; Rodrigo, V. Globally rising soil heterotrophic respiration over recent decades. Nature 2018, 560, 80–83. [Google Scholar] [CrossRef]
- Zhang, L.M.; Zheng, Q.F.; Liu, Y.L.; Liu, S.G.; Yu, D.S.; Shi, X.Z.; Xing, S.H.; Chen, H.Y.; Fan, X.Y. Combined effects of temperature and precipitation on soil organic carbon changes in the uplands of eastern China. Geoderma 2019, 337, 1105–1115. [Google Scholar] [CrossRef]
- Berthrong, S.T.; Piñeiro, G.; Jobbágy, E.G.; Jackson, R.B. Soil C and N changes with afforestation of grasslands across gradients of precipitation and plantation age. Ecol. Appl. 2012, 22, 76–86. [Google Scholar] [CrossRef] [PubMed]
- Fan, Z.P.; Wang, Q.; Li, F.Y. Seasonal dynamics and driving factors of soil organic carbon in different forest types in mountainous areas of eastern Liaoning Province. J. Ecol. 2018, 37, 3220–3230. [Google Scholar] [CrossRef]
- Wagner, B.; Liang, E.; Li, X.; Dulamsuren, C.; Leuschner, C.; Hauck, M. Carbon pools of semi-arid Picea crassifolia forests in the Qilian Mountains (north-eastern Tibetan Plateau). For. Ecol. Manag. 2015, 343, 136–143. [Google Scholar] [CrossRef]
- Jobbágy, E.G.; Jackson, R.B. The distribution of soil nutrients with depth: Global patterns and the imprint of plants. Biogeochemistry 2001, 53, 51–77. [Google Scholar] [CrossRef]
- Hobley, E.; Wilson, B.; Wilkie, A.; Gray, J.; Koen, T. Drivers of soil organic carbon storage and vertical distribution in Eastern Australia. Plant Soil 2015, 390, 111–127. [Google Scholar] [CrossRef]
- Li, L.; Qin, F.C.; Jiang, L.N.; Yao, X.L. Vertical distribution of soil organic carbon content and its influencing factors in Chifeng, Aohan banner. Acta Ecol. Sin. 2019, 39, 345–354. [Google Scholar] [CrossRef]
- Long, Y.; Meng, F.D.; Wang, C.S.; Bai, L.; Zhong, Y.; Wang, S.P. Effects of biomass distribution and degradation on root/crown ratio and root surface area in alpine meadow. Guangxi Plants 2015, 35, 532–538. [Google Scholar] [CrossRef]
- Yue, G.Y.; Zhao, L.; Wang, Z.W.; Zou, D.F.; Zhang, L.L.; Qiao, Y.P.; Zhao, Y.H.; Niu, L. Relationship between root distribution and temperature variation of active layer in alpine meadow in permafrost region. J. Glaciol. Geocryol. 2015, 37, 1381–1387. [Google Scholar] [CrossRef]
- Jobbágy, E.G.; Jackson, R.B. The vertical distribution of soil organic carbon and its relationship to climate and vegetation. Ecol. Appl. 2000, 10, 423–436. [Google Scholar] [CrossRef]
- Austin, T. Differential Effects of Precipitation on Production and Decomposition along a Rainfall Gradient in Hawaii. Ecology 2002, 83, 328–338. [Google Scholar] [CrossRef]
- Huang, D.Q.; Yu, L.; Zhang, Y.S.; Zhao, X.Q. Relationship between root—Crown ratio of natural grassland and climate factors on north slope of Qilian Mountains. Arid Land Res. 2011, 28, 1025–1030. [Google Scholar] [CrossRef]
- Ma, J.; Xie, F.F.; Zhao, W.J. Study on changes of height and biomass of Qinghai spruce trees with different elevation gradients in Qilian Mountains. Shelter. Technol. 2015, 1, 4–6. [Google Scholar] [CrossRef]
- Jia, W.X.; Chen, J.H.; Zhang, Y.S.; Cao, W.X. Relationship between plant community characteristics and soil hydrothermal factors on the north slope of Qilian mountains. Acta Ecol. Sin. 2016, 35, 661–667. [Google Scholar] [CrossRef]
- Wang, J.Y.; Chang, X.X.; Ge, S.L.; Miao, Y.X.; Chang, Z.Q.; Zhang, H. The hydrothermal condition of Qilian Mountain (North Slope) is vertically distributed with vegetation. J. Northwest For. Univ. 2001, 16, 1–3. [Google Scholar] [CrossRef]







| Items | BDZ | HLZ | HJX | XYWG |
|---|---|---|---|---|
| Lon-E(degree) | 101.85 | 101.89 | 102.01 | 102.18 |
| Lat-N(degree) | 37.55 | 37.70 | 37.82 | 37.89 |
| Alt(m) | 3590 | 2721 | 2390 | 2097 |
| Samples | 55 | 55 | 55 | 55 |
| MAT(°C) | −0.19 | 3.34 | 6.6 | 7.86 |
| AP(mm) | 595.1 | 431.9 | 363.5 | 262.5 |
| Depth | Mean ± SE (g/kg) | Min (g/kg) | Max (g/kg) | Skewness | Kurtosis | CV (%) |
|---|---|---|---|---|---|---|
| 0–10 cm | 45.12 ± 5.08 | 9.81 | 127.00 | 1.18 | 0.15 | 48.84 |
| 10–20 cm | 38.65 ± 4.45 | 7.35 | 102.00 | 1.19 | 0.09 | 56.42 |
| 20–30 cm | 34.80 ± 4.16 | 5.20 | 96.50 | 1.29 | 0.51 | 62.39 |
| 30–40 cm | 31.66 ± 3.80 | 4.43 | 93.80 | 1.24 | 0.16 | 68.35 |
| 40–50 cm | 28.48 ± 3.24 | 3.94 | 77 | 1.22 | 0.11 | 75.84 |
| 0–50 cm | 35.74 ± 4.15 | 3.94 | 127 | 1.22 | 0.2 | 62.37 |
| df | F | Sig. | |
|---|---|---|---|
| Land cover type | 3 | 203.245 | 0.000 |
| Soil layer | 4 | 70.719 | 0.000 |
| Season | 3 | 5.178 | 0.006 |
| Land cover type × Soil layer | 12 | 11.217 | 0.000 |
| Land cover type × Season | 9 | 3.488 | 0.005 |
| Soil layer × Season | 12 | 2.494 | 0.032 |
| Land cover type × Soil layer × Season | 36 | 1.217 | 0.218 |
| Residuals | 28 |
| Soil Depth | Alpine Meadow | Forestland | Grassland | Wilderness |
|---|---|---|---|---|
| 0–10 cm | 14.22 ± 1.59 | 45.86 ± 8.77 | 8.63 ± 1.32 | 9.33 ± 0.86 |
| 10–20 cm | 8.80 ± 1.35 | 32.13 ± 5.31 | 8.10 ± 1.48 | 5.68 ± 0.85 |
| 20–30 cm | 5.13 ± 1.71 | 35.56 ± 5.79 | 7.16 ± 1.10 | 4.88 ± 0.13 |
| 30–40 cm | 8.42 ± 1.89 | 29.70 ± 4.55 | 6.15 ± 1.41 | 5.56 ± 0.67 |
| 40–50 cm | 4.38 ± 0.3 | 27.33 ± 3.55 | 7.77 ± 1.26 | 6.20 ± 0.33 |
| Region | SOC Content Range (g/kg) | Mean (g/kg) | Reference |
|---|---|---|---|
| Central Africa (Mount Bambouto) | 8.02–154.11 | 56.23 | [37] |
| SW Poland (Karkonosze Mountain) | 1.70–190.00 | 33.43 | [35] |
| Guizhou (Karst mountains area) | 0.23–128.74 | 15.72 | [36] |
| Xinjiang (Milddle Tianshan) | 3.13–280.37 | 48.28 | [38] |
| Gansu (Middle Qilian mountain) | 1.10–190.00 | 36.00 | [34] |
| Land Cover Types | Dominant Species | Biomass | Data Source |
|---|---|---|---|
| Alpine meadow | Kobresia humilis Serg.、Elymus nutans Griseb. | 78.10 ± 17.80 | [56] |
| Forestland | Picea crassifolia Kom. | 125.0 0± 3.00 | [57] |
| Grassland | Stipa krylovii Roshev.、Agropyron cristatum (L.) Gaertn. | 48.30 ± 6.20 | [58] |
| Wilderness | Stipa breviflora Griseb. | 11.00 ± 8.00 | [56] |
© 2019 by the authors. Licensee MDPI, Basel, Switzerland. This article is an open access article distributed under the terms and conditions of the Creative Commons Attribution (CC BY) license (http://creativecommons.org/licenses/by/4.0/).
Share and Cite
Zhou, J.; Xue, D.; Lei, L.; Wang, L.; Zhong, G.; Liu, C.; Xiang, J.; Huang, M.; Feng, W.; Li, Q.; et al. Impacts of Climate and Land Cover on Soil Organic Carbon in the Eastern Qilian Mountains, China. Sustainability 2019, 11, 5790. https://doi.org/10.3390/su11205790
Zhou J, Xue D, Lei L, Wang L, Zhong G, Liu C, Xiang J, Huang M, Feng W, Li Q, et al. Impacts of Climate and Land Cover on Soil Organic Carbon in the Eastern Qilian Mountains, China. Sustainability. 2019; 11(20):5790. https://doi.org/10.3390/su11205790
Chicago/Turabian StyleZhou, Junju, Dongxiang Xue, Li Lei, Lanying Wang, Guoshuang Zhong, Chunfang Liu, Juan Xiang, Meihua Huang, Wei Feng, Qiaoqiao Li, and et al. 2019. "Impacts of Climate and Land Cover on Soil Organic Carbon in the Eastern Qilian Mountains, China" Sustainability 11, no. 20: 5790. https://doi.org/10.3390/su11205790
APA StyleZhou, J., Xue, D., Lei, L., Wang, L., Zhong, G., Liu, C., Xiang, J., Huang, M., Feng, W., Li, Q., Zhao, Y., & Zhu, G. (2019). Impacts of Climate and Land Cover on Soil Organic Carbon in the Eastern Qilian Mountains, China. Sustainability, 11(20), 5790. https://doi.org/10.3390/su11205790

