Load–Temperature Coupling Effect on the Base Plate End of the Whole Tram Road
Abstract
1. Introduction
2. Theory
2.1. Calculation Method
2.2. Boundary Conditions
2.3. Radiation Intensity
3. Results
3.1. Parameter Setting
3.2. Research Questions
4. Discussion
4.1. Structure Layer Combination
4.1.1. Bed Slab Thickness
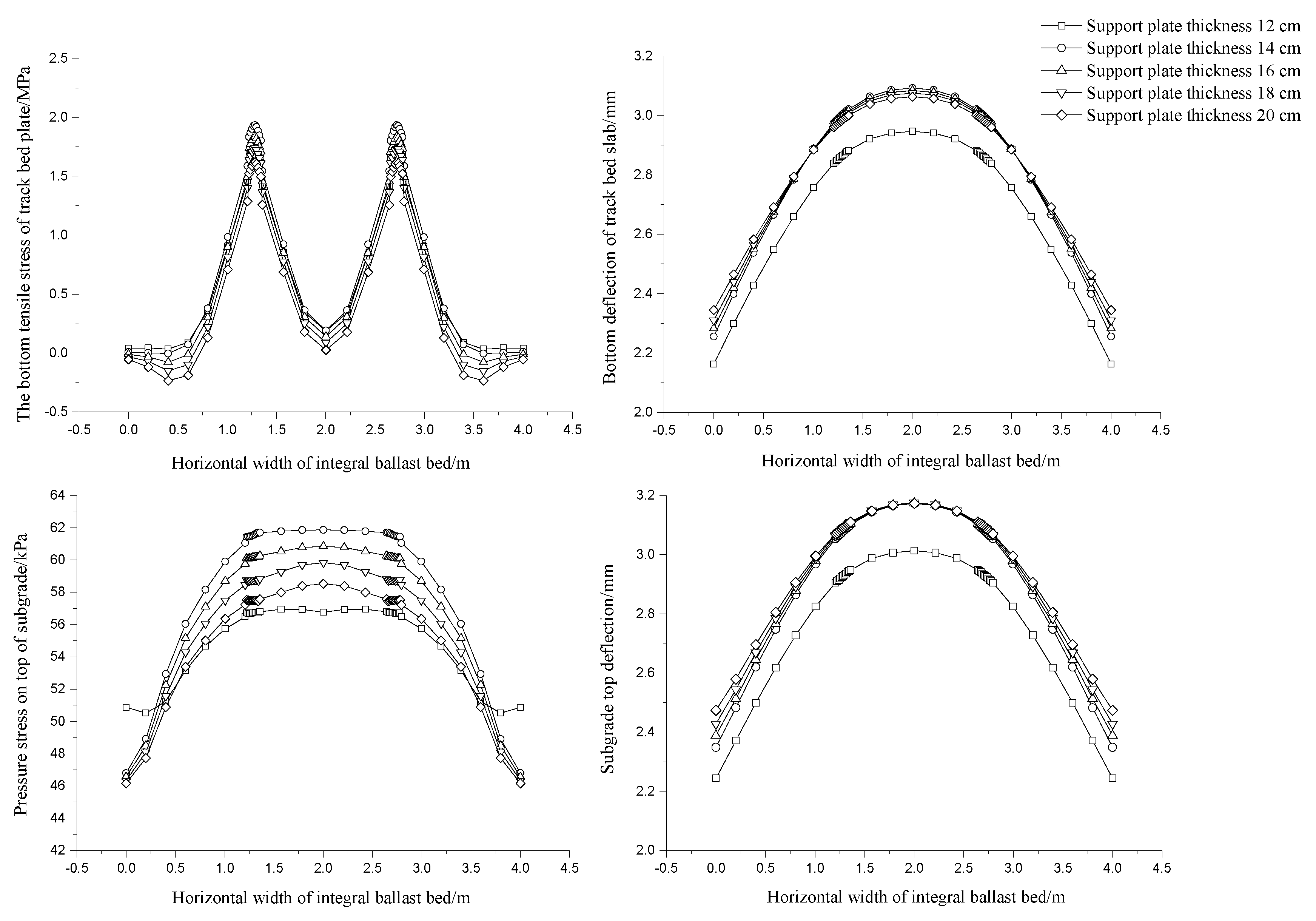
4.1.2. Thickness of Supporting Layer
4.1.3. Contact Conditions
4.2. Material Parameters
4.2.1. Roadbed Plate Modulus
4.2.2. Modulus of Supporting Layer
4.2.3. Subgrade Strength
5. Conclusions
Author Contributions
Funding
Data Availability Statement
Acknowledgments
Conflicts of Interest
References
- Oliwia, P.; Krystian, P. Cargo tram in freight handling in urban areas in Poland. Sustain. Cities Soc. 2021, 70, 102902. [Google Scholar]
- Leune, P.; Steen, E.; De Paepe, P.; Lyphout, C. An overview of tram tracks related cycling injuries in Ghent, Belgium. Traffic Inj. Prev. 2021, 22, 261–265. [Google Scholar] [CrossRef] [PubMed]
- Mesbah, M.; Lin, J.; Currie, G. “Weather” transit is reliable? Using AVL data to explore tram performance in Melbourne, Australia. J. Traffic Transp. Eng. 2015, 2, 125–135. [Google Scholar] [CrossRef][Green Version]
- Posatskyi, B.S.; Mazur, T.M.; Korol, E.I. Development of the tram network in the big city (on the example of Lviv). IOP Conf. Ser. Mater. Sci. Eng. 2020, 907, 20–63. [Google Scholar] [CrossRef]
- Falamarzi, A.; Moridpour, S.; Nazem, M. Development of a tram track degradation prediction model based on the acceleration data. Struct. Infrastruct. Eng. 2019, 15, 1308–1318. [Google Scholar] [CrossRef]
- Guan, Q.H.; Zhang, B.; Xiong, J.Y. Review on basic characteristics, formation mechanisms, and treatment measures of rail corrugation in metro systems. J. Traffic Transp. Eng. 2021, 21, 316–337. [Google Scholar]
- Wang, H.; Li, C.Z. Optimization of arterial green-wave considering turning tram lines. J. Traffic Transp. Eng. 2020, 20, 204–214. [Google Scholar]
- Sheng, X.Z.; Cheng, G.; Thompson, D. Modeling wheel/rail rolling noise for a high-speed train running along an infinitely long periodic slab track. J. Acoust. Soc. Am. 2020, 148, 174–190. [Google Scholar] [CrossRef] [PubMed]
- Jolibois, A.; Defrance, J.; Koreneff, H.; Jean, P.; Duhamel, D.; Sparrow, V.W. In situ measurement of the acoustic performance of a fullscale tramway low height noise barrier prototype. Appl. Acoust. 2015, 94, 57–68. [Google Scholar] [CrossRef]
- Shamalta, M.; Metrikine, A.V. Analytical study of the dynamic response of an embedded railway track to a moving load. Arch. Appl. Mech. 2003, 73, 131–146. [Google Scholar]
- Ling, L.; Han, J.; Xiao, X.B.; Jin, X. Dynamic behavior of an embedded rail track coupled with a tram vehicle. J. Vib. Control. 2017, 23, 2355–2372. [Google Scholar] [CrossRef]
- Guo, Y.; Zhai, W.M.; Sun, Y.; Pei, G.; Jiang, J. Mechanical characteristics of modern tramcar-embedded track system due to differential subgrade settlement. Aust. J. Struct. Eng. 2017, 18, 178–189. [Google Scholar] [CrossRef]
- Xu, J.; Niu, F.J.; Niu, Y.H. Analysis on the effect of replacing-soil method on inhibiting frost heave of railway roadbed in seasonal frozen soil region. China Railw. Sci. 2011, 32, 1–7. [Google Scholar]
- Niu, F.J.; Li, A.Y.; Luo, J.; Lin, Z.; Yin, G.; Liu, M.; Zheng, H.; Liu, H. Soil moisture, ground temperatures, and deformation of a high-speed railway embankment in Northeast China. Cold Reg. Sci. Technol. 2017, 133, 7–14. [Google Scholar] [CrossRef]
- Liu, H.; Niu, F.J.; Niu, Y.H.; Xu, J.; Wang, T. Effect of structures and sunny-shady slopes on thermal characteristics of subgrade along the Harbin–Dalian Passenger Dedicated Line in Northeast China. Cold Reg. Sci. Technol. 2016, 123, 14–21. [Google Scholar] [CrossRef]
- Zhang, C.F. Study on Subgrade Deformation and Prevention Measures of Gongyu Highway in Frozen Soil Swamp Area under Complex Water and Heat Environment. Ph.D. Thesis, Chengdu University of Technology, Chengdu, China, 2020. [Google Scholar]
- Song, H.F. Study on the Roadbed Structure of Anti-frost Heave of High-Speed Railway Subgrade in Deep Seasonally Frozen Region. Ph.D. Thesis, Beijing Jiaotong University, Beijing, China, 2020. [Google Scholar]
- Wang, R.J. Study on the Selection and Design of Pile-Plank Embankment for Modern Tramcar. Master’s Thesis, Southwest Jiaotong University, Chengdu, China, 2017. [Google Scholar]
- Japan Railway Construction Morioka Association. Res. Subgrade Eng. Des. 1999, 1999, 23–98.
- Zhang, M. Mechanical Characteristic and Optimization Study on Longitudinal-Sleeper Track Structure on Subgrade of Tram. Master’s Thesis, Southwest Jiaotong University, Chengdu, China, 2017. [Google Scholar]
- He, Y. Tram Embankment Load Characteristics and Construction Design. Master’s Thesis, Southwest Jiaotong University, Chengdu, China, 2016. [Google Scholar]
- Qi, G.T. Evaluation Research on Girder Body and Components of Track Structure of Bridge Tramcar. Master’s Thesis, Southwest Jiaotong University, Chengdu, China, 2015. [Google Scholar]
- Mo, H.Y. Study on the Geometry Optimization of Embedded Track. Master’s Thesis, Southwest Jiaotong University, Chengdu, China, 2015. [Google Scholar]
- Li, X.B. Research on Interaction between Girder and Track on Modern Trams Bridge with the Structure of Embedded Track. Master’s Thesis, Southwest Jiaotong University, Chengdu, China, 2015. [Google Scholar]
- Li, T. Frost Heaven Test and Its Law Research of the Subgrade Silty Clay under Temperature–Stress. Master’s Thesis, Harbin Institute of Technology, Harbin, China, 2019. [Google Scholar]
- Lin, B. Mechanical Properties of Thawed Clay and Permanent Deformation of Subgrade in Seasonal Frozen Regions. Ph.D. Thesis, Harbin Institute of Technology, Harbin, China, 2019. [Google Scholar]
- Huang, Y.Q. Research on the Settlement of Embankment and Mechanism of Pavement for Freeway. Ph.D. Thesis, Central South University, Changsha, China, 2010. [Google Scholar]
- Huang, C.W.; Xie, Y.; Wei, Y.Z.; Wang, K. Analysis of Influencing Factors on Central Load and Temperature Coupling Effect of Tram Monolithic Roadbed. In Civil, Architectural, and Hydraulic Engineering IV; Kim, Y.-H., Ed.; CRC Press: Boca Raton, FL, USA, 2016; pp. 569–575. [Google Scholar]
- AASHTO. Guide for Mechanistic-Empirical Design of New and Rehabilitated Pavement Structures; AASHTO: Washington, DC, USA, 2020. [Google Scholar]














| Parameters | Conductivity (W/(m·°C)) | Specific Heat (J/(kg·°C)) | Density (kg/m3) | Emissivity / | Film Coefficient (W/(m2·K)) |
|---|---|---|---|---|---|
| Monolithic bed board | 2.54 | 988 | 2500 | 0.94 | 13 |
| Support layer | 1.0 | 817 | 2000 | / | / |
| Soil base | 1.2 | 879 | 1870 | / | / |
| Steel | 34.9 | 520 | 7800 | / | / |
| Thickness of Track Bed /cm | Characteristic Points of Extreme Values of Mechanical Behavior | |||||||
|---|---|---|---|---|---|---|---|---|
| Horizontal | Vertical | |||||||
| 20 | 2.239 | 3.301 | 66.645 | 3.387 | 2.059 | 2.719 | 100.566 | 3.965 |
| 22 | 2.069 | 3.219 | 64.205 | 3.304 | 2.133 | 2.708 | 88.990 | 3.811 |
| 24 | 1.957 | 3.126 | 62.013 | 3.210 | 2.166 | 2.705 | 82.335 | 3.655 |
| 26 | 1.841 | 3.051 | 60.764 | 3.136 | 2.158 | 2.710 | 78.769 | 3.535 |
| 28 | 1.746 | 2.977 | 59.202 | 3.062 | 2.115 | 2.718 | 77.112 | 3.427 |
| Support Layer Thickness /cm | Characteristic Points of Extreme Values of Mechanical Behavior | |||||||
|---|---|---|---|---|---|---|---|---|
| Horizontal | Vertical | |||||||
| 12 | 1.789 | 2.947 | 56.954 | 3.013 | 2.052 | 2.620 | 73.871 | 3.434 |
| 14 | 1.934 | 3.093 | 61.861 | 3.172 | 2.170 | 2.704 | 81.336 | 3.595 |
| 16 | 1.837 | 3.084 | 60.848 | 3.174 | 2.164 | 2.710 | 79.007 | 3.596 |
| 18 | 1.739 | 3.075 | 59.835 | 3.175 | 2.157 | 2.716 | 77.439 | 3.597 |
| 20 | 1.621 | 3.063 | 58.531 | 3.173 | 2.153 | 2.725 | 75.908 | 3.595 |
| Coefficient of Friction between Layers | Characteristic Points of Extreme Values of Mechanical Behavior | |||||||
|---|---|---|---|---|---|---|---|---|
| Horizontal | Horizontal | |||||||
| 0.2 | 1.900 | 3.182 | 63.485 | 3.265 | 2.154 | 2.739 | 90.267 | 3.726 |
| 0.6 | 1.898 | 3.127 | 62.132 | 3.212 | 2.158 | 2.726 | 84.807 | 3.649 |
| 0.9 | 1.896 | 3.088 | 61.293 | 3.173 | 2.166 | 2.709 | 79.477 | 3.593 |
| 1.2 | 1.904 | 3.055 | 61.298 | 3.140 | 2.178 | 2.693 | 81.020 | 3.545 |
| 1.5 | 1.877 | 3.039 | 61.328 | 3.125 | 2.190 | 2.687 | 83.147 | 3.527 |
| Track Bed Slab Modulus/GPa | Characteristic Points of Extreme Values of Mechanical Behavior | |||||||
|---|---|---|---|---|---|---|---|---|
| Horizontal | Horizontal | |||||||
| 30 | 1.728 | 3.208 | 63.448 | 3.293 | 1.673 | 2.691 | 89.670 | 3.965 |
| 35 | 1.814 | 3.142 | 62.127 | 3.227 | 1.921 | 2.691 | 83.631 | 3.811 |
| 40 | 1.896 | 3.088 | 61.293 | 3.173 | 2.166 | 2.709 | 79.477 | 3.655 |
| 45 | 1.975 | 3.038 | 60.832 | 3.122 | 2.407 | 2.725 | 78.136 | 3.535 |
| 50 | 2.049 | 2.992 | 60.205 | 3.076 | 2.642 | 2.749 | 76.933 | 3.427 |
| Support Layer Modulus /GPa | Characteristic Points of Extreme Values of Mechanical Behavior | |||||||
|---|---|---|---|---|---|---|---|---|
| Horizontal | Horizontal | |||||||
| 6 | 2.008 | 3.119 | 60.644 | 3.119 | 2.196 | 2.709 | 85.255 | 3.628 |
| 9 | 1.952 | 3.103 | 60.333 | 3.103 | 2.180 | 2.703 | 82.208 | 3.610 |
| 12 | 1.896 | 3.088 | 61.293 | 3.173 | 2.166 | 2.709 | 79.477 | 3.593 |
| 15 | 1.821 | 3.078 | 61.367 | 3.162 | 2.154 | 2.708 | 78.886 | 3.585 |
| 18 | 1.764 | 3.065 | 61.247 | 3.150 | 2.143 | 2.712 | 78.637 | 3.572 |
| Soil Foundation Modulus/ MPa | Characteristic Points of Extreme Values of Mechanical Behavior | |||||||
|---|---|---|---|---|---|---|---|---|
| Horizontal | Horizontal | |||||||
| 30 | 2.146 | 6.197 | 39.553 | 6.273 | 1.702 | 5.219 | 50.987 | 6.945 |
| 45 | 2.023 | 4.158 | 50.860 | 4.240 | 2.166 | 2.709 | 66.404 | 4.747 |
| 60 | 1.896 | 3.088 | 61.293 | 3.173 | 2.251 | 2.157 | 79.477 | 3.593 |
| 75 | 1.793 | 2.420 | 71.311 | 2.506 | 2.098 | 2.264 | 93.651 | 2.870 |
| 90 | 1.700 | 1.943 | 79.029 | 2.030 | 2.306 | 1.776 | 101.216 | 2.349 |
Publisher’s Note: MDPI stays neutral with regard to jurisdictional claims in published maps and institutional affiliations. |
© 2022 by the authors. Licensee MDPI, Basel, Switzerland. This article is an open access article distributed under the terms and conditions of the Creative Commons Attribution (CC BY) license (https://creativecommons.org/licenses/by/4.0/).
Share and Cite
Huang, C.; Zhu, M.; Sun, Y. Load–Temperature Coupling Effect on the Base Plate End of the Whole Tram Road. Sustainability 2022, 14, 6438. https://doi.org/10.3390/su14116438
Huang C, Zhu M, Sun Y. Load–Temperature Coupling Effect on the Base Plate End of the Whole Tram Road. Sustainability. 2022; 14(11):6438. https://doi.org/10.3390/su14116438
Chicago/Turabian StyleHuang, Chongwei, Meixuan Zhu, and Yu Sun. 2022. "Load–Temperature Coupling Effect on the Base Plate End of the Whole Tram Road" Sustainability 14, no. 11: 6438. https://doi.org/10.3390/su14116438
APA StyleHuang, C., Zhu, M., & Sun, Y. (2022). Load–Temperature Coupling Effect on the Base Plate End of the Whole Tram Road. Sustainability, 14(11), 6438. https://doi.org/10.3390/su14116438

