Optimized Intersection Signal Timing: An Intelligent Approach-Based Study for Sustainable Models
Abstract
1. Introduction
2. Background
2.1. Genetic Algorithm and Particle Swarm Optimization
2.2. Garra Rufa–Inspired (GRI) Algorithm
3. Research Methodology
3.1. Research Flow
3.2. RMSE and GEH
3.3. Proposed Model
4. Data Collection
5. Results
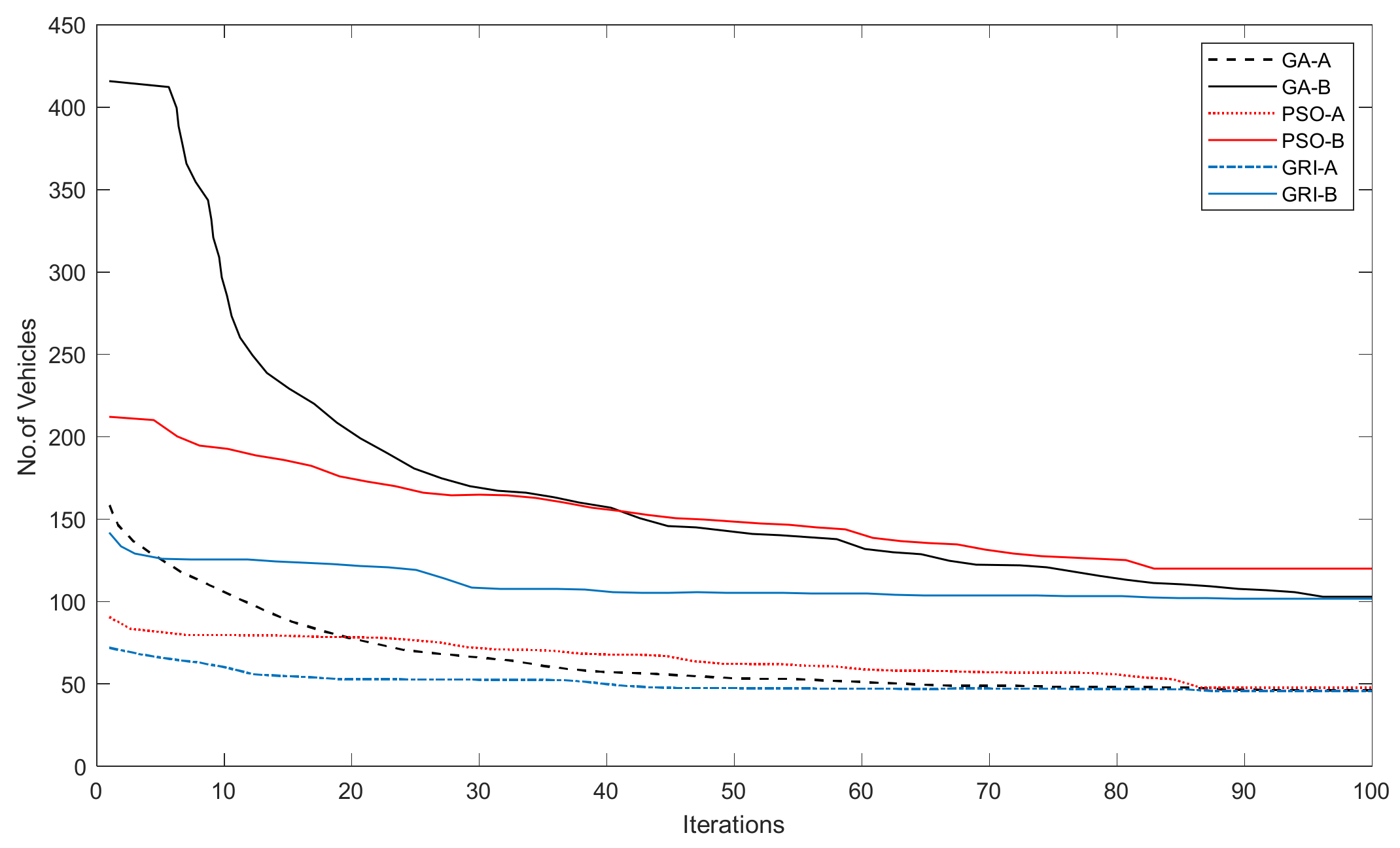
5.1. Optimized Signal Timing and Number of Vehicles in a Queue
5.2. SIDRA Calibration and Validation with RMSE and GEH
5.3. Capacity, Travel Speed, Vehicle Delay, and CO2
6. Conclusions and Future Works
Author Contributions
Funding
Institutional Review Board Statement
Informed Consent Statement
Data Availability Statement
Conflicts of Interest
References
- Arel, I.; Liu, C.; Urbanik, T.; Kohls, A. Reinforcement learning-based multi-agent system for network traffic signal control. IET Intell. Transp. Syst. 2010, 4, 128–135. [Google Scholar] [CrossRef]
- Nair, A.S.; Liu, J.C.; Rilett, L.; Gupta, S. Non-linear analysis of traffic flow. In Proceedings of the ITSC 2001, IEEE Intelligent Transportation Systems. Proceedings (Cat. No. 01TH8585), Oakland, CA, USA, 25–29 August 2001; IEEE: Piscataway, NJ, USA, 2001. [Google Scholar] [CrossRef]
- Khadhir, A.; Vanajakshi, L.D.; Bhaskar, A. A Microsimulation-Based Stochastic Optimization Approach for Optimal Traffic Signal Design. Transp. Dev. Econ. 2020, 6, 19. [Google Scholar] [CrossRef]
- Sun, L.; Tao, J.; Li, C.; Wang, S.; Tong, Z. Microscopic Simulation and Optimization of Signal Timing based on Multi-Agent: A Case Study of the Intersection in Tianjin. KSCE J. Civ. Eng. 2018, 22, 3373–3382. [Google Scholar] [CrossRef]
- Camagni, R.; Gibelli, M.C.; Rigamonti, P. Urban mobility and urban form: The social and environmental costs of different patterns of urban expansion. Ecol. Econ. 2002, 40, 199–216. [Google Scholar] [CrossRef]
- Goodwin, P.B. Empirical evidence on induced traffic. Transportation 1996, 23, 35–54. [Google Scholar] [CrossRef]
- Hymel, K. If you build it, they will drive: Measuring induced demand for vehicle travel in urban areas. Transp. Policy 2019, 76, 57–66. [Google Scholar] [CrossRef]
- Webster, F. Traffic Signal Settings, Road Research Technical Paper No. 39, Road Research Laboratory; Her Majesty Stationary Office: London, UK, 1958. [Google Scholar]
- Akçelik, R. Traffic Signals: Capacity and Timing Analysis; Australian Road Research Board: Melbourne, VIC, Australia, 1981. [Google Scholar]
- Karoonsoontawong, A.; Waller, S.T. Integrated network capacity expansion and traffic signal optimization problem: Robust bi-level dynamic formulation. Netw. Spat. Econ. 2010, 10, 525–550. [Google Scholar] [CrossRef]
- Srivastava, S.; Sahana, S.K. Nested hybrid evolutionary model for traffic signal optimization. Appl. Intell. 2017, 46, 113–123. [Google Scholar] [CrossRef]
- Sun, S.; Song, B.; Wang, P.; Dong, H.; Chen, X. Shape optimization of underwater wings with a new multi-fidelity bi-level strategy. Struct. Multidiscip. Optim. 2020, 61, 319–341. [Google Scholar] [CrossRef]
- Ahmed, A.; Mehdi, M.R.; Rizvi, S.M.A.; Fatima, T. Evaluation of existing performance and potential for optimization of traffic signals in Karachi. Arab. J. Sci. Eng. 2019, 44, 8747–8759. [Google Scholar] [CrossRef]
- Tokuda, S.; Kanamori, R.; Ito, T. A modification of the stochastic cell transmission model for urban networks. Int. J. Intell. Transp. Syst. Res. 2017, 15, 73–84. [Google Scholar] [CrossRef]
- Niittymäki, J.; Pursula, M. Signal control using fuzzy logic. Fuzzy Sets Syst. 2000, 116, 11–22. [Google Scholar] [CrossRef]
- Onieva, E.; Milanés, V.; Villagrá, J.; Pérez, J.; Godoy, J. Genetic optimization of a vehicle fuzzy decision system for intersections. Expert Syst. Appl. 2012, 39, 13148–13157. [Google Scholar] [CrossRef]
- Khooban, M.H.; Vafamand, N.; Liaghat, A.; Dragicevic, T. An optimal general type-2 fuzzy controller for Urban Traffic Network. ISA Trans. 2017, 66, 335–343. [Google Scholar] [CrossRef]
- Royani, T.; Haddadnia, J.; Alipoor, M. Control of traffic light in isolated intersections using fuzzy neural network and genetic algorithm. Int. J. Comput. Electr. Eng. 2013, 5, 142–146. [Google Scholar] [CrossRef]
- Araghi, S.; Khosravi, A.; Creighton, D. Comparing the performance of different types of distributed fuzzy-based traffic signal controllers. J. Intell. Fuzzy Syst. 2019, 36, 6155–6166. [Google Scholar] [CrossRef]
- Jabbarpour, M.R.; Zarrabi, H.; Khokhar, R.H.; Shamshirband, S.; Choo, K.K.R. Applications of computational intelligence in vehicle traffic congestion problem: A survey. Soft Comput. 2018, 22, 2299–2320. [Google Scholar] [CrossRef]
- Ceylan, H.; Bell, M.G. Traffic signal timing optimisation based on genetic algorithm approach, including drivers’ routing. Transp. Res. Part B Methodol. 2004, 38, 329–342. [Google Scholar] [CrossRef]
- Turky, A.M.; Ahmad, M.S.; Yusoff, M.Z.M. The use of genetic algorithm for traffic light and pedestrian crossing control. Int. J. Comput. Sci. Netw. Secur. 2009, 9, 88–96. [Google Scholar]
- Odeh, S.M. Management of an intelligent traffic light system by using genetic algorithm. J. Image Graph. 2013, 1, 90–93. [Google Scholar] [CrossRef]
- Liu, M.; Oeda, Y.; Sumi, T. Multi-Objective Optimization of Intersection Signal Time Based on Genetic Algorithm. Mem. Fac. Eng. Kyushu Univ. 2018, 78, 14–23. [Google Scholar]
- Possel, B.; Wismans, L.J.J.; Van Berkum, E.C.; Bliemer, M.C.J. The multi-objective network design problem using minimizing externalities as objectives: Comparison of a genetic algorithm and simulated annealing framework. Transportation 2018, 45, 545–572. [Google Scholar] [CrossRef]
- Guo, J.; Kong, Y.; Li, Z.; Huang, W.; Cao, J.; Wei, Y. A model and genetic algorithm for area-wide intersection signal optimization under user equilibrium traffic. Math. Comput. Simul. 2019, 155, 92–104. [Google Scholar] [CrossRef]
- Renfrew, D.; Yu, X.H. Traffic signal control with swarm intelligence. In Proceedings of the 2009 Fifth International Conference on Natural Computation, Tianjin, China, 14–16 August 2009; IEEE: Piscataway, NJ, USA, 2009. [Google Scholar] [CrossRef]
- García-Nieto, J.; Olivera, A.C.; Alba, E. Optimal cycle program of traffic lights with particle swarm optimization. IEEE Trans. Evol. Comput. 2013, 17, 823–839. [Google Scholar] [CrossRef]
- Wijaya, I.G.P.S.; Uchimura, K.; Koutaki, G. Traffic light signal parameters optimization using particle swarm optimization. In Proceedings of the 2015 International Seminar on Intelligent Technology and Its Applications (ISITIA), Surabaya, Indonesia, 20–21 May 2015; IEEE: Piscataway, NJ, USA, 2015. [Google Scholar] [CrossRef]
- Jia, H.; Lin, Y.; Luo, Q.; Li, Y.; Miao, H. Multi-objective optimization of urban road intersection signal timing based on particle swarm optimization algorithm. Adv. Mech. Eng. 2019, 11, 1687814019842498. [Google Scholar] [CrossRef]
- Shaikh, P.W.; El-Abd, M.; Khanafer, M.; Gao, K. A review on swarm intelligence and evolutionary algorithms for solving the traffic signal control problem. IEEE Trans. Intell. Transp. Syst. 2020, 23, 48–63. [Google Scholar] [CrossRef]
- Jafari, S.; Shahbazi, Z.; Byun, Y.-C. Designing the Controller-Based Urban Traffic Evaluation and Prediction Using Model Predictive Approach. Appl. Sci. 2022, 12, 1992. [Google Scholar] [CrossRef]
- Jafari, S.; Shahbazi, Z.; Byun, Y.-C. Signal Traffic Optimization Using Control Algorithm in Urban Traffic Framew. Turk. J. Comput. Math. Educ. 2022, 13, 803–819. [Google Scholar]
- Gao, K.; Zhang, Y.; Sadollah, A.; Lentzakis, A.; Su, R. Jaya, harmony search and water cycle algorithms for solving large-scale real-life urban traffic light scheduling problem. Swarm Evol. Comput. 2017, 37, 58–72. [Google Scholar] [CrossRef]
- Ferrer, J.; López-Ibáñez, M.; Alba, E. Reliable simulation-optimization of traffic lights in a real-world city. Appl. Soft Comput. 2019, 78, 697–711. [Google Scholar] [CrossRef]
- Qadri, S.S.S.M.; Gökçe, M.A.; Öner, E. State-of-art review of traffic signal control methods: Challenges and opportunities. Eur. Transp. Res. Rev. 2020, 12, 55. [Google Scholar] [CrossRef]
- An, H.K.; Yue, W.L.; Stazic, B. Dual signal roundabout evaluation in Adelaide using SIDRA and AIMSUN. Road Transp. Res. A J. Aust. N. Z. Res. Pract. 2017, 26, 36–49. [Google Scholar]
- Akmaz, M.M.; Çelik, O.N. Examination of Signalized Intersections According to Australian and HCM (Highway Capacity Manual) Methods Using Sidra Intersection Software. J. Civ. Eng. Arch. 2016, 10, 246–259. [Google Scholar] [CrossRef][Green Version]
- Pitsiava-Latinopoulou, M.; Mustafa, M.A. The Accuracy of Estimating Delay at Signalized Intersections: A Comparison Between Two Methods. Traffic Eng. Control 1992, 33, 306–311. [Google Scholar]
- Chai, T.; Draxler, R.R. Root mean square error (RMSE) or mean absolute error (MAE)? Arguments against avoiding RMSE in the literature. Geosci. Model Dev. 2014, 7, 1247–1250. [Google Scholar] [CrossRef]
- Xevi, E.; Christiaens, K.; Espino, A.; Sewnandan, W.; Mallants, D.; Sørensen, H.; Feyen, J. Calibration, validation and sensitivity analysis of the MIKE-SHE model using the Neuenkirchen catchment as case study. Water Resour. Manag. 1997, 11, 219–242. [Google Scholar] [CrossRef]
- Mentaschi, L.; Besio, G.; Cassola, F.; Mazzino, A. Problems in RMSE-based wave model validations. Ocean Model. 2013, 72, 53–58. [Google Scholar] [CrossRef]
- Dewees, D.N. Estimating the time costs of highway congestion. Econom. J. Econom. Soc. 1979, 47, 1499–1512. [Google Scholar] [CrossRef]
- Paz, A.; Molano, V.; Gaviria, C. Calibration of CORSIM models considering all model parameters simultaneously. In Proceedings of the 15th International IEEE Conference on Intelligent Transportation Systems, Anchorage, AK, USA, 16–19 September 2012. [Google Scholar]
- Vasconcelos, L.; Silva, A.B.; Seco, A.; Silva, J.P. Estimating the parameters of Cowan’s M3 headway distribution for roundabout analyses. Balt. J. Road Bridge Eng. 2012, 7, 216–268. [Google Scholar] [CrossRef]
- Vuk, G.; Hansen, C.O. Validating the Passenger Traffic Model for Copenhagen. Transportation 2006, 33, 371–392. [Google Scholar] [CrossRef]








| Intersection | Signal Display Time (s) | |||
|---|---|---|---|---|
| Phase 1 | Phase 2 | Phase 3 | Phase 4 | |
| A | ![]() | ![]() | ![]() | ![]() |
| Total 140 s | Green 77 s (Yellow 3 s) | Green 14 s (Yellow 3 s) | Green 14 s (Yellow 3 s) | Green 35 s (Yellow 3 s) |
| B | ![]() | ![]() | ![]() | ![]() |
| Total 120 s | Green 63 s (Yellow 3 s) | Green 15 s (Yellow 3 s) | Green 21 s (Yellow 3 s) | Green 21 s (Yellow 3 s) |
| Intersection | Traffic Volume (vph) | ||||||||||||
|---|---|---|---|---|---|---|---|---|---|---|---|---|---|
| Eastern Approach | Southern Approach | Western Approach | Northern Approach | Total | |||||||||
| L | S | R | L | S | R | L | S | R | L | S | R | ||
| A | 77 | 2780 | 88 | 44 | 65 | 94 | 109 | 1794 | 119 | 69 | 83 | 211 | 5533 |
| B | 114 | 1671 | 9 | 493 | 130 | 79 | 104 | 1470 | 226 | 58 | 89 | 24 | 4467 |
| Intersection | Number of Vehicles in the Queue (Vehicles) | ||||
|---|---|---|---|---|---|
| East | South | West | North | Average | |
| A | 30.5 | 4.5 | 35.5 | 2.7 | 31.8 |
| B | 49.3 | 36.2 | 49.1 | 33.1 | 40.1 |
| GRI Optimization | |||
|---|---|---|---|
| Intersection A | Intersection B | ||
| Signal timing | Cycle length | 147 s | 138 s |
| Phase 1 | 79 s | 72 s | |
| Phase 2 | 10 s | 12 s | |
| Phase 3 | 10 s | 21 s | |
| Phase 4 | 36 s | 21 s | |
| No. of vehicles in a queue | East | 27.1 vehicles | 39.2 vehicles |
| South | 3.7 vehicles | 30.9 vehicles | |
| West | 30.5 vehicles | 44.5 vehicles | |
| North | 2.2 vehicles | 30.2 vehicles | |
| Average | 28.6 vehicles | 33.5 vehicles | |
| Time | Number of Vehicles in a Queue | |||||||
|---|---|---|---|---|---|---|---|---|
| East | South | West | North | |||||
| GRI | SIDRA | GRI | SIDRA | GRI | SIDRA | GRI | SIDRA | |
| 07:30–07:35 | 28.8 | 30.0 | 4.1 | 3.7 | 38.5 | 41.0 | 2.3 | 2.5 |
| 07:35–07:40 | 29.1 | 30.8 | 5.1 | 4.6 | 32.0 | 35.9 | 2.5 | 2.5 |
| 07:40–07:45 | 30.2 | 31.7 | 2.9 | 3.3 | 33.6 | 38.3 | 2.1 | 2.0 |
| 07:45–07:50 | 30.6 | 32.5 | 4.6 | 4.4 | 46.2 | 47.0 | 2.0 | 2.0 |
| 07:50–07:55 | 32.1 | 32.7 | 4.1 | 4.3 | 38.0 | 43.5 | 2.0 | 2.5 |
| 07:55–08:00 | 30.1 | 30.8 | 5.3 | 4.7 | 36.3 | 38.7 | 2.0 | 2.0 |
| 08:00–08:05 | 32.3 | 33.3 | 4.8 | 4.5 | 37.8 | 41.6 | 2.7 | 3.0 |
| 08:05–08:10 | 33.4 | 33.4 | 6.5 | 5.2 | 37.5 | 42.2 | 2.2 | 2.5 |
| 08:10–08:15 | 31.5 | 31.6 | 4.8 | 4.9 | 39.0 | 43.5 | 1.9 | 2.1 |
| 08:15–08:20 | 33.9 | 34.1 | 5.3 | 5.7 | 32.3 | 36.8 | 2.0 | 2.5 |
| 08:20–08:25 | 34.1 | 35.3 | 4.6 | 4.4 | 33.5 | 37.6 | 2.1 | 2.3 |
| 08:25–08:30 | 34.8 | 35.8 | 3.5 | 3.7 | 45.7 | 47.5 | 1.5 | 1.5 |
| RMSE | 1.08 | 0.46 | 3.76 | 0.20 | ||||
| GEH | 0.15 | 0.16 | 0.57 | 0.10 | ||||
| Time | Number of Vehicles in a Queue | |||||||
|---|---|---|---|---|---|---|---|---|
| East | South | West | North | |||||
| GRI | SIDRA | GRI | SIDRA | GRI | SIDRA | GRI | SIDRA | |
| 07:30–07:35 | 48.3 | 46.8 | 35.9 | 32.4 | 50.1 | 50.1 | 32.4 | 32.0 |
| 07:35–07:40 | 49.7 | 47.4 | 31.1 | 30.9 | 45.8 | 48.3 | 32.3 | 32.1 |
| 07:40–07:45 | 52.3 | 47.4 | 43.1 | 37.2 | 54.9 | 52.1 | 30.9 | 31.6 |
| 07:45–07:50 | 53.0 | 50.4 | 35.9 | 34.1 | 59.7 | 53.2 | 31.2 | 31.5 |
| 07:50–07:55 | 55.9 | 53.1 | 37.5 | 34.0 | 48.2 | 50.3 | 32.1 | 31.7 |
| 07:55–08:00 | 51.2 | 48.3 | 42.8 | 37.3 | 49.9 | 49.3 | 31.7 | 31.8 |
| 08:00–08:05 | 50.5 | 47.6 | 43.3 | 36.7 | 56.5 | 52.1 | 30.5 | 31.6 |
| 08:05–08:10 | 48.6 | 45.9 | 37.5 | 33.1 | 50.6 | 49.8 | 33.1 | 32.4 |
| 08:10–08:15 | 54.1 | 51.2 | 38.2 | 34.6 | 54.0 | 51.1 | 30.4 | 31.5 |
| 08:15–08:20 | 56.7 | 52.5 | 43.7 | 37.1 | 53.9 | 51.2 | 32.6 | 31.9 |
| 08:20–08:25 | 48.9 | 47.3 | 39.8 | 35.1 | 54.6 | 51.3 | 32.4 | 32.2 |
| 08:25–08:30 | 49.4 | 48.0 | 41.8 | 36.5 | 50.3 | 49.8 | 33.2 | 32.2 |
| RMSE | 2.91 | 4.64 | 2.99 | 0.63 | ||||
| GEH | 0.39 | 0.69 | 0.33 | 0.09 | ||||
Publisher’s Note: MDPI stays neutral with regard to jurisdictional claims in published maps and institutional affiliations. |
© 2022 by the authors. Licensee MDPI, Basel, Switzerland. This article is an open access article distributed under the terms and conditions of the Creative Commons Attribution (CC BY) license (https://creativecommons.org/licenses/by/4.0/).
Share and Cite
An, H.K.; Awais Javeed, M.; Bae, G.; Zubair, N.; M. Metwally, A.S.; Bocchetta, P.; Na, F.; Javed, M.S. Optimized Intersection Signal Timing: An Intelligent Approach-Based Study for Sustainable Models. Sustainability 2022, 14, 11422. https://doi.org/10.3390/su141811422
An HK, Awais Javeed M, Bae G, Zubair N, M. Metwally AS, Bocchetta P, Na F, Javed MS. Optimized Intersection Signal Timing: An Intelligent Approach-Based Study for Sustainable Models. Sustainability. 2022; 14(18):11422. https://doi.org/10.3390/su141811422
Chicago/Turabian StyleAn, Hong Ki, Muhammad Awais Javeed, Gimok Bae, Nimra Zubair, Ahmed Sayed M. Metwally, Patrizia Bocchetta, Fan Na, and Muhammad Sufyan Javed. 2022. "Optimized Intersection Signal Timing: An Intelligent Approach-Based Study for Sustainable Models" Sustainability 14, no. 18: 11422. https://doi.org/10.3390/su141811422
APA StyleAn, H. K., Awais Javeed, M., Bae, G., Zubair, N., M. Metwally, A. S., Bocchetta, P., Na, F., & Javed, M. S. (2022). Optimized Intersection Signal Timing: An Intelligent Approach-Based Study for Sustainable Models. Sustainability, 14(18), 11422. https://doi.org/10.3390/su141811422







