The Effect of Emission Inventory on Modelling of Seasonal Exposure Metrics of Particulate Matter and Ozone with the WRF-Chem Model for Poland
Abstract
1. Introduction
2. Materials and Methods
2.1. WRF-Chem Model Configuration
2.2. Model Runs and Emission Inventories Used
- EMEP run—for both domains (d01 and d02) we applied anthropogenic emission of NO2, NH3, SO2, primary PM2.5, primary PM10, CO and NMVOC from the EMEP WebDab database (https://www.ceip.at/webdab_emepdatabase/) available at 0.1° × 0.1° spatial resolution.
- CIEP run—for d01 (and d02 outside of Poland) we used the same emission as for the EMEP run. For Poland, SNAP sector 2 (non-industrial combustion) and SNAP sector 7 (road transport) were replaced by emission provided by the Chief Inspectorate for Environmental Protection available at 1 km × 1 km.
- What is the impact of the emission inventory on modelled PM2.5, PM10 and O3 exposure-related indices?
- What is the impact of SNAP sectors 2 (residential combustion) and 7 (road traffic) on PM2.5, PM10 and O3 exposure-related indices?
2.3. Model Evaluation
- Twenty-four-hour mean concentrations of PM2.5 and PM10;
- Twenty-four-hour maximum value of 8-h rolling mean O3 concentrations.
- Value of 25 μg m−3 for PM2.5 24-h mean;
- Value of 50 μg m−3 for PM10 24-h mean;
- Value of 100 μg m−3 for O3 8-h rolling mean.
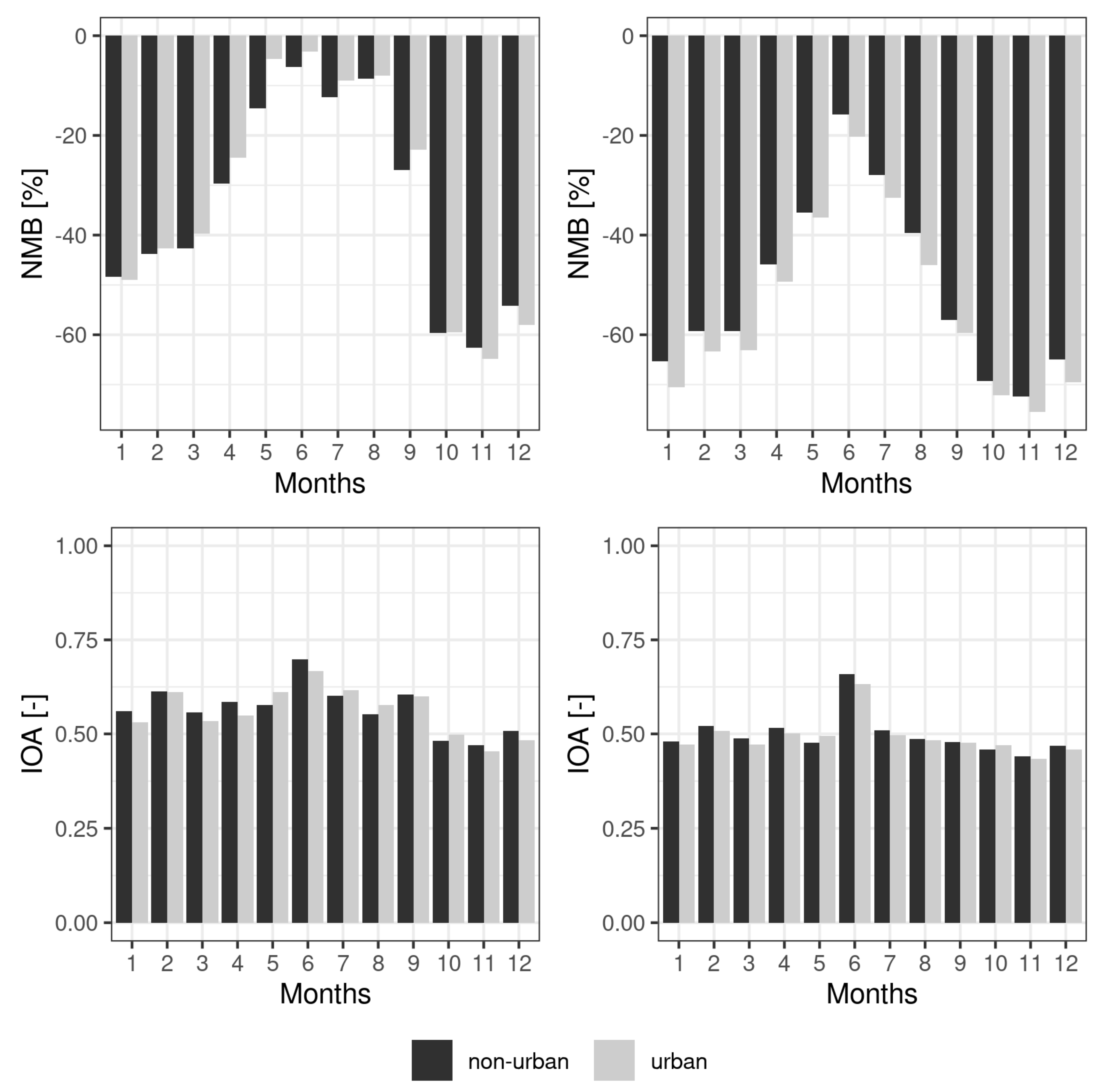
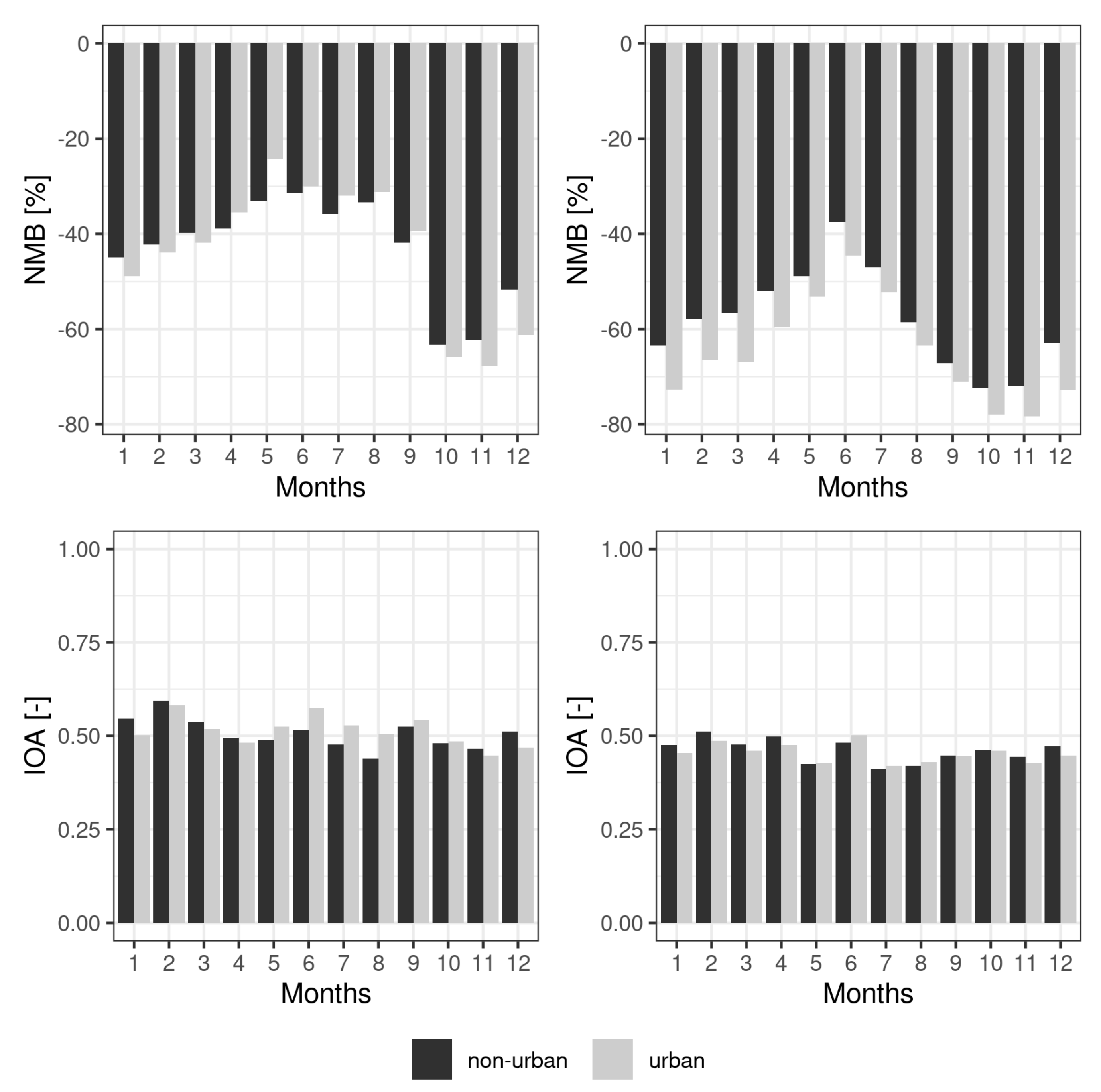
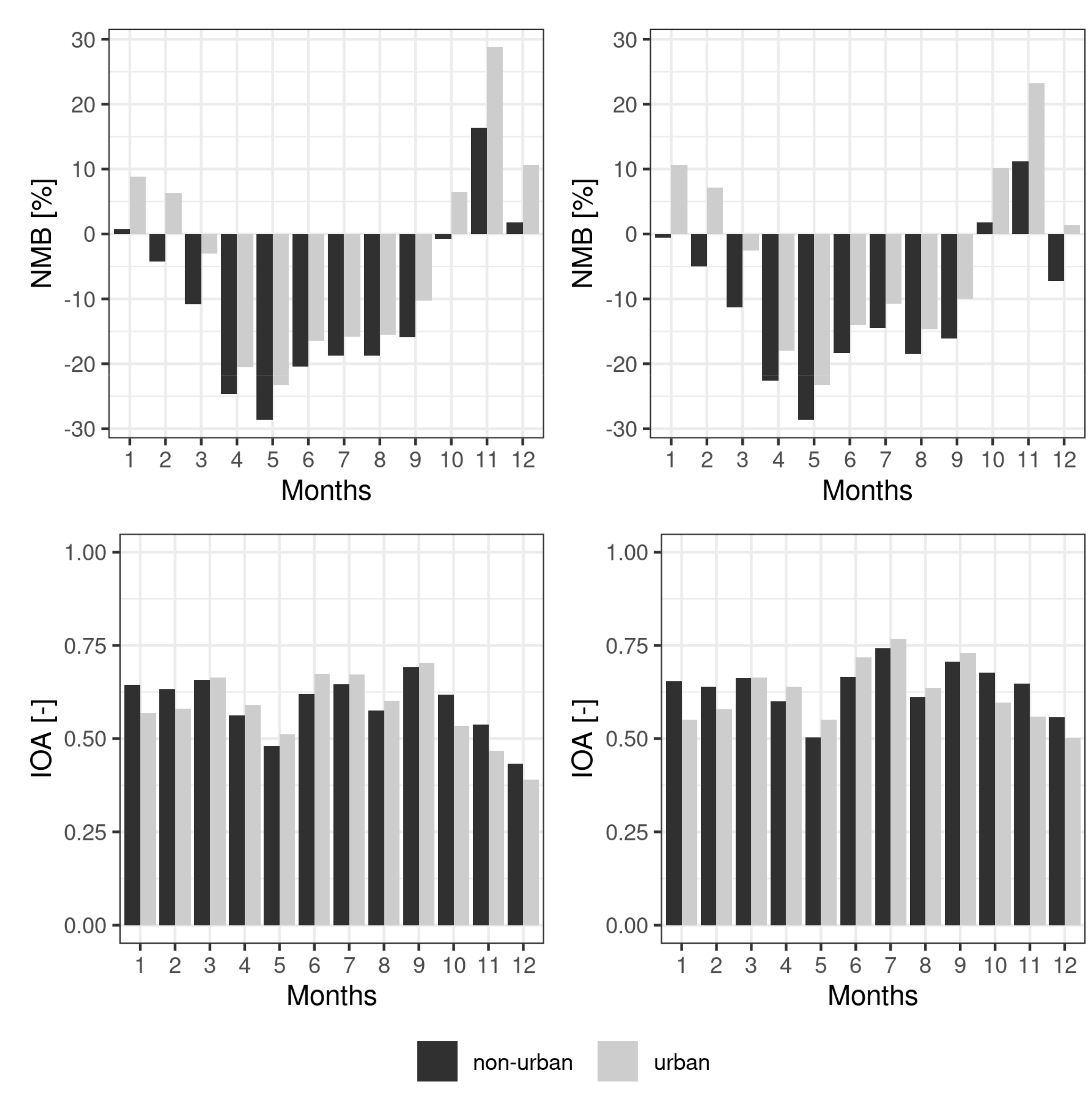
3. Results
4. Discussion
- Residential combustion and transport are important sources of PM2.5 and PM10 and significantly contribute to the number of days with WHO threshold values exceeded. Significant effort should be made to reduce emission from these two sectors, as well as to improve the emission inventories for these two sectors. This is in agreement with recent measurement-based studies [43], where the authors show, using the positive matrix factorization approach, that the residential combustion and traffic exhaust are the most prevalent contributing sources to PM2.5 concentrations.
- Coarse PM emissions might be still too low. There might be some other, missing sources not included or underestimated in the emission inventories. The authors in [24,25] suggest that it could be related to, e.g., missing dust emission. This could be also linked to, e.g., underestimated non-exhaust emission [43,44].
5. Conclusions
- Application of national emission inventory, with high spatial resolution and significantly higher total emission of primary aerosols, significantly improves the model performance in terms of bias, IOA and number of days with WHO threshold values exceeded.
- Application of national emission inventory does not improve the model performance for secondary pollutants like tropospheric ozone. Number of days with exceedance of the WHO limit value is underestimated for both model runs.
- Number of days which exceeded PM10 24-h mean value threshold of 50 μg m−3 calculated with the WRF-Chem model is underestimated both for EMEP and, to less extent, CIEP inventories. This suggest some missing mass of emitted coarse particles or missing emission sources.
- Application of the RACM-VBS chemical and aerosols mechanisms improved the WRF-Chem model performance for summer, if compared to the previously published results.
Author Contributions
Funding
Acknowledgments
Conflicts of Interest
References
- WHO. Review of evidence on health aspects of air pollution - REVIHAAP Project; Europe. 2013. Available online: https://www.euro.who.int/__data/assets/pdf_file/0004/193108/REVIHAAP-Final-technical-report.pdf (accessed on 3 July 2020).
- WHO Regional Office for Europe. Health risks of air pollution in Europe – HRAPIE project; Denmark. 2013. Available online: https://www.euro.who.int/__data/assets/pdf_file/0006/238956/Health_risks_air_pollution_HRAPIE_project.pdf?ua=238951 (accessed on 3 July 2020).
- Lapko, A.; Panasiuk, A.; Strulak-Wójcikiewicz, R.; Landowski, M. The state of air pollution as a factor determining the assessment of a city’s tourist attractiveness-based on the opinions of polish respondents. Sustainability 2020, 12, 1466. [Google Scholar] [CrossRef]
- Lelieveld, J.; Klingmüller, K.; Pozzer, A.; Pöschl, U.; Fnais, M.; Daiber, A.; Münzel, T. Cardiovascular disease burden from ambient air pollution in Europe reassessed using novel hazard ratio functions. Eur. Heart J. 2019, 40, 1590–1596. [Google Scholar] [CrossRef] [PubMed]
- Rogula-Kozłowska, W.; Majewski, G.; Widziewicz, K.; Rogula-Kopiec, P.; Tytła, M.; Mathews, B.; Ciuka-Witrylak, M. Seasonal variations of PM1-bound water concentration in urban areas in Poland. Atmos. Pollut. Res. 2018, 10, 267–273. [Google Scholar] [CrossRef]
- Lewandowska, A.U.; Falkowska, L.M. High concentration episodes of PM10 in the air over the urbanized coastal zone of the Baltic Sea (Gdynia - Poland). Atmos. Res. 2013, 120–121, 55–67. [Google Scholar] [CrossRef]
- Górka, M.; Lewicka-Szczebak, D. One-year spatial and temporal monitoring of concentration and carbon isotopic composition of atmospheric CO2 in a Wroclaw (SW Poland) city area. Appl. Geochem. 2013, 35, 7–13. [Google Scholar] [CrossRef]
- Reizer, M.; Juda-Rezler, K. Explaining the high PM10 concentrations observed in Polish urban areas. Air Quality. Atmosphere Healh. 2016, 9, 517–531. [Google Scholar] [CrossRef]
- Bebkiewicz, K.; Chłopek, Z.; Doberska, A.; Kanafa, M.; Kargulewicz, I.; Olecka, A.; Rutkowski, J.; Skośkiewicz, J.; Waśniewska, S.; Zasina, D.; et al. Pjoland ’ s Informative Inventory Report 2020; 2020; Warsaw, Poland. Available online: www.ciep.at (accessed on 3 July 2020).
- Czernecki, B.; Półrolniczak, M.; Kolendowicz, L.; Marosz, M.; Kendzierski, S.; Pilguj, N. Influence of the atmospheric conditions on PM10 concentrations in Poznań, Poland. J. Atmos. Chem. 2017, 74, 115–139. [Google Scholar] [CrossRef]
- Grewling, Ł.; Frątczak, A.; Kostecki, Ł.; Nowak, M.; Szymańska, A.; Bogawski, P. Biological and chemical air pollutants in an urban area of central europe: Co-exposure assessment. Aerosol Air Qual. Res. 2019, 19, 1526–1537. [Google Scholar] [CrossRef]
- Rogula-Kozłowska, W.; Kozielska, B.; Klejnowski, K.; Szopa, S. Hazardous compounds in urban PM in the central part of upper Silesia (Poland) in winter. Arch. Environ. Prot. 2013, 39, 53–65. [Google Scholar] [CrossRef]
- Sówka, I.; Kobus, D.; Skotak, K.; Zathey, M.; Merenda, B.; Paciorek, M. Assessment of the health risk related to air pollution in selected polish health resorts. J. Ecol. Eng. 2019, 20, 132–145. [Google Scholar] [CrossRef]
- Krynicka, J.; Drzeniecka-Osiadacz, A. Analysis of Variability in PM 10 Concentration in the Wrocław Agglomeration. Polish J. Environ. Stud. 2013, 22, 1091–1099. [Google Scholar]
- World Bank. Air Quality Management - Poland; World Bank Group: Washington, DC, USA, 2019; Available online: http://documents.worldbank.org/curated/en/574171554178748054/Air-Quality-Management-in-Poland (accessed on 3 July 2020).
- EMEP/CEIP. Emissions as used in EMEP models. Available online: https://www.ceip.at/ms/ceip_home1/ceip_home/webdab_emepdatabase/index.html (accessed on 3 July 2020).
- Andersen, H.R.; Spix, C.; Medina, S.; Schouten, J.P.; Castellsague, J.; Rossi, G.; Zmirou, D.; Touloumi, G.; Wojtyniak, B.; Ponka, A.; et al. Air pollution and daily admissions for chronic obstructive pulmonary disease in 6 European cities: Results from the APHEA project. Eur. Respir. J. 1997, 10, 1064–1071. [Google Scholar] [CrossRef] [PubMed]
- Filleul, L.; Cassadou, S.; Médina, S.; Fabres, P.; Lefranc, A.; Eilstein, D.; Le Tertre, A.; Pascal, L.; Chardon, B.; Blanchard, M.; et al. The relation between temperature, ozone, and mortality in nine French cities during the heat wave of 2003. Environ. Health Perspect. 2006, 114, 1344–1347. [Google Scholar] [CrossRef]
- Porter, W.C.; Heald, C.L. The mechanisms and meteorological drivers of the summertime ozoneerature relationship. Atmos. Chem. Phys. 2019, 19, 13367–13381. [Google Scholar] [CrossRef]
- Wałaszek, K.; Kryza, M.; Werner, M. The role of precursor emissions on ground level ozone concentration during summer season in Poland. J. Atmos. Chem. 2017, 75, 181–204. [Google Scholar] [CrossRef]
- Pawlak, I.; Jarosławski, J. Forecasting of surface ozone concentration by using artificial neural networks in rural and urban areas in central Poland. Atmosphere 2019, 10. [Google Scholar] [CrossRef]
- Struzewska, J.; Kaminski, J.W. Formation and transport of photooxidants over Europe during the July 2006 heat wave - Observations and GEM-AQ model simulations. Atmos. Chem. Phys. 2008, 8, 721–736. [Google Scholar] [CrossRef]
- Appel, K.W.; Chemel, C.; Roselle, S.J.; Francis, X.V.; Hu, R.-M.; Sokhi, R.S.; Rao, S.T.; Galmarini, S. Examination of the Community Multiscale Air Quality (CMAQ) model performance over the North American and European domains. Atmos. Environ. 2012, 53, 142–155. [Google Scholar] [CrossRef]
- Im, U.; Bianconi, R.; Solazzo, E.; Kioutsioukis, I.; Badia, A.; Balzarini, A.; Baró, R.; Bellasio, R.; Brunner, D.; Chemel, C.; et al. Evaluation of operational online-coupled regional air quality models over Europe and North America in the context of AQMEII phase 2. Part II: Particulate matter. Atmos. Environ. 2015, 115, 421–441. [Google Scholar] [CrossRef]
- Im, U.; Brandt, J.; Geels, C.; Hansen, K.M.; Christensen, J.H.; Andersen, M.S. Assessment and economic valuation of air pollution impacts on human health over Europe and the United States as calculated by a multi-model ensemble in the framework of AQMEII3. Atmos. Chem. Phys. 2018, 18, 5967–5989. [Google Scholar] [CrossRef]
- Grell, G.A.; Peckham, S.E.; Schmitz, R.; McKeen, S.A.; Frost, G.; Skamarock, W.C.; Eder, B. Fully coupled “online” chemistry within the WRF model. Atmos. Environ. 2005, 39, 6957–6975. [Google Scholar] [CrossRef]
- Werner, M.; Kryza, M.; Guzikowski, J. Can data assimilation of surface PM2.5 and Satellite AOD improve WRF-Chem Forecasting? A case study for two scenarios of particulate air pollution episodes in Poland. Remote Sens. 2019, 11, 1–16. [Google Scholar] [CrossRef]
- Chen, F.; Dudhia, J. Coupling an Advanced Land Surface–Hydrology Model with the Penn State–NCAR MM5 Modeling System. Part I: Model Implementation and Sensitivity. Mon. Weather Rev. 2001, 129, 569–585. [Google Scholar] [CrossRef]
- Hong, S.-Y.; Noh, Y.; Dudhia, J. A New Vertical Diffusion Package with an Explicit Treatment of Entrainment Processes. Mon. Weather Rev. 2006, 134, 2318–2341. [Google Scholar] [CrossRef]
- Iacono, M.J.; Delamere, J.S.; Mlawer, E.J.; Shephard, M.W.; Clough, S.A.; Collins, W.D. Radiative forcing by long-lived greenhouse gases: Calculations with the AER radiative transfer models. J. Geophys. Res. 2008, 113, D13103. [Google Scholar] [CrossRef]
- Morrison, H.; Thompson, G.; Tatarskii, V.; Morrison, H.; Thompson, G.; Tatarskii, V. Impact of Cloud Microphysics on the Development of Trailing Stratiform Precipitation in a Simulated Squall Line: Comparison of One- and Two-Moment Schemes. Mon. Weather Rev. 2009, 137, 991–1007. [Google Scholar] [CrossRef]
- Ahmadov, R.; McKeen, S.A.; Robinson, A.L.; Bahreini, R.; Middlebrook, A.M.; de Gouw, J.A.; Meagher, J.; Hsie, E.-Y.; Edgerton, E.; Shaw, S.; et al. A volatility basis set model for summertime secondary organic aerosols over the eastern United States in 2006. J. Geophys. Res. Atmos. 2012, 117, D06301. [Google Scholar] [CrossRef]
- Werner, M.; Kryza, M.; Wind, P. High resolution application of the EMEP MSC-W model over Eastern Europe – Analysis of the EMEP4PL results. Atmos. Res. 2018, 212, 6–22. [Google Scholar] [CrossRef]
- Kuenen, J.J.P.; Visschedijk, A.J.H.; Jozwicka, M.; Denier van der Gon, H.A.C. TNO-MACC_II emission inventory; a multi-year (2003–2009) consistent high-resolution European emission inventory for air quality modelling. Atmos. Chem. Phys. 2014, 14, 10963–10976. [Google Scholar] [CrossRef]
- R Core Team R: A Language and Environment for Statistical Computing 2019. Available online: https://www.r-project.org/ (accessed on 3 July 2020).
- Bieser, J.; Aulinger, a.; Matthias, V.; Quante, M.; Builtjes, P. SMOKE for Europe – adaptation, modification and evaluation of a comprehensive emission model for Europe. Geosci. Model Dev. Discuss. 2010, 3, 949–1007. [Google Scholar] [CrossRef]
- Guenther, A.; Karl, T.; Harley, P.; Wiedinmyer, C.; Palmer, P.I.; Geron, C. Estimates of global terrestrial isoprene emissions using MEGAN (Model of Emissions of Gases and Aerosols from Nature). Atmos. Chem. Phys. 2006, 6, 3181–3210. [Google Scholar] [CrossRef]
- Wiedinmyer, C.; Akagi, S.K.; Yokelson, R.J.; Emmons, L.K.; Al-Saadi, J.A.; Orlando, J.J.; Soja, A.J. The Fire INventory from NCAR (FINN): A high resolution global model to estimate the emissions from open burning. Geosci. Model Dev. 2011, 4, 625–641. [Google Scholar] [CrossRef]
- Emery, C.; Liu, Z.; Russell, A.G.; Odman, M.T.; Yarwood, G.; Kumar, N. Recommendations on statistics and benchmarks to assess photochemical model performance. J. Air Waste Manag. Assoc. 2017, 67, 582–598. [Google Scholar] [CrossRef]
- Willmott, C.J. Some comments on the evaluation of economic forecasts. Bull. Am. Meteorol. Soc. 1982, 63, 1309–1313. [Google Scholar] [CrossRef]
- Castell, N.; Stein, A.F.; Mantilla, E.; Salvador, R.; Millán, M. Evaluation of the use of photochemical indicators to assess ozone-NOx-VOC sensitivity in the Southwestern Iberian Peninsula. J. Atmos. Chem. 2009, 63, 73–91. [Google Scholar] [CrossRef]
- Sillman, S.; He, D.; Pippin, M.R.; Daum, P.H.; Imre, D.G.; Kleinman, L.I.; Lee, J.H.; Weinstein-Lloyd, J. Model correlations for ozone, reactive nitrogen, and peroxides for Nashville in comparison with measurements: Implications for O3-NOx-hydrocarbon chemistry. J. Geophys. Res. Atmos. 1998, 103, 22629–22644. [Google Scholar] [CrossRef]
- Juda-Rezler, K.; Reizer, M.; Maciejewska, K.; Błaszczak, B.; Klejnowski, K. Characterization of atmospheric PM2.5 sources at a Central European urban background site. Sci. Total Environ. 2020, 713, 136729. [Google Scholar] [CrossRef] [PubMed]
- Adamiec, E.; Jarosz-Krzemińska, E.; Wieszała, R. Heavy metals from non-exhaust vehicle emissions in urban and motorway road dusts. Environ. Monit. Assess. 2016, 188, 1–11. [Google Scholar] [CrossRef]
- Dore, A.J.; Kryza, M.; Hall, J.R.; Hallsworth, S.; Keller, V.J.D.; Vieno, M.; Sutton, M.A. The influence of model grid resolution on estimation of national scale nitrogen deposition and exceedance of critical loads. Biogeosciences 2012, 9, 1597–1609. [Google Scholar] [CrossRef]













| EMEP | CIEP | |||||||
|---|---|---|---|---|---|---|---|---|
| NOx | PM10 | PM2.5 | NMVOC | NOx | PM10 | PM2.5 | NMVOC | |
| SNAP2 | 165.1 | 203.9 | 145.7 | 278.6 | 136.1 | 315.3 | 305.1 | 430.2 |
| SNAP7 | 455.9 | 32.3 | 24.4 | 192.0 | 810.3 | 67.5 | 58.0 | 141.0 |
| 2017 | 2018 | |||||
| PM2.5 | PM10 | O3 | PM2.5 | PM10 | O3 | |
| urban | 40/85 | 111/198 | 67 | 45/89 | 115/198 | 71 |
| suburban | 5/9 | 9/22 | 14 | 5/8 | 8/21 | 12 |
| rural | 1/4 | 3/10 | 22 | 1/4 | 3/14 | 22 |
| CIEP | EMEP | Observed | |
|---|---|---|---|
| PM2.5 | 19515 | 5220 | 19799 |
| PM10 | 3652 | 300 | 22985 |
| O3 | 4716 | 6014 | 10970 |
© 2020 by the authors. Licensee MDPI, Basel, Switzerland. This article is an open access article distributed under the terms and conditions of the Creative Commons Attribution (CC BY) license (http://creativecommons.org/licenses/by/4.0/).
Share and Cite
Kryza, M.; Werner, M.; Dudek, J.; Dore, A.J. The Effect of Emission Inventory on Modelling of Seasonal Exposure Metrics of Particulate Matter and Ozone with the WRF-Chem Model for Poland. Sustainability 2020, 12, 5414. https://doi.org/10.3390/su12135414
Kryza M, Werner M, Dudek J, Dore AJ. The Effect of Emission Inventory on Modelling of Seasonal Exposure Metrics of Particulate Matter and Ozone with the WRF-Chem Model for Poland. Sustainability. 2020; 12(13):5414. https://doi.org/10.3390/su12135414
Chicago/Turabian StyleKryza, Maciej, Małgorzata Werner, Justyna Dudek, and Anthony James Dore. 2020. "The Effect of Emission Inventory on Modelling of Seasonal Exposure Metrics of Particulate Matter and Ozone with the WRF-Chem Model for Poland" Sustainability 12, no. 13: 5414. https://doi.org/10.3390/su12135414
APA StyleKryza, M., Werner, M., Dudek, J., & Dore, A. J. (2020). The Effect of Emission Inventory on Modelling of Seasonal Exposure Metrics of Particulate Matter and Ozone with the WRF-Chem Model for Poland. Sustainability, 12(13), 5414. https://doi.org/10.3390/su12135414

