Attribution Analysis of Long-Term Trends of Aridity Index in the Huai River Basin, Eastern China
Abstract
1. Introduction
2. Study Area and Data
3. Methods
3.1. Reference Evapotranspiration
3.2. Aridity Index
3.3. Trend Analysis
3.4. Detrending Method
3.5. Differential Equation Method
4. Results
4.1. Temporal Variations of AI, ET0, and Pre
4.2. Spatial Variations of AI, ET0, and Pre
4.3. Original and Detrended Trends of AI, ET0, Pre, and Other Climatic Factors
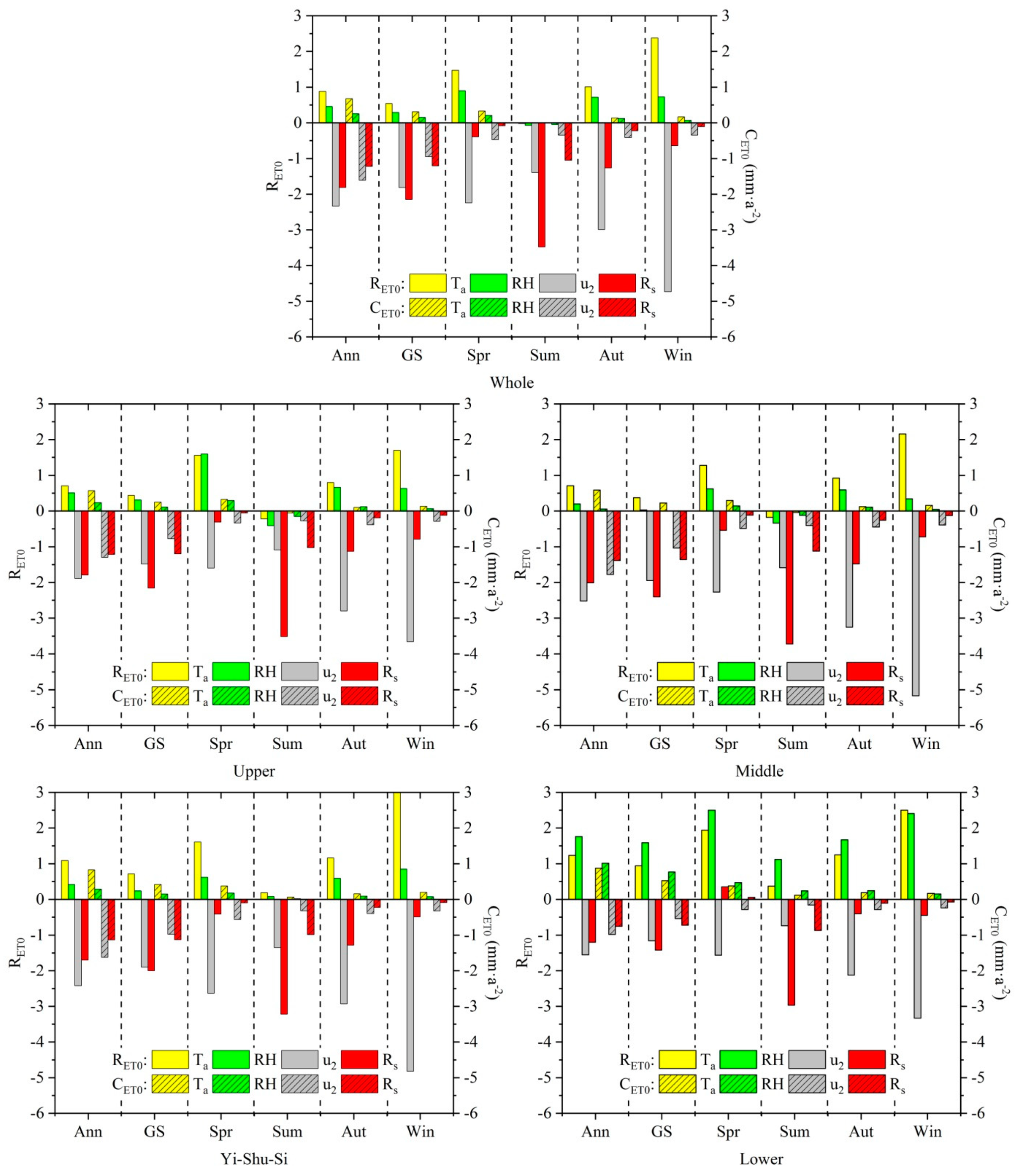
4.4. Contributions of Four Main Climatic Factors to ET0 Trends
4.5. Contributions of Pre and Four Main Climatic Factors to AI Trends
4.6. Contributions of Pre and ET0 to AI Trends
5. Discussion
6. Conclusions
Supplementary Materials
Author Contributions
Funding
Conflicts of Interest
References
- Piao, S.; Ciais, P.; Huang, Y.; Shen, Z.; Peng, S.; Li, J.; Zhou, L.; Liu, H.; Ma, Y.; Ding, Y.; et al. The impacts of climate change on water resources and agriculture in China. Nature 2010, 467, 43–51. [Google Scholar] [CrossRef] [PubMed]
- IPCC. Climate change: Impacts, adaptation, and vulnerability. In Summary for Policymakers; Report of Working Group II of the Intergovernmental Panel on Climate Change; Cambridge University Press: Cambridge, UK, 2007. [Google Scholar]
- IPCC. Climate Change 2013: The Physical Science Basis; Cambridge University Press: Cambridge, UK, 2013. [Google Scholar]
- Huang, J.; Yu, H.; Guan, X.; Wang, G.; Guo, R. Accelerated dryland expansion under climate change. Nat. Clim. Chang. 2016, 6, 166–171. [Google Scholar] [CrossRef]
- Moral, F.J.; Paniagua, L.L.; Rebollo, F.J.; García-Martín, A. Spatial analysis of the annual and seasonal aridity trends in Extremadura, southwestern Spain. Theor. Appl. Climatol. 2017, 130, 917–932. [Google Scholar] [CrossRef]
- Li, M.; Chu, R.; Shen, S.; Islam, A.R.M.T. Dynamic analysis of pan evaporation variations in the Huai River Basin, a climate transition zone in eastern China. Sci. Total Environ. 2018, 625, 496–509. [Google Scholar] [CrossRef] [PubMed]
- Xu, C.; Gong, L.; Jiang, T.; Chen, D.; Singh, V.P. Analysis of spatial distribution and temporal trend of reference evapotranspiration and pan evaporation in Changjiang (Yangtze River) catchment. J. Hydrol. 2006, 327, 81–93. [Google Scholar] [CrossRef]
- Li, M.; Chu, R.; Shen, S.; Islam, A.R.M.T. Quantifying climatic impact on reference evapotranspiration trends in the Huai River Basin of eastern China. Water 2018, 10, 144. [Google Scholar] [CrossRef]
- Dinpashoh, Y.; Jhajharia, D.; Fakheri-Fard, A.; Singh, V.P.; Kahya, E. Trends in reference crop evapotranspiration over Iran. J. Hydrol. 2011, 399, 422–433. [Google Scholar] [CrossRef]
- Huo, Z.; Dai, X.; Feng, S.; Kang, S.; Huang, G. Effect of climate change on reference evapotranspiration and aridity index in arid region of China. J. Hydrol. 2013, 492, 24–34. [Google Scholar] [CrossRef]
- Tang, B.; Tong, L.; Kang, S.; Zhang, L. Impacts of climate variability on reference evapotranspiration over 58 years in the Haihe river basin of north China. Agric. Water Manag. 2011, 98, 1660–1670. [Google Scholar] [CrossRef]
- Zhao, L.; Xia, J.; Sobkowiak, L.; Li, Z. Climatic Characteristics of Reference Evapotranspiration in the Hai River Basin and Their Attribution. Water 2014, 6, 1482–1499. [Google Scholar] [CrossRef]
- Hobbins, M.T.; Dai, A.; Roderick, M.L.; Farquhar, G.D. Revisiting the parameterization of potential evaporation as a driver of long-term water balance trends. Geophys. Res. Lett. 2008, 35, 1–6. [Google Scholar] [CrossRef]
- Donohue, R.J.; McVicar, T.R.; Roderick, M.L. Assessing the ability of potential evaporation formulations to capture the dynamics in evaporative demand within a changing climate. J. Hydrol. 2010, 386, 186–197. [Google Scholar] [CrossRef]
- Matsoukas, C.; Benas, N.; Hatzianastassiou, N.; Pavlakis, K.G.; Kanakidou, M.; Vardavas, I. Potential evaporation trends over land between 1983–2008: Driven by radiative fluxes or vapour-pressure deficit? Atmos. Chem. Phys. 2011, 11, 7601–7616. [Google Scholar] [CrossRef]
- Liu, Q.; McVicar, T.R. Assessing climate change induced modification of Penman potential evaporation and runoff sensitivity in a large water-limited basin. J. Hydrol. 2012, 464–465, 352–362. [Google Scholar] [CrossRef]
- Roderick, M.L.; Farquhar, G.D. The cause of decreased pan evaporation over the past 50 years. Science 2002, 298, 1410–1411. [Google Scholar]
- Roderick, M.L.; Farquhar, G.D. Changes in Australian pan evaporation from 1970 to 2002. Int. J. Climatol. 2004, 24, 1077–1090. [Google Scholar] [CrossRef]
- Cong, Z.T.; Yang, D.W.; Ni, G.H. Does evaporation paradox exist in China? Hydrol. Earth Syst. Sci. 2009, 13, 357–366. [Google Scholar] [CrossRef]
- Tabari, H.; Marofi, S. Changes of pan evaporation in the west of Iran. Water Resour. Manag. 2011, 25, 97–111. [Google Scholar] [CrossRef]
- Limjirakan, S.; Limsakul, A. Trends in Thailand pan evaporation from 1970 to 2007. Atmos. Res. 2012, 108, 122–127. [Google Scholar] [CrossRef]
- Vicente-Serrano, S.M.; Bidegain, M.; Tomas-Burguera, M.; Dominguez-Castro, F.; Kenawy, A.E.; McVicar, T.R.; Azorin-Molina, C.; López-Moreno, J.I.; Nieto, R.; Gimeno, L.; et al. A comparison of temporal variability of observed and model-based pan evaporation over Uruguay (1973–2014). Int. J. Climatol. 2018, 38, 337–350. [Google Scholar] [CrossRef]
- Peterson, T.C.; Golubev, V.S.; Groisman, P.Y. Evaporation losing its strength. Nature 1995, 377, 687–688. [Google Scholar] [CrossRef]
- Brutsaert, W.; Parlange, M.B. Hydrologic cycle explains the evaporation paradox. Nature 1998, 396, 30. [Google Scholar] [CrossRef]
- Du, H.; Xia, J.; Zeng, S. Regional frequency analysis of extreme precipitation and its spatio-temporal characteristics in the Huai River Basin, China. Nat. Hazards 2013, 70, 195–215. [Google Scholar] [CrossRef]
- Xia, J.; She, D.; Zhang, Y.; Du, H. Spatio-temporal trend and statistical distribution of extreme precipitation events in Huaihe River Basin during 1960–2009. J. Geogr. Sci. 2012, 22, 195–208. [Google Scholar] [CrossRef]
- Shi, P.; Qiao, X.; Chen, X.; Zhou, M.; Qu, S.; Ma, X.; Zhang, Z. Spatial distribution and temporal trends in daily and monthly precipitation concentration indices in the upper reaches of the Huai River, China. Stoch. Environ. Res. Risk Assess. 2014, 28, 201–212. [Google Scholar] [CrossRef]
- Li, Z.; He, Y.; Wang, P.; Theakstone, W.H.; An, W.; Wang, X.; Lu, A.; Zhang, W.; Cao, W. Changes of daily climate extremes in southwestern China during 1961–2008. Glob. Planet. Chang. 2012, 80–81, 255–272. [Google Scholar]
- Croitoru, A.E.; Piticar, A.; Imbroane, A.M.; Burada, D.C. Spatiotemporal distribution of aridity indices based on temperature and precipitation in the extra-Carpathian regions of Romania. Theor. Appl. Climatol. 2013, 112, 597–607. [Google Scholar] [CrossRef]
- Ashraf, B.; Yazdani, R.; Mousavi-Baygi, M.; Bannayan, M. Investigation of temporal and spatial climate variability and aridity of Iran. Theor. Appl. Climatol. 2014, 118, 35–46. [Google Scholar] [CrossRef]
- Muhire, I.; Ahmed, F. Spatiotemporal trends in mean temperatures and aridity index over Rwanda. Theor. Appl. Climatol. 2016, 123, 399–414. [Google Scholar] [CrossRef]
- Zhang, K.; Pan, S.; Zhang, W.; Xu, Y.; Cao, L.; Hao, Y.; Wang, Y. Influence of climate change on reference evapotranspiration and aridity index and their temporal-spatial variations in the Yellow River Basin, China, from 1961 to 2012. Quat. Int. 2015, 380–381, 75–82. [Google Scholar] [CrossRef]
- Chu, R.; Li, M.; Islam, A.R.M.T.; Fei, D.; Shen, S. Attribution analysis of actual and potential evapotranspiration changes based on the complementary relationship theory in the Huai River basin of eastern China. Int. J. Climatol. 2019, 39, 4072–4090. [Google Scholar] [CrossRef]
- Li, M.; Chu, R.; Islam, A.R.M.T.; Shen, S. Reference Evapotranspiration Variation Analysis and Its Approaches Evaluation of 13 Empirical Models in Sub-Humid and Humid Regions: A Case Study of the Huai River Basin, Eastern China. Water 2018, 10, 493. [Google Scholar] [CrossRef]
- Tabari, H.; Talaee, P.H.; Nadoushani, S.S.M.; Willems, P.; Marchetto, A. A survey of temperature and precipitation based aridity indices in Iran. Quat. Int. 2014, 345, 158–166. [Google Scholar] [CrossRef]
- Tabari, H.; Aghajanloo, M.-B. Temporal pattern of aridity index in Iran with considering precipitation and evapotranspiration trends. Int. J. Climatol. 2013, 33, 396–409. [Google Scholar] [CrossRef]
- Li, Y.; Feng, A.; Liu, W.; Ma, X.; Dong, G. Variation of aridity Index and the role of climate variables in the southwest China. Water 2017, 9, 743. [Google Scholar] [CrossRef]
- Liu, X.; Zhang, D.; Luo, Y.; Liu, C. Spatial and temporal changes in aridity index in northwest China: 1960 to 2010. Theor. Appl. Climatol. 2013, 112, 307–316. [Google Scholar] [CrossRef]
- Ahani, H.; Kherad, M.; Kousari, M.R.; Roosmalen, L.v.; Aryanfar, R.; Hosseini, S.M. Non-parametric trend analysis of the aridity index for three large arid and semi-arid basins in Iran. Theor. Appl. Climatol. 2013, 112, 553–564. [Google Scholar] [CrossRef]
- Wu, Y.; Yao, H.; Wang, G.; Shen, G.; Shi, R.; Hou, B. Analysis on characteristics of extreme drought and flood events in Huaihe River Basin. Hydro-Sci. Eng. 2011, 4, 149–153. [Google Scholar]
- Chu, R.; Li, M.; Shen, S.; Islam, A.R.M.T.; Cao, W.; Tao, S.; Gao, P. Changes in reference evapotranspiration and its contributing factors in Jiangsu, a major economic and agricultural province of eastern China. Water 2017, 9, 486. [Google Scholar] [CrossRef]
- He, Y.; Ye, J.; Yang, X. Analysis of the spatio-temporal patterns of dry and wet conditions in the Huai River Basin using the standardized precipitation index. Atmos. Res. 2015, 166, 120–128. [Google Scholar] [CrossRef]
- Allen, R.G.; Pereira, L.S.; Raes, D.; Smith, M. Crop Evapotranspiration-Guidelines for Computing Crop Water Requirements-FAO Irrigation and Drainage Paper 56; FAO: Rome, Italy, 1998. [Google Scholar]
- Nouri, M.; Bannayan, M. Spatiotemporal changes in aridity index and reference evapotranspiration over semi-arid and humid regions of Iran: Trend, cause, and sensitivity analyses. Theor. Appl. Climatol. 2019, 136, 1073–1084. [Google Scholar] [CrossRef]
- Liu, L.; Wang, Y.; You, N.; Liang, Z.; Qin, D.; Li, S. Changes in aridity and its driving factors in China during 1961–2016. Int. J. Climatol. 2019, 39, 50–60. [Google Scholar] [CrossRef]
- Theil, H. A Rank Invariant Method of Linear and Polynomial Regression Analysis; Nederlandse Akademie Van Wetenschappen: Amsterdam, The Netherlands, 1950. [Google Scholar]
- Sen, P.K. Estimates of the Regression Coefficient Based on Kendall’s Tau. J. Am. Stat. Assoc. 1968, 63, 1379–1389. [Google Scholar] [CrossRef]
- Mann, H.B. Nonparametric test against trend. Econometrica 1945, 13, 245–259. [Google Scholar] [CrossRef]
- Shi, Z.; Xu, L.; Yang, X.; Guo, H.; Dong, L.; Song, A.; Zhang, X.; Shan, N. Trends in reference evapotranspiration and its attribution over the past 50 years in the Loess Plateau, China: Implications for ecological projects and agricultural production. Stoch. Environ. Res. Risk Assess. 2017, 31, 257–273. [Google Scholar] [CrossRef]
- Lin, C.; Yang, K.; Qin, J. Observed surface and upper-air wind speed changes over China since 1960. J. Clim. 2012, 26, 2891–2903. [Google Scholar] [CrossRef]
- Kwon, M.; Jhun, J.-G.; Ha, K.-J. Decadal change in east Asian summer monsoon circulation in the mid-1990s. Geophys. Res. Lett. 2007, 34, L21706. [Google Scholar] [CrossRef]
- Huang, J.; Minnis, P.; Lin, B.; Wang, T.; Yi, Y.; Hu, Y.; Sun-Mack, S.; Ayers, K. Possible influences of Asian dust aerosols on cloud properties and radiative forcing observed from MODIS and CERES. Geophys. Res. Lett. 2006, 33, L06824. [Google Scholar] [CrossRef]
- Guo, H.; Xu, M.; Hu, Q. Changes in near-surface wind speed in China: 1969–2005. Int. J. Climatol. 2011, 31, 349–358. [Google Scholar] [CrossRef]
- Tao, Y.; Huang, Y.; Yang, Y.; Wang, K.; Cheng, X.; Wang, M.; Wu, R. Impact of Urbanization on wind speed in Anhui Province. Clim. Chang. Res. 2016, 12, 519–526. [Google Scholar]
- Che, H.Z.; Shi, G.Y.; Zhang, X.Y.; Arimoto, R.; Zhao, J.Q.; Xu, L.; Wang, B.; Chen, Z.H. Analysis of 40 years of solar radiation data from China, 1961–2000. Geophys. Res. Lett. 2005, 32, L06803. [Google Scholar] [CrossRef]
- Qian, Y.; Wang, W.; Leung, L.R.; Kaiser, D.P. Variability of solar radiation under cloud-free skies in China: The role of aerosols. Geophys. Res. Lett. 2007, 34, L12804. [Google Scholar] [CrossRef]
- Stjern, C.W.; Kristjánsson, J.E.; Hansen, A.W. Global dimming and global brightening-an analysis of surface radiation and cloud cover data in northern Europe. Int. J. Climatol. 2009, 29, 643–653. [Google Scholar] [CrossRef]
- Fei, Y.; Xia, X. Decadal variations of aerosol-cloud-radiation in eastern China and their relationships during 1980–2009. Meteorol. Environ. Sci. 2016, 39, 1–9. [Google Scholar]
- Lin, C.; Yang, K.; Huang, J.; Tang, W.; Qin, J.; Niu, X.; Chen, Y.; Chen, D.; Lu, N.; Fu, R. Impacts of wind stilling on solar radiation variability in China. Sci. Rep. 2015, 5, 15135. [Google Scholar] [CrossRef]
- Zhao, Y.; Zou, X.; Zhang, J.; Cao, L.; Xu, X.; Zhang, K.; Chen, Y. Spatio-temporal variation of reference evapotranspiration and aridity index in the Loess Plateau Region of China, during 1961–2012. Quat. Int. 2014, 349, 196–206. [Google Scholar] [CrossRef]
- Wang, L.; Cao, L.; Deng, X.; Jia, P.; Zhang, W.; Xu, X.; Zhang, K.; Zhao, Y.; Yan, B.; Hu, W.; et al. Changes in aridity index and reference evapotranspiration over the central and eastern Tibetan Plateau in China during 1960–2012. Quat. Int. 2014, 349, 280–286. [Google Scholar] [CrossRef]
- Zhao, Y.; Zou, X.; Cao, L.; Yao, Y.; Fu, G. Spatiotemporal variations of potential evapotranspiration and aridity index in relation to influencing factors over Southwest China during 1960–2013. Theor. Appl. Climatol. 2017, 133, 711–726. [Google Scholar] [CrossRef]
- Zhang, K.; Qian, X.; Liu, P.; Xu, Y.; Cao, L.; Hao, Y.; Dai, S. Variation characteristics and influences of climate factors on aridity index and its association with AO and ENSO in northern China from 1961 to 2012. Theor. Appl. Climatol. 2017, 130, 523–533. [Google Scholar] [CrossRef]
- Wen, M.; Cheng, D.; Song, J.; Zhang, G.; Lai, W.; Jiang, W. Impacts of climate change on aridity index and its spatiotemporal variation in the Loess Plateau of China, from 1961 to 2014. Environ. Earth Sci. 2018, 77, 137. [Google Scholar] [CrossRef]
- Wu, Y.; Zhang, G.; Shen, H.; Xu, Y.J.; Bake, B. Attribute analysis of aridity variability in north Xinjiang, China. Adv. Meteorol. 2016, 2016, 9610960. [Google Scholar] [CrossRef]
- Yin, Y.; Ma, D.; Wu, S.; Pan, T. Projections of aridity and its regional variability over China in the mid-21st century. Int. J. Climatol. 2015, 35, 4387–4398. [Google Scholar] [CrossRef]
- Li, J.; Xie, S.-P.; Cook, E.R.; Huang, G.; Arrigo, R.D.; Liu, F.; Ma, J.; Zheng, X.-T. Interdecadal modulation of El Niño amplitude during the past millennium. Nat. Clim. Chang. 2011, 1, 114–118. [Google Scholar] [CrossRef]
- Gu, Y.; Liu, H.; Traoré, D.D.; Huang, C. ENSO-related droughts and ISM variations during the last millennium in tropical southwest China. Clim. Dyn. 2020, 54, 649–659. [Google Scholar] [CrossRef]
- Tan, L.; Cai, Y.; An, Z.; Cheng, H.; Shen, C.-C.; Gao, Y.; Edwards, R.L. Decreasing monsoon precipitation in southwest China during the last 240 years associated with the warming of tropical ocean. Clim. Dyn. 2017, 48, 1769–1778. [Google Scholar] [CrossRef]
- Tong, S.; Li, X.; Zhang, J.; Bao, Y.; Bao, Y.; Na, L.; Si, A. Spatial and temporal variability in extreme temperature and precipitation events in Inner Mongolia (China) during 1960–2017. Sci. Total Environ. 2019, 649, 75–89. [Google Scholar] [CrossRef]
- Zhang, Y.; Xia, J.; Liang, T.; Shao, Q. Impact of Water Projects on River Flow Regimes and Water Quality in Huai River Basin. Water Resour. Manag. 2010, 24, 889–908. [Google Scholar] [CrossRef]
- Gao, C.; Zhang, Z.; Zhai, J.; Liu, Q.; Yao, M. Research on meteorological thresholds of drought and flood disaster: A case study in the Huai River Basin, China. Stoch. Environ. Res. Risk Assess. 2015, 29, 157–167. [Google Scholar] [CrossRef]
- Gao, C.; Yin, Z.; Xu, Y. Space-time characteristics of drought and flood in main growing periods of winter wheat in Huaihe River Basin and its impact on yield. Trans. CSAE 2017, 33, 103–111. [Google Scholar]
- Gao, C.; Li, X.; Sun, Y.; Zhou, T.; Luo, G.; Chen, C. Spatiotemporal characteristics of water requirement and agricultural drought during summer maize season in Huaihe River Basin. Acta Agron. Sin. 2019, 45, 297–309. [Google Scholar] [CrossRef]












| Region | Variable | Annual | Growing Season | Spring | Summer | Autumn | Winter | ||||||
|---|---|---|---|---|---|---|---|---|---|---|---|---|---|
| Z | β | Z | β | Z | β | Z | β | Z | β | Z | β | ||
| Upper | AI | 0.13 | 0.0003 | 0.12 | 0.0004 | −0.84 | −0.0031 | 1.30 | 0.0063 | −1.31 | −0.0058 | 0.58 | 0.0025 |
| Pre | −0.58 | −1.269 | −0.48 | −1.158 | −0.78 | −0.753 | 0.58 | 0.725 | −1.85 | −1.257 | 0.55 | 0.170 | |
| ET0 | −3.49 | −1.787 *** | −3.55 | −1.578 *** | 0.69 | 0.197 | −4.97 | −1.567 *** | −1.76 | −0.253 | −1.12 | −0.138 | |
| Middle | AI | 1.19 | 0.0019 | 1.19 | 0.0016 | −0.15 | −0.0005 | 1.81 | 0.0055 | −0.67 | −0.0024 | 0.88 | 0.0025 |
| Pre | −0.28 | −0.365 | −0.42 | −0.470 | −0.42 | −0.207 | 0.45 | 0.407 | −0.95 | −0.711 | 0.75 | 0.158 | |
| ET0 | −4.74 | −2.561 *** | −4.92 | −2.287 *** | −1.06 | −0.331 | −5.43 | −1.596*** | −2.73 | −0.400 ** | −1.82 | −0.235 | |
| Yi-Shu-Si | AI | −0.09 | −0.0002 | −0.22 | −0.0006 | −0.01 | −0.0001 | 0.57 | 0.0018 | −0.12 | −0.0008 | 0.24 | 0.0005 |
| Pre | −0.98 | −1.498 | −1.15 | −1.618 | 0.00 | −0.015 | −0.37 | −0.426 | −0.49 | −0.328 | 0.27 | 0.049 | |
| ET0 | −3.88 | −1.556 *** | −3.83 | −1.446 *** | −0.60 | −0.153 | −4.43 | −1.094 *** | −2.25 | −0.276 * | −0.39 | −0.044 | |
| Lower | AI | −0.28 | −0.0008 | −0.93 | −0.0025 | −1.30 | −0.0042 | 0.81 | 0.0049 | −1.15 | −0.0039 | 1.00 | 0.0048 |
| Pre | −0.16 | −0.328 | −0.85 | −1.787 | −0.75 | −0.461 | 0.70 | 0.929 | −1.37 | −0.795 | 1.49 | 0.562 | |
| ET0 | 0.45 | 0.177 | 0.15 | 0.062 | 3.04 | 0.660 ** | −1.97 | −0.498 * | 0.91 | 0.100 | 0.93 | 0.075 | |
| Whole | AI | 0.57 | 0.0009 | 0.22 | 0.0004 | −0.51 | −0.0010 | 1.31 | 0.0042 | −0.61 | −0.0022 | 0.82 | 0.0022 |
| Pre | −0.75 | −0.942 | −1.06 | −1.343 | −0.33 | −0.182 | 0.21 | 0.299 | −1.04 | −0.654 | 0.75 | 0.194 | |
| ET0 | −4.09 | −1.894 *** | −4.25 | −1.772 *** | −0.39 | −0.122 | −4.64 | −1.307 *** | −2.40 | −0.308 * | −1.24 | −0.143 | |
© 2020 by the authors. Licensee MDPI, Basel, Switzerland. This article is an open access article distributed under the terms and conditions of the Creative Commons Attribution (CC BY) license (http://creativecommons.org/licenses/by/4.0/).
Share and Cite
Li, M.; Chu, R.; Islam, A.R.M.T.; Jiang, Y.; Shen, S. Attribution Analysis of Long-Term Trends of Aridity Index in the Huai River Basin, Eastern China. Sustainability 2020, 12, 1743. https://doi.org/10.3390/su12051743
Li M, Chu R, Islam ARMT, Jiang Y, Shen S. Attribution Analysis of Long-Term Trends of Aridity Index in the Huai River Basin, Eastern China. Sustainability. 2020; 12(5):1743. https://doi.org/10.3390/su12051743
Chicago/Turabian StyleLi, Meng, Ronghao Chu, Abu Reza Md. Towfiqul Islam, Yuelin Jiang, and Shuanghe Shen. 2020. "Attribution Analysis of Long-Term Trends of Aridity Index in the Huai River Basin, Eastern China" Sustainability 12, no. 5: 1743. https://doi.org/10.3390/su12051743
APA StyleLi, M., Chu, R., Islam, A. R. M. T., Jiang, Y., & Shen, S. (2020). Attribution Analysis of Long-Term Trends of Aridity Index in the Huai River Basin, Eastern China. Sustainability, 12(5), 1743. https://doi.org/10.3390/su12051743

