Laboratory Investigation of Compaction Characteristics of Plant Recycled Hot-Mix Asphalt Mixture
Abstract
1. Introduction
2. Experiments
2.1. Raw Materials
2.2. Test Methods
2.2.1. Orthogonal Test Design
2.2.2. Gyration Compaction
2.3. Measurements
2.4. Field Compaction of RHMA Pavement
2.4.1. Introduction of Field-Tested Sections
2.4.2. Field Test of Compactness
3. Results and Discussion
3.1. Compaction Characteristics of the Recycled Asphalt Mixture
3.1.1. Compaction Characteristics
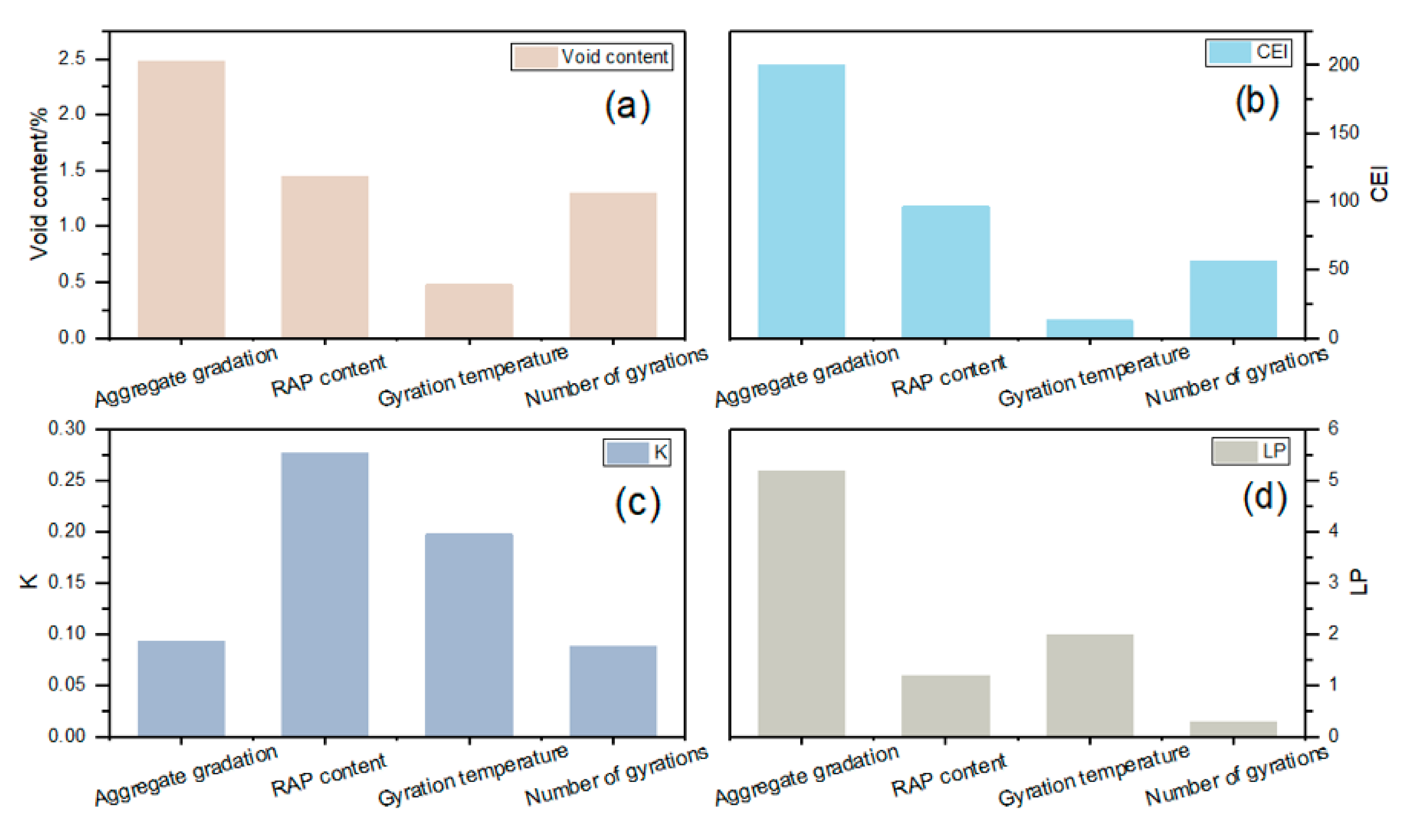
3.1.2. Range Analysis of the Orthogonal Test Results
3.2. Comparison on the Compactability of the Recycled Mixture in the Material Design
3.3. Compaction Mechanism of the Recycled Mixture
4. Summary and Conclusions
- (i)
- The results show that a finer aggregate gradation, a higher gyration temperature, a greater number of gyrations, and a higher RAP content up to 50% are effective for increasing the compactability of RHMA. The ease of compaction can be well described using the void content (VV), compaction energy index (CEI), slope of accumulated compaction energy (K), and lock point (LP).
- (ii)
- It was found that the compactability of RHMA depends most significantly on the aggregate gradation, followed by the RAP content. The gyration temperature was found to be correlated to the compactability with inferior influence, and the higher number of gyrations contributes to a better compactness. Furthermore, the established regression model proved to be effective for optimizing the gradation design of RHMA considering its compactability.
- (iii)
- During hot mixing, a higher RAP content results in a lower diffusion ratio of the RAP aggregate, and a low void content in residual RAP particles reduces the void of RHMA. Thus, it is easier to reach the designed void content of RHMA compared to mixtures with a lower RAP content. This conclusion is valid only after RAP is preheated properly before mixing, and it should be further proven by more experimental studies.
Author Contributions
Funding
Data Availability Statement
Acknowledgments
Conflicts of Interest
References
- Anjan Kumar, S.; Sarvanan, U.; Murali Krishnan, J.; Veeraragavan, A. Rheological characterisation of modified binders at mixing and compaction temperature. Int. J. Pavement Eng. 2014, 15, 767–785. [Google Scholar] [CrossRef]
- Liu, Y.; You, Z.; Dai, Q.; Mills-Beale, J. Review of advances in understanding impacts of mix composition characteristics on asphalt concrete (AC) mechanics. Int. J. Pavement Eng. 2011, 12, 385–405. [Google Scholar] [CrossRef]
- DelRio-Prat, M.; Vega-Zamanillo, A.; Castro-Fresno, D.; Calzada-Pérez, M.Á. Energy consumption during compaction with a Gyratory Intensive Compactor Tester. Estimation models. Constr. Build. Mater. 2011, 25, 979–986. [Google Scholar] [CrossRef]
- Polaczyk, P.; Huang, B.; Shu, X.; Gong, H. Investigation into Locking Point of Asphalt Mixtures Utilizing Superpave and Marshall Compactors. J. Mater. Civ. Eng. 2019, 31, 04019188. [Google Scholar] [CrossRef]
- Braham, A.; Lynn, T.; Steger, R.; Pyle, R. Characterizing Compactability of High RAP and Warm Mix Asphalt Mixtures in the Superpave Gyratory Compactor. J. Test. Eval. 2015, 43, 20130319. [Google Scholar] [CrossRef]
- MOT. Guiding Opinions of the Ministry of Transport on Promoting the Recycling of Highway Pavement Materials. Available online: http://zizhan.mot.gov.cn/zhuzhan/zhengwugonggao/jiaotongbu/gongluguanli/201210/t20121009_1309484.html (accessed on 17 September 2020).
- Antunes, V.; Freire, A.C.; Neves, J. A review on the effect of RAP recycling on bituminous mixtures. Constr. Build. Mater. 2019, 211, 454–469. [Google Scholar] [CrossRef]
- People.cn. The Financing Gap for the Maintenance of Roads Will Be About 50% in the Future, and the Financing Mechanism should be Improved. Available online: http://finance.people.com.cn/n1/2016/0622/c1004-28467645.html (accessed on 20 September 2020).
- Zaumanis, M.; Mallick, R.B.; Frank, R. 100% recycled hot mix asphalt: A review and analysis. Resour. Conserv. Recycl. 2014, 92, 230–245. [Google Scholar] [CrossRef]
- Galan, J.J.; Silva, L.M.; Pérez, I.; Pasandín, A.R. Mechanical Behavior of Hot-Mix Asphalt Made with Recycled Concrete Aggregates from Construction and Demolition Waste: A Design of Experiments Approach. Sustainability 2019, 11, 3730. [Google Scholar] [CrossRef]
- Cheraghian, G.; Wistuba, M.P. Ultraviolet aging study on bitumen modified by a composite of clay and fumed silica nanoparticles. Sci. Rep. 2020, 10, 11216. [Google Scholar] [CrossRef]
- Cheraghian, G.; Wistuba, M. Effect of Fumed Silica Nanoparticles on Ultraviolet Aging Resistance of Bitumen. Nanomaterials 2021, 11, 454. [Google Scholar] [CrossRef]
- Lei, Y.; Wang, H.; You, Z.; Wang, Y. Effect of mixing sequence on compaction property of hot recycled asphalt mixture. Eng. Jounal Wuhan Univ. 2019, 52, 317–325. [Google Scholar]
- Ji, X.; Zheng, N.; Gan, X. Compaction characteristics of reclaimed asphalt mixture. J. Chongqing Jiaotong Univ. 2013, 32, 965–968. [Google Scholar]
- Ma, X.; Leng, Z.; Wang, L.; Zhou, P. Effect of Reclaimed Asphalt Pavement Heating Temperature on the Compactability of Recycled Hot Mix Asphalt. Materials 2020, 13, 3621. [Google Scholar] [CrossRef] [PubMed]
- Sánchez-Leal, F.; Asce, M. Gradation Chart for Asphalt Mixes: Development. J. Mater. Civ. Eng. 2007, 19, 185–197. [Google Scholar] [CrossRef]
- Çelik, O.N.; Atiş, C.D. Compactibility of hot bituminous mixtures made with crumb rubber-modified binders. Constr. Build. Mater. 2008, 22, 1143–1147. [Google Scholar] [CrossRef]
- Yang, J.; Yao, Y.; Sun, C. Influence of Different Working Conditions on Hot In-place Recycled Asphalt Mixture Performance. J. Highw. Transp. Res. Dev. 2019, 10, 14–23. [Google Scholar]
- Mo, L.; Li, X.; Fang, X.; Huurman, M.; Wu, S. Laboratory investigation of compaction characteristics and performance of warm mix asphalt containing chemical additives. Constr. Build. Mater. 2012, 37, 239–247. [Google Scholar] [CrossRef]
- Ma, T.; Huang, X.; Zhao, Y.; Zhang, Y.; Wang, H. Influences of Preheating Temperature of RAP on Properties of Hot-Mix Recycled Asphalt Mixture. J. Test. Eval. 2016, 44, 762–769. [Google Scholar] [CrossRef]
- Fang, Y.; Wang, J.; Wu, C.; Shu, X.; Zhan, H. Rotation Compaction Behavior of Central Plant Hot Recycling Mixture. J. Wuhan Univ. Technol. 2017, 41, 512–516. [Google Scholar]
- Shirodkar, P.; Mehta, Y.; Nolan, A.; Sonpal, K.; Norton, A.; Tomlinson, C.; Dubois, E.; Sullivan, P.; Sauber, R. A study to determine the degree of partial blending of reclaimed asphalt pavement (RAP) binder for high RAP hot mix asphalt. Constr. Build. Mater. 2011, 25, 150–155. [Google Scholar] [CrossRef]
- Wu, J.; Liu, Q.; Yang, S.; Oeser, M.; Ago, C. Study of migration and diffusion during the mixing process of asphalt mixtures with RAP. Road Mater. Pavement Des. 2020, 1–16. [Google Scholar] [CrossRef]
- Song, W.; Huang, B.; Shu, X. Influence of warm-mix asphalt technology and rejuvenator on performance of asphalt mixtures containing 50% reclaimed asphalt pavement. J. Clean. Prod. 2018, 192, 191–198. [Google Scholar] [CrossRef]
- Guo, D.; Zhang, S.; Li, J.; Zhang, L.; Zhang, X. Migration behavior of reclaimed mineral aggregate in process of central plant hot recycling. J. Shandong Univ. 2018, 48, 46–52. [Google Scholar]














| Penetration (0.1 mm) | Softening Point (°C) | Ductility at 5 °C (cm) | |
|---|---|---|---|
| SBS-modified asphalt | 48.1 | 74.9 | 30.0 | 
| Aged asphalt | 25.3 | 68.4 | 0.0 | 
| Test method | T 0604 | T 0606 | T 0605 | 
| Properties | Limestone | RAP Aggregates | Mineral Filler | Test Method | ||
|---|---|---|---|---|---|---|
| Coarse | Fine | Coarse | Fine | |||
| Bulk-specific gravity (kg/m3) | 2751 | 2715 | 2720 | 2622 | 2648 | T0308 | 
| Flat-elongated particles (%) | 11.4 | - | 13.5 | - | - | T0311 | 
| Water absorption (%) | 0.5 | - | 0.4 | - | - | T0308 | 
| Crush value (%) | 12.6 | - | 14.2 | - | - | T0316 | 
| LA abrasion (%) | 22 | - | 24 | - | - | T0317 | 
| Levels | Factors | |||
|---|---|---|---|---|
| Aggregate Gradation | Content of RAP | Gyration Temperature | Number of Gyrations | |
| 1 | A (n = 2.479) | 10% | 160 °C | 75 | 
| 2 | B (n = 2.505) | 30% | 140 °C | 100 | 
| 3 | C (n = 2.529) | 50% | 120 °C | 150 | 
| Test | Gyration Parameters | Virgin Binder Content/% | |||
|---|---|---|---|---|---|
| Aggregate Gradation | Content of RAP/% | Gyration Temperature/°C | Number of Gyrations | ||
| 1 | A | 30 | 120 | 75 | 2.97 | 
| 2 | A | 50 | 160 | 100 | 1.95 | 
| 3 | B | 10 | 120 | 100 | 3.99 | 
| 4 | B | 50 | 140 | 75 | 1.95 | 
| 5 | B | 30 | 160 | 150 | 2.97 | 
| 6 | C | 50 | 120 | 150 | 1.95 | 
| 7 | C | 10 | 160 | 75 | 3.99 | 
| 8 | A | 10 | 140 | 150 | 3.99 | 
| 9 | C | 30 | 140 | 100 | 2.97 | 
| Parameters | Aggregate Gradation | RAP Content | Gyration Temperature | Number of Gyrations | CEI | Length | Layer | 
|---|---|---|---|---|---|---|---|
| Section I | 2.412 | 30% | 150 °C | 100 | 287.3 | 80 m | Binder layer | 
| Section II | 2.501 | 546.4 | 30 m | 
| Publisher’s Note: MDPI stays neutral with regard to jurisdictional claims in published maps and institutional affiliations. | 
© 2021 by the authors. Licensee MDPI, Basel, Switzerland. This article is an open access article distributed under the terms and conditions of the Creative Commons Attribution (CC BY) license (http://creativecommons.org/licenses/by/4.0/).
Share and Cite
Yang, J.; Sun, C.; Tao, W.; Gao, J.; Huang, B.; Zhang, J. Laboratory Investigation of Compaction Characteristics of Plant Recycled Hot-Mix Asphalt Mixture. Sustainability 2021, 13, 3005. https://doi.org/10.3390/su13063005
Yang J, Sun C, Tao W, Gao J, Huang B, Zhang J. Laboratory Investigation of Compaction Characteristics of Plant Recycled Hot-Mix Asphalt Mixture. Sustainability. 2021; 13(6):3005. https://doi.org/10.3390/su13063005
Chicago/Turabian StyleYang, Jiangang, Chen Sun, Wenjie Tao, Jie Gao, Bocheng Huang, and Jian Zhang. 2021. "Laboratory Investigation of Compaction Characteristics of Plant Recycled Hot-Mix Asphalt Mixture" Sustainability 13, no. 6: 3005. https://doi.org/10.3390/su13063005
APA StyleYang, J., Sun, C., Tao, W., Gao, J., Huang, B., & Zhang, J. (2021). Laboratory Investigation of Compaction Characteristics of Plant Recycled Hot-Mix Asphalt Mixture. Sustainability, 13(6), 3005. https://doi.org/10.3390/su13063005
 
         
                                                
 
       