Abstract
Humans are facing very serious health threats from food contamination with cadmium (Cd), and Cd uptake by wheat is amongst the main causes of Cd entrance into the food chain. The current study examined the effect of foliar application (0, 1.50, 3.00 and 4.00 mM) of various silicate chemicals (calcium silicate and potassium silicate) on wheat growth and Cd addition by wheat under Cd stress 20 mg kg−1 of soil using CdCl2. The results revealed that under control conditions, the application of Si improved all the growth, physiological, biochemical and quality attributes by reducing malondialdehyde contents and electrolyte leakage. Under Cd stress, the supplementation of Si conferred a better growth rate, gaseous exchange for metabolic activity and maintained the tissues’ turgor and membranes’ stabilities compared to those obtained under control (without Si). The enzymatic activities (superoxide dismutase, peroxidase and catalase) also show rapid action by the application of Si supplement, which were associated with elevated osmoprotectant contents and antioxidants, having role in antioxidant defense against Cd stress. These results suggested that a 4.50 mM concentration of Si supplement (potassium silicate) works effectively against Cd stress. The given results showed that Si supplement is beneficial for the enhancement of many metabolic activities that takes places in plants during the growth period that proved a feasible approach in controlling the Cd concentration within wheat plants and, ultimately, in humans.
1. Introduction
In all components of the environment, rapid industrialization and lack of industrial discharge management increases the metal pollution [1]. Metal contamination is difficult to eliminate because of its non-degradable nature, which allows this contamination to remain for a greater time period in soil than other biosphere components [2]. Metals, including lead (Pb), arsenic (As), cadmium (Cd) and mercury (Hg), accumulate in the atmosphere, posing a risk to living organisms such as crops and humans [3,4]. Cd contamination has become a major problem around the world in recent decades, as levels in some food crops have exceeded the acceptable limit [5]. Globally, the average Cd concentration in contaminated soil is 20–800 mg kg−1, while for ordinary soils, approximately 0.06 mg kg−1. That is why it can enter into our food chain and can pose health-related adverse effects [6]. Cadmium reaches soil from a variety of anthropogenic sources, including phosphate fertilizer application, abandoned mines, sewage sludge and pollution from anthropogenic activities, i.e., power plants, metal factories, cement industries and urban traffic [7,8,9]. Soil contamination from Cd is a foremost environmental issue and is of greater concern [10]. Cadmium toxicity results in harmful effects in plants such as growth inhibition, deficiency of photosynthetic pigments, leaf chlorosis, carbohydrate alteration, oxidative stress, imbalanced homeostasis, reduction in essential minerals uptake and lower crops yields [11,12,13].
Wheat is a major food crop all over the world. Global wheat production in 2020 was 764.39 million tons, with a production prediction of 766 million tons in 2021, making it the second most productive cereal crop after maize [14,15]. The existence of 5–10 mg kg−1 of Cd in farming soil typically affects the production of wheat crop [10,16]. The presence of Cd metal in wheat shows severe side effects of growth inhibition, leaf chlorosis, root spotting, oxidative stress and a decline in leaf number and leaf area that results in an overall reduction in crop production [17,18,19,20].
Different strategies are being employed for attaining optimum growth and productivity of wheat under Cd stress [21]. Among different environmentally friendly approaches for the reclamation of Cd contaminated soils, the use of silicon (Si) is of greater importance [12,22,23]. Previous studies have shown that the application of exogenous Si have reduced the metal toxicity mainly due to reduced intake and transportation of Cd in cotton [24], Chinese cabbage [25], wheat [18], peanut [25] and rice [26]. It was documented that in wheat, Si decreases the toxicity and accumulation of Cd, a typical Si-accumulating species. The use of calcium silicate considerably decreased the concentration of Cd in rice grain and straw [8].
There is a knowledge gap concerning the use of multiple Si salts at various concentrations. To our knowledge, no studies have been conducted to compare the efficacy of Si compounds (potassium silicate and calcium silicate) and to find the optimal concentration of Si for wheat under Cd stress. In our current study, it was hypothesized that the exogenous application of Si salts could be a useful strategy to enhance plant growth and to reduce the Cd uptake by wheat plants under Cd stress. Hence, the aim of the current study was to estimate the defensive mechanism of various Si salts and their optimal levels for growth; physiological, biochemical and tissue health; osmoprotectants; non-enzymatic and enzymatic antioxidative activities; and metal accumulation in wheat plants grown under Cd stress.
2. Materials and Methods
2.1. Study Site, Experimental Design and Treatments
A pot experiment was run to evaluate the comparative effectiveness of silicon compounds for the alleviation of Cd toxicity in wheat at the Department of Environmental Sciences, University of Lahore, Pakistan, and a complete randomized design (CRD) under factorial arrangement was applied with triplicates. Experimental treatments contained three factors: cadmium stress (control and cadmium stress (20 mg kg−1 of soil)), silicon compounds (potassium silicate and calcium silicate) and the last factor comprised of different levels of silicon compounds (0, 1.5, 3.0 and 4.50 mM).
2.2. Crop Management
The experiment was carried out on 15 November 2019. Seeds of wheat cultivar (Lassani-2008) were used as test cultivar. Total 7 kg of soil was placed in each pot, five seedlings of equivalent size were kept up per pot after washing with distilled water. At the early stage, metal was not included, and metal stress application began after 14-day development period. After this period, the seedlings had four to five leaves. After that, metal stress (CdCl2) 20 mg kg−1 was applied, using solution form, metal stress application was based on previous studies [27,28,29]. Just before the application of Cd solution, as well as after 2 days, manual hoeing was performed for homogenization of Cd contamination. The plants which were kept free of metal stress (control plants) were only supplied with Si and normal nutrient solution. Just after the thinning, the first foliar application of Si salts was performed on the fourth, sixth and eighth weeks of sowing, and spraying was performed on the second, third and fourth weeks. Simultaneously, on controlled plants, deionized water was applied to control plants. During two foliar sprays, a total of one litter of volume was used for each treatment. Fertilizers such as NPK as 120, 50 and 25 kg ha−1 was used to fertilize the pots. After 90 days of sowing, the crop was harvested on 15 February 2020.
2.3. Growth Attributes
Seventy-day-old plants were harvested and were washed away with distilled water to remove soil particles. Fresh seedling biomass was measured using electric digital scales immediately after uprooting. Seedlings were dried out in the oven at a temperature of 65 °C and dry weight was measured. Leaf area was determined with the help of digital leaf area meter and leaves of three selected plant from all replications were detached.
2.4. Non-Enzymatic Antioxidant and Physiobiochemical Attributes
Fully expanded upper most leaves were selected after 55 days after sowing (DAS) for measurement of photosynthesis with IRGA (Analytical Development Company, Hoddesdon, England) between 9:00 to 11:00 a.m., while water use efficiency was recorded by applying formula (photosynthetic rate/transpiration rate). For estimation of chlorophyll contents, 0.5 cm segments of fresh leaves were extracted at −10 °C overnight with 80% acetone. At 14,000 rpm for 5 min, the extract was centrifuged, and supernatant absorbance was taken at 645 and 663 nm using spectrophotometer. The observations were taken by following the protocols of Nagata and Yamashita [30].
Leaf of constant size from each treatment was used to find relative water contents (RWC) as described by using following equation:
RWC % = (fresh weight − oven dried weight/fully turgid weight − oven dried weight) × 100
MSI (Membrane stability index) was measured by following the protocols by Lutts et al. [31] with some modifications, and electrolyte leakage (EL) was calculated with the help of formula intended by [31]:
where EC1 = EC of solution containing leaves in test tubes and EC2 = EC of solution in test tubes after autoclaving for 20 min at 121 °C.
EL % = (EC1/EC2) × 100
In the wheat seedlings, the colorimetric technique was applied for the assessment of proline contents [32]. For the estimation of malondialdehyde (MDA) contents, fresh leaf sample (0.5 g) [33] in thiobarbituric acid (TBA) reaction technique was used by applying a formula (e.g., MDA content = 6.45 × (A532–A600) − 0.56 × A450), where 532, 600 and 450 are the absorbance levels in nm. Spectrophotometer technique was used to estimate the total soluble sugar contents using standard methods [34] and ascorbic acid contents were estimated using given method [35]. A5mL of 80% H2SO4 (v/v) was added after cooling, and to find the ascorbic acid (AsA) contents, absorbances were read at 530 nm. For the estimation of glutathione (GSH), the method in [36] using absorbance levels at 412 nm was used.
2.5. Antioxidant Enzymes Activities
Fresh leaves sample (0.25 g) was homogenized in 5 mL potassium phosphate buffer (pH 7.8) and was homogenized to gain extract after centrifugation at 12,000× g at 4 °C for 15 min. The extracted material was stored at −20 °C. Nitroblue tetrazolium (NBT) photo reduction inhibition was used for estimation of superoxide dismutase (SOD) activity using a spectrophotometer.
A 3-mL reaction mixture containing sample extract (0.1 mL), H2O2 (1 mL) and potassium phosphate buffer (1.9 mL) was prepared to estimate catalase activity followed by given protocol using spectrophotometer [37].
Chance and Maehly’s [38] approach was adopted to find peroxidase activity. For mixture preparation, sample extract (0.05 mL), H2O2 (0.1 mL), 1 mL reaction mixture, phosphate buffer (0.75 mL) and guaiacol (0.1 mL) were mixed. Final readings were taken at 470 nm through spectrophotometer.
2.6. Cadmium and Silicon Contents and Statistics Analysis
For estimation of Cd level in root and shoot, a blend of di-acid with a proportion (HNO3:HClO4 vs. 2:1) was used. To survey the substance of Cd2+, an atomic absorption spectrophotometer (Perkin-Elmer, Model 3300) was used. Concentration of Si was evaluated by ammonium molybdate spectrophotometric technique [38]. All the chemicals used for analysis were of analytical grades and instruments were properly calibrated before use.
Collected data was evaluated by applying Fisher’s ANOVA and means of all treatments were compared using Statistix 8.1 and treatments means were separated by highest significant differences (HSD) test.
3. Results
3.1. Growth Attributes
According to the findings of the current study, against cadmium stress various levels of Si were used. Due to Cd stress, the dry and fresh biomass of wheat plants, as well as leaf area were significantly reduced (Table 1). Cadmium stress significantly reduced the seedling fresh weight (55.33%), the seedling dry weight (54.11%) and the leaf area (46.80%) compared to those pots where no metal stress and only distilled water was applied (non-stressed control). In comparison to the stressed control pots that did not receive Si supplementation, 4.50 mM Si as the most promising level enhanced the seedling fresh weight (35.34%), the seedling dry weight (25.00%) and the leaf area (39.09%). However, both silicate compounds showed statistically non-significant results for these growth attributes.
Table 1.
Effect of various treatments of silicon on wheat growth under cadmium stress.
3.2. Non-Enzymatic Antioxidant and Physio-Biochemical Attributes
Impairment occurred on the physio-biochemical attributes (e.g., photosynthetic rate (A), stomata conductance (gs), transpiration rate (E), chlorophyll contents and water use efficiency (WUE)) as affected by Cd stress was depicted in Figure 1. The difference between the values of all the physio-biochemical attributes of wheat plants supplemented with Si showed statistically significant results. As the range of the photosynthetic rate (5.54–13.33), the rate of transpiration (3.01–6.73), the stomatal conductance (0.18–0.51), the chlorophyll contents (2.59–4.47) and the water use efficiency (1.84–2.07), and the minimum value was observed in Cd stressed-plants. In comparison with the non-stressed control, Cd stress reduced the photosynthetic rate (37.29%), the rate of transpiration (37.28%), the stomatal conductance (38.09%) and the chlorophyll contents (14.13%). The tolerance to Cd stress was improved by the Si supplementation. The highest influences in all the physio-biochemical attributes were noticed in 4.50 mM Si supplementation under Cd stress. At 4.50 mM Si, as the most promising level, increases in the photosynthetic rate (45.77%), rate of transpiration (38.60%), stomatal conductance (42.85%), chlorophyll contents (45.77%) and water use efficiency (7.77%) were observed compared to the relevant control plants.

Figure 1.
Effect of various treatments of silicon on wheat photosynthetic attributes under cadmium stress; the values reported are means of triplicates. Bars show the standard error (SE) between replicates. (a) Photosynthetic Rate (µmol CO2 m−2 s−1); (b) Transpiration Rate (mmol H2O m−2 s−1); (c) Stomatal Conductance (mmol H2O m−2 s−1); (d) Chlorophyll contents (mg L−1).
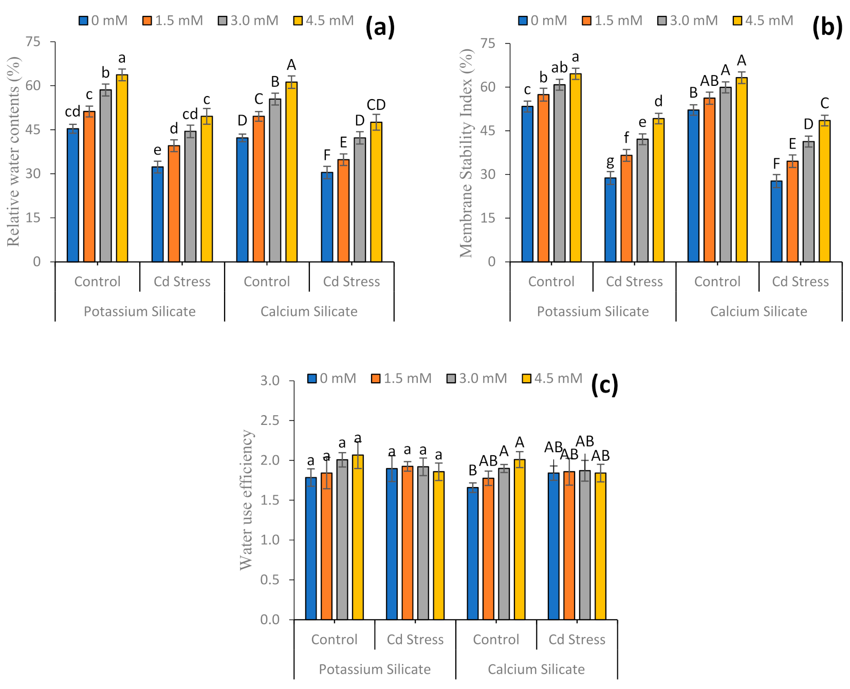
The findings regarding the tissue health (RWC, MSI, EL and MDA contents) are shown in Figure 2 and Figure 3. The relative water contents were decreased by Cd stress. Compared to those pots where no metal stress and only distilled water was applied (non-stressed control), RWC was decreased (24.90%) by Cd stress. However, as compared with the non-stressed control exogeneous application of Si, the RWC increased. In addition, the highest increase in RWC (47.71%) was recorded in the 4.50 mM Si treatment (most promising level) under Cd stress. A considerable regression in the MSI of wheat seedlings was noticed under Cd stress. The maximum range was observed in stressed control plants. Despite this, when compared to the control (non-stressed), the MSI was improved with the exogeneous application of Si. The maximum increase in the MSI (39.18%) was noticed at the 4.50 mM application of Si compared to the control (stressed). The MDA contents and EL were statistically improved under Cd stress to non-stressed control. Increases in EL (129.12%) and MDA (41.25%) occurred under Cd stress. Moreover, the exogeneous supplementation of Si decreased the EL (62.41%) and MDA (22.72%) at 4.50 mM Si treatment under Cd stress.
Figure 2.
Effect of various treatments of silicon on wheat osmoprotectants and antioxidants under cadmium stress; the values reported are means of triplicates. Bars show the standard error (SE) between replicates. (a) Ascorbic acid (μmol g−1 dry weight); (b) Total soluble sugars (mg g−1 dry weight); (c) Free proline (μg g−1 dry weight); (d) Glutathione (μmo g−1 dry weight); (e) Electrolyte Leakage (%); (f) MDA (nmol g−1 fresh weight).
Figure 3.
Effect of various treatments of silicon on wheat relative water contents (%), membrane stability index (%) and water use efficiency under cadmium stress; the values reported are means of triplicates. Bars show the standard error (SE) between replicates. Different Lettering indicates the significant difference between treatments. (a) Relative water contents (%); (b) Membrane Stability Index (%); (c) Water use efficiency.
The GSH contents, AsA, total soluble sugars and proline in wheat plants were significantly affected by Cd stress, as shown in Figure 2. In contrast to the non-stressed control, all Si treatments resulted in greater increases in all non-enzymatic antioxidants. The maximum mean values of all non-enzymatic antioxidants were obtained when the exogeneous application of 4.50 mM Si was conducted. By the application of 4.50 mM Si, the total soluble sugars, proline, AsA and GSH contents increased by 40.76%, 53.55%, 23.17% and 59.25%, respectively, under Cd stress. The decreasing order for silicate compounds was potassium silicate > calcium silicate.
3.3. Enzymatic Antioxidant Attributes
In comparison with the control (non-stressed), enzymatic activities [e.g., SOD, peroxidase (POD) and catalase (CAT)] in stressed plants were stimulated under the Cd stress (Table 2). The highest enzyme activities under Cd stress were increased as SOD by 77.18%, CAT by 76.95% and POD by 108.33% as compared to those pots where no metal stress and only distilled water was applied. In addition, the exogeneous application of 4.50 mM Si improved the SOD, POD and CAT activities by 23.91%, 32.01% and 69.76%, respectively, under Cd stress. Potassium silicate proved to have a better response as compared to the calcium silicate.
Table 2.
Effect of various treatments of silicon on wheat’s enzymatic antioxidant activities under cadmium stress.
3.4. Cadmium and Silicon Contents in Plant Parts
An analysis of variance showed that heavy metal stress and silicate chemicals significantly affected the Cd and Si concentration in the roots and leaves of wheat plants (Table 3). When compared to non-stressed controls, cadmium concentrations were highest in the roots and leaves in stressed plants, with a maximum concentration in the roots portion than in the leaves. In comparison to Cd stress, Si supplementation greatly decreased the accumulation of Cd in both leaves and roots. In comparison with control plants, the Si supplementation at the rate of 4.50 mM was the most promising level that minimized the Cd concentration significantly in both leaves and roots under Cd stress.
Table 3.
Effect of various treatments of silicon on cadmium and silicon contents in wheat plants grown under cadmium stress.
4. Discussion
4.1. Plants Growth and Biomass
There are variety of stressors that limit the growth and overall productivity of field crops in any agricultural system. Due to the beneficial effects of silicon (Si) on mineral nutrition, it plays an imperative role in growth and thus plants’ resilience against metal stress [39,40]. Silicon can stimulate plant resistance against metal stress by stimulating a lot of potential mechanisms [41,42]. The findings of the current investigation revealed that Cd stress significantly affected the fresh and dry biomass and leaf area of wheat plants. The reduction in plant biomass in a similar way due to Cd stress was demonstrated in many studies such as in oilseed crops such as nut, cotton, Indian mustard, rapeseed [24], cotton [43] and rice [44]. By the application of Si, growth attributes were increased. These growth enhancements were more promising when the exogeneous Si application was performed at the rate of 4.50 mM Si than other Si treatments. Under Cd stress, Si may have improved the photosynthesis rate, which is linked to leaf ultrastructure, chlorophyll contents and ribulose biphosphate carboxylase activity [45,46,47]. In the current investigation, the decrease in Cd concentrations by increasing the Si concentration in wheat tissues might be the reasons behind the improvement of wheat biomass and leaf area (Table 3). This lead to the enhancement of photosynthesis and improved defensive mechanism of wheat plants (Figure 1) as well as improved the vigor and growth of wheat plants (Table 1).
4.2. Physiological and Biochemical Parameters
Cadmium stress lowers the plant’s physiological and biochemical activities because of the nutritional imbalance, osmotic stress and metal toxicity [48,49,50,51]. Our results have depicted that the application of Si alleviated the Cd stress (Figure 1). In wheat, the application of Si maximized water uptake and improved stomatal conductance [4,52]. In this study, under Cd stress, the application of Si improved photosynthesis, which resulted in enhanced WUE (Figure 3). Ming et al. [53] have documented that the mitigation of damages by Cd stress was improved by the Si in photosynthesis. Furthermore, with the addition of Si, the defense of antioxidant enzymes, which are involved in photosynthesis, have improved, reducing the oxidative damage to these enzymes. Improvement in chlorophyll concentration in wheat might be due to the active involvement of Si in enhancing the light use efficiency of the field crops [46].
4.3. Relative Water Contents and Electrolyte Leakage
To evaluate the water balance in the plant leaves assessment of RWC is the common tool. A good status of RWC in cells and tissues confers the better metabolic activity [54]. Present investigation revealed that Cd stress significantly suppressed the RWC of wheat plants (Figure 3). However, the supplementation of Si could alleviate Cd stress by depicting the maximum value of WUE. Under Cd stress, the exogeneous supplementation of Si to plants lowered the EL in plant tissues. These findings showed that in stressed plants, foliar-applied Si might support the membrane stability as compared to control (non-stressed) [55]. Kim et al. [7] documented that any abiotic stress causes maximum electrolyte leakage that might be caused by lower increase in linolenic acid and decrease in linoleic acid. However, Si treated plants showed less harm to membranes that limits the leakage as compared with stressed control. In our study, electrolyte leakage enhanced under Cd stress. Additionally, this effect was diminished with Si application. In addition, the maximum alleviation of Cd stress was observed at the 4.50 mM Si level. Reactive oxygen species (ROS) overproduction is an another significant process because of metal contamination in higher plants, e.g., higher lipid peroxidation contents [56]. These results are supported by various reports such as in grapevine rootstock and maize. Mahmood and Malik [57] have reported that the application of Si lowers the malondialdehyde (MDA) content (Figure 2). Therefore, the application of Si may help to lower the permeability and integrity of cell membranes maintenance [56].
4.4. Enzymatic and Non-Enzymatic Antioxidants
The accumulation and synthesis of various compatible solutes and osmolytes are considered as a vital protective mechanism for those plants which are grown under metal stress condition [51]. Osmoprotectants as proline and accumulation of sugar while AsA and GSH under metal stress defend plant cells by vacuolar adjustment and balancing the cytosol [58]. In the present investigation, application of Si enhanced sugars accumulation, proline, AsA and GSH. However, for the Cd stress, these increased accumulations peaked at 4.50 mM Si (Figure 2). Rizwan et al. [59] have documented that exogenous application of Si may increase tolerance to various abiotic stress through adjusting osmotic potential and enhancing the osmolyte contents in crop plants. In our research, we discovered that the application of Si increased total soluble sugars, AsA and GSH concentrations (Figure 2). Li et al. [60] reported that the exogenous application of GSH alleviated the Cd toxicity in wheat plants. Khan et al. [61] and Anjum et al. [62] revealed that sulfur and selenium improved GSH contents in wheat that further reduced the Cd toxicity in wheat plants, which might be phytochelatin associated with GSH. For enhancing the plant tolerance to oxidative stress, the application of Si may be a useful approach that improves the plant’s antioxidant defense and osmolytes [7,63].
In addition to other mechanisms, to cope with abiotic stresses, plants have a well-developed self-defensive mechanisms including the enzymatic antioxidants [42]. The foliar-applied Si enhanced the SOD, CAT and POD activities compared to those pots where no metal stress and only distilled water was applied (non-stressed control) (Table 2). The lower level of antioxidant enzyme activities in control might be due to the increased stress in wheat plants. In the presence of Cd and Si, the increased production of antioxidant enzymes may be due to the increased tolerance of wheat plants. The maximum production of enzymatic antioxidants by the foliar-applied Si has been observed in pea seedlings under Cr stress [54], maize under As stress [39] and in seedlings of rice under the stress of Cd [8].
4.5. Cadmium and Si Accumulation
Silicon treatments caused a reduction in the Cd concentration in the various portions of wheat plants under Cd stress. These findings demonstrate that Si restricts the uptake of Cd ions by roots and confines their movement into the leaves of wheat. Likewise, similar outcomes are reported on the alfalfa crop [55]. The enhancement of plant tolerance to Cd might be ascribed to decrease the transport of Cd and additionally because of plant tolerance improvement [8]. In the findings of current study, foliar-applied Si at the rate of 4.50 mM significantly reduced the Cd accumulation in seedlings of wheat in comparison with the respective control plants. However, with Si implementation, the roots showed higher accumulation of Cd contents than the leaves. Silicon reduced Cd uptake or movements from roots to leaves by enhancing plant tolerance against Cd stress [59]. Additionally, a study depicted that Si application decreased the Cd accumulation in different parts of garlic plant; however, the Cd accumulation was higher in roots as compared to the shoot and bulb [8]. When compared to an unstressed control, the Si content in roots and leaves was reduced under Cd stress conditions. The roots had a greater reduction in Si content than the leaves [25]. Increased Si contents in plants reduced the uptake of Cd, and further research is needed to learn more about how Si affects Cd uptake and translocation in plants.
5. Conclusions
Our findings revealed that Si potassium silicate enhanced growth parameters and effectively alleviated the effects of Cd stress. Under Cd stress, the supplementation of potassium silicate showed the activation of endogenous defense systems in plants compared with calcium silicate. Plants treated with Si supplementation showed more tolerance to Cd stress through the improvement in non-enzymatic and enzymatic antioxidant activities accompanied with a decrease in MDA activity. The Si supplement provided higher growth, physiological attributes, tissue water and MSI under Cd stress conditions and had limited electrolyte leakage compared to those without Si. Thus, 4.50 mM potassium silicate was usually successful in alleviating the conditions of Cd stress.
Author Contributions
Conceptualization, Z.A.; data curation, Q.u.Z., A.H. and M.A.; formal analysis, A.O.H.; funding acquisition, M.H.A., A.A. and S.A.; investigation, A.O.H., A.H. and M.A.; methodology, A.O.H.; project administration, Q.u.Z., M.H.S. and S.A.; resources, Q.u.Z., M.H.A., A.A. and S.A.; software, Q.u.Z., Z.A., A.H., M.A. and A.A.; supervision, Q.u.Z.; validation, M.A., M.H.S., M.H.A., A.A. and S.A.; visualization, A.O.H., A.A. and S.A.; writing—original draft, A.O.H., Q.u.Z., A.H. and M.H.S.; writing—review and editing, Z.A., A.H., M.H.S., M.H.A. and S.A. All authors have read and agreed to the published version of the manuscript.
Funding
The authors would like to express their deepest gratitude to the Higher Education Commission (HEC), Pakistan, the University of Lahore. The authors would like to express their deepest gratitude to University of Tabuk, for the technical and financial support for this study.
Institutional Review Board Statement
Not applicable.
Informed Consent Statement
Not applicable.
Data Availability Statement
Not applicable.
Acknowledgment
The authors would like to express their deepest gratitude to University of Tabuk, for the technical and financial support for this study.
Conflicts of Interest
The authors declare that there are no conflict of interest.
References
- Tariq, F.; Wang, X.; Saleem, M.H.; Khan, Z.I.; Ahmad, K.; Saleem Malik, I.; Munir, M.; Mahpara, S.; Mehmood, N.; Ahmad, T.; et al. Risk Assessment of Heavy Metals in Basmati Rice: Implications for Public Health. Sustainability 2021, 13, 8513. [Google Scholar] [CrossRef]
- Mao, C.; Song, Y.; Chen, L.; Ji, J.; Li, J.; Yuan, X.; Yang, Z.; Ayoko, G.A.; Frost, R.L.; Theiss, F. Human health risks of heavy metals in paddy rice based on transfer characteristics of heavy metals from soil to rice. Catena 2019, 175, 339–348. [Google Scholar] [CrossRef]
- Zaheer, I.E.; Ali, S.; Saleem, M.H.; Noor, I.; El-Esawi, M.A.; Hayat, K.; Rizwan, M.; Abbas, Z.; El-Sheikh, M.A.; Alyemeni, M.N. Iron–Lysine Mediated Alleviation of Chromium Toxicity in Spinach (Spinacia oleracea L.) Plants in Relation to Morpho-Physiological Traits and Iron Uptake When Irrigated with Tannery Wastewater. Sustainability 2020, 12, 6690. [Google Scholar] [CrossRef]
- Aziz, H.; Wang, X.; Murtaza, G.; Ashar, A.; Hussain, S.; Abid, M.; Murtaza, B.; Saleem, M.H.; Fiaz, S.; Ali, S. Evaluation of Compost and Biochar to Mitigate Chlorpyrifos Pollution in Soil and Their Effect on Soil Enzyme Dynamics. Sustainability 2021, 13, 9695. [Google Scholar] [CrossRef]
- Kusvuran, S.; Kiran, S.; Ellialtioglu, S.S. Antioxidant Enzyme Activities and Abiotic Stress Tolerance Relationship in Vegetable Crops. In Abiotic and Biotic Stress in Plants—Recent Advances and Future Perspectives, 1st ed.; InTech: Rijeka, Croatia, 2016; pp. 481–503. [Google Scholar]
- Rigby, H.; Smith, S.R. The significance of cadmium entering the human food chain via livestock ingestion from the agricultural use of biosolids, with special reference to the UK. Environ. Int. 2020, 143, 105844. [Google Scholar] [CrossRef]
- Kim, Y.-H.; Khan, A.L.; Lee, I.-J. Silicon: A duo synergy for regulating crop growth and hormonal signaling under abiotic stress conditions. Crit. Rev. Biotechnol. 2016, 36, 1099–1109. [Google Scholar] [CrossRef]
- Javed, M.T.; Saleem, M.H.; Aslam, S.; Rehman, M.; Iqbal, N.; Begum, R.; Ali, S.; Alsahli, A.A.; Alyemeni, M.N.; Wijaya, L. Elucidating silicon-mediated distinct morpho-physio-biochemical attributes and organic acid exudation patterns of cadmium stressed Ajwain (Trachyspermum ammi L.). Plant Physiol. Biochem. 2020, 157, 23–37. [Google Scholar] [CrossRef]
- Shah, V.; Daverey, A. Effects of sophorolipids augmentation on the plant growth and phytoremediation of heavy metal contaminated soil. J. Clean. Prod. 2021, 280, 124406. [Google Scholar] [CrossRef]
- Chen, L.; Hu, W.-f.; Long, C.; Wang, D. Exogenous plant growth regulator alleviate the adverse effects of U and Cd stress in sunflower (Helianthus annuus L.) and improve the efficacy of U and Cd remediation. Chemosphere 2021, 262, 127809. [Google Scholar] [CrossRef]
- Rizwan, M.; Ali, S.; Hussain, A.; Ali, Q.; Shakoor, M.B.; Zia-ur-Rehman, M.; Farid, M.; Asma, M. Effect of zinc-lysine on growth, yield and cadmium uptake in wheat (Triticum aestivum L.) and health risk assessment. Chemosphere 2017, 187, 35–42. [Google Scholar] [CrossRef]
- Hussain, A.; Rizwan, M.; Ali, Q.; Ali, S. Seed priming with silicon nanoparticles improved the biomass and yield while reduced the oxidative stress and cadmium concentration in wheat grains. Environ. Sci. Pollut. Res. 2019, 26, 7579–7588. [Google Scholar] [CrossRef]
- Hussain, A.; Rizwan, M.; Ali, S.; ur Rehman, M.Z.; Qayyum, M.F.; Nawaz, R.; Ahmad, A.; Asrar, M.; Ahmad, S.R.; Alsahli, A.A. Combined use of different nanoparticles effectively decreased cadmium (Cd) concentration in grains of wheat grown in a field contaminated with Cd. Ecotoxicol. Environ. Saf. 2021, 215, 112139. [Google Scholar] [CrossRef]
- Beres, B.L.; Hatfield, J.L.; Kirkegaard, J.A.; Eigenbrode, S.D.; Pan, W.L.; Lollato, R.P.; Hunt, J.R.; Strydhorst, S.; Porker, K.; Lyon, D. Towards a better understanding of Genotype × Environment × Management interactions—A global Wheat Initiative agronomic research strategy. Front. Plant Sci. 2020, 11, 828. [Google Scholar] [CrossRef]
- Pequeno, D.N.L.; Hernandez-Ochoa, I.M.; Reynolds, M.; Sonder, K.; Molero-Milan, A.; Robertson, R.; Lopes, M.d.S.S.; Xiong, W.; Kropff, M.; Asseng, S. Climate impact and adaptation to heat and drought stress of regional and global wheat production. Environ. Res. Lett. 2021, 16, 54070. [Google Scholar] [CrossRef]
- Irfan, M.; Hayat, S.; Ahmad, A.; Alyemeni, M.N. Soil cadmium enrichment: Allocation and plant physiological manifestations. Saudi J. Biol. Sci. 2013, 20, 1–10. [Google Scholar] [CrossRef]
- Kelkar, D.S.; Kumar, D.; Kumar, P.; Balakrishnan, L.; Muthusamy, B.; Yadav, A.K.; Shrivastava, P.; Marimuthu, A.; Anand, S.; Sundaram, H. Proteogenomic analysis of Mycobacterium tuberculosis by high resolution mass spectrometry. Mol. Cell. Proteom. 2011, 10, M111.011445. [Google Scholar] [CrossRef] [Green Version]
- Rizwan, M.; Meunier, J.-D.; Davidian, J.-C.; Pokrovsky, O.; Bovet, N.; Keller, C. Silicon alleviates Cd stress of wheat seedlings (Triticum turgidum L. cv. Claudio) grown in hydroponics. Environ. Sci. Pollut. Res. 2016, 23, 1414–1427. [Google Scholar] [CrossRef]
- Ali, A.; Guo, D.; Li, Y.; Shaheen, S.M.; Wahid, F.; Antoniadis, V.; Abdelrahman, H.; Al-Solaimani, S.G.; Li, R.; Tsang, D.C. Streptomyces pactum addition to contaminated mining soils improved soil quality and enhanced metals phytoextraction by wheat in a green remediation trial. Chemosphere 2021, 273, 129692. [Google Scholar] [CrossRef]
- Zhou, J.; Zhang, C.; Du, B.; Cui, H.; Fan, X.; Zhou, D.; Zhou, J. Soil and foliar applications of silicon and selenium effects on cadmium accumulation and plant growth by modulation of antioxidant system and Cd translocation: Comparison of soft vs. durum wheat varieties. J. Hazard. Mater. 2021, 402, 123546. [Google Scholar] [CrossRef]
- Hu, B.; Xue, J.; Zhou, Y.; Shao, S.; Fu, Z.; Li, Y.; Chen, S.; Qi, L.; Shi, Z. Modelling bioaccumulation of heavy metals in soil-crop ecosystems and identifying its controlling factors using machine learning. Environ. Pollut. 2020, 262, 114308. [Google Scholar] [CrossRef]
- Greger, M.; Kabir, A.H.; Landberg, T.; Maity, P.J.; Lindberg, S. Silicate reduces cadmium uptake into cells of wheat. Environ. Pollut. 2016, 211, 90–97. [Google Scholar] [CrossRef] [PubMed]
- Ali, S.; Rizwan, M.; Hussain, A.; ur Rehman, M.Z.; Ali, B.; Yousaf, B.; Wijaya, L.; Alyemeni, M.N.; Ahmad, P. Silicon nanoparticles enhanced the growth and reduced the cadmium accumulation in grains of wheat (Triticum aestivum L.). Plant Physiol. Biochem. 2019, 140, 1–8. [Google Scholar] [CrossRef] [PubMed]
- Fahad, S.; Hussain, S.; Matloob, A.; Khan, F.A.; Khaliq, A.; Saud, S.; Hassan, S.; Shan, D.; Khan, F.; Ullah, N. Phytohormones and plant responses to salinity stress: A review. Plant Growth Regul. 2015, 75, 391–404. [Google Scholar] [CrossRef]
- Silva, A.; Nascimento, C.; Gouveia-Neto, A. Assessment of cadmium phytotoxicity alleviation by silicon using chlorophyll a fluorescence. Photosynthetica 2017, 55, 648–654. [Google Scholar] [CrossRef]
- Putko, P.; Kwaśny, M. Bioavailable silicon forms in dietary supplements. Biul. Wojsk. Akad. Tech. 2020, 69, 35–41. [Google Scholar]
- Gill, R.A.; Zang, L.; Ali, B.; Farooq, M.A.; Cui, P.; Yang, S.; Ali, S.; Zhou, W. Chromium-induced physio-chemical and ultrastructural changes in four cultivars of Brassica napus L. Chemosphere 2015, 120, 154–164. [Google Scholar] [CrossRef]
- Hussain, A.; Ali, S.; Rizwan, M.; ur Rehman, M.Z.; Hameed, A.; Hafeez, F.; Alamri, S.A.; Alyemeni, M.N.; Wijaya, L. Role of zinc–lysine on growth and chromium uptake in rice plants under Cr stress. J. Plant Growth Regul. 2018, 37, 1413–1422. [Google Scholar] [CrossRef]
- Ahmad, R.; Ali, S.; Rizwan, M.; Dawood, M.; Farid, M.; Hussain, A.; Wijaya, L.; Alyemeni, M.N.; Ahmad, P. Hydrogen sulfide alleviates chromium stress on cauliflower by restricting its uptake and enhancing antioxidative system. Physiol. Plant. 2020, 168, 289–300. [Google Scholar] [CrossRef] [Green Version]
- Nagata, M.; Yamashita, I. Simple method for simultaneous determination of chlorophyll and carotenoids in tomato fruit. Nippon Shokuhin Kogyo Gakkaishi 1992, 39, 925–928. [Google Scholar] [CrossRef] [Green Version]
- Lutts, S.; Guerrier, G. Peroxidase activities of two rice cultivars differing in salinity tolerance as affected by proline and NaCl. Biol. Plant. 1995, 37, 577–586. [Google Scholar] [CrossRef]
- Bates, L.S.; Waldren, R.P.; Teare, I. Rapid determination of free proline for water-stress studies. Plant Soil 1973, 39, 205–207. [Google Scholar] [CrossRef]
- Zhang, W.; Wang, C.; Lu, T.; Zheng, Y. Cooperation between arbuscular mycorrhizal fungi and earthworms promotes the physiological adaptation of maize under a high salt stress. Plant Soil 2018, 423, 125–140. [Google Scholar] [CrossRef]
- Irigoyen, J.; Einerich, D.; Sánchez-Díaz, M. Water stress induced changes in concentrations of proline and total soluble sugars in nodulated alfalfa (Medicago sativd) plants. Physiol. Plant. 1992, 84, 55–60. [Google Scholar] [CrossRef]
- Mukherjee, S.; Choudhuri, M. Implications of water stress-induced changes in the levels of endogenous ascorbic acid and hydrogen peroxide in Vigna seedlings. Physiol. Plant. 1983, 58, 166–170. [Google Scholar] [CrossRef]
- Griffith, O.W. Determination of glutathione and glutathione disulfide using glutathione reductase and 2-vinylpyridine. Anal. Biochem. 1980, 106, 207–212. [Google Scholar] [CrossRef]
- Chance, B.; Maehly, A. Assay of catalases and peroxidases. Methods Enzymol. 1955, 2, 764–775. [Google Scholar]
- Rady, M.M. Effect of 24-epibrassinolide on growth, yield, antioxidant system and cadmium content of bean (Phaseolus vulgaris L.) plants under salinity and cadmium stress. Sci. Hortic. 2011, 129, 232–237. [Google Scholar] [CrossRef]
- Treder, W.; Cieslinski, G. Effect of silicon application on cadmium uptake and distribution in strawberry plants grown on contaminated soils. J. Plant Nutr. 2005, 28, 917–929. [Google Scholar] [CrossRef]
- Jia, H.; Hou, D.; O’Connor, D.; Pan, S.; Zhu, J.; Bolan, N.S.; Mulder, J. Exogenous phosphorus treatment facilitates chelation-mediated cadmium detoxification in perennial ryegrass (Lolium perenne L.). J. Hazard. Mater. 2020, 389, 121849. [Google Scholar] [CrossRef]
- Bent, E. Silicon Solutions. Bone 2008, 43, 596–606. [Google Scholar]
- Xu, L.; Zeng, W.; Li, J.; Liu, H.; Yan, G.; Si, P.; Yang, C.; Shi, Y.; He, Q.; Zhou, W. Characteristics of membrane-bound fatty acid desaturase (FAD) genes in Brassica napus L. and their expressions under different cadmium and salinity stresses. Environ. Exp. Bot. 2019, 162, 144–156. [Google Scholar] [CrossRef]
- Bharwana, S.A.; Ali, S.; Farooq, M.A.; Iqbal, N.; Hameed, A.; Abbas, F.; Ahmad, M.S.A. Glycine betaine-induced lead toxicity tolerance related to elevated photosynthesis, antioxidant enzymes suppressed lead uptake and oxidative stress in cotton. Turk. J. Bot. 2014, 38, 281–292. [Google Scholar] [CrossRef]
- Li, N.; Feng, A.; Liu, N.; Jiang, Z.; Wei, S. Silicon application improved the yield and nutritional quality while reduced cadmium concentration in rice. Environ. Sci. Pollut. Res. 2020, 27, 20370–20379. [Google Scholar] [CrossRef]
- Hamayun, M.; Sohn, E.-Y.; Khan, S.A.; Shinwari, Z.K.; Khan, A.L.; Lee, I.-J. Silicon alleviates the adverse effects of salinity and drought stress on growth and endogenous plant growth hormones of soybean (Glycine max L.). Pak. J. Bot 2010, 42, 1713–1722. [Google Scholar]
- Adrees, M.; Ali, S.; Rizwan, M.; Zia-ur-Rehman, M.; Ibrahim, M.; Abbas, F.; Farid, M.; Qayyum, M.F.; Irshad, M.K. Mechanisms of silicon-mediated alleviation of heavy metal toxicity in plants: A review. Ecotoxicol. Environ. Saf. 2015, 119, 186–197. [Google Scholar] [CrossRef]
- Ceccarelli, M.; Barthel, F.P.; Malta, T.M.; Sabedot, T.S.; Salama, S.R.; Murray, B.A.; Morozova, O.; Newton, Y.; Radenbaugh, A.; Pagnotta, S.M. Molecular profiling reveals biologically discrete subsets and pathways of progression in diffuse glioma. Cell 2016, 164, 550–563. [Google Scholar] [CrossRef] [Green Version]
- He, J.; Ma, C.; Ma, Y.; Li, H.; Kang, J.; Liu, T.; Polle, A.; Peng, C.; Luo, Z.-B. Cadmium tolerance in six poplar species. Environ. Sci. Pollut. Res. 2013, 20, 163–174. [Google Scholar] [CrossRef]
- Mateos-Naranjo, E.; Andrades-Moreno, L.; Davy, A.J. Silicon alleviates deleterious effects of high salinity on the halophytic grass Spartina densiflora. Plant Physiol. Biochem. 2013, 63, 115–121. [Google Scholar] [CrossRef]
- Zanella, L.; Fattorini, L.; Brunetti, P.; Roccotiello, E.; Cornara, L.; D’Angeli, S.; Della Rovere, F.; Cardarelli, M.; Barbieri, M.; Di Toppi, L.S. Overexpression of AtPCS1 in tobacco increases arsenic and arsenic plus cadmium accumulation and detoxification. Planta 2016, 243, 605–622. [Google Scholar] [CrossRef]
- Rios, J.J.; Martínez-Ballesta, M.C.; Ruiz, J.M.; Blasco, B.; Carvajal, M. Silicon-mediated improvement in plant salinity tolerance: The role of aquaporins. Front. Plant Sci. 2017, 8, 948. [Google Scholar] [CrossRef] [Green Version]
- Chen, M.; Xu, P.; Zeng, G.; Yang, C.; Huang, D.; Zhang, J. Bioremediation of soils contaminated with polycyclic aromatic hydrocarbons, petroleum, pesticides, chlorophenols and heavy metals by composting: Applications, microbes and future research needs. Biotechnol. Adv. 2015, 33, 745–755. [Google Scholar] [CrossRef] [PubMed]
- Ming, D.; Pei, Z.; Naeem, M.; Gong, H.; Zhou, W. Silicon alleviates PEG-induced water-deficit stress in upland rice seedlings by enhancing osmotic adjustment. J. Agron. Crop Sci. 2012, 198, 14–26. [Google Scholar] [CrossRef]
- Slabbert, M.; Krüger, G. Antioxidant enzyme activity, proline accumulation, leaf area and cell membrane stability in water stressed Amaranthus leaves. S. Afr. J. Bot. 2014, 95, 123–128. [Google Scholar] [CrossRef] [Green Version]
- Kabir, A.H.; Hossain, M.M.; Khatun, M.A.; Mandal, A.; Haider, S.A. Role of silicon counteracting cadmium toxicity in alfalfa (Medicago sativa L.). Front. Plant Sci. 2016, 7, 1117. [Google Scholar] [CrossRef]
- Coskun, D.; Britto, D.T.; Huynh, W.Q.; Kronzucker, H.J. The role of silicon in higher plants under salinity and drought stress. Front. Plant Sci. 2016, 7, 1072. [Google Scholar] [CrossRef] [Green Version]
- Mahmood, A.; Malik, R.N. Human health risk assessment of heavy metals via consumption of contaminated vegetables collected from different irrigation sources in Lahore, Pakistan. Arab. J. Chem. 2014, 7, 91–99. [Google Scholar] [CrossRef] [Green Version]
- Ranieri, A.; Castagna, A.; Scebba, F.; Careri, M.; Zagnoni, I.; Predieri, G.; Pagliari, M.; di Toppi, L.S. Oxidative stress and phytochelatin characterisation in bread wheat exposed to cadmium excess. Plant Physiol. Biochem. 2005, 43, 45–54. [Google Scholar] [CrossRef]
- Rizwan, M.; Ali, S.; Ibrahim, M.; Farid, M.; Adrees, M.; Bharwana, S.A.; Zia-ur-Rehman, M.; Qayyum, M.F.; Abbas, F. Mechanisms of silicon-mediated alleviation of drought and salt stress in plants: A review. Environ. Sci. Pollut. Res. 2015, 22, 15416–15431. [Google Scholar] [CrossRef]
- Li, G.Z.; Chen, S.J.; Li, N.Y.; Wang, Y.Y.; Kang, G.Z. Exogenous Glutathione Alleviates Cadmium Toxicity in Wheat by Influencing the Absorption and Translocation of Cadmium. Bull. Environ. Contam. Toxicol. 2021, 107, 1–7. [Google Scholar] [CrossRef]
- Khan, M.I.R.; Nazir, F.; Asgher, M.; Per, T.S.; Khan, N.A. Selenium and sulfur influence ethylene formation and alleviate cadmium-induced oxidative stress by improving proline and glutathione production in wheat. J. Plant Physiol. 2015, 173, 9–18. [Google Scholar] [CrossRef]
- Anjum, N.A.; Umar, S.; Ahmad, A.; Iqbal, M.; Khan, N.A. Sulphur protects mustard (Brassica campestris L.) from cadmium toxicity by improving leaf ascorbate and glutathione. Plant Growth Regul. 2008, 54, 271–279. [Google Scholar] [CrossRef]
- Liu, J.; Platts-Mills, J.A.; Juma, J.; Kabir, F.; Nkeze, J.; Okoi, C.; Operario, D.J.; Uddin, J.; Ahmed, S.; Alonso, P.L. Use of quantitative molecular diagnostic methods to identify causes of diarrhoea in children: A reanalysis of the GEMS case-control study. Lancet 2016, 388, 1291–1301. [Google Scholar] [CrossRef]
Publisher’s Note: MDPI stays neutral with regard to jurisdictional claims in published maps and institutional affiliations. |
© 2021 by the authors. Licensee MDPI, Basel, Switzerland. This article is an open access article distributed under the terms and conditions of the Creative Commons Attribution (CC BY) license (https://creativecommons.org/licenses/by/4.0/).



