Next Article in Journal
The Impact of Government Interventions and Consumer Green Preferences on the Competition between Green and Nongreen Supply Chains
Previous Article in Journal
Harnessing Offshore Wind Energy along the Mexican Coastline in the Gulf of Mexico—An Exploratory Study including Sustainability Criteria
 
 
Font Type:
Arial Georgia Verdana
Font Size:
Aa Aa Aa
Line Spacing:
Column Width:
Background:
Article

Surface Decontamination and Shelf-Life Extension of Gilthead Sea Bream by Alternative Washing Treatments

by
Athina Ntzimani
1,
Ioanna Semenoglou
1,
Efimia Dermesonlouoglou
1,
Theofania Tsironi
1,2 and
Petros Taoukis
1,*
1
Laboratory of Food Chemistry and Technology, School of Chemical Engineering, National Technical University of Athens, 15780 Athens, Greece
2
Food Process Engineering Laboratory, Department of Food Science and Human Nutrition, Agricultural University of Athens, 11855 Athens, Greece
*
Author to whom correspondence should be addressed.
Sustainability 2022, 14(10), 5887; https://doi.org/10.3390/su14105887
Submission received: 17 April 2022 / Revised: 7 May 2022 / Accepted: 9 May 2022 / Published: 12 May 2022

Abstract

:
The efficacy of washing and the investigation of alternative sanitizing treatments for the reduction of microbial population are major issues for fresh fish and seafood. Limited work on the effect of alternative washing media on fish, particularly gilthead sea bream, one of the important popular fish species, has been published and no industrial scaling-up has been reported. The objective of this study was to systematically evaluate the effect of surface decontamination treatments on the microbial load of fish and the quality and shelf life during subsequent chilled storage. Citric acid (200 ppm for 0–10 min), lactic acid (200 ppm for 0–10 min), and peracetic acid (0–200 ppm for 0–4 min) were tested as alternative washing media by immersion of gutted gilthead sea bream by evaluating their effect on microbial growth and physicochemical and organoleptic degradation of fish. The results of the study indicated that washing with citric (200 ppm, 10 min) and peracetic acid (200 ppm, 4 min) significantly delayed the growth of spoilage microorganisms (total viable count, Pseudomonas spp., Enterobacteriaceae spp., and H2S-producting bacteria) in gutted fish and extended the shelf life to 18 days at 0 °C, compared to 11 days without washing treatment. Appropriate handling and processing of fish and shelf-life extension may enable longer transportation and thus open new distant markets, as well as contribute to reduce food waste during transportation and storage.

1. Introduction

Microbial spoilage is a major cause of quality deterioration during storage of fresh and minimally processed fish and fish products. For the effective control or inhibition of microbial growth in chilled fish, parameters regarding the aquaculture practices, fish processing, transportation, and storage conditions, as well as other parameters, such as temperature and water quality at farming and harvesting facilities, should be considered [1,2]. As the perishability of fish products is a commercial drawback for transportation to distant markets, effective methods for shelf-life extension are continuously investigated. New minimal and nonthermal food processing methods are sought by the industry in the pursuit of producing better quality fish products with extended shelf life and retention of nutritional and sensory properties [3,4]. The incorporation of chemical disinfectants into the washing water is one of the most commonly studied methods to reduce or deactivate spoilage bacteria and pathogens in food and to avoid the risk of cross-contamination due to reuse or recirculation of process water [5,6,7,8]. Since the washing water may also increase the bacterial counts by cross-contamination, it is important that the washing step not only decreases bacterial load in food but also maintains water quality [9]. Despite chlorine being a widely used disinfectant of low cost that is simple to apply and effective against vegetative bacteria [10], it has been criticized for generating carcinogenic byproducts, such as trihalomethanes. These drawbacks have encouraged research for alternatives to chlorine in washing water [11]. Several studies have been conducted regarding the efficacy of washing and sanitizing treatments in reducing microbial populations on food products, mainly vegetables. However, limited work has been published regarding fish and no industrial scaling-up has been reported so far [12].
Organic acids, which are considered ‘Generally Recognized as Safe’ (GRAS) by the FDA [13], have been reported as effective antimicrobial agents due to a disturbance of membrane transport and/or permeability, anion accumulation, or reduction in internal cellular or environmental pH [14]. They constitute an inexpensive and effective means of reducing the microbial population, and for that reason they are frequently used in decontamination applications in various food commodities [15,16,17]. Data from several research studies have shown that organic acids (e.g., acetic, citric, fumaric, lactic, malic, oxalic, low-molecular-weight polylactic, propionic and tartaric acids) are capable of suppressing bacterial proliferation during refrigerated storage of various food products, thus allowing a considerable extension of shelf life. Lactic acid is commonly used as an inexpensive, environmentally friendly, and effective intervention to reduce the levels and prevalence of bacterial pathogens in food products, which can act as a permeabilizer of the outer membrane of Gram-negative bacteria [17,18,19]. Citric acid is not considered as a conventional weak organic acid (i.e., lipophilic, undissociated acids), owing to the fact that it acts more as a chelator, exerting its antibacterial activity by sequestering metal ions (Ca2+, Mg2+, Fe3+) from the external medium required for bacterial homeostasis [20,21] and may also act as a permeabilizing agent of the outer membrane of Gram-negative bacteria [22]. Previous studies have reported that the use of citric or lactic acid at concentrations 0.1–0.2 M for a washing pretreatment of refrigerated green mussel stored at 4 °C led to a shelf-life extension up to 20 days for the treated samples compared to the control [23]. Additionally, the antibacterial effect of citric acid has also been reported by Seo et al. [24], who showed inactivation efficiency of the aforementioned acid against Salmonella Typhimurium, Pseudomonas aeruginosa, and Listeria monocytogenes. Besides common organic acids, peracids have also been used for the disinfection of the washing water of fresh fish. Peracetic acid (PAA) is a strong oxidizer formed from hydrogen peroxide and acetic acid. The mode of action of peracids, such as PAA, is based on their high oxidation ability [25]. Moreover, unlike chlorine and ozone, PAA is noncorrosive, unaffected by changes in temperatures, remains effective in the presence of organic matter [25], and during its spontaneous decomposition, only harmless byproducts are produced (i.e., acetic acid, water, and oxygen) [8,10]. PAA is commercially available in the form of an aqueous quaternary equilibrium mixture of acetic acid and hydrogen peroxide [10,26]. According to Thi et al. [12], washing of Pangasius fillets with 150 ppm PAA resulted in up to 2.0 logcfu/g reduction in TVC and 1 logcfu/g in lactic acid bacteria. Previous studies by Wang et al. [27], showed that PAA may be effectively used as a sanitizer for the inhibition of histamine formation in fish and seafood, whereas Zhao et al. [28] used a combined application of ultrasound, plasma-activated water, and PAA to investigate its effect on the microbial and physicochemical quality of mackerel fillets.
Gilthead sea bream (Sparus aurata) is one of the most widely farmed fish species in the Mediterranean region, with high commercial value due to its desirable characteristics (aroma, taste, white flesh). Products such as chilled, gutted, Mediterranean fish have high commercial potential if their shelf life can be extended through appropriate minimal processing. The investigation of the effect of alternative washing media on the microbial load and shelf life of gutted gilthead seabream has not been reported in the literature yet. The objective of the study was to provide a comprehensive and systematic evaluation and mathematical modelling of the effect of mild organic acids (lactic acid, citric acid, and PAA) as alternative washing media to decrease the microbial load and extend the shelf life of gutted gilthead sea bream during subsequent refrigerated storage. Shelf-life modelling is based on the growth of spoilage bacteria and sensory evaluation during refrigerated storage at 0–10 °C, corresponding to the recommended temperature range and to abuse conditions, which are often reported in the actual cold chain.

2. Materials and Methods

2.1. Experimental Set Up

Whole gilthead sea bream (Sparus aurata) (weight: 200–400 g) was slaughtered using conventional ice shock in Philosofish Aquaculture SA farming facilities (Larymna Fthiotidas, Greece) and transported to the Laboratory of Food Chemistry and Technology (NTUA) within 24 h, in polystyrene boxes containing adequate quantity of flaked ice. The incorporation of organic acids at different concentrations in the washing water and washing times (0–200 ppm and 0–10 min for lactic acid or citric acid, 0–200 ppm and 0–4 min for PAA) during gutting, by immersion in the respective aquatic solution for predetermined times, was investigated for its efficacy to reduce microbial load and therefore prolong shelf life.
Preliminary experiments based on the literature [10,12,25,26,27,28] were performed so as to investigate the effect of PAA on the microbial load of fish during gutting. As far as citric and lactic acids are concerned, literature for applications on fish and seafood is limited. Although higher concentrations have been reported for other types of food, the purpose of their use was different, mainly to attenuate the browning reactions, and thus were inadequate for fish products. Preliminary experiments were implemented to define the concentrations which did not affect the sensory parameters of fish (mainly appearance and taste). Therefore, a range of 0–200 ppm was used in the present study for systematic evaluation of surface disinfection on quality and shelf life of gutted gilthead seabream. The contact time of PAA was based on the literature [12]. Contact time for citric and lactic acids was longer since these acids have been reported as milder than PAA and had a less detrimental effect on fish flesh color. Citric and lactic acid have been used for the disinfection of mainly leafy products, have an antimicrobial effect, are cost effective, and are natural organic acids. Additionally, PAA is an acid that can replace chlorine, which is extensively used, but adversely it is noncorrosive, and most importantly, only harmless by-products are produced (i.e., acetic acid, water, and oxygen) during its spontaneous decomposition. Results of the latter were used in order to decide the optimum parameters—organic acid concentration/disinfection time—to be applied for the investigation of the effect of the surface disinfection on the microbiological, physicochemical, and sensory qualities, as well as on the shelf life of the gutted gilthead sea bream.
For shelf-life evaluation, gutted gilthead seabream was individually packed at aerobic conditions (non-sealed polyethylene/polyamide pouches) and stored at controlled isothermal conditions in high-precision (±0.2 °C) low temperature incubators (Sanyo MIR 153, Sanyo Electric, Ora-Gun, Gunma, Japan) at 0, 5, and 10 °C. Temperature in the incubators was constantly monitored with electronic, programmable, miniature dataloggers (COX TRACER®, Belmont, NC, USA). Samples were taken in appropriate time intervals to allow for efficient kinetic analysis of quality deterioration. Based on the experimental design, samples were coded as: C, untreated gutted fish (Control), W: samples disinfected with water (for 10 min or 4 min, depending on the acid used), CA: fish disinfected with 200 ppm citric acid (for 10 min), and PAA: fish samples disinfected with 200 ppm PAA (for 4 min). The primary goal of washing was to clean and remove the accumulated bacteria on the fish. The effective washing of fish depends upon the water:fish ratio, the quality of water, and kinetic energy of the water stream. The washing water:fish ratio selected in the present study was 2:1 [29].

2.2. Microbiological Analysis

In order to prepare the first decimal dilution, ten grams (10 g) of sea bream tissue were placed aseptically into a stomacher bag with 90 mL sterilized Ringer solution (Merck, Darmstadt, Germany) and was homogenized for 60 s with a Stomacher (BagMixer ® interscience, France). Counts determined included total viable count (TVC), Pseudomonas spp., H2S-producing bacteria (e.g., Shewanella putrefaciens) and Enterobacteriaceae spp. Microbial load was expressed as the average logcfu/g. Samples (0.1 mL) of 10-fold serial dilutions of fish homogenates were transferred into the appropriate media on Petri dishes for the enumeration of TVC and Pseudomonas spp. TVC was enumerated on plate count agar (PCA, Merck, Darmstadt, Germany) after incubation at 25 °C for 72 h, whereas Pseudomonas spp. were enumerated on Cetrimide agar (CFC, Merck, Darmstadt, Germany) after incubation at 25 °C for 48 h. For H2S-producing bacteria and Enterobacteriaceae spp. enumeration, the pour-plate method was used. H2S-producing bacteria were enumerated on Iron Agar (Iron agar with L-cysteine) followed by incubation at 25 °C for 48 h. For Enterobacteriaceae spp. enumeration, violet-red bile glucose agar (VRBG, Merck, Darmstadt, Germany) was used, which was incubated at 37 °C for 18–24 h. Two replicates of at least three appropriate dilutions were enumerated. For microbiological analysis, three individual fish samples were used.
Microbial inactivation was modelled using the Weibull Model (Equation (1)).
log N N o = t δ p
where N represents the number of surviving cells after a duration of a treatment t and No is the initial size of the alive population. For a given temperature, parameter distributions are p and δ. Parameter p has no immediate physical significance. Parameter δ has the dimension of time and is defined as time of the first decimal reduction [30]. For curve fitting, the GInaFiT tool was used [31].
Microbial growth was modelled using the Baranyi Growth Model (Equations (2)–(4))
y ( t ) = y o + k A ( t ) ln 1 + e k A ( t ) 1 e ( y max y o )
A ( t ) = t + 1 k ln e ( k t ) + q o 1 + q o
λ = ln 1 + 1 q o k
where y(t) is cell concentration at time t, yo is the initial cell concentration, k is the microbial growth rate, ymax is the maximum cell concentration, qo is a parameter expressing the physiological state of cells when t = to and λ = lag phase [32]. For curve fitting, the program DMFit was used (available online: http://www.combase.cc/index.php/en/ accessed on 31 March 2022). Kinetic parameters, such as the lag phase (λ) and rate (k) of the microbial growth, were estimated.

2.3. pH Measurement

The pH of fish samples was measured using a pH-meter (pH-meter 338, AMEL Instruments, Milan, Italy). The pH-meter was calibrated using standard buffer solutions. 10 g of each sea bream sample was diluted in 90 mL Ringer’s solution (1:10 dilution), and its pH was recorded.

2.4. Sensory Analysis

The sensory attributes of raw and cooked fish were evaluated by a sensory panel of eight trained evaluators using descriptive tests with practice evaluation methods of determining spoilage characteristics in fish. Gilthead sea bream samples were cooked individually and wrapped in aluminum foil at 180 °C for 40 min in a pre-heated oven, as described by Tsironi et al. [33]. The sensory parameters (appearance, texture and odor of raw and cooked samples, and taste of cooked samples) were evaluated, and sensory scores were recorded in appropriate forms, reflecting the organoleptic evolution of quality deterioration. Additionally, panelists were asked to score the overall impression and acceptability. Rating was assigned separately for each parameter on a 1–9 scale. A sensory score of five was taken as the average score for minimum acceptability.

2.5. Statistical Analysis

Analysis of variance (ANOVA) at a significance level of 95% was used for the evaluation of the impact of the different washing treatments on the microbial load and quality deterioration rates of gutted gilthead seabream (STATISTICA® 7.0; StatSoft Inc., Tulsa, OK, USA). Significant differences were calculated according to Duncan’s multiple range test (a = 0.05).

3. Results and Discussion

3.1. Efficacy of Organic Acids against Microbial Load of Fish

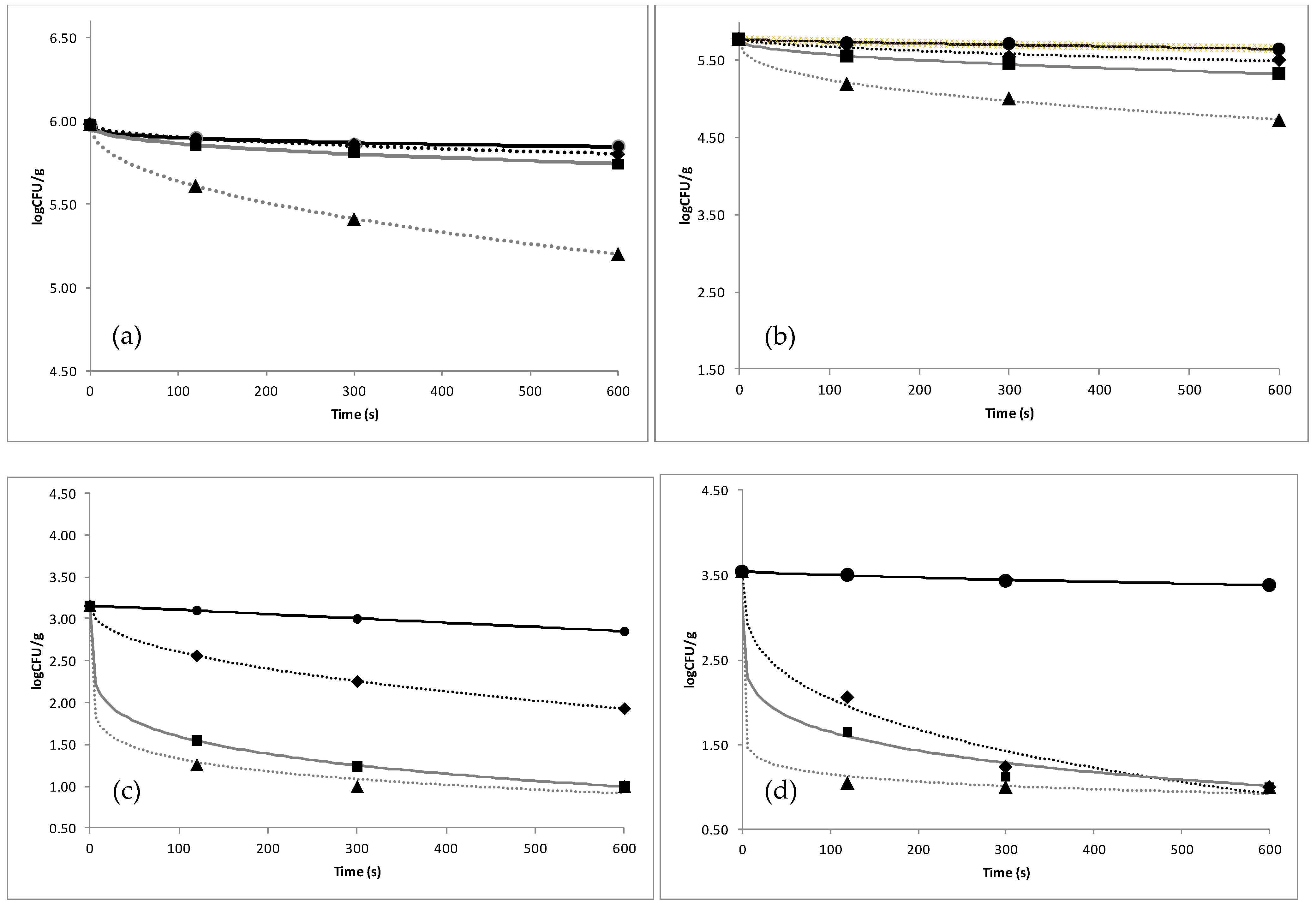
The efficacy of the alternative organic acids (i.e., lactic, citric and PAA) was evaluated concerning the microbial load of fish samples. Surface decontamination up to 3.5 logcfu/g, depending on microbial species and washing conditions, by the addition of organic acids in the washing water was observed in gutted gilthead sea bream (Figure 1a–d, Figure 2a–d, and Figure 3a–d). The Weibull model adequately described the inactivation of TVC, Pseudomonas spp., Enterobacteriaceae spp., and H2S-producing bacteria in gutted gilthead seabream after washing with lactic acid, citric acid, or PAA (R2 = 0.953 0.999 in all tested washing conditions indicated in Figure 1, Figure 2 and Figure 3). The Weibull model was also applied to describe inactivation of Listeria monocytogenes and Escherichia coli by citric and lactic acid in broth systems [34]. The kinetic parameters of the Weibull model for the microbial inactivation after washing of gutted fish using lactic acid, citric acid, and PAA are presented in Table 1.
Data from the microbiological analysis concerning the effect of washing with citric acid on the microbial load of gutted gilthead sea bream showed that the use of citric acid led to a decrease in the populations of TVCs and Pseudomonas spp. by 1 logcfu/g compared to the samples treated with water (Figure 2a,b), whereas the load of Enterobacteriaceae spp. and H2S-producing bacteria decreased to values below the detection limit (<1.0 logcfu/g), corresponding to a decrease of approximately 2–2.5 logcfu/g (p < 0.05) (Figure 2c,d). Microbial load reduction was higher for increased washing solution concentrations and longer washing durations (Figure 2a–d). The effect of lactic acid had a similar pattern but lower reduction of the microbial load, as compared to citric acid (Figure 1a–d). Higher reduction of the microbial load was observed after treatment with citric acid for TVC (Figure 2a), Pseudomonas spp. (Figure 2b), and H2S-producing bacteria (Figure 2c) and with lactic acid solution for Enterobacteriaceae spp. (Figure 1d) (p < 0.05).
Based on the microbiological analysis of gutted gilthead seabream after washing with PAA solutions for 0–240 s, significant microbial inactivation was observed for all the tested microorganisms (Figure 3a–d) (p < 0.05). A decrease of approximately 1–1.5 logcfu/g for TVCs (Figure 3a), 3.0 logcfu/g for Pseudomonas spp. (Figure 3b) and 1–2 logcfu/g for H2S-producing bacteria (Figure 3c) was achieved for the treated samples compared to the samples treated with water, whereas the numbers of Enterobacteriaceae spp. decreased to counts below the detection limit (<1.0 logcfu/g), leading to a decrease of approximately 3–3.5 logcfu/g (Figure 3d) (p < 0.05).
Data overall showed that surface decontamination in the range of 1.0–3.5 logcfu/g may be achieved by the addition of mild organic acids in the washing water (p < 0.05). Higher microbial load reduction was achieved for increased washing solution concentrations and longer washing treatments. The inactivation efficiency of citric acid has also been verified for Salmonella Typhimurium, Pseudomonas aeruginosa, and Listeria monocytogenes by Seo et al. [24]. According to Thi et al. [12], washing Pangasius fillets with 150 ppm PAA resulted in up to 2.0 logcfu/g reduction in TVC and 1 logcfu/g in lactic acid bacteria. Dipping of iceberg lettuce in 0.5% citric acid or lactic acid for 2–5 min resulted in 1.5–2.0 logcfu/g reduction in L. monocytogenes and E. coli [35].
The pH of the treated samples was determined before and after disinfection with the alternative washing media. The initial pH values for the control and water-treated samples ranged between 6.09–6.42, whereas for the acid-treated samples, the respective range was 5.86–6.47. The lowest pH values were recorded for the PAA-treated samples. No statistically significant differences in the pH values of fish flesh within the alternative washing treatments was observed (p > 0.05), which were also not reported by the sensory panel during the shelf-life evaluation tests (Section 3.2.1 and Section 3.2.2). The pH of the live fish muscle is approximately 7.0. Postmortem pH values may vary from 6.0 to 7.1, which is in accordance with the values recorded in the present study [36]. Any variations in the obtained pH values may be attributed to the studied species, the seasonality, and other environmental factors.
Taking into consideration the results obtained from the disinfection experiments, it was concluded that the highest microbial inactivation on gutted gilthead sea bream was observed after washing with 200 ppm citric acid for 10 min, as well as 200 ppm PAA for 4 min (p < 0.05). Therefore, the aforementioned washing treatment conditions were selected for the investigation of their effect on the quality and shelf life of gutted gilthead sea bream during subsequent refrigerated storage at 0, 5, and 10 °C.

3.2. Evaluation of the Effect of Washing with Organic Acids on the Quality and Shelf Life of Gutted Fish

3.2.1. Application of Citric Acid as a Washing Medium for Gutted Fish

TVC has been used as an appropriate quality index for quality and shelf-life evaluation of perishable food products, such as fresh fish. Pseudomonas spp. are considered Specific Spoilage Organisms (SSOs) associated with spoilage of chilled or iced fish stored under aerobic conditions [37].
The effect of the washing process with citric acid (200 ppm/10 min) on the growth of the spoilage microorganisms on gutted sea bream is depicted in Figure 4a–d. Figure 4a shows the growth of TVC of all samples aerobically stored at 0 °C. At the beginning of the storage (day 0), the TVC in gutted fish was 2.6, 2.8, and 2.5 logcfu/g for the C, W, and CA samples, respectively, which was similar to counts reported from other researchers [35] for fresh fish. TVC increased during storage, reaching levels of 8.08, 7.68, and 7.15 logcfu/g at the end of the storage (day 17) at 0 °C, for C, W, and CA samples, respectively (Figure 4a). Both initial and final TVC of fresh sea bream stored was found to be similar to those reported in the literature for Mediterranean fish stored aerobically and under a modified atmosphere [36,37]. The significant inhibitory effect of citric acid was observed for the TVC growth as lower growth rates observed in the fish samples treated with the organic acid compared to the untreated samples (p < 0.05) (e.g., 0.430 ± 0.042 d−1 for the CA samples compared to 0.533 ± 0.049 d−1 for the C and 0.483 ± 0.062 d−1 for the W samples stored at 0 °C). Similar trends were obtained for the fish samples stored at 5 °C (Figure S1a) and 10°C (Figure S2a). The growth rates for the samples treated with citric acid were lower (p < 0.05) compared to either control or water-treated samples.
The initial populations of Pseudomonas spp. were 2.32 ± 0.02, 2.65 ± 0.05, and 1.84 ± 0.02 logcfu/g, whereas populations of H2S-producing bacteria were 1.86 ± 0.06, 1.48 ± 0.07, and 1.25 ± 0.02, and Enterobacteriaceae spp. 2.00 ± 0.01, 2.06 ± 0.14, and 1.41 ± 0.01 logcfu/g, for C, W, and CA samples (Figure 4b–d), respectively, thus showing that the populations of Pseudomonas spp. were higher compared to those of H2S-producing bacteria and Enterobacteriaceae spp. (p < 0.05) at the beginning of storage. Counts of Pseudomonas spp. for gilthead sea bream in the present study were lower compared to values between 3.31 and 3.78 logcfu/g, which was reported for fresh gilthead sea bream in previous studies [37,38]. At the end of storage time, Pseudomonas spp. counts reached the levels of 7.86 ± 0.12, 7.20 ± 0.11, and 7.05 ± 0.02 logcfu/g for the C, W, and CA gutted sea bream samples, H2S-producing bacteria loads 5.44 ± 0.06, 5.74 ± 0.14, and 4.96 ± 0.02 logcfu/g and Enterobacteriaceae spp. were 6.30 ± 0.01, 6.10 ± 0.10, and 4.80 ± 0.14 logcfu/g for C, W, and CA gutted fish, indicating the domination of Pseudomonas spp. followed by H2S-producing bacteria in gutted gilthead sea bream in all the processing and storage conditions examined in the present study (p ≤ 0.05). Similar results were noted for samples stored at 5 and 10 °C (Figures S1c,d and S2b–d). Growth rates were lower for the CA samples as compared to both C and W sea bream samples (p < 0.05). The use of citric acid led to a retarded growth of the microorganisms determined at the temperature range of 0–10 °C.
Therefore, results of the present study showed that primarily Pseudomonas spp. and secondarily Shewanella putrefaciens (representing the main population of H2S-producing bacteria) were found to be the main spoilage microorganisms of fish from the Mediterranean region stored aerobically at low temperatures. The results of the present study showed an increase in Pseudomonas spp. growth counts during storage at 0 °C, with counts reaching the higher values of 7.0 logcfu/g on day 10, 12, and 14 of storage for the C, W, and CA sea bream samples (Figure 4b). The antimicrobial effect of the citric acid used as a disinfection medium was shown by the lower growth rates of Pseudomonas spp. on the treated samples as compared to the control samples, showing that water disinfection with citric acid was effective in controlling the growth as compared to no disinfection. Moreover, results indicated that Pseudomonas spp. served as a good spoilage index in fish stored at 0 °C. Pseudomonas spp. have been recognized as SSOs of various seafood from the Mediterranean Sea, such as gilthead sea bream [39] and European sea bass [40,41] stored aerobically at refrigerated conditions (0–10 °C).
Similar results were obtained for H2S-producing bacteria. The effect of citric acid was also clear, as far as the growth of these bacteria is concerned (Figure 4d, Supplementary Figures S1d and S2d). The growth rates were lower (p < 0.05) at CA samples (0.341 d−1) as compared to the C (0.388 d−1) and W samples (0.481 d−1), indicating that the use of citric acid may control the growth of H2S-producing bacteria as well. Regarding the growth of Enterobacteriaceae spp., microbial loads were lower for the treated samples compared to the control fish. Lower growth rates were noted for the treated fish samples during isothermal storage at 0–10°C (Figure 4c, Supplementary Figures S1c and S2c).
At all storage temperatures studied (i.e., 0, 5 and 10 °C), the time of sensory rejection (score 5 by the sensory panel for overall impression) coincided with an average Pseudomonas spp. level of 107 cfu/g. This level was similar with the respective rejection limits reported in the literature for chilled Mediterranean, whole fish [33,42,43].
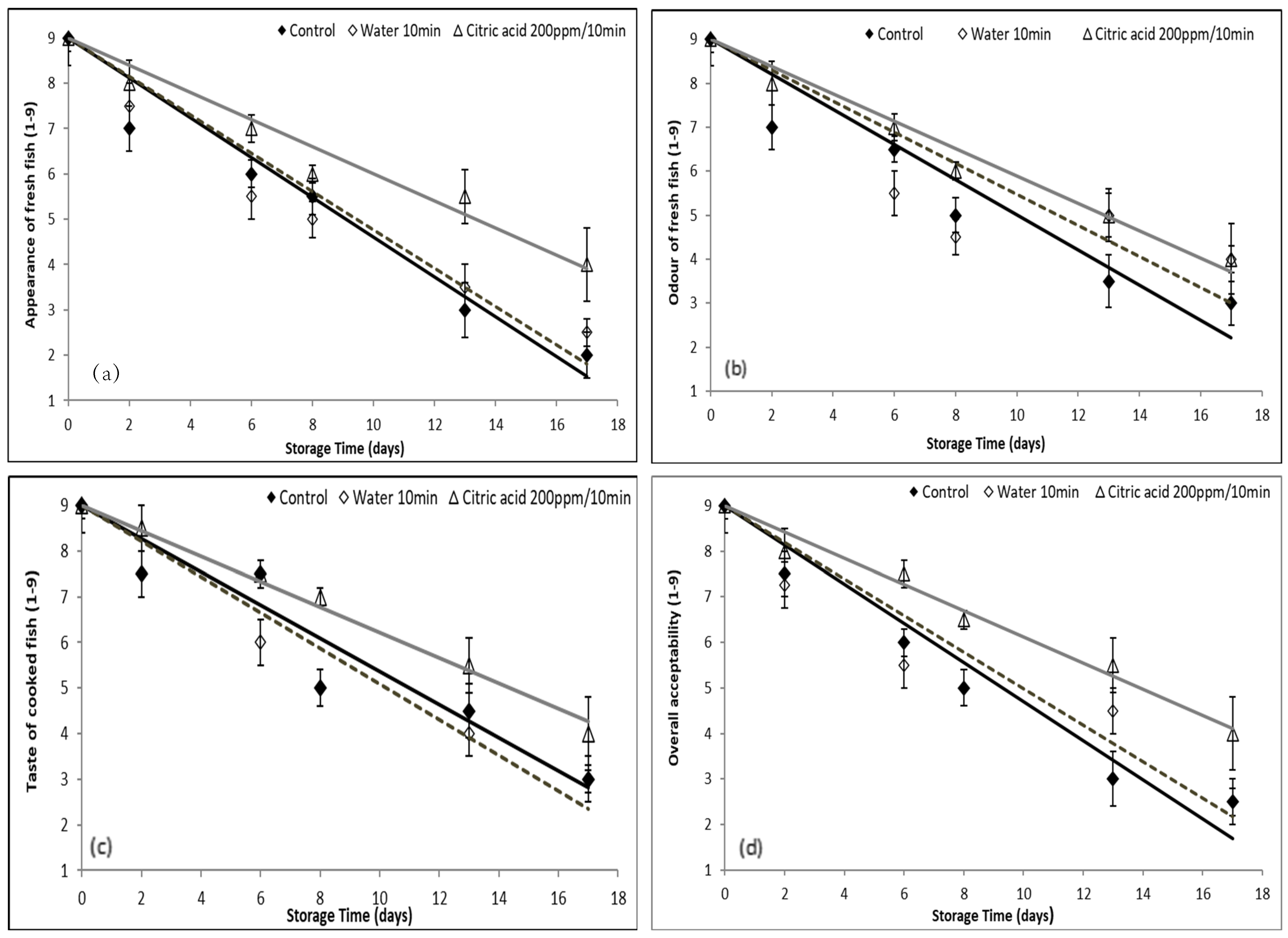
The results of the sensory analysis for the samples stored at 0 °C are shown in Figure 5a–d. The freshness (appearance, odor, and taste) for all sea bream samples was retained at high levels for approximately 4–6 days. For the CA samples, the scores for the freshness parameters remained at high levels for approximately 8–10 days, when fish was stored at 0 °C. It was observed that CA samples showed significantly lower rates of sensory degradation compared to the C and W sea bream samples (p <  0.05). A score of 5 for overall acceptability was considered as the limit of acceptability equivalent to the time of the development of a slight off odor and off taste. The shelf life of the samples, based on the aforementioned limit for the sensory parameters tested, was found to be 10 days for the C and W samples and 14 days for the CA samples, showing an approximately 4-day extension of the shelf life of treated samples, thanks to the antimicrobial effect of the citric acid used as a disinfectant.
Overall, the shelf life (SL = xx days + 1 day of slaughtering) of gutted gilthead sea bream for different washing treatments is presented in Table 2. The results of the present study were in accordance with Masniyom and Benjama [23], who reported a shelf-life extension of up to 20 days for refrigerated green mussel stored at 4 °C after a washing pretreatment with citric or lactic acid at concentrations 0.1–0.2 M. According to Sallam [44], a shelf life of 12, 12, and 15 days was achieved for salmon stored at 1 °C treated with 2.5% sodium acetate, sodium lactate, or sodium citrate, respectively, versus 8 days for untreated fish, indicating that salts of organic acids may be also used potential preservatives for fish under refrigerated storage.

3.2.2. Application of PAA as a Washing Medium for Gutted Fish

Disinfection with PAA was also tested in the present study for gutted gilthead sea bream fish stored aerobically at 0, 5, and 10 °C. Growth curves of all the tested microorganisms are shown in Figure 6a–d.
Results from the experiments regarding the effect of the washing process with 200 ppm/4 min of PA on the growth of the spoilage microorganisms in gutted gilthead sea bream indicated significant antimicrobial effect of PA. PA addition in the washing water of gutted fish delayed microbial growth during isothermal storage of fish at 0, 5, and 10 °C (p < 0.05). Microbial load increased with storage time in the temperature range 0–10 °C. The growth rates of all microorganisms were lower for the PAA samples in comparison with the C and W samples. The aforementioned difference was higher in the case where the samples were stored at 0 °C, in contrast to those stored at either 5 or 10 °C, showing a significant antimicrobial effect of PAA on the growth of spoilage bacteria (p < 0.05). It was observed that (Figure 6a) TVCs of the samples aerobically stored at 0 °C was 3.82 ± 0.11, 3.72 ± 0.01, and 3.19 ± 0.11 logcfu/g for the C, W, and PAA samples on day 0, respectively. TVCs increased during storage, with counts reaching 8.22 ± 0.01, 7.78 ± 0.07, and 7.34 ± 0.11 logcfu/g at the end of the storage time (day 22) at 0 °C, for C, W, and PAA samples, respectively (Figure 6a). The inhibitory effect of PAA led to lower growth rates and longer lag phases for the treated samples with PAA compared to untreated, gutted gilthead sea bream (0.265 ± 0.035 d−1 and 4 d lag phase for the PAA samples compared to 0.260 ± 0.022 d-1 and 0 lag phase for the C and 0.284 ± 0.015 d−1 for the W samples stored at 0 °C). Similar results were obtained for fish samples stored at 5 °C (Figure S3) and 10 °C (Figure S4). The growth rates for the PAA samples were lower (p < 0.05) compared to either C or W samples.
Pseudomonas spp. were the dominant spoilage bacteria in all samples during storage at 0–10 °C (Figure 6b, Supplementary Figures S3 and S4). The populations of Pseudomonas spp. on day 0 were 3.95 ± 0.15, 3.65 ± 0.04, and 3.14 ± 0.15 logcfu/g, whereas populations at the end of storage at 0 °C were 8.02 ± 0.22, 7.36 ± 0.04, and 7.23 ± 0.15 logcfu/g. The use of PAA as a disinfectant resulted in lower growth rates of Pseudomonas spp. as well as longer lag phases and therefore leading to a longer shelf life for the sea bream samples treated with PAA as compared to the C and W samples (0.280 ± 0.028 d−1 and 4 d lag phase for the PAA samples compared to 0.298 ± 0.039 d−1 and 1 d lag phase for the C and 0.303 ± 0.017 d−1 and 1 d lag phase for the W samples stored at 0 °C). The results of the present study showed an increase in Pseudomonas spp. counts during storage at 0 °C, with counts reaching the higher values of 7.0 logcfu/g on days 12, 11, and 17 of storage for the C, W, and PAA samples, respectively.
Results for H2S-producing bacteria (e.g., Shewanella putrefaciens) and Enterobacteriaceae spp. were similar. The effect of PAA was reflected in the lower growth rates of these bacteria on PAA samples at all storage temperatures (Figure 6c,d and Supplementary Figures S3c,d and S4c,d), showing that the use of the acid could control the growth of both H2S-producing bacteria, as well as Enterobacteriaceae spp. at 0–10 °C. Counts of H2S-producing bacteria were 3.95 ± 0.15, 3.48 ± 0.05, and 1.00 ± 0.02, and for Enterobacteriaceae spp., 3.28 ± 0.15, 2.95 ± 0.04, and 2.30 ± 0.03 logcfu/g, for C, W, and PAA samples, respectively, at the beginning of storage. At the end of storage time (day 22 at 0 °C), the populations of H2S-producing bacteria were 7.57 ± 0.22, 7.30 ± 0.05, and 6.56 ± 0.27 logcfu/g, whereas for Enterobacteriaceae spp., they were 6.45 ± 0.22, 6.19 ± 0.09, and 5.12 ± 0.01 logcfu/g for C, W, and PAA respectively. Similar results were noted for fish stored at 5 and 10 °C (Figures S3 and S4).
At all storage temperatures studied (i.e., 0, 5 and 10 °C), the time of sensory rejection (score 5 by the sensory panel for overall impression) coincided with an average Pseudomonas spp. level of 107 cfu/g. All bacteria tested increased throughout the storage period for all fish samples. The results of the sensory analysis are presented in Figure 7a–d. The scorings for freshness (appearance, odour and taste) for all samples were high for approximately 6–8 days, in contrast to the PAA samples for which the respective scores remained high for approximately 12–13 days when stored at 0 °C. Fresh fish had a sharp seaweed odor and red-pink gills with neutral odor, whereas the sensory spoilage characteristics were sour, fishy, putrid off flavor, with a grey-yellowish color and intense ammonia odor of the gills. The sensory degradation of the PAA samples was slower, showing lower degradation rates compared to C and W samples (p < 0.05). The shelf life of gutted fish, based on the aforementioned limit for the sensory parameters, was determined as 11–12 days for the C and W samples and 15–16 days for the PAA samples at 0 °C, indicating 4–5 days of shelf-life extension in gutted gilthead seabream with the application of PAA as an disinfectant medium (Table 2). According to Wang et al. [27], PAA may be effectively used as a sanitizer for the inhibition of histamine formation in fish and seafood. Zhao et al. [28] introduced a combined application of ultrasound, plasma-activated water, and PAA on the microbial and physicochemical quality of mackerel fillets. Vandekinderen et al. [45] reported a shelf-life extension of 1 day in grated carrots after washing with 250 mg/L PAA at 7 °C.

4. Conclusions

The results of the study indicated that the application of washing treatment with mild organic acids may result in significant deactivation of spoilage microorganisms (Pseudomonas spp., H2S-producing bacteria) in gutted fish. Decontamination up to 3.5 logcfu/g, depending on microbial species and washing conditions, was observed by the addition of lactic acid, citric acid, or PAA in the washing water of gutted gilthead sea bream. Washing of gutted gilthead seabream by immersion in an aquatic solution of 200 ppm citric acid for 10 min or 200 ppm PAA for 4 min significantly delayed the growth of spoilage microorganisms (TVC, Pseudomonas ssp., Enterobacteriaceae spp. and H2S-producting bacteria) in gutted gilthead seabream during chilled storage and extended shelf life to 16 and 18 days, respectively when stored at 0 °C, compared with 11 days for control fish. The alternative washing media did not affect the sensory characteristics of the gutted fish, while at the same time, delayed the quality deterioration of fish during chilled storage. A shelf-life extension of fish is of great importance and may open new distant markets currently inaccessible to fresh fish products as well as contribute to the reduction of food waste. The systematic evaluation of the effect of processing conditions on the quality and shelf life of fish may provide technological solutions for fish handling to improve quality and shelf life and reduce food losses from harvesting up to the consumer level.

Supplementary Materials

The following are available online at https://www.mdpi.com/article/10.3390/su14105887/s1. Figure S1 Growth of (a) total viable count, (b) Pseudomonas spp., (c) Enterobacteriaceae spp. and (d) H2S-producing bacteria in gutted gilthead sea bream stored at 5 °C, after washing with 200 ppm citric acid for 10 min. Figure S2. Growth of (a) total viable count, (b) Pseudomonas spp., (c) Enterobacteriaceae spp. and (d) H2S-producing bacteria in gutted gilthead sea bream stored at 10 °C, after washing with 200 ppm citric acid for 10 min. Figure S3 Growth of (a) total viable count, (b) Pseudomonas spp., (c) Enterobacteriaceae spp. and (d) H2S-producing bacteria in gutted gilthead sea bream stored at 5 °C, after washing with 200 ppm peracetic acid for 4 min. Figure S4 Growth of (a) total viable count, (b) Pseudomonas spp., (c) Enterobacteriaceae spp. and (d) H2S-producing bacteria in gutted gilthead sea bream stored at 10 °C, after washing with 200 ppm peracetic acid for 4 min.

Author Contributions

Conceptualization: P.T. and T.T.; methodology: A.N. and I.S.; validation: A.N., I.S. and T.T.; investigation: A.N.; data curation: A.N. and I.S.; writing—original draft preparation: A.N.; writing—review and editing: A.N., T.T. and E.D.; visualization: A.N. and I.S.; supervision: T.T. and P.T.; project administration: E.D. and P.T. All authors have read and agreed to the published version of the manuscript.

Funding

This research was Co-financed by Greece and the European Union, European Maritime and Fisheries Fund in the context of the implementation of the Greek Operational Programme for Fisheries, Priority Axis “Innovation in Aquaculture”, Project title: “Development and application of novel methods for fish harvesting and processing for quality improvement and shelf life extension” (2018–2021) MIS 5010939, website: slurryfish.chemeng.ntua.gr. Sustainability 14 05887 i001

Institutional Review Board Statement

Not applicable.

Informed Consent Statement

Not applicable.

Data Availability Statement

All the data are provided in the article.

Conflicts of Interest

The authors declare no conflict of interest.

References

  1. Orban, E.; Nevigato, T.; Lena, G.D.; Masci, M.; Casini, I.; Gambelli, L.; Caproni, R. New trends in the seafood market. Sutchi catfish (Pangasius hypophthalmus) fillets from Vietnam: Nutritional quality and safety aspects. Food Chem. 2008, 110, 383–389. [Google Scholar] [CrossRef] [PubMed]
  2. Thi, A.N.T.; Noseda, B.; Samapundo, S.; Nguyen, B.L.; Broekaert, K.; Rasschaert, G.; Heyndrickx, M.; Devlieghere, F. Microbial ecology of Vietnamese Tra fish (Pangasius hypophthalmus) fillets during processing. Int. J. Food Microbiol. 2013, 167, 144–152. [Google Scholar]
  3. Tsironi, T.; Taoukis, P. Advances in conventional and nonthermal processing of fish for quality improvement and shelf life extension. In Reference Module in Food Science; Elsevier: Amsterdam, The Netherlands, 2019; pp. 1–7. [Google Scholar]
  4. Ntzimani, A.; Angelakopoulos, R.; Semenoglou, I.; Dermesonlouoglou, E.; Tsironi, T.; Moutou, K.; Taoukis, P. Slurry ice as an alternative cooling medium for fish harvesting and transportation: Study of the effect on seabass flesh quality and shelf life. Aquac. Fish. 2021; in Press. [Google Scholar] [CrossRef]
  5. Allende, A.; Selma, M.V.; López-Gálvez, F.; Villaescusa, R.; Gil, M.I. Impact of wash water quality on sensory and microbial quality, including Escherichia coli cross-contamination, of fresh-cut escarole. J. Food Protect. 2008, 71, 2514–2518. [Google Scholar] [CrossRef] [PubMed]
  6. Beuchat, L.R.; Ryu, J.-H. Produce Handling and Processing Practices. Emerg. Infect. Dis. 1997, 3, 459–465. [Google Scholar] [CrossRef] [PubMed] [Green Version]
  7. Luo, Y. Fresh-cut produce wash water reuse affects water quality and packaged product quality and microbial growth in romaine lettuce. Hortic. Sci. 2007, 42, 1413–1419. [Google Scholar] [CrossRef]
  8. Sapers, G.M.; Miller, R.L.; Pilizota, V.; Mattrazzo, A.M. Antimicrobial treatments for minimally processed cantaloupe melon. J. Food Sci. 2001, 66, 345–349. [Google Scholar] [CrossRef]
  9. Pablos, C.; Romero, A.; De Diego, A.; Vargas, C.; Bascón, I.; Pérez-Rodríguez, F.; Marugán, J. Novel antimicrobial agents as alternative to chlorine with potential applications in the fruit and vegetable processing industry. Int. J. Food Microbiol. 2018, 285, 92–97. [Google Scholar] [CrossRef]
  10. Ölmez, H.; Kretzschmar, U. Potential alternative disinfection methods for organic fresh-cut industry for minimizing water consumption and environmental impact. LWT-Food Sci. Technol. 2009, 42, 686–693. [Google Scholar] [CrossRef]
  11. Meireles, A.; Giaouris, E.; Simões, M. Alternative disinfection methods to chlorine for use in the fresh-cut industry. Food Res. Int. 2016, 82, 71–85. [Google Scholar] [CrossRef] [Green Version]
  12. Thi, A.N.T.; Sampers, I.; Haute, S.V.; Samapundo, S.; Nguyen, B.L.; Heyndrickx, M.; Devlieghere, F. Decontamination of Pangasius fish (Pangasius hypophthalmus) with chlorine or peracetic acid in the laboratory and in a Vietnamese processing company. Int. J. Food Microbiol. 2015, 208, 93–101. [Google Scholar]
  13. Food and Drug Administration (FDA). Analysis and Evaluation of Preventive Control Measures for the Control and Reduction/Elimination of Microbial Hazards on Fresh and Fresh-Cut Produce. 2001. Available online: http://www.cfsan.fda.gov/~comm/ift3exec.html (accessed on 28 March 2022).
  14. Miller, F.A.; Ramos, B.; Gil, M.M.; Brandão, T.R.S.; Teixeira, P.; Silva, C.L.M. Influence of pH, type of acid and recovery media on the thermal inactivation of Listeria innocua. Int. J. Food Microbiol. 2009, 133, 121–128. [Google Scholar] [CrossRef] [PubMed]
  15. Loretz, M.; Stephan, R.; Zweifel, C. Antibacterial activity of decontamination treatments for cattle hides and beef carcasses. Food Control 2011, 22, 347–359. [Google Scholar] [CrossRef] [Green Version]
  16. Loretz, M.; Stephan, R.; Zweifel, C. Antibacterial activity of decontamination treatments for pig carcasses. Food Control 2011, 22, 1121–1125. [Google Scholar] [CrossRef]
  17. Rajkovic, A.; Smigic, N.; Devlieghere, F. Contemporary strategies in combating microbial contamination in food chain. Int. J. Food Microbiol. 2010, 141, S29–S42. [Google Scholar] [CrossRef] [PubMed]
  18. Alakomi, H.-L.; Skyttä, E.; Saarela, M.; Mattila-Sandholm, T.; Latva-Kala, K.; Helander, I.M. Lactic acid permeabilizes Gram-negative bacteria by disrupting the outer membrane. Appl. Environ. Microbiol. 2000, 66, 2001–2005. [Google Scholar] [CrossRef] [Green Version]
  19. Siragusa, G.R. The effectiveness of carcass decontamination systems for controlling the presence of pathogens on the surfaces of meat animal carcasses. J. Food Saf. 1995, 15, 229–238. [Google Scholar] [CrossRef]
  20. Stratford, M.; Eklund, T. Organic acids and esters. In Food Preservatives, 2nd ed.; Russell, N.J., Gould, G.W., Eds.; Kluwer Academic/Plenum Publishers: New York, NY, USA, 2003; pp. 48–84. [Google Scholar]
  21. Theron, M.M.; Lues, J.F.R. Organic Acids and Food Preservation; CRC Press: Boca Raton, FL, USA, 2011; p. 318. [Google Scholar]
  22. Brul, S.; Coote, P. Preservative agents in foods. Mode of action and microbial resistance mechanisms. Int. J. Food Microbiol. 1999, 50, 1–17. [Google Scholar] [CrossRef]
  23. Masniyom, P.; Benjama, O. Effect of lactic, acetic and citric acids on quality changes of refrigerated green mussel, Perna viridis (Linnaeus, 1758). Songklanakarin J. Sci. Technol. 2007, 29, 1123–113424. [Google Scholar]
  24. Seo, Y.-S.; Lee, G.; Song, S.; Kim, K.; Cho, M. Combinatorial treatment using citric acid, malic acid, and phytic acid for synergistical inactivation of foodborne pathogenic bacteria. Korean J. Chem. Eng. 2021, 38, 826–832. [Google Scholar] [CrossRef]
  25. Luukkonen, T.; Pehkonen, S.O. Peracids in water treatment: A critical review. Crit. Rev. Environ. Sci. Technol. 2017, 47, 1–39. [Google Scholar] [CrossRef] [Green Version]
  26. Kitis, M. Disinfection of wastewater with peracetic acid: A review. Environ. Int. 2004, 30, 47–55. [Google Scholar] [CrossRef]
  27. Wang, D.; Yamaki, S.; Kawai, Y.; Yamazaki, K. Sanitizing efficacy and antimicrobial mechanism of peracetic acid against histamine-producing bacterium, Morganella psychrotolerans. LWT 2020, 126, 109263. [Google Scholar] [CrossRef]
  28. Zhao, Y.M.; Oliveira, M.; Burgess, C.M.; Cropotova, J.; Rustad, T.; Sun, D.W.; Tiwari, B.K. Combined effects of ultrasound, plasma-activated water, and peracetic acid on decontamination of mackerel fillets. LWT 2021, 150, 111957. [Google Scholar] [CrossRef]
  29. Rasekh, J.G.; Waters, M.E.; Sidwell, V.D. The effect of washing on the quality characteristics of minced fresh croaker, Micropogon undulatus, held in frozen storage. Mar. Fish. Rev. 1980, 42, 26–30. [Google Scholar]
  30. Mafart, P.; Couvert, O.; Gaillard, S.; Leguerinel, I. On calculating sterility in thermal preservation methods: Application of the Weibull frequency distribution model. Int. J. Food Microbiol. 2002, 72, 107–113. [Google Scholar] [CrossRef] [Green Version]
  31. Geeraerd, A.; Valdramidis, V.P.; Van Impe, J.F.M. GInaFiT, a freeware tool to assess non-log-linear microbial survivor curves. Int. J. Food Microbiol. 2005, 102, 95–105. [Google Scholar] [CrossRef]
  32. Baranyi, J.; Roberts, T.A. Mathematics of predictive food microbiology. Int. J. Food Microbiol. 1995, 26, 199–218. [Google Scholar] [CrossRef] [Green Version]
  33. Tsironi, T.; Maltezou, I.; Tsevdou, M.; Katsaros, G.; Taoukis, P.S. High pressure cold pasteurization of gilthead sea bream fillets: Selection of process conditions and validation of shelf-life extension. Food Bioprocess. Technol. 2015, 8, 681–690. [Google Scholar] [CrossRef]
  34. Vitro, R.; Sanz, D.; Alvarez, I.; Condon, S.; Raso, J. Application of the Weibull model to describe inactivation of Listeria monocytogenes and Escherichia coli by citric and lactic acid at different temperatures. J. Sci. Food Agric. 2006, 86, 865–870. [Google Scholar]
  35. Akbas, M.Y.; Olmez, H. Inactivation of Escherichia coli and Listeria monocytogenes on iceberg lettuce by dip wash treatments with organic acids. Lett. Appl. Microbiol. 2007, 44, 619–624. [Google Scholar] [CrossRef]
  36. Simeonidou, S.; Govaris, A.; Vareltzis, K. Quality assessment of seven Mediterranean fish during storage on ice. Food Res. Int. 1998, 30, 479–484. [Google Scholar] [CrossRef]
  37. Viji, P.; Panda, S.K.; Mohan, C.O.; Bindu, J.; Ravishankar, C.N.; Srinivasa Gopal, T.K. Combined effects of vacuum packaging and mint extract treatment on the biochemical, sensory and microbial changes of chill stored Indian mackerel. J. Food Sci. Technol. 2016, 53, 4289–4297. [Google Scholar] [CrossRef] [PubMed] [Green Version]
  38. Ünal Şengör, G.F.; Balaban, M.D.; Ceylan, Z.; Dogruyol, H. Determination of shelf life of gilthead seabream (Sparus aurata) with time temperature indicators. J. Food Process. Preserv. 2017, 42, e13426. [Google Scholar] [CrossRef]
  39. Parlapani, F.F.; Boziaris, I.S. Monitoring of spoilage and determination of microbial communities based on 16S rRNA gene sequence analysis of whole sea bream stored at various temperatures. LWT-Food Sci. Technol. 2016, 66, 553–559. [Google Scholar] [CrossRef]
  40. Koutsoumanis, K.; Giannakourou, M.C.; Taoukis, P.S.; Nychas, G.-J.E. Application of shelf life decision system (SLDS) to marine cultured fish quality. Int. J. Food Microbiol. 2002, 73, 375–382. [Google Scholar] [CrossRef]
  41. Parlapani, F.F.; Haroutounian, S.A.; Nychas, G.-J.E.; Boziaris, I.S. Microbiological spoilage and volatiles production of gutted European sea bass stored under air and commercial modified atmosphere package at 2 °C. Food Microbiol. 2015, 50, 44–53. [Google Scholar] [CrossRef]
  42. Outsoumanis, K.; Nychas, G.-J.E. Application of a systematic procedure to develop a microbial model for rapid fish shelf life predictions. Int. J. Food Microbiol. 2000, 60, 171–184. [Google Scholar] [CrossRef]
  43. Papaharisis, L.; Tsironi, T.; Dimitroglou, A.; Taoukis, P.; Pavlidis, M. Stress assessment, quality indicators and shelf life of three aquaculture important marine fish, in relation to harvest practices, water temperature and slaughter method. Aquac. Res. 2018, 50, 2608–2620. [Google Scholar] [CrossRef]
  44. Sallam, K.I. Chemical, sensory and shelf life evaluation of sliced salmon treated with salts of organic acids. Food Chem. 2007, 101, 592–600. [Google Scholar] [CrossRef] [Green Version]
  45. Vandekinderen, I.; Devlieghere, F.; van Camp, J.; Denon, Q.; Alarcon, S.S.; Ragaert, P.; De Meulenaer, B. Impact of a decontamination step with peroxyacetic acid on the shelf-life, sensory quality and nutrient content of grated carrots packed under equilibrium modified atmosphere and stored at 7 °C. Postharvest Biol. Technol. 2009, 54, 141–152. [Google Scholar] [CrossRef]
Figure 1. Microbial load in gutted gilthead sea bream after washing with lactic acid at concentrations ● 0, ◆ 50, ■ 100, and ▲ 200 ppm for 0–10 min of (a) TVC, (b) Pseudomonas spp., (c) Enterobacteriaceae spp., and (d) H2S-producing bacteria. Lines illustrate the fit of the Weibull model.
Figure 1. Microbial load in gutted gilthead sea bream after washing with lactic acid at concentrations ● 0, ◆ 50, ■ 100, and ▲ 200 ppm for 0–10 min of (a) TVC, (b) Pseudomonas spp., (c) Enterobacteriaceae spp., and (d) H2S-producing bacteria. Lines illustrate the fit of the Weibull model.
Sustainability 14 05887 g001aSustainability 14 05887 g001b
Figure 2. Microbial load after washing with citric acid at concentrations ● 0, ◆ 50, ■ 100, and ▲ 200 ppm for 0–10 min of (a) TVC, (b) Pseudomonas spp., (c) Enterobacteriaceae spp., and (d) H2S-producing bacteria in gutted gilthead sea bream. Lines illustrate the fit of the Weibull model.
Figure 2. Microbial load after washing with citric acid at concentrations ● 0, ◆ 50, ■ 100, and ▲ 200 ppm for 0–10 min of (a) TVC, (b) Pseudomonas spp., (c) Enterobacteriaceae spp., and (d) H2S-producing bacteria in gutted gilthead sea bream. Lines illustrate the fit of the Weibull model.
Sustainability 14 05887 g002
Figure 3. Microbial load after washing with PAA at concentrations ● 0, ○ 10, ◇ 20, ◆ 50, □ 150, and ▲ 200 ppm for 0–4 min of (a) TVC, (b) Pseudomonas spp., (c) Enterobacteriaceae spp., and (d) H2S-producing bacteria, in gutted gilthead sea bream. Lines illustrate the fit of the Weibull model.
Figure 3. Microbial load after washing with PAA at concentrations ● 0, ○ 10, ◇ 20, ◆ 50, □ 150, and ▲ 200 ppm for 0–4 min of (a) TVC, (b) Pseudomonas spp., (c) Enterobacteriaceae spp., and (d) H2S-producing bacteria, in gutted gilthead sea bream. Lines illustrate the fit of the Weibull model.
Sustainability 14 05887 g003
Figure 4. Growth of (a) TVC, (b) Pseudomonas spp., (c) Enterobacteriaceae spp., and (d) H2S-producing bacteria in gutted gilthead sea bream stored at 0 °C, after washing with 200 ppm citric acid for 10 min.
Figure 4. Growth of (a) TVC, (b) Pseudomonas spp., (c) Enterobacteriaceae spp., and (d) H2S-producing bacteria in gutted gilthead sea bream stored at 0 °C, after washing with 200 ppm citric acid for 10 min.
Sustainability 14 05887 g004
Figure 5. Scores of (a) appearance and (b) odor of raw samples, (c) taste of cooked samples, and (d) overall acceptability of gutted sea bream samples stored at 0 °C after washing with 200 ppm citric acid for 10 min.
Figure 5. Scores of (a) appearance and (b) odor of raw samples, (c) taste of cooked samples, and (d) overall acceptability of gutted sea bream samples stored at 0 °C after washing with 200 ppm citric acid for 10 min.
Sustainability 14 05887 g005
Figure 6. Growth of (a) TVC, (b) Pseudomonas spp., (c) Enterobacteriaceae spp., and (d) H2S-producing bacteria in gutted gilthead sea bream stored at 0 °C, after washing with 200 ppm PAA for 4 min.
Figure 6. Growth of (a) TVC, (b) Pseudomonas spp., (c) Enterobacteriaceae spp., and (d) H2S-producing bacteria in gutted gilthead sea bream stored at 0 °C, after washing with 200 ppm PAA for 4 min.
Sustainability 14 05887 g006
Figure 7. Scores of (a) appearance and (b) odor of raw samples, (c) taste of cooked samples, and (d) overall acceptability of gutted gilthead sea bream stored at 0 °C after washing with 200 ppm PAA for 4 min2.
Figure 7. Scores of (a) appearance and (b) odor of raw samples, (c) taste of cooked samples, and (d) overall acceptability of gutted gilthead sea bream stored at 0 °C after washing with 200 ppm PAA for 4 min2.
Sustainability 14 05887 g007
Table 1. Kinetic parameters of the Weibull model for the microbial inactivation (TVC, Pseudomonas spp., Enterobacteriaceae spp., and H2S producing bacteria) after washing of gutted gilthead seabream using alternative washing methods.
Table 1. Kinetic parameters of the Weibull model for the microbial inactivation (TVC, Pseudomonas spp., Enterobacteriaceae spp., and H2S producing bacteria) after washing of gutted gilthead seabream using alternative washing methods.
Solution ConcentrationTotal Viable CountPseudomonas spp.Enterobacteriaceae spp.H2S Producing Bacteria
Lactic acid0 ppm (water)δ = 732,050 ± 2006 a
p = 0.28 ± 0.10
R2 = 0.987
δ = 8720 ± 1108 a
p = 0.78 ± 0.17
R2 = 0.956
δ = 1390 ± 128 a
p = 1.01 ± 0.06
R2 = 0.999
δ = 7155 ± 506 a
p = 0.72 ± 0.10
R2 = 0.984
50 ppmδ = 3464 ± 1261 b
p = 0.81 ± 0.17
R2 = 0.992
δ = 3248 ± 827 b
p = 0.76 ± 0.11
R2 = 0.996
δ = 182 ± 9 b
p = 0.56 ± 0.02
R2 = 0.999
δ = 29 ± 5 b
p = 0.24 ± 0.09
R2 = 0.988
100 ppmδ = 3052 ± 1090 b
p = 0.72 ± 0.15
R2 = 0.991
δ = 1319 ± 71 c
p = 0.57 ± 0.18
R2 = 0.955
δ = 79 ± 3 c
p = 0.39 ± 0.07
R2 = 995
δ = 2.89 ± 0.35 c
p = 0.17 ± 0.04
R2 = 998
200 ppm δ = 2340 ± 905 c
p = 0.53 ± 0.13
R2 = 0.989
δ = 653 ± 17 d
p = 0.53 ± 0.17
R2 = 0.982
δ = 75 ± 8 c
p = 0.39 ± 0.12
R2 = 0.986
δ = 2.44 ± 7.82 c
p = 0.18 ± 0.11
R2 = 0.983
Citric acid0 ppm (water)δ = 732,050 ± 2006 a
p = 0.28 ± 0.10
R2 = 0.987
δ = 8720 ± 1108 a
p = 0.78 ± 0.17
R2 = 0.956
δ = 1930 ± 128 a
p = 1.01 ± 0.06
R2 = 0.999
δ = 7155 ± 506 a
p = 0.72 ± 0.10
R2 = 0.984
50 ppmδ = 2492 ± 1907 b
p = 0.47 ± 0.09
R2 = 0.993
δ = 5088 ± 641 b
p = 0.58 ± 0.13
R2 = 0.942
δ = 380 ± 21 b
p = 0.45 ± 0.01
R2 = 0.999
δ = 26.99 ± 9 b
p = 0.31 ± 0.06
R2 = 0.987
100 ppmδ = 2239 ± 1457 b
p = 0.40 ± 0.07
R2 = 0.996
δ = 3540 ± 45 c
p = 0.45 ± 0.03
R2 = 0.999
δ = 8.77 ± 1.40 c
p = 0.18 ± 0.01
R2 = 0.999
δ = 11.58 ± 3 b
p = 0.20 ± 0.03
R2 = 0.961
200 ppm δ = 1024 ± 15 c
p = 0.46 ± 0.01
R2 = 0.999
δ = 545 ± 64 d
p = 0.38 ± 0.05
R2 = 0.998
δ = 0.61 ± 0.03 d
p = 0.12 ± 0.06
R2 = 0.995
δ = 0.000040 ± 0.000003 c
p = 0.05 ± 0.01
R2 = 0.997
Peracetic acid0 ppm (water)δ = 6517 ± 803 a
p = 0.73 ± 0.28
R2 = 0.964
δ = 417,470 ± 85,616 a
p = 0.29 ± 0.08
R2 = 0.969
δ = 73,894 ± 1463 a
p = 0.13 ± 0.08
R2 = 0.959
δ = 41,161 ± 3744 a
p = 0.33 ± 0.06
R2 = 0.987
10 ppmδ = 2859 ± 208 b
p = 0.30 ± 0.08
R2 = 0.972
δ = 169 ± 42 b
p = 0.41 ± 0.08
R2 = 0.984
δ = 52 ± 4 b
p = 0.20 ± 0.08
R2 = 0.954
δ = 2032 ± 171 b
p = 0.30 ± 0.06
R2 = 0.966
20 ppmδ = 1777 ± 889 b
p = 0.44 ± 0.11
R2 = 0.977
d = 27 ± 9 c
δ = 0.24 ± 0.03
R2 = 0.995
δ = 11 ± 4 c
p = 0.18 ± 0.04
R2 = 0.984
δ = 371 ± 19 c
p = 0.30 ± 0.10
R2 = 0.953
50 ppm δ = 124 ± 37 c
p = 0.19 ± 0.03
R2 = 0.994
δ = 6.67 ± 1.78 d
p = 0.20 ± 0.01
R2 = 0.995
δ = 0.70 ± 0.14 d
p = 0.22 ± 0.03
R2 = 0.974
δ = 4.76 ± 0.74 d
p = 0.15 ± 0.01
R2 = 0.999
150 ppmδ = 26 ± 3 d
p = 0.13 ± 0.05
R2 = 0.968
δ = 5.08 ± 1,07 d
p = 0.24 ± 0.04
R2 = 0.989
δ = 0.020 ± 0.001 e
p = 0.13 ± 0.02
R2 = 0.995
δ = 0.010 ± 0.002 e
p = 0.06 ± 0.01
R2 = 0.996
200 ppmδ = 1.75 ± 0.36 d
p = 0.10 ± 0.03
R2 = 0.991
δ = 0.28 ± 0.02 e
p = 0.17 ± 0.04
R2 = 0.987
δ = 0.00010 ± 0.00001 f
p = 0.08 ± 0.02
R2 = 0.993
δ = 0.012 ± 0.001 e
p = 0.09 ± 0.01
R2 = 0.999
a–f Different superscripts in the same column and tested acid, for each one of the Weibull parameters (separately for δ and p-values), indicate significant differences (p < 0.05).
Table 2. Shelf life (days) of gutted gilthead sea bream for different washing conditions during storage at 0, 5, and 10 °C.
Table 2. Shelf life (days) of gutted gilthead sea bream for different washing conditions during storage at 0, 5, and 10 °C.
ControlWater Citric Acid
(200 ppm/10 min)
Peracetic Acid
(200 ppm/4 min)
0 °C11121618
5 °C67119
10 °C4566
Publisher’s Note: MDPI stays neutral with regard to jurisdictional claims in published maps and institutional affiliations.

Share and Cite

MDPI and ACS Style

Ntzimani, A.; Semenoglou, I.; Dermesonlouoglou, E.; Tsironi, T.; Taoukis, P. Surface Decontamination and Shelf-Life Extension of Gilthead Sea Bream by Alternative Washing Treatments. Sustainability 2022, 14, 5887. https://doi.org/10.3390/su14105887

AMA Style

Ntzimani A, Semenoglou I, Dermesonlouoglou E, Tsironi T, Taoukis P. Surface Decontamination and Shelf-Life Extension of Gilthead Sea Bream by Alternative Washing Treatments. Sustainability. 2022; 14(10):5887. https://doi.org/10.3390/su14105887

Chicago/Turabian Style

Ntzimani, Athina, Ioanna Semenoglou, Efimia Dermesonlouoglou, Theofania Tsironi, and Petros Taoukis. 2022. "Surface Decontamination and Shelf-Life Extension of Gilthead Sea Bream by Alternative Washing Treatments" Sustainability 14, no. 10: 5887. https://doi.org/10.3390/su14105887

APA Style

Ntzimani, A., Semenoglou, I., Dermesonlouoglou, E., Tsironi, T., & Taoukis, P. (2022). Surface Decontamination and Shelf-Life Extension of Gilthead Sea Bream by Alternative Washing Treatments. Sustainability, 14(10), 5887. https://doi.org/10.3390/su14105887

Note that from the first issue of 2016, this journal uses article numbers instead of page numbers. See further details here.

Article Metrics

Back to TopTop