A Resonant Hybrid DC Circuit Breaker for Multi-Terminal HVDC Systems
Abstract
1. Introduction
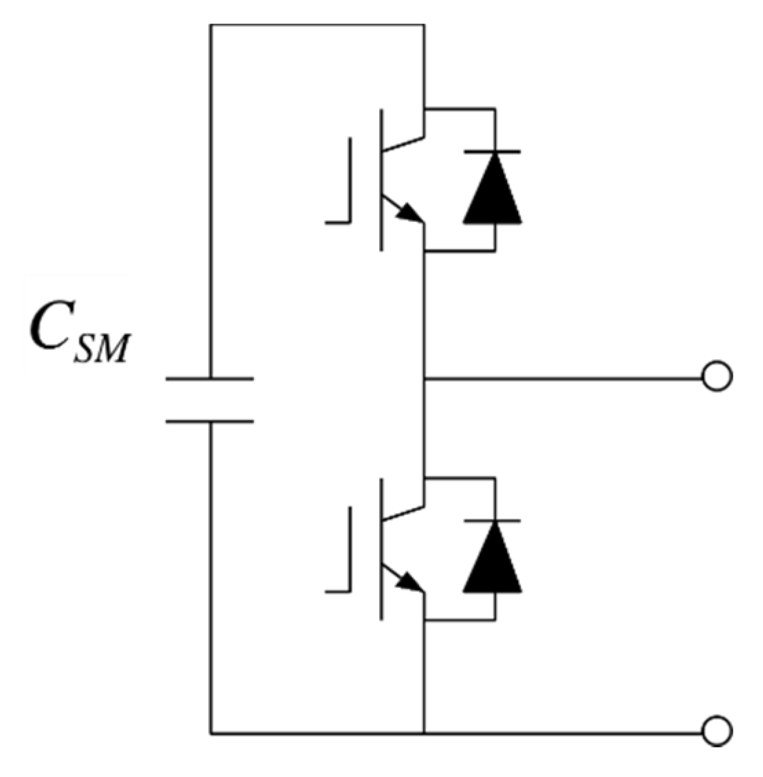
2. Analysis of an HB–MMC System Fault
3. Configuration of the MTDC System and Circuit Breaker
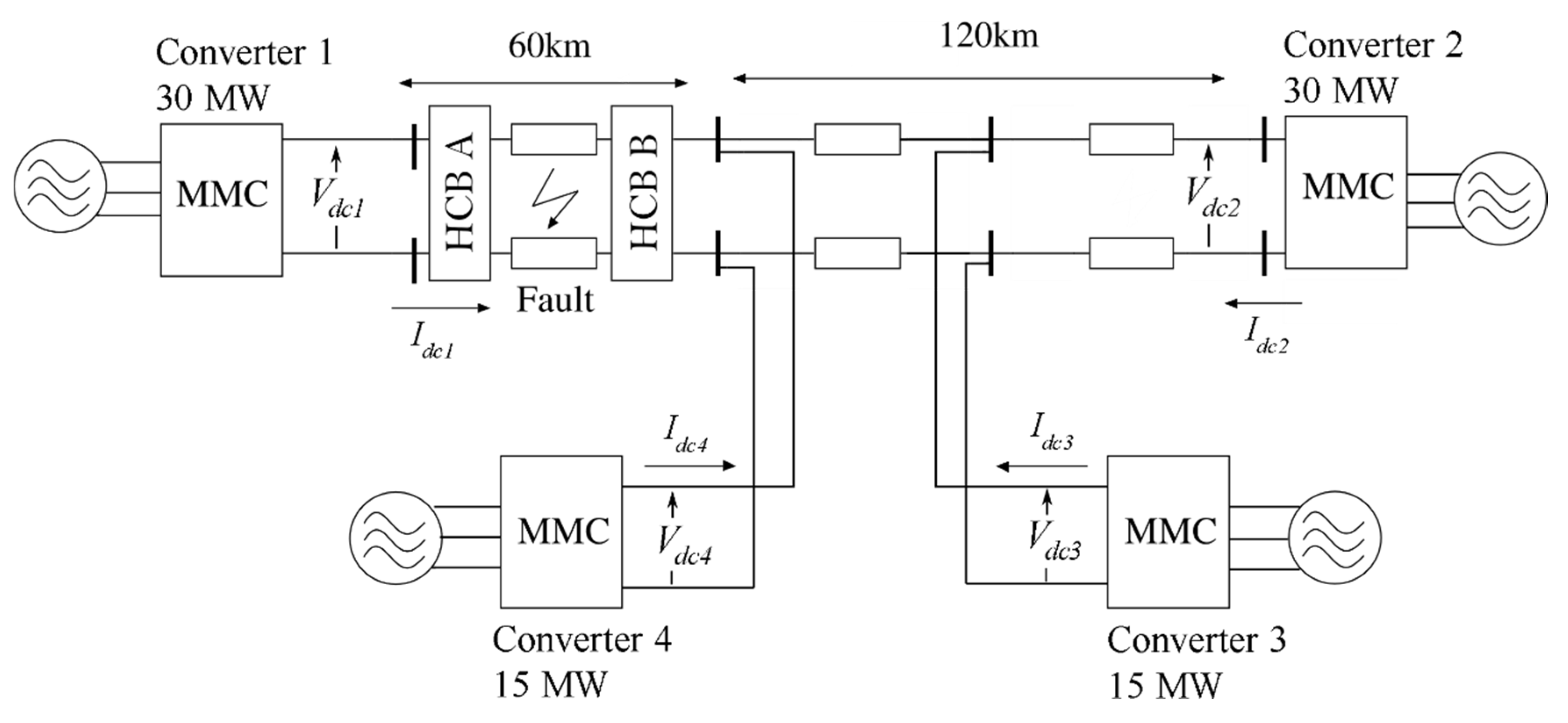
3.1. Configuration of the MTDC System
3.2. Configuration of Circuit Breaker
3.3. Parameter Design
4. Operation Principle of the Circuit Breaker
5. Simulations
5.1. Simulation Conditions
- The AC system assumed to have a 230 kV, three-phase AC power supply.
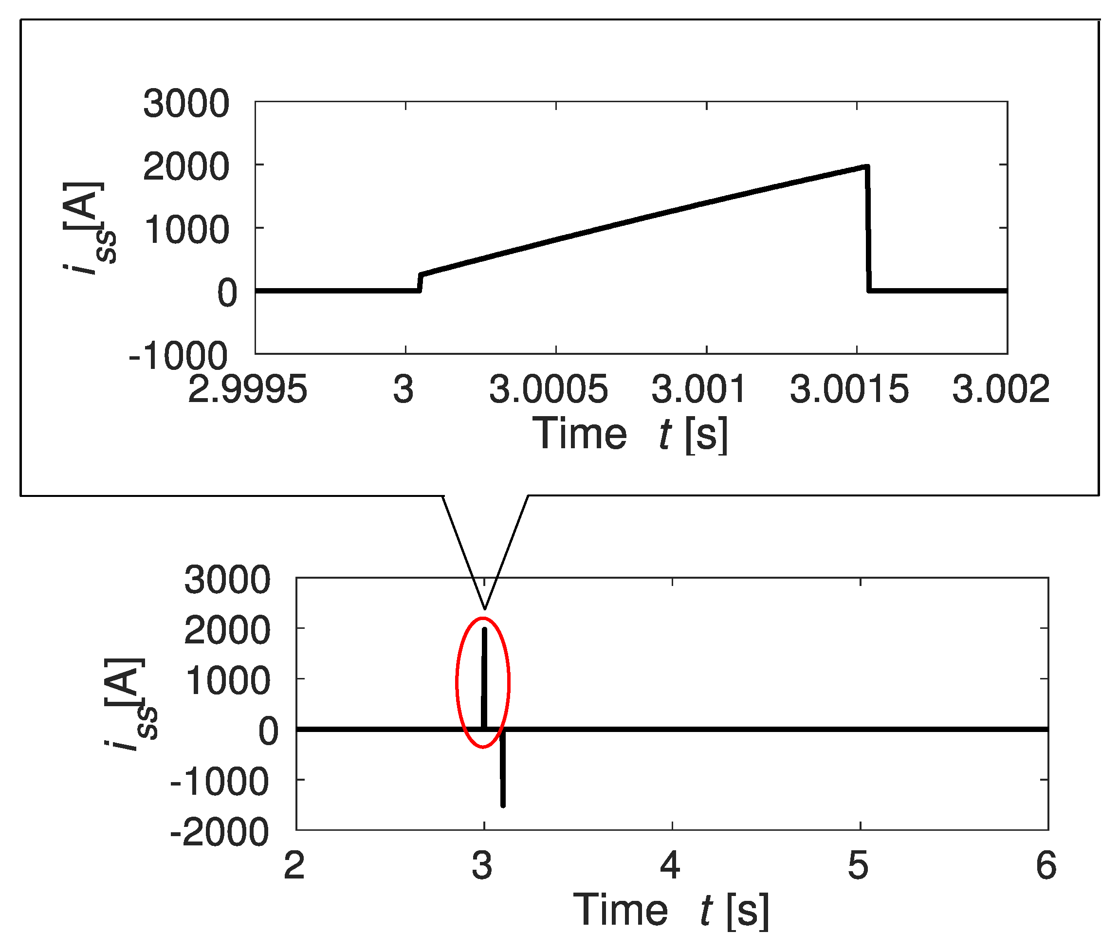
- The fault detection method is shown in Figure 10. A fault is determined when the voltage is less than 100 kV and the current exceeds 300 A.
5.2. Simulation Results of the ABB’s Breaker
5.3. Simulation Results of the Proposed Breaker
5.4. Discussion
6. Conclusions
Author Contributions
Funding
Conflicts of Interest
Nomenclature
| Abbreviations | |
| AC | Alternating current |
| DC | Direct current |
| EMI | Electromagnetic interference |
| FB | Full bridge |
| HB | Half bridge |
| HVDC | High-voltage direct current |
| LCS | Load commutation switch |
| MOV | Metal oxide varistor |
| MTDC | Multi-terminal direct current |
| RBSOA | Reverse bias safety operation area |
| UFD | Ultrafast disconnector |
| ZCS | Zero-current switching |
| Variables | |
| Line capacitor during the fault [F] | |
| DC capacitor [F] | |
| Resonant capacitor [F] | |
| Snubber capacitor [F] | |
| Cell capacitor [F] | |
| Current of upper arm [A] | |
| Current of lower arm [A] | |
| Transmission line current of each converter [A] | |
| Mechanical switch current of DC circuit breaker [A] | |
| Semiconductor switch current of DC circuit breaker [A] | |
| MOV current of DC circuit breaker [A] | |
| Line inductance during the fault [H] | |
| Transmission distance [km] | |
| DC inductance [H] | |
| Transmission line inductance [H] | |
| The number of submodules | |
| Active power of each converter [MW] | |
| Line resistance during the fault [] | |
| Suppression inductance [H] | |
| Transmission line resistance [] | |
| The voltage of the upper-arm cell capacitor in phase [V] | |
| The voltage of the upper-arm cell capacitor in phase [V] | |
| The voltage of the upper-arm cell capacitor in phase [V] | |
| The voltage of the lower-arm cell capacitor in phase [V] | |
| The voltage of the lower-arm cell capacitor in phase [V] | |
| The voltage of the lower-arm cell capacitor in phase [V] | |
| : | DC link voltage [V] |
References
- Liu, L.; Lotfy, M.; Matayoshi, H.; Senjyu, T.; Datta, M. Load Frequency Control for Renewable Energy. Sources for Isolated Power System. In Proceedings of the 5th International Conference on Electric Power and Energy Conversion Systems (EPECS) 2018, Kitakyushu, Japan, 23–25 April 2018; pp. 1–6. [Google Scholar] [CrossRef]
- Kinjo, R.; Matayoshi, H.; Ludin, G.; Howlader, A.; Urasaki, N.; Senjyu, T. Multi-Terminal High Voltage. Direct Current Transmission System with DC Resonant Semiconductor Breakers. Int. J. Emerg. Electr. Power Syst. 2018. [Google Scholar] [CrossRef]
- Akila, A.; Helal, A.; Eldosouki, H. Protection of Active Distribution Systems with DGs. Int. J. Emerg. Electr. Power Syst. 2015, 16. [Google Scholar] [CrossRef]
- Park, K.H.; Lee, H.Y.; Asif, M.; Lee, B.W. Investigation of Arc Behavior in HVDC LC Resonance Circuit Breaker Using Flexible Pulsed DC-Source. In Proceedings of the 2018 Condition Monitoring and Diagnosis (CMD), Perth, Australia, 23–26 September 2018; pp. 1–5. [Google Scholar] [CrossRef]
- Nagoya, H.; Komami, S.; Ogimoto, K. A Method for Presuming Total Output Fluctuation of Highly Penetrated Photovoltaic Generation Considering Mutual Smoothing Effect. IEEJ Trans. Electron. Inf. Syst. 2011, 131, 1688–1696. [Google Scholar] [CrossRef]
- Oozeki, T.; Takashima, T.; Otani, K.; Hishikawa, Y.; Koshimizu, G.; Uchida, Y.; Ogimoto, K. Statistical Analysis of the Smoothing Effect for Photovoltaic Systems in a Large Area. IEEJ Trans. Power Energy 2010, 130, 491–500. [Google Scholar] [CrossRef]
- Yanxun, G.; Wang, G.; Zeng, D.; Li, H.; Hong, C. A Thyristor Full-Bridge-based DC Circuit Breaker. IEEE Trans. Power Electron. 2019, 35, 1111–1123. [Google Scholar] [CrossRef]
- Mobarrez, M.; Kashani, M.; Bhattacharya, S.; Adapa, R. Comparative study of DC circuit breakers using realtime simulations. In Proceedings of the 40th Annual Conference of the IEEE Industrial Electronics Society, Dallas, TX, USA, 29 October–1 November 2014; pp. 3736–3742. [Google Scholar] [CrossRef]
- Kimura, R.; Yokoyama, A.; Sano, K. DC Fault Clearing Characteristics of a Bulk Power VSC HVDC Transmission System using DC Circuit Breakers. Electr. Eng. Jpn. 2016, 197, 18–28. [Google Scholar] [CrossRef]
- Sano, K.; Takasaki, M. A Surgeless Solid-State DC Circuit Breaker for Voltage-Source-Converter-Based HVDC Systems. IEEE Trans. Ind Appl. 2014, 50, 2690–2699. [Google Scholar] [CrossRef]
- Gu, X.; He, S.; Xu, Y.; Yan, Y.; Hou, S.; Fu, M. Partial discharge detection on 320 kV VSC-HVDC XLPE cable with artificial defects under DC voltage. IEEE Trans. Dielectr. Electr Insul. 2018, 939–946. [Google Scholar] [CrossRef]
- Rodríguez, J.; Lai, J.S.; Peng, F. Multilevel inverters: A survey of topologies, controls, and applications. IEEE Trans. Ind. Electron. 2002, 49, 724–738. [Google Scholar] [CrossRef]
- Meyer, C.; Kowal, M.; De Doncker, R. Circuit breaker concepts for future high-power DC-applications. In Proceedings of the Fourtieth IAS Annual Meeting. Conference Record of the 2005 Industry Applications Conference, Hong Kong, China, 2–6 October 2005; Volume 2, pp. 860–866. [Google Scholar] [CrossRef]
- Nabae, A.; Takahashi, I.; Akagi, H. A neutral-point-clamped PWM inverter. IEEE Trans. Ind. Appl. 1981, 7, 518–523. [Google Scholar] [CrossRef]
- Peng, F. A generalized multilevel inverter topology with self voltage balancing. IEEE Trans. Ind. Appl. 2001, 37, 611–618. [Google Scholar] [CrossRef]
- Hui, L.; Poh, C.L.; Blaabjerg, F. Review of fault diagnosis and fault-tolerant control for modular multilevel converter of HVDC. In Proceedings of the IECON 2013—39th Annual Conference of the IEEE Industrial Electronics Society, Vienna, Austria, 10–13 November 2013; pp. 1242–1247. [Google Scholar] [CrossRef]
- Norrga, S.; Li, X.; Ängquist, L. Converter topologies for HVDC grids. In Proceedings of the 2014 IEEE International Energy Conference (ENERGYCON), Cavtat, Croatia, 13–16 May 2013; pp. 1554–1561. [Google Scholar] [CrossRef]
- Sheng, B. A Synthetic test circuit for current switching tests of HVDC circuit breakers. In Proceedings of the 2008 IEEE/PES Transmission and Distribution Conference and Exposition, Chicago, IL, USA, 21–24 April 2008; Volume 1, p. 1. [Google Scholar] [CrossRef]
- Candelaria, J.; Park, J.D. VSC-HVDC system protection: A review of current methods. In Proceedings of the 2011 IEEE/PES Power Systems Conference and Exposition, Phoenix, AZ, USA, 20–23 March 2011. [Google Scholar] [CrossRef]
- Franck, C. HVDC Circuit Breakers: A Review Identifying Future Research Needs. IEEE Trans. Power Deliv. 2011, 26, 998–1007. [Google Scholar] [CrossRef]
- Ray, A.; Rajashekara, K.; Satish Naik, B.; Pramanick, S. Coupled Inductor Based Zero Current Switching Hybrid DC Circuit Breaker Topologies. IEEE Trans. Ind. Appl. 2019. [Google Scholar] [CrossRef]
- Qu, L.; Yu, Z.; Huang, Y.; Zeng, R. Research on effect of circuit parameters on breaking characteristics of mechanical DC circuit breaker. Electr. Power Syst. Res. 2019, 179. [Google Scholar] [CrossRef]
- Muriuki, J.; Muriithi, C.; Ngoo, L.; Nyakoe, G. Review of HVDC Circuit Breakers Topologies. IOSR J. Electr. Electron. Eng. 2017, 12, 109–117. [Google Scholar] [CrossRef]
- Callavik, M.; Blomberg, A.; Häfner, J.; Jacobson, B. The Hybrid HVDC Breaker an Innovation Breakthrough Enabling Reliable HVDC Grids. 2012. Available online: https://docplayer.net/48922020-The-hybrid-hvdc-breaker-an-innovation-breakthrough-enabling-reliable-hvdc-grids.html (accessed on 19 September 2020).
- Li, C.; Liang, J.; Wang, S. Interlink hybrid DC circuit breaker. IEEE Trans. Ind. Electron. 2018, 1. [Google Scholar] [CrossRef]
- Wang, K.; Lee, F.C.Y.; Hua, G.; Borojevic, D. A comparative study of switching losses of IGBTs under hard-switching, zero-voltage-switching and zero-current-switching. In Proceedings of the 1994 Power Electronics Specialist Conference—PESC’94, Taipei, Taiwan, 20–25 June 1994; Volume 2, pp. 1196–1204. [Google Scholar] [CrossRef]
- Emami, Z.; Farzanefard, H.; Motahari, S.R. EMI evaluation in hard switching and soft switching PWM flyback converters. 46–51. In Proceedings of the 1st Power Electronic & Drive Systems & Technologies Conference (PEDSTC), Tehran, Iran, 17–18 February 2010. [Google Scholar] [CrossRef]
- Wang, Y.; Yuan, Z.; Fu, J.; Li, Y.; Zhao, Y. A feasible coordination protection strategy for MMC-MTDC systems under DC faults. Int. J. Electric. Power Energy Syst. 2017, 90, 103–111. [Google Scholar] [CrossRef]
- Zhang, S.; Zou, G.; Huang, Q.; Gao, H. A Fast DC Line Protection for MMC-MTDC Grids Based on PSVTWs. In Proceedings of the 2019 IEEE Power & Energy Society General Meeting (PESGM), Atlanta, GA, USA, 4–8 August 2019; pp. 1–5. [Google Scholar] [CrossRef]
- Tom, S.; Thomas, J. HVDC Transmission Line Protection Based on Transient Power. Proc. Technol. 2016, 25, 660–668. [Google Scholar] [CrossRef]




















| Parameters | Symbol | Value |
|---|---|---|
| DC link voltage | 150 kV | |
| Transmission distance | 120 km | |
| Resistor of transmission line | 1.39 mΩ/km | |
| Inductance of transmission line | 0.159 mH/km | |
| DC capacitor | 300 μF | |
| DC inductance | 100 mH | |
| Suppression inductance | 100 mH | |
| Cell capacitor | 300 μF |
| Parameters | Symbol | Value |
|---|---|---|
| Demagnetization resistor | 10 Ω | |
| Resonant capacitor | 1 μF | |
| Resonant inductance | 1 mH | |
| Snubber resistor | 500 Ω | |
| Snubber capacitor | 0.08 μF |
| ABB’s Breaker | Proposed Breaker | |
|---|---|---|
| Switching | Hard Switching | ZCS (Soft Switching) |
| Interruption time | 1.5 ms | 1–1.1 ms |
© 2020 by the authors. Licensee MDPI, Basel, Switzerland. This article is an open access article distributed under the terms and conditions of the Creative Commons Attribution (CC BY) license (http://creativecommons.org/licenses/by/4.0/).
Share and Cite
Miyara, R.; Nakadomari, A.; Matayoshi, H.; Takahashi, H.; Hemeida, A.M.; Senjyu, T. A Resonant Hybrid DC Circuit Breaker for Multi-Terminal HVDC Systems. Sustainability 2020, 12, 7771. https://doi.org/10.3390/su12187771
Miyara R, Nakadomari A, Matayoshi H, Takahashi H, Hemeida AM, Senjyu T. A Resonant Hybrid DC Circuit Breaker for Multi-Terminal HVDC Systems. Sustainability. 2020; 12(18):7771. https://doi.org/10.3390/su12187771
Chicago/Turabian StyleMiyara, Ryo, Akito Nakadomari, Hidehito Matayoshi, Hiroshi Takahashi, Ashraf M. Hemeida, and Tomonobu Senjyu. 2020. "A Resonant Hybrid DC Circuit Breaker for Multi-Terminal HVDC Systems" Sustainability 12, no. 18: 7771. https://doi.org/10.3390/su12187771
APA StyleMiyara, R., Nakadomari, A., Matayoshi, H., Takahashi, H., Hemeida, A. M., & Senjyu, T. (2020). A Resonant Hybrid DC Circuit Breaker for Multi-Terminal HVDC Systems. Sustainability, 12(18), 7771. https://doi.org/10.3390/su12187771

