Removal of Fe(III), Cd(II), and Zn(II) as Hydroxides by Precipitation–Flotation System
Abstract
:1. Introduction
2. Materials and Methods
2.1. Reagents
2.2. Precipitation Experiments
2.3. Flotation Test
2.4. Characterization of Samples
3. Results and Discussion
3.1. Chemical Precipitation
3.1.1. Solubility of Precipitates
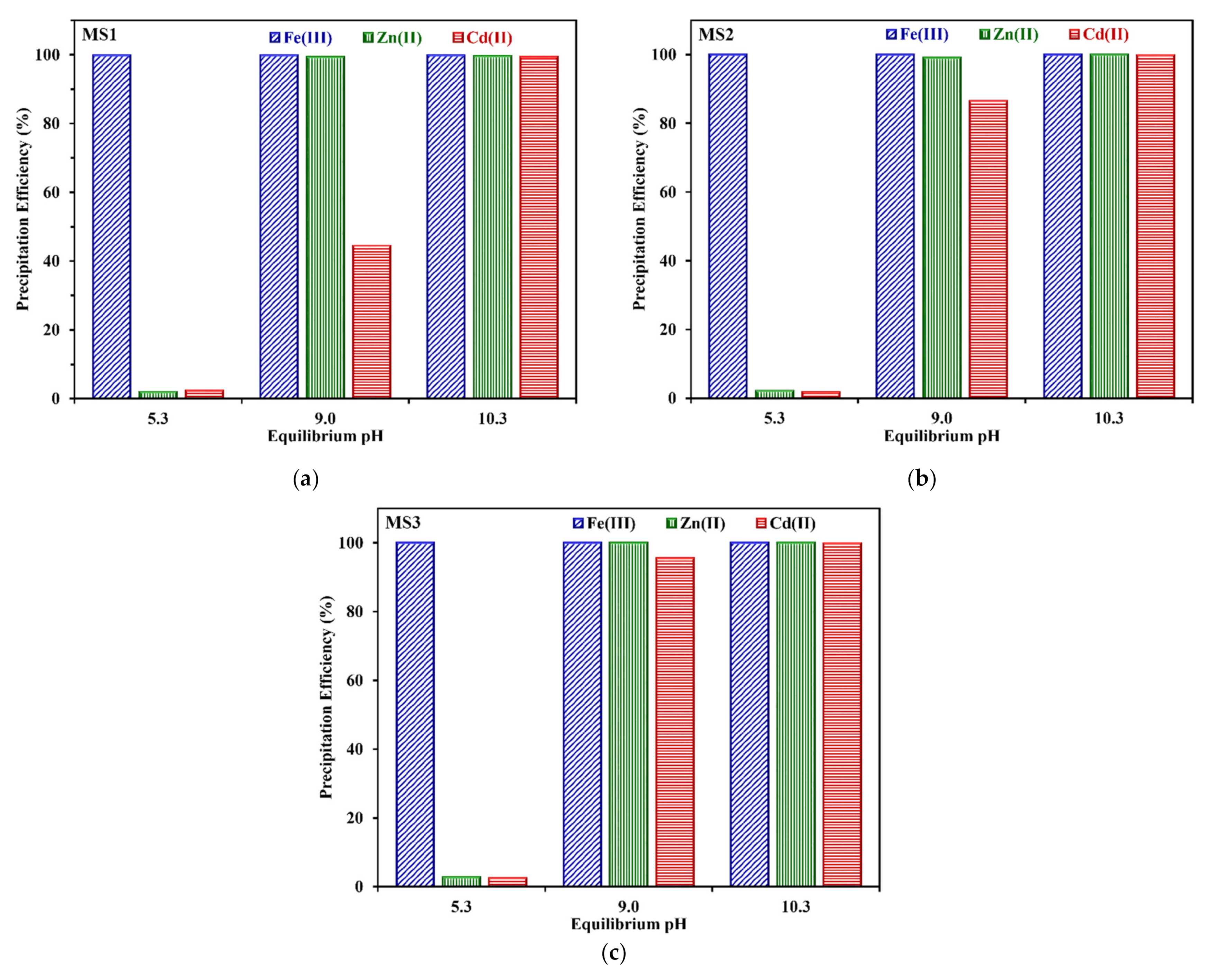
3.1.2. Effect of pH and Initial Concentration for Mixed Metal Ions Solutions on Precipitation Efficiency
3.1.3. Effect of Dosage Rate NaOH on Settling Behavior and Particle Size
3.1.4. Characterization of Precipitates
3.2. Flotation of Precipitates
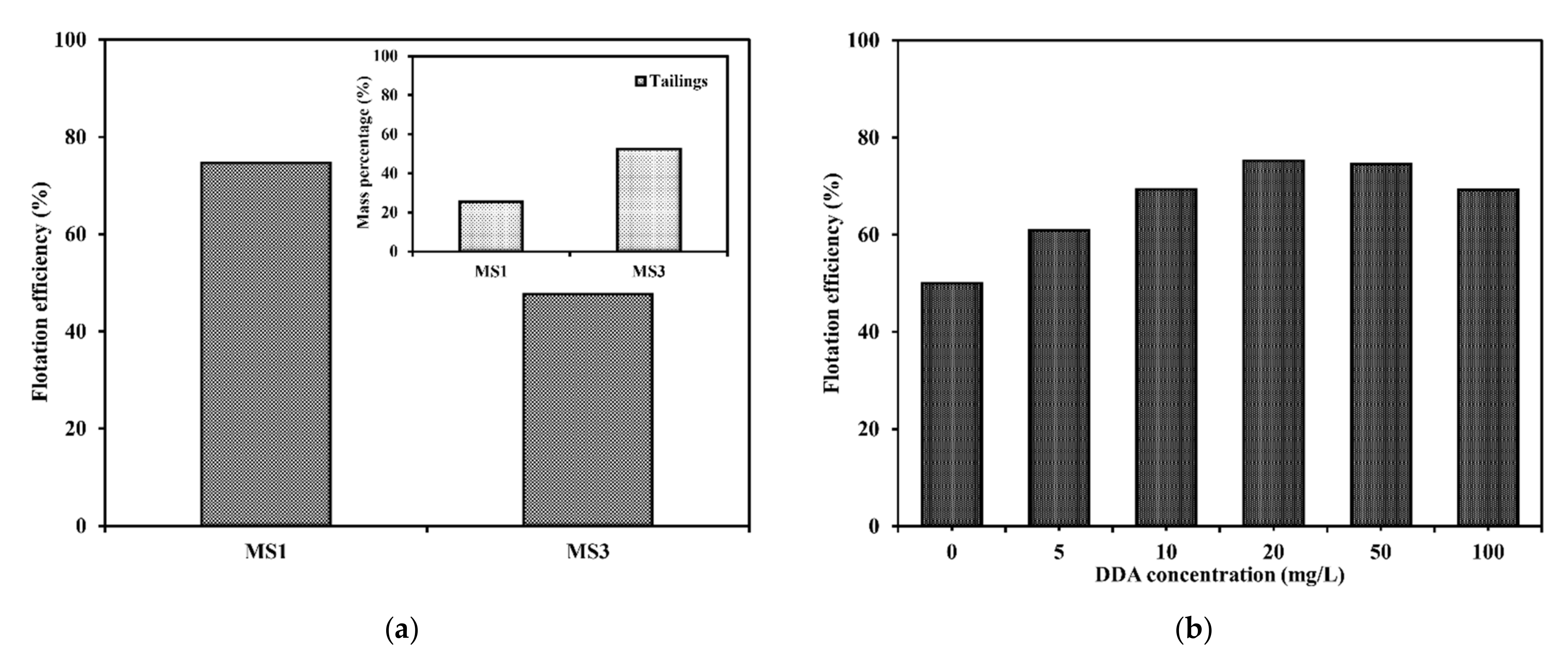
3.2.1. Effect of the Mass of the Precipitates and the Dodecylamine Concentration (DDA)
3.2.2. Characterization of Concentrates and Tailings
4. Conclusions
Author Contributions
Funding
Institutional Review Board Statement
Informed Consent Statement
Data Availability Statement
Acknowledgments
Conflicts of Interest
References
- Comisión Nacional del Agua. Estadisticas del Agua en México; Mexico, 2018. [Google Scholar]
- Aitken, D.; Rivera, D.; Godoy-Faúndez, A.; Holzapfel, E. Water Scarcity and the Impact of the Mining and Agricultural Sectors in Chile. Sustainability 2016, 8, 128. [Google Scholar] [CrossRef] [Green Version]
- Gupta, A.; Yan, D.B.T.-M.P.D.; Second, E.O. (Eds.) Chapter 14—Solid-liquid separation—Thickening. In Mineral Processing Design and Operations; Elsevier: Amsterdam, The Netherlands, 2016; pp. 471–506. ISBN 978-0-444-63589-1. [Google Scholar]
- Zhai, D.; Feng, B.; Guo, Y.; Zhou, X.; Wang, T.; Wang, H. Settling behavior of tungsten tailings using serpentine as flocculant. Sep. Purif. Technol. 2019, 224, 304–307. [Google Scholar] [CrossRef]
- Naidu, G.; Ryu, S.; Thiruvenkatachari, R.; Choi, Y.; Jeong, S.; Vigneswaran, S. A critical review on remediation, reuse, and resource recovery from acid mine drainage. Environ. Pollut. 2019, 247, 1110–1124. [Google Scholar] [CrossRef] [PubMed]
- Skousen, J.G.; Ziemkiewicz, P.F.; McDonald, L.M. Acid mine drainage formation, control and treatment: Approaches and strategies. Extr. Ind. Soc. 2019, 6, 241–249. [Google Scholar] [CrossRef]
- Park, I.; Tabelin, C.B.; Jeon, S.; Li, X.; Seno, K.; Ito, M.; Hiroyoshi, N. A review of recent strategies for acid mine drainage prevention and mine tailings recycling. Chemosphere 2019, 219, 588–606. [Google Scholar] [CrossRef]
- Simate, G.S.; Ndlovu, S. Acid mine drainage: Challenges and opportunities. J. Environ. Chem. Eng. 2014, 2, 1785–1803. [Google Scholar] [CrossRef]
- Nordstrom, D.K.; Bowell, R.J.; Campbell, K.M.; Alpers, C.N. Challenges in recovering resources from acid mine drainage. In Proceedings of the 13th International Mine Water Association Congress — “Mine Water & Circular Economy — A Green Congress”, Lappeenranta, Finland, 25–30 June 2017. [Google Scholar]
- Macingova, E.; Luptakova, A. Recovery of Metals from Acid Mine Drainage. Chem. Eng. Trans. 2012, 28, 109–114. [Google Scholar] [CrossRef]
- Villamar, C.-A.; Vera-Puerto, I.; Rivera, D.; De la Hoz, F. Reuse and Recycling of Livestock and Municipal Wastewater in Chilean Agriculture: A Preliminary Assessment. Water 2018, 10, 817. [Google Scholar] [CrossRef] [Green Version]
- Rahman, M.T.; Kameda, T.; Kumagai, S.; Yoshioka, T. Effectiveness of Mg--Al-layered double hydroxide for heavy metal removal from mine wastewater and sludge volume reduction. Int. J. Environ. Sci. Technol. 2018, 15, 263–272. [Google Scholar] [CrossRef]
- Azimi, A.; Azari, A.; Rezakazemi, M.; Ansarpour, M. Removal of Heavy Metals from Industrial Wastewaters: A Review. ChemBioEng Rev. 2017, 4, 37–59. [Google Scholar] [CrossRef]
- Moodley, I.; Sheridan, C.M.; Kappelmeyer, U.; Akcil, A. Environmentally sustainable acid mine drainage remediation: Research developments with a focus on waste/by-products. Miner. Eng. 2018, 126, 207–220. [Google Scholar] [CrossRef]
- Oncel, M.S.; Muhcu, A.; Demirbas, E.; Kobya, M. A comparative study of chemical precipitation and electrocoagulation for treatment of coal acid drainage wastewater. J. Environ. Chem. Eng. 2013, 1, 989–995. [Google Scholar] [CrossRef]
- Mokone, T.P.; van Hille, R.P.; Lewis, A.E. Effect of solution chemistry on particle characteristics during metal sulfide precipitation. J. Colloid Interface Sci. 2010, 351, 10–18. [Google Scholar] [CrossRef]
- Wang, L.K.; Vaccari, D.A.; Li, Y.; Shammas, N.K. Chemical Precipitation BT—Physicochemical Treatment Processes; Wang, L.K., Hung, Y.-T., Shammas, N.K., Eds.; Humana Press: Totowa, NJ, USA, 2005; pp. 141–197. ISBN 978-1-59259-820-5. [Google Scholar]
- Byambaa, M.; Dolgor, E.; Shiomori, K.; Suzuki, Y. Removal and Recovery of Heavy Metals from Industrial Wastewater by Precipitation and Foam Separation Using Lime and Casein. J. Environ. Sci. Technol. 2018, 11, 1–9. [Google Scholar] [CrossRef] [Green Version]
- Kefeni, K.K.; Msagati, T.A.M.; Mamba, B.B. Acid mine drainage: Prevention, treatment options, and resource recovery: A review. J. Clean. Prod. 2017, 151, 475–493. [Google Scholar] [CrossRef]
- Zhang, X.; Gu, X.; Han, Y.; Parra-Álvarez, N.; Claremboux, V.; Kawatra, S.K. Flotation of Iron Ores: A Review. Miner. Process. Extr. Metall. Rev. 2021, 42, 184–212. [Google Scholar] [CrossRef]
- Matis, K.A.; Mavros, P. Recovery of Metals by Ion Flotation from Dilute Aqueous Solutions. Sep. Purif. Methods 1991, 20, 1–48. [Google Scholar] [CrossRef]
- Gopalratnam, V.C.; Bennett, G.F.; Peters, R.W. Effect of Collector Dosage on Metal Removal by Precipitation/Flotation. J. Environ. Eng. 1992, 118, 923–948. [Google Scholar] [CrossRef]
- Deliyanni, E.A.; Kyzas, G.Z.; Matis, K.A. Various flotation techniques for metal ions removal. J. Mol. Liq. 2017, 225, 260–264. [Google Scholar] [CrossRef]
- Yenial, Ü.; Bulut, G. Examination of flotation behavior of metal ions for process water remediation. J. Mol. Liq. 2017, 241, 130–135. [Google Scholar] [CrossRef]
- Amaral Filho, J.; Azevedo, A.; Etchepare, R.; Rubio, J. Removal of sulfate ions by dissolved air flotation (DAF) following precipitation and flocculation. Int. J. Miner. Process. 2016, 149, 1–8. [Google Scholar] [CrossRef]
- Rubio, J.; Souza, M.L.; Smith, R.W. Overview of flotation as a wastewater treatment technique. Miner. Eng. 2002, 15, 139–155. [Google Scholar] [CrossRef]
- Capponi, F.; Sartori, M.; Souza, M.L.; Rubio, J. Modified column flotation of adsorbing iron hydroxide colloidal precipitates. Int. J. Miner. Process. 2006, 79, 167–173. [Google Scholar] [CrossRef]
- Peleka, E.N.; Gallios, G.P.; Matis, K.A. A perspective on flotation: A review. J. Chem. Technol. Biotechnol. 2018, 93, 615–623. [Google Scholar] [CrossRef]
- Lenter, C.M.; McDonald, L.M.; Skousen, J.G.; Ziemkiewicz, P.F. The effects of sulfate on the physical and chemical properties of actively treated acid mine drainage floc. Mine Water Environ. 2002, 21, 114–120. [Google Scholar] [CrossRef]
- Tang, M.; Wen, S. Effects of Cations/Anions in Recycled Tailing Water on Cationic Reverse Flotation of Iron Oxides. Minerals 2019, 9, 161. [Google Scholar] [CrossRef] [Green Version]
- Wu, H.; Wang, W.; Huang, Y.; Han, G.; Yang, S.; Su, S.; Sana, H.; Peng, W.; Cao, Y.; Liu, J. Comprehensive evaluation on a prospective precipitation-flotation process for metal-ions removal from wastewater simulants. J. Hazard. Mater. 2019, 371, 592–602. [Google Scholar] [CrossRef] [PubMed]
- Wu, H.; Huang, Y.; Liu, B.; Han, G.; Su, S.; Wang, W.; Yang, S.; Xue, Y.; Li, S. An efficient separation for metal-ions from wastewater by ion precipitate flotation: Probing formation and growth evolution of metal-reagent flocs. Chemosphere 2021, 263, 128363. [Google Scholar] [CrossRef]
- Fang, D.; Wang, Y.; Liu, H.; Zhang, H.; Ye, X.; Li, Q.; Li, J.; Wu, Z. Efficient extraction of Rb+ and Cs+ by a precipitation flotation process with ammonium phosphowolframate as precipitant. Colloids Surf. A Physicochem. Eng. Asp. 2021, 608, 125581. [Google Scholar] [CrossRef]
- Acosta, O. Water and Mining BT—Water Policy in Chile; Donoso, G., Ed.; Springer: Cham, Switzerland, 2018; pp. 179–193. ISBN 978-3-319-76702-4. [Google Scholar]
- Puigdomenech, I. Hydra/Medusa Chemical Equilibrium Database and Plotting Software; KTH Royal Institute of Technology: Stockholm, Sweden, 2004. [Google Scholar]
- NMX-AA-004-SCFI-2000 Water Analysis—Determination of Settleable Solids in Natural, Wastewaters, and Wastewaters Treated—Test Method. Secretaría de Comercio y Fomento Económico, 2000.
- Lee, G.; Bigham, J.M.; Faure, G. Removal of trace metals by coprecipitation with Fe, Al and Mn from natural waters contaminated with acid mine drainage in the Ducktown Mining District, Tennessee. Appl. Geochem. 2002, 17, 569–581. [Google Scholar] [CrossRef]
- Zhang, L.; Wu, A.; Wang, H.; Wang, L. Representation of batch settling via fitting a logistic function. Miner. Eng. 2018, 128, 160–167. [Google Scholar] [CrossRef]
- Seo, E.Y.; Cheong, Y.W.; Yim, G.J.; Min, K.W.; Geroni, J.N. Recovery of Fe, Al and Mn in acid coal mine drainage by sequential selective precipitation with control of pH. Catena 2017, 148, 11–16. [Google Scholar] [CrossRef]
- Kang, X.; Xia, Z.; Wang, J.; Yang, W. A novel approach to model the batch sedimentation and estimate the settling velocity, solid volume fraction, and floc size of kaolinite in concentrated solutions. Colloids Surf. A Physicochem. Eng. Asp. 2019, 579, 123647. [Google Scholar] [CrossRef]
- Cornell, R.M.; Giovanoli, R.; Schneider, W. Review of the hydrolysis of iron(III) and the crystallization of amorphous iron(III) hydroxide hydrate. J. Chem. Technol. Biotechnol. 1989, 46, 115–134. [Google Scholar] [CrossRef]
- Baltpurvins, K.A.; Burns, R.C.; Lawrance, G.A.; Stuart, A.D. Effect of pH and Anion Type on the Aging of Freshly Precipitated Iron(III) Hydroxide Sludges. Environ. Sci. Technol. 1996, 30, 939–944. [Google Scholar] [CrossRef]
- Duchoslav, J.; Steinberger, R.; Arndt, M.; Stifter, D. XPS study of zinc hydroxide as a potential corrosion product of zinc: Rapid X-ray induced conversion into zinc oxide. Corros. Sci. 2014, 82, 356–361. [Google Scholar] [CrossRef]
- Oswald, H.R.; Asper, R. Bivalent Metal Hydroxides BT—Preparation and Crystal Growth of Materials with Layered Structures; Lieth, R.M.A., Ed.; Springer: Dordrecht, The Netherlands, 1977; pp. 71–140. ISBN 978-94-017-2750-1. [Google Scholar]
- Oliveira, A.P.A. Controlled Precipitation of Zinc Oxide Particles at Room Temperature. Chem. Mater. 2003, 15, 3202–3207. [Google Scholar] [CrossRef]
- Sánchez-Andrea, I.; Sanz, J.L.; Bijmans, M.F.M.; Stams, A.J.M. Sulfate reduction at low pH to remediate acid mine drainage. J. Hazard. Mater. 2014, 269, 98–109. [Google Scholar] [CrossRef]
- Blais, J.; Djedidi, Z.; Cheikh, R.B.; Tyagi, R.D.; Mercier, G. Metals Precipitation from Effluents: Review. Pract. Period. Hazard. Toxic Radioact. Waste Manag. 2008, 12, 135–149. [Google Scholar] [CrossRef]
- Noh, J.S.; Schwarz, J.A. Estimation of the point of zero charge of simple oxides by mass titration. J. Colloid Interface Sci. 1989, 130, 157–164. [Google Scholar] [CrossRef]
- Dai, Q.; Laskowski, J.S. The Krafft point of dodecylammonium chloride: pH effect. Langmuir 1991, 7, 1361–1364. [Google Scholar] [CrossRef]
- Smith, R.W.; Scott, J.L. Mechanisms of Dodecylamine Flotation of Quartz. Miner. Process. Extr. Metall. Rev. 1990, 7, 81–94. [Google Scholar] [CrossRef]








| Mixed Solution | Metal Ion Concentration × 10−3, mol/L | ||
|---|---|---|---|
| Fe(III) | Zn(II) | Cd(II) | |
| MS1 | 1.29 ± 0.02 | 1.70 ± 0.02 | 0.93 ± 0.01 | 
| MS2 | 6.76 ± 0.19 | 7.79 ± 0.04 | 4.57 ± 0.04 | 
| MS3 | 13.40 ± 0.19 | 15.48 ± 0.08 | 9.03 ± 0.06 | 
| Publisher’s Note: MDPI stays neutral with regard to jurisdictional claims in published maps and institutional affiliations. | 
© 2021 by the authors. Licensee MDPI, Basel, Switzerland. This article is an open access article distributed under the terms and conditions of the Creative Commons Attribution (CC BY) license (https://creativecommons.org/licenses/by/4.0/).
Share and Cite
Zapién Serrano, L.Z.; Ortiz Lara, N.O.; Ríos Vera, R.R.; Cholico-González, D. Removal of Fe(III), Cd(II), and Zn(II) as Hydroxides by Precipitation–Flotation System. Sustainability 2021, 13, 11913. https://doi.org/10.3390/su132111913
Zapién Serrano LZ, Ortiz Lara NO, Ríos Vera RR, Cholico-González D. Removal of Fe(III), Cd(II), and Zn(II) as Hydroxides by Precipitation–Flotation System. Sustainability. 2021; 13(21):11913. https://doi.org/10.3390/su132111913
Chicago/Turabian StyleZapién Serrano, Leonor Zapién, Noemí Ortiz Ortiz Lara, Rafael Ríos Ríos Vera, and Diana Cholico-González. 2021. "Removal of Fe(III), Cd(II), and Zn(II) as Hydroxides by Precipitation–Flotation System" Sustainability 13, no. 21: 11913. https://doi.org/10.3390/su132111913
APA StyleZapién Serrano, L. Z., Ortiz Lara, N. O., Ríos Vera, R. R., & Cholico-González, D. (2021). Removal of Fe(III), Cd(II), and Zn(II) as Hydroxides by Precipitation–Flotation System. Sustainability, 13(21), 11913. https://doi.org/10.3390/su132111913
 
         
                                                

 
       