Experimental Study of the Heat-Transfer Performance of an Extra-Long Gravity-Assisted Heat Pipe Aiming at Geothermal Heat Exploitation
Abstract
:1. Introduction
2. Experimental
2.1. Test Setup
2.2. Experimental Procedure
3. Experimental Results and Analysis
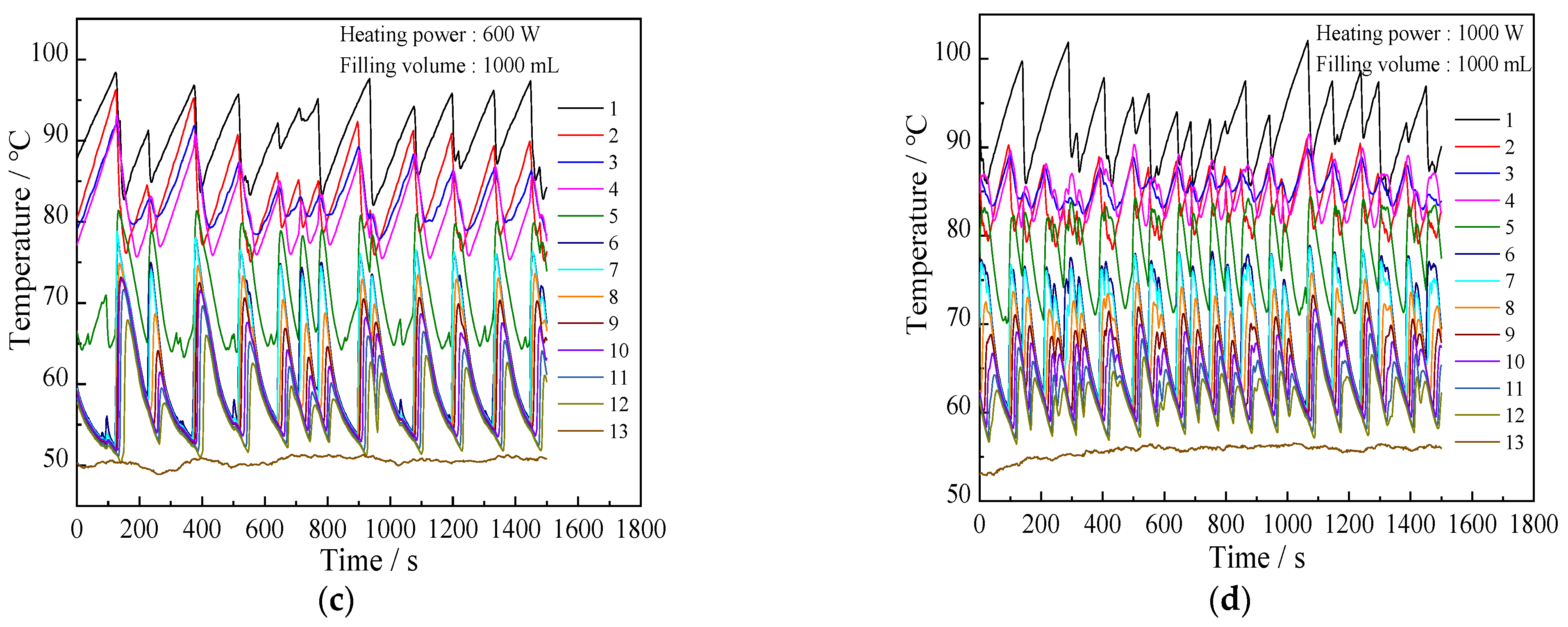
3.1. Energy Balance Analysis
3.2. Heat-Transfer Performance for Different Working-Fluid Filling Volumes
3.2.1. Optimal Working-Fluid Filling Volume
3.2.2. Analysis of the Results
3.3. Operation at Extreme Filling Volumes
3.4. Heat-Transfer Performance at Different Cooling-Water Flow Rates
3.5. Oscillation Frequency of the Heat Pipe with Different Heating Powers
4. Guideline for the Design of a Super-Long Heat Pipe for Geothermal Energy Exploitation
5. Conclusions
Author Contributions
Funding
Institutional Review Board Statement
Informed Consent Statement
Data Availability Statement
Acknowledgments
Conflicts of Interest
References
- Reay, D.; Kew, P.; McGlen, R. Heat Pipes—Theory, Design and Applications, 6th ed.; Elsevier Ltd.: Oxford, UK, 2014. [Google Scholar]
- Faghri, A.; Zhang, Y.W. Transport Phenomena in Multiphase Systems; Elsevier Ltd.: Oxford, UK, 2006. [Google Scholar]
- Meseguer, J.; Pérez-Grande, I.; Sanz-Andrés, A. Spacecraft Thermal Control; Woodhead Publishing Limited: Cambridge, UK, 2012. [Google Scholar]
- Huang, D.S.; Chen, T.C.; Tsai, L.T.; Lin, M.T. Design of fins with a grooved heat pipe for dissipation of heat from high-powered automotive LED headlights. Energy Convers. Manag. 2019, 180, 550–558. [Google Scholar] [CrossRef]
- Lu, J.Z.; Shen, L.M.; Huang, Q.J.; Sun, D.F.; Li, B.; Tan, Y.J. Investigation of a rectangular heat pipe radiator with parallel heat flow structure for cooling high-power IGBT modules. Int. J. Therm. Sci. 2019, 135, 83–93. [Google Scholar] [CrossRef]
- Zhou, W.J.; Li, Y.; Chen, Z.S.; Deng, L.Q.; Gan, Y.H. A novel ultra-thin flattened heat pipe with biporous spiral woven mesh wick for cooling electronic devices. Energy Convers. Manag. 2019, 180, 769–783. [Google Scholar] [CrossRef]
- Zhou, G.H.; Li, J.; Jia, Z.Z. Power-saving exploration for high-end ultra-slim laptop computers with miniature loop heat pipe cooling module. Appl. Energy 2019, 239, 859–875. [Google Scholar] [CrossRef]
- Patel, V.K. An efficient optimization and comparative analysis of ammonia and methanol heat pipe for satellite application. Energy Convers. Manag. 2018, 165, 382–395. [Google Scholar] [CrossRef]
- Maraj, A.; Londo, A.; Gebremedhin, A.; Firat, C. Energy performance analysis of a forced circulation solar water heating system equipped with a heat pipe evacuated tube collector under the Mediterranean climate conditions. Renew. Energy 2019, 140, 874–883. [Google Scholar] [CrossRef]
- Allouhi, A.; Amine, M.B.; Buker, M.S.; Kousksou, T.; Jamil, A. Forced-circulation solar water heating system using heat pipe-flat plate collectors: Energy and exergy analysis. Energy 2019, 180, 429–443. [Google Scholar] [CrossRef]
- Liao, Z.R.; Xu, C.; Ren, Y.X.; Gao, F.; Ju, X.; Du, X.Z. Thermal analysis of a conceptual loop heat pipe for solar central receivers. Energy 2018, 158, 709–718. [Google Scholar] [CrossRef]
- Yang, Y.P.; Wei, Q.C.; Zhou, S.H. Thermosyphon Technology and Its Application in Permafrost. Chin. J. Geotech. Eng. 2005, 27, 698–706. (In Chinese) [Google Scholar]
- Wang, X.Y.; Fan, H.T.; Zhu, Y.Z.; Zhu, M.Z. Heat transfer simulation and analysis of ice and snow melting system using geothermy by super-long flexible heat pipes. Energy Procedia 2017, 105, 4724–4730. [Google Scholar] [CrossRef]
- Anderson, A.; Rezaie, B. Geothermal technology: Trends and potential role in a sustainable future. Appl. Energy 2019, 248, 25–31. [Google Scholar] [CrossRef]
- Wang, G.L.; Zhang, W.; Ma, F.; Lin, W.J.; Liang, J.Y.; Zhu, X. Overview on hydrothermal and hot dry rock researches in China. China Geol. 2018, 2, 273–285. [Google Scholar] [CrossRef]
- Chaudhry, H.N.; Hughes, B.R.; Ghani, S.A. A review of heat pipe systems for heat recovery and renewable energy applications. Renew. Sustain. Energy Rev. 2012, 16, 2249–2259. [Google Scholar] [CrossRef]
- Faghri, A. Heat pipes: Review, opportunities and challenges. Front. Heat Pipes 2014, 5, 1–48. [Google Scholar] [CrossRef]
- Franco, A.; Vaccaro, M. On the use of heat pipe principle for the exploration of medium-low temperature geothermal resources. Appl. Therm. Eng. 2013, 59, 189–199. [Google Scholar] [CrossRef]
- Seo, J.; Bang, I.C.; Lee, J.Y. Length effect on entrainment limit of large-L/D vertical heat pipe. Int. J. Heat Mass Transf. 2016, 97, 751–759. [Google Scholar] [CrossRef]
- Che, H.C.; Yan, D.H.; Ren, Y.Y.; Liu, Y.J. Research on wellbore gravity heat pipe heating technology in thermal recovery of heavy oil. Pet. Drill. Tech. 2011, 39, 108–111. (In Chinese) [Google Scholar]
- Kusaba, S.; Suzuki, H.; Hirowatari, K.; Mochizuki, M.; Akbarzadeh, A. Extraction of geothermal energy and electric power generation using a large scale heat pipe. In Proceedings of the World Geothermal Congress, Kyushu-Tohoku, Japan, 28 May–10 June 2000; pp. 3489–3494. [Google Scholar]
- Jiang, F.M.; Huang, W.B.; Cao, W.J. Mining Hot Dry Rock Geothermal Energy by Heat Pipe: Conceptual Design and Technical Feasibility Study. Adv. New Renew. Energy 2017, 5, 426–434. (In Chinese) [Google Scholar]
- Huang, W.; Cen, J.; Chen, J.; Cao, W.; Li, Z.; Li, F.; Jiang, F. Heat Extraction from Earth-deep Hot Dry Rock by Super-long Gravity Heat Pipe: A Field Test. 2021. in preparation. [Google Scholar]
- Dai, H. Heat extraction from the deep geothermal well by 3000-meter long heat pipe: The personality interview of Dr. F. Jiang. Ground Source Heat Pump 2020. (In Chinese) [Google Scholar]
- Chi, H. A Novel Single Well HDR Energy Extraction Technology. Chinese Science News 2020-07-22. Available online: http://news.sciencenet.cn/dz/dznews_photo.aspx?t=&id=34771 (accessed on 22 July 2020). (In Chinese).











| Filling Water Volume (mL) | Air Temperature (°C) | Heat Absorbed by Cooling Water (W) | Thermal Resistance (K/W) |
|---|---|---|---|
| 300 | 27.77 | 590.7 | 0.0175 |
| 400 | 27.67 | 606.8 | 0.0159 |
| 500 | 27.73 | 599.5 | 0.0205 |
| Filling Volume | Depth of Water Column | Heat-Transfer Rate | Hydrostatic Pressure | Adiabatic Section Temperature | Adiabatic Section Saturation Pressure | Evaporation Section Pressure | Theoretic Evaporation Temperature | Actual Evaporation Temperature |
|---|---|---|---|---|---|---|---|---|
| (mL) | (cm) | (W) | (kPa) | (°C) | (kPa) | (kPa) | (°C) | (°C) |
| 200 | 88.2 | 460.4 | 8.8 | 53.2 | 14.5 | 23.3 | 63.4 | 68.2 |
| 300 | 132.2 | 474.8 | 13.2 | 50.8 | 12.9 | 26.1 | 65.9 | 66.8 |
| 400 | 176.4 | 499.8 | 17.6 | 51.4 | 13.2 | 30.9 | 69.8 | 71.8 |
| 600 | 264.5 | 451.9 | 26.5 | 50.9 | 12.9 | 39.3 | 75.5 | 74.7 |
| 800 | 352.6 | 446.6 | 35.3 | 51.3 | 13.2 | 48.5 | 80.5 | 81.5 |
| 1000 | 440.9 | 445.5 | 44.1 | 61.2 | 21.1 | 65.2 | 88.1 | 90.1 |
| 1300 | 573 | 434.9 | 57.3 | 50.4 | 12.6 | 69.9 | 89.9 | 90.8 |
| 1600 | 705.3 | 418.6 | 70.5 | 48.2 | 11.3 | 81.8 | 94.1 | 95.3 |
| 2500 | 1102 | 286.2 | 110.2 | 46 | 10.1 | 120.3 | 104.8 | 102.5 |
| 5000 | 2204.0 | 0 | 220.4 | -- | -- | -- | -- | -- |
Publisher’s Note: MDPI stays neutral with regard to jurisdictional claims in published maps and institutional affiliations. |
© 2021 by the authors. Licensee MDPI, Basel, Switzerland. This article is an open access article distributed under the terms and conditions of the Creative Commons Attribution (CC BY) license (https://creativecommons.org/licenses/by/4.0/).
Share and Cite
Cen, J.; Li, F.; Li, T.; Huang, W.; Chen, J.; Jiang, F. Experimental Study of the Heat-Transfer Performance of an Extra-Long Gravity-Assisted Heat Pipe Aiming at Geothermal Heat Exploitation. Sustainability 2021, 13, 12481. https://doi.org/10.3390/su132212481
Cen J, Li F, Li T, Huang W, Chen J, Jiang F. Experimental Study of the Heat-Transfer Performance of an Extra-Long Gravity-Assisted Heat Pipe Aiming at Geothermal Heat Exploitation. Sustainability. 2021; 13(22):12481. https://doi.org/10.3390/su132212481
Chicago/Turabian StyleCen, Jiwen, Feng Li, Tingliang Li, Wenbo Huang, Juanwen Chen, and Fangming Jiang. 2021. "Experimental Study of the Heat-Transfer Performance of an Extra-Long Gravity-Assisted Heat Pipe Aiming at Geothermal Heat Exploitation" Sustainability 13, no. 22: 12481. https://doi.org/10.3390/su132212481
APA StyleCen, J., Li, F., Li, T., Huang, W., Chen, J., & Jiang, F. (2021). Experimental Study of the Heat-Transfer Performance of an Extra-Long Gravity-Assisted Heat Pipe Aiming at Geothermal Heat Exploitation. Sustainability, 13(22), 12481. https://doi.org/10.3390/su132212481
