Abstract
Germination models are really useful in predicting seed germination, attributed to their application in economic crop management. Hence, we evaluated cardinal temperatures (Ts), seed germination behavior, and model coefficients of fenugreek under varying temperatures (Ts; 10, 20, 30, and 40 °C) and water potentials (ψs 0, −0.01, −0.02, and −0.05 MPa). We observed that the maximum and minimum hydrotime constant (θH) values at 20 °C, respectively. The base water potential at 50 percentiles (Ψb 50) exhibited an asymmetrical pattern with the highest (−0.9 MPa) value computed at 40 °C and the lowest (−0.13 MPa) at 10 °C. Furthermore, the ceiling temperature (TC), base temperature (Tb), and optimal temperature (To) of Fenugreek were determined to be 34.5 °C, 7.8 °C, and 18 °C, respectively. In addition, we observed that germination index, germination rate index, germination percentage, germination energy, Timson germination index, seed vigor index I and II, and root-shoot ratio are at their highest values at 20 °C and lowest at −0.05 MPa at 40 °C. Based on our findings, we suggest that the hydrothermal time model (HTT) can be used to explore the independent and synergistic effects of both T and ψ on the germination of seeds in different environmental conditions. The obtained model coefficients indicate that fenugreek is temperature-sensitive and suitable for agriculture in irrigated regions.
1. Introduction
Fenugreek (Trigonella foenum-graecum L.) is a herbaceous plant species that belongs to the family Leguminosae. It is cultivated in different countries various worldwide, including Pakistan, India, Canada, China, Egypt, Greece, Turkey, and Morocco [1]. As a multipurpose crop, it is used as a culinary spice, a condiment to flavor different syrups, and in manufacturing steroids and other hormones utilized in the nutraceutical, pharmaceutical, and functional food industries [2]. Fenugreek seeds and leaves contain volatile essential oils that are used for various medicinal purposes, including anti-diabetes, anti-cancer, antimicrobial, etc.). Further, it is also used to produce edibles, pesticides, and perfume in different countries [3]. There is no doubt that the germination of seeds is a complex physiological scenario that is sensitive to external factors, including salinity, water potential, drought, and temperature [4,5,6,7,8,9]. The development of germination models has led to a better understanding of why and seeds germinate differently in varying environmental conditions.
Seed germination and early seedlings’ growth are the most sensitive phases in a plant’s life cycle, which depend on the genetic makeup and environmental stress factors. For instance, temperature and osmotic potential are the two most important factors influencing the germination of seed [10]. Because of the relationship between seed germination, temperature, and dormancy, a rise in temperature can have a diminishing impact on the emergence and establishment of plant species. It is widely known that temperature influences seed germination (SG) [11]. The values of three cardinal Ts of SG must be understood when determining the suitable planting date for species, namely Tb (stands for low temperature; SG = zero); To (stans for optimal temperature; SG = maximum); and Tc (stands for ceiling temperature; SG = zero) [12,13]. A lack of water is a major concern for seed germination, seedlings growth, and productivity as a result of fluctuations in temperature, rainfall, and atmospheric humidity [14]. Several basic aspects of crop plants, including Fenugreek, require a deeper understanding to optimize their management in changing climate conditions, including their geographic locations and the behavior and physiological metabolism of germinating seeds. Therefore, the understandings and use of germination models are effective in forecasting the phenomenon of seed germination and subsequent seedling emergence in response to changing temperatures and water availability.
For example, the thermal time model (TT) determines the impact of varying Ts on seed germination, whereas hydrotime models (HT) estimate how ψ affects seed germination [15]. Further, the results of both the TT and HT models may help the investigators to evaluate the attributes of seed succession attributes. Hydrothermal time models assess the synergistic effect of Ts and ψ on seed germination [16]. HTT is a useful and important population-based threshold model that describes germination times to varying ψ and T in the supraoptimal range (To to Tc) and suboptimal range (Tb to To) [17]. There have been reports of plants adopting the HTT model approach, including Carthamus tinctorius L. [18], Lathyrus sativus max L. [19], Eruca sativa L. [8], Hordeum vulgare L. [9], and Triticum aestivum L. [12]. Considering the impact of temperature and water availability on fenugreek cultivation in semi-desert regions, the research objectives were as follows: Considering the effects of temperature and water availability on fenugreek cultivation in semi-desert regions, the research objectives were as follows, (i) to determine seed germination rate, and its related attributes, seedlings length in response to varying T and ψ, independently or synergistically (ψ × T), (ii) to evaluate osmotic tolerance threshold and (iii) to compute the cardinal temperatures of fenugreek via HTT coefficients.
2. Materials and Methods
2.1. Experimental Protocol and Seed Germination
We obtained Fenugreek seeds (97% viability rate) from Nuclear Institute for Food and Agriculture (NIFA), Peshawa, Pakistan. We selected healthy seeds of similar size and shape, surface sterilized them (91% ethanol) for 2 min, then washed them with distilled water and shade dried them at room temperature [20]. A complete block design (CBD) experiment was conducted in Petri dishes at the Department of Botany, University of Peshawar, KP, Pakistan, between October and December 2021. The fenugreek seeds were subjected to four constant Ts (10, 20, 30, and 40 °C) and four ψs (0, −0.01, −0.02, and −0.05 MPa) by using an incubator (Memmert Beschickung-Loading Model 100–800). The Petri dishes contained 40 seeds, which were moistened with double distilled water (0 Mpa) and polyethylene glycol (PEG-6000) at four varying concentrations. The treatments were replicated three times, with the data being collected daily for five consecutive days. Germination time courses were analyzed at various accelerated aging periods, and the parameters of thermal time (TT), hydro time (HT), and hydrothermal time (HTT) models were determined using repeated Probit regression analysis [17,18]. We determined the fresh and dry weights based on the inverse of the times to radicle development and germination for specific percentiles of seed populations.
2.2. Data Analysis
Repeated Probit regression was used to analyze germination data using the HT, TT, and HTT germination models [16,21].
2.3. Thermal Time (TT) Model
Based on the HTT model concept, the supra and suboptimal (Ts) were obtained as follows.
Therefore, seed emergence is indirectly proportional to germination rate, and Equations (1) and (2) can be combined to drive Equation (3):
2.4. Determination of Hydro Time (HT) Model
To improve the model prediction, the proposed hydro time constant (HT) was utilized, which determines the relationship between the solute potential (PEG) and germination rate (tg). The hydro time model was determined as suggested previously [21]:
2.5. Determination of Hydrothermal Time Model (HTT)
We can combine the HT and TT models into a new HTT model for calculating and characterizing SG responses to various T and Ψ. The hydrothermal time model can report tg at all Ψ and T in the sub-opt T (from Tb to To).
For further analysis, Equation (7) is a modified version of Equation (5).
2.6. Determination of Germination Parameters
Based on the germination rate, plumule length, radicle length, and dry and fresh weight of plumules and radicles, the following indices were calculated.
2.6.1. Determination of Germination Percentage (G%)
We calculated the G% as follows [22].
2.6.2. Determination of Seed Vigor Index I (SVI-I)
SVI-I was calculated according to a method [23]:
2.6.3. Determination of Seed Vigor Index II (SVI-II)
Seed vigor index II was calculated as follows [24]:
2.6.4. Determination of Root-Shoot Ratio (RSR)
The shoot and root were weighed after drying for 24 h in the oven. The RSR was recorded according to the following equation [25].
2.6.5. Determination of Mean Germination Time (MGT)
The MGT was determined as follows [26].
2.6.6. Determination of Mean Germination Rate (MGR)
The MGR was calculated using the following equation [27]:
2.6.7. Determination of Coefficient of Variation of Germination Time (CVt)
The value of CVt was determined using the following equation [27]
2.6.8. Determination of Coefficient of Velocity of Germination (CVG)
CVG exhibits the seed germinate rate, and it was calculated as follows [27].
2.6.9. Determination of Germination Rate Index (GRI)
The germination rate index (GRI) reflects the percentage of seeds germinating at a particular time and day. It was calculated as follows [28].
2.6.10. Determination of Germination Energy (GE)
The germination energy (GE) was determined using the following formula [29].
2.6.11. Determination of Timson Germination Index (TGI)
The TGI index was determined using the following method [30].
where G denotes the germination percentage, and the time for germination is denoted by T.
2.6.12. Determination of Time to 50% Germination (T50%)
T50% was determined using a mathematical formula [31].
2.7. Statistical Analysis
An analysis of variance (ANOVA) was conducted to investigate the effects of temperatures (TT model), water potentials (HT model), as well as their interactive effects (HTT model) on the germination of our test species using IBM SPSS Statistics 26. Further, Excel was used to perform the fundamental statistical computations. The germination parameters (n = 3) were used to analyze the analysis of variance. Linear Probit regression analysis was followed to find out the values of the following parameters: θH, σΨb, ψb50, R, R2, SE, F, and Sig. in SPSS.
3. Results
3.1. Evaluation of Germination Coefficients
Our results indicated that varying water potentials (ψs) and temperatures (T) values influence germination rate and percentage of fenugreek (p < 0.05) independently and interactively (ψ × T). Furthermore, as estimated from the osmotic tolerance threshold using the HTT, the high θH and R2 values were obtained at 20 °C optimal temperature and minimum at 40 °C ceiling temperature, respectively. When compared to 0 MPa (distilled water controlled), the highest TTsub value was found at −0.02 MPa at 20 °C, and the TTsupra value was observed at 30 °C is −0.05 MPa. Moreover, the values of GR(g) exhibit statistically significant (p < 0.01) increment with lowering Ψ at all T. Further, at all Ts, the standard deviation σψb values showed substantially fewer changes. Hence the highest and lowest σψb were recorded at 20 °C and 40 °C, respectively. In addition, the maximum base water potential in 50% germination (ψb50) was also at −0.05 MPa. The coefficient of determination (R) and variability between the means values (F) was also noted to be lowest and highest at 40 °C and 20 °C, respectively. For fenugreek seed, the HTT model shows a base temperature of 7.8 °C, an optimum temperature of 18 °C, and a ceiling temperature of 34.5 °C as the germination temperature.
The HTT model for fenugreek seed exhibits a base or minimum temperature of 7.8 °C, an optimum temperature of 18 °C, and a ceiling temperature of 34.5 °C. Thus, the germination at suboptimal T may be described using thermal time, or T greater than Tb multiplied by time to a certain germination percentage (tg). Moreover, the seed germination of Fenugreek was significantly affected by T and Ψ (p ≤ 0.05). Further, the rate and speed of germination decrease when the water potential decreases.
3.2. Temperature and Water Potential Effects on Germination Attributes
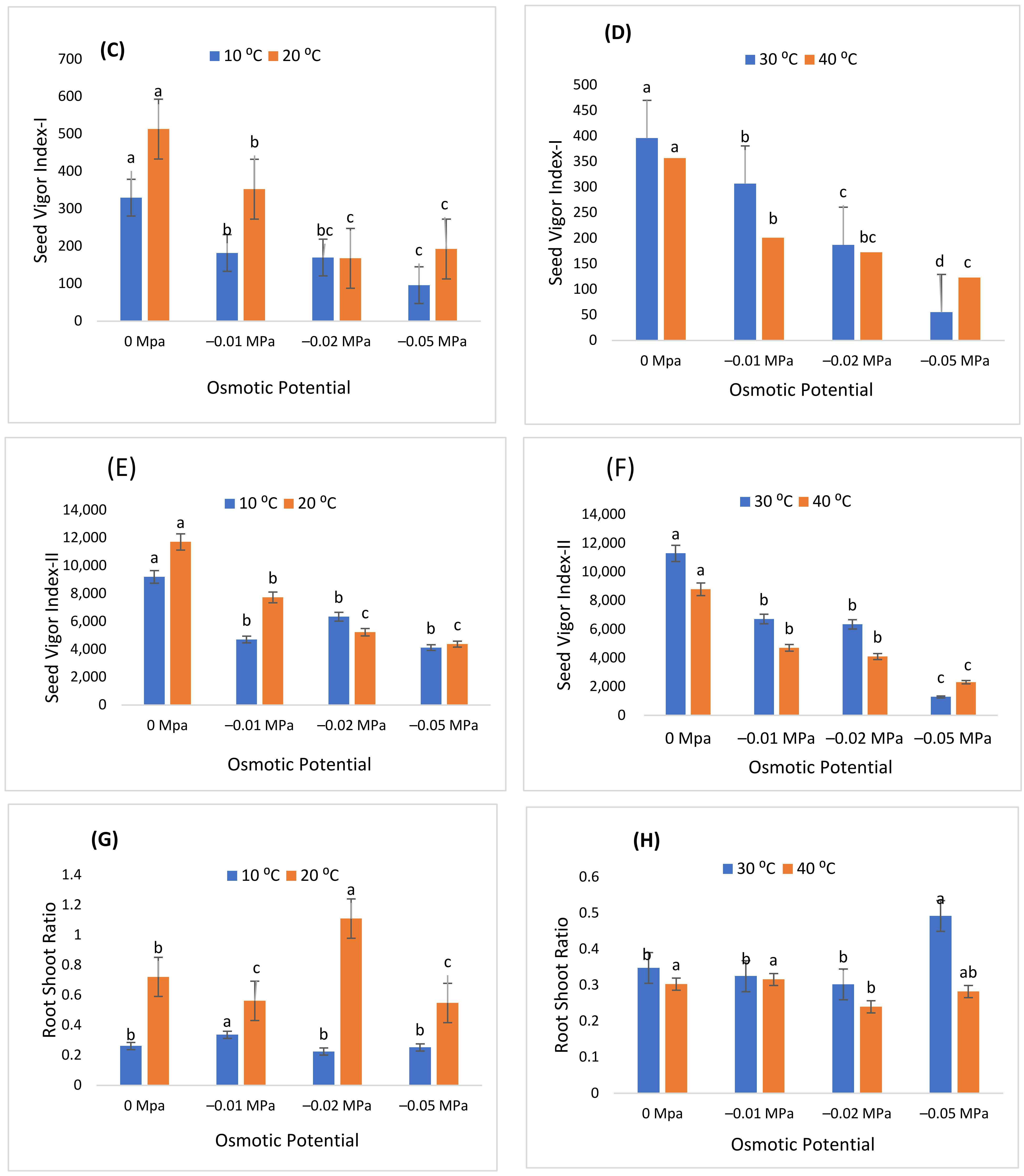
Our study exhibits that the germination percentage (G%) of Trigonella foenum-graecum is significantly affected by the independent or interactive effect of T and Ψ (T × Ψ). At optimum osmotic potential (control), the lowest G% was observed at 40 °C, whereas the highest was at 20 °C. In general, the maximum germination of 76.6% was perceived at 20 °C under −0.01 MPa and a minimum of 30% at 40 °C under −0.05 MPa, irrespective of the distilled water (0 MPa). Hence, G% reduces with decreasing the Ψ at each T, as the G% surged with the accelerated aging period (AAP) and dropped considerably (p ≤ 0.05) with increasing T. Moreover, results obtained from the HTT parameters showed that germination parameters of fenugreek were significantly affected by T and Ψ (Figure 1, Figure 2, Figure 3 and Figure 4). For instance, the G%, SVI-II, SVI-I, and RSR were optimum in seeds subjected to 20 °C induced with distilled water (0 MPa), followed by second maximum values at 20 °C induced in −0.01 MPa (Figure 2).

Figure 1.
Cumulative germination for Trigonella foenum-graecum L. at (a) 10 °C, (b) 20 °C, (c) 30 °C, and (d) 40 °C having different water potentials (0, −0.01, −0.02, and −0.05 MPa). Symbols indicate water potential, and lines indicate cumulative germination predicted by the hydrothermal time model.

Figure 2.
Interactive effect of temperature and water potential on (A,B) germination percentage, (C,D) seed vigor index I, (E,F) seed vigor index II, and (G,H) root-shoot ratio of fenugreek (Trigonella foenum-graecum L.) using the hydrothermal time model. Different letters (a–d) indicate significantly different values (p < 0.05).

Figure 3.
Interactive effect of temperature and water potential on (A,B) mean germination time, (C,D) mean germination rate, (E,F) coefficient of variation of germination time, and (G,H) coefficient of velocity of germination of fenugreek (Trigonella foenum-graecum L.) using the hydrothermal time model. Different letters (a–d) indicate significantly different values (p < 0.05).

Figure 4.
Interactive effect of temperature and water potential on (A,B) germination rate index, (C,D) germination energy, (E,F) Timson germination index, and (G,H) time to 50% germination of fenugreek (Trigonella foenum-graecum L.) using the hydrothermal time model. Different letters (a–c) indicate significantly different values (p < 0.05).
In addition, the highest mean germination time was recorded at 10 °C induced with −0.05 MPa, while the lowest at 30 °C induced with distilled water (Figure 2). Similarly, the MGR was determined as the reciprocal of MGT, and the CVG was noticed to be highest at 30 °C induced with distilled water (0 MPa). The highest CVt was observed at 30 °C at −0.01 and the minimum at 40 °C induced with distilled water. Moreover, Figure 4 illustrates that the highest and lowest GE, GRI, and TGI were observed at 20 °C in −0.01 MPa and 40 °C in −0.05 MPa, indicating that increasing T and ψ there would be a significant reduction in the growth phases of the germinating seed.
4. Discussion
Germination patterns are assessed under different environmental conditions in order to determine a species’s optimal geographical location for a species. The population-based threshold model, commonly known as the HTT model, reflects the noticed responses of germinating seeds to stress, hormones, age, and other factors. The population-based threshold model, commonly known as the HTT model, reflects the observed response of germinating seeds to stress, such as temperature and water availability [8]. In the present experiment, we investigated cardinal temperatures (Ts), seed germination behavior, and model coefficients of fenugreek under varying temperatures (Ts; 10, 20, 30, and 40 °C) and water potentials (ψs 0, −0.01, −0.02, and −0.05 MPa) via HTT model. We found that θH values for Fenugreek increased with an increase in Ts up to To (optimal temperature), then fell linearly with a decrease as Tc > To. T is one of the most important factors that can affect seed germination in many plants [32]. The same results in which the θH values were increased with increasing temperature up to To were documented in previous studies [8,32,33], corroborating our findings. Moreover, it has been reported that both germination percentage (G%) and time to 50% germination (GR50) decreased with decreasing osmotic potential and with increasing osmotic potential in the medium at each tested T [33]. The results also demonstrated that at all Ts, GR(g) values enhanced (p ≤ 0.01) with negative Ψ (Table 1). A decrease in ψ also decreased the germination rate in comparison with the control condition. Moreover, the effect of ψ on G% and GR was more than AAP [34]. Seeds have a base or minimum temperature (Tb = at which germination reduces), an optimal temperature (To, at which germination is normal), and a ceiling temperature (Tc, above which germination is halted). Furthermore, Table 2 shows that the Tb for fenugreek is 7.8 °C, beyond which the GR declines, and it becomes impossible for a plant to optimize its physio-biochemical activities [33]. Moreover, To for maximal Fenugreek germination was 28 °C, whereas the Tc value was 34.5 °C, indicating that fenugreek cannot continue its physio-biochemical activities above this range. Our findings agree with the results of Hatfield and his colleagues, who demonstrated that the aforementioned three checkpoints of temperature affect seed germination [32].
Table 1.
Calculated model coefficients of Trigonella foenum-graecum via hydro time concept to describe seed germination under different Ts and Ψs.
Table 2.
Estimated parameters of Trigonella foenum-graecum using hydrothermal time model for describing seed germination under different Ts and Ψs.
The predictions at the significance level (p ≤ 0.05), the germination parameters of fenugreek were significantly affected by T and Ψ. We observed that T and Ψ independently as well as interactively (T × Ψ) caused significant effects on GR and G%. of the seed germination as the maximum G% of 76.6% was reported at 20 °C under −0.01 MPa and a minimum of 30% at 40 °C under −0.05 MPa, irrespective of the distilled water (0 MPa). It means that G% reduces with decreasing in Ψ at each T value. The G% declines in conjunction with a reduction in Ψ, indicating a reduction in water availability for resource seed germination. Our findings align with previous studies that reported that T is a key factor affecting G% [35] and GR [36]. Furthermore, osmotic potential stress is another key environmental element restricting seed germination and early seedling growth. Moreover, the results also revealed a significant decrease in G% with high T and an increase in the accelerated aging period (AAP).
The G% decreased with a decrease in ψ from 0 to −0.01, −0.02, and −0.05 MPa compared with distilled water (0 MPa) by 93.3%, 76.7%, 46.7%, and 56.7%, respectively, i.e., the average for all levels of AAP. Similar findings were reported by previous studies that reported a longer accelerated aging period and lower ψ (more negative) decreased both G% and GR in various crops [8,9,12,37].
In addition, Figure 2, Figure 3 and Figure 4 illustrate that the maximum G%, SVI-I, SVI-II, RSR, GE, GRI, and TGI were observed at 20 °C at −0.01 MPa. The minimum values of G%, SVI-I, SVI-II, RSR, and CVG were noted at 30 °C at −0.05 MPa. Further, the highest MGT and lowest MGR values were recorded at 10 °C at −0.05 MPa. In contrast, the lowest MGT, highest MGR, and CVG values were observed at 30 °C in distilled water, indicating that with an increase in T and ψ, there is a significant decline in the growth cycles of the germinating seed. These findings corroborate previous studies, which reported that temperature is a key factor affecting SG [13,38]. In addition, the differences in ψs affect and hinder SG differently via osmotic and ion-specific effects [39]. For instance, low ψs may hinder chemical reactions and physiological mechanisms within the seed, inhibiting seed germination [35]. Hence, salinity and variation in T and ψ affect SG independently or interactively. Identifying their impact on seed germination and early seedlings’ emergence is vital for optimum agricultural yield and species ecological ranges [40].
5. Conclusions
Our study concluded that the germination time course of fenugreek is precisely anticipated using the hydrothermal time model of Fenugreek (Trigonella foenum-graecum) in response to varying Ts and Ψs. The maximum and minimum θH and R2 values were recorded at 20 °C and 40 °C, respectively. The Ψb50 was predicted as −0.18 MPa, the value of σΨb was 0.13 MPa at kT 0.102 MPa, and the cardinal Ts were recorded as 10 °C (Tb), 20 °C (To), and 40 °C (Tc). Through the finding of germination parameters (G%, SVI-I, SVI-II, RSR, MGT, MGR, CVt, CVG, GE, GRI, TGI, and T50%) of fenugreek were recorded maximum at the 20 °C is −0.01 MPa whereas their value recorded at 30 °C is −0.05 MPa. Our study determined that the HTT provided an understanding of the synergistic effect of T and Ψ on the seed germination of Fenugreek. Considering future climate change and rising food demands, predicting germination models might provide an understanding of the ideal conditions for the optimum germination, growth, and productivity of the economy. A more detailed examination of the parameters of the model should be carried out in conjunction with a study of the physiological responses of the Fenugreek seed populations to environmental stress.
Author Contributions
Conceptualization, A.U. and S.U.; Data curation, K.A.; Formal analysis, A.U., F.A. and S.S.; Investigation, K.A. and S.U.; Methodology, K.A.; Project administration, A.U.; Software, F.A. and S.S.; Supervision, A.U. and S.U.; Validation, S.U. and A.U.; Visualization, A.U., F.A., J.N. and S.S.; Writing—original draft, K.A.; Writing—review and editing, A.U., S.U., H.A.B., M.L.A. and J.N. All authors have read and agreed to the published version of the manuscript.
Funding
This research was funded by the Deanship of Scientific Research (DSR) at King Abdulaziz University (KAU), Jeddah, Saudi Arabia under grant number RG-25-166-43.
Institutional Review Board Statement
Not applicable.
Informed Consent Statement
Not applicable.
Data Availability Statement
All the data related to the article are free and within the manuscript.
Acknowledgments
The Deanship of Scientific Research (DSR) at King Abdulaziz University (KAU), Jeddah, Saudi Arabia has funded this project under grant No. RG-25-166-43. Therefore, all authors acknowledge with thanks DSR for technical and financial support.
Conflicts of Interest
The authors declare no conflict of interest.
References
- Ouzir, M.K.; El Bairi, K.; Amzazi, S. Toxicological properties of fenugreek (Trigonella foenum graecum). Food Chem. Toxicol. 2016, 96, 145–154. [Google Scholar] [CrossRef] [PubMed]
- Razavi, S.M.; Ghorbanian, A.; Abadi, A. Impact of Drought Stress on Growth–Yield Parameters, Volatile Constituents and Physio-Biochemical Traits of Three Foeniculum vulgare Genotypes. Agric. Res. 2021, 1–17. [Google Scholar] [CrossRef]
- Hilles, A.R.; Mahmood, S. Historical Background, Origin, Distribution, and Economic Importance of Fenugreek. In Fenugreek; Springer: Singapore, 2021; pp. 3–11. [Google Scholar]
- Ullah, A.; Li, M.; Noor, J.; Tariq, A.; Liu, Y.; Shi, L. Effects of salinity on photosynthetic traits, ion homeostasis and nitrogen metabolism in wild and cultivated soybean. PeerJ 2019, 7, e8191. [Google Scholar] [CrossRef] [PubMed]
- Li, M.X.; Xu, M.; Xu, J.S.; Ullah, A.; Shi, L.X. Gas Exchange and Ionomic Changes in Wild and Cultivated Soybean Seedlings under Salt Stress. Int. J. Agric. Biol. 2019, 22, 1627–1635. [Google Scholar]
- Li, M.; Xu, J.; Guo, R.; Liu, Y.; Wang, S.; Wang, H.; Ullah, A.; Shi, L. Identifying the metabolomics and physiological differences among Soja in the early flowering stage. Plant Physiol. Biochem. 2019, 139, 82–91. [Google Scholar] [CrossRef]
- Esmaeil, B.; Hemmatollah, P.; Fatemeh, V.; Mobina, G. Quantification of the effect of environmental factors on seed germination and seedling growth of Eruca (Eruca sativa) using mathematical models. J. Plant Growth Regul. 2020, 39, 190–204. [Google Scholar]
- Khan, S.; Ullah, A.; Ullah, S.; Saleem, M.H.; Okla, M.K.; Al-Hashimi, A.; Chen, Y.; Ali, S. Quantifying Temperature and Osmotic Stress Impact on Seed Germination Rate and Seedling Growth of Eruca sativa Mill. via Hydrothermal Time Model. Life 2022, 12, 400. [Google Scholar] [CrossRef]
- Ullah, A.; Sadaf, S.; Ullah, S.; Alshaya, H.; Okla, M.K.; Alwasel, Y.A.; Tariq, A. Using Halothermal Time Model to Describe Barley (Hordeumvulgare L.) Seed Germination Response to Water Potential and Temperature. Life 2022, 12, 209. [Google Scholar] [CrossRef]
- Shah, S.; Ullah, S.; Ali, S.; Khan, A.; Ali, M.; Hassan, S. Using mathematical models to evaluate germination rate and seedlings length of chickpea seed (Cicer arietinum L.) to osmotic stress at cardinal temperatures. PLoS ONE 2021, 16, e0260990. [Google Scholar] [CrossRef]
- Buriro, M.; Oad, F.C.; Keerio, M.I.; Tunio, S.; Gandahi, A.W.; Hassan, S.W.U.; Oad, S.M. Wheat seed germination under the influence of temperature regimes. Sarhad J. Agric. 2011, 27, 539–543. [Google Scholar]
- Saeed, S.; Ullah, A.; Ullah, S.; Noor, J.; Ali, B.; Khan, M.N.; Hashem, M.; Mostafa, Y.S.; Alamri, S. Validating the Impact of Water Potential and Temperature on Seed Germination of Wheat (Triticum aestivum L.) via Hydrothermal Time Model. Life 2022, 12, 983. [Google Scholar] [CrossRef]
- Bewley, J.D.; Black, M. Seeds: Physiology of Development and Germination; Springer: Berlin/Heidelberg, Germany, 2013. [Google Scholar]
- Fakhfakh, L.M.; Anjum, N.A.; Chaieb, M. Effects of temperature and water limitation on the germination of Stipagrostis ciliata seeds collected from Sidi Bouzid Governorate in Central Tunisia. J. Arid Land 2018, 10, 304–315. [Google Scholar] [CrossRef]
- Soltani, E.; Soltani, A.; Oveisi, M. Modeling seed aging effect on wheat seedling emergence in drought stress: Optimizing germin program to predict emergence pattern. J. Crops Improv. 2013, 15, 147–160. [Google Scholar]
- Saberali, S.; Shirmohamadi-Aliakbarkhani, Z. Quantifying seed germination response of melon (Cucumis melo L.) to temperature and water potential: Thermal time, hydrotime and hydrothermal time models. S. Afr. J. Bot. 2020, 130, 240–249. [Google Scholar] [CrossRef]
- Bakhshandeh, E.; Atashi, S.; Hafeznia, M.; Pirdashti, H.; Da Silva, J.A.T. Hydrothermal time analysis of watermelon (Citrullus vulgaris cv. ‘Crimson sweet’) seed germination. Acta Physiol. Plant. 2014, 37, 1738. [Google Scholar] [CrossRef]
- Bidgoly, R.O.; Balouchi, H.; Soltani, E.; Moradi, A. Effect of temperature and water potential on Carthamus tinctorius L. seed germination: Quantification of the cardinal temperatures and modeling using hydrothermal time. Ind. Crop. Prod. 2018, 113, 121–127. [Google Scholar] [CrossRef]
- Alahmadi, J.M.; Tomaj, A.N.; Zangui, M. Determination of cardinal temperatures of seed germination (Lathyrus sativus max L.). J. Seed Ecophysiol. 2015, 1, 43–56. [Google Scholar]
- Noor, J.; Ullah, A.; Saleem, M.H.; Tariq, A.; Ullah, S.; Waheed, A.; Okla, M.K.; Al-Hashimi, A.; Chen, Y.; Ahmed, Z.; et al. Effect of Jasmonic Acid Foliar Spray on the Morpho-Physiological Mechanism of Salt Stress Tolerance in Two Soybean Varieties (Glycine max L.). Plants 2022, 11, 651. [Google Scholar] [CrossRef]
- Moltchanova, E.; Sharifiamina, S.; Moot, D.J.; Shayanfar, A.; Bloomberg, M. Comparison of three different statistical approaches (non-linear least-squares regression, survival analysis and Bayesian inference) in their usefulness for estimating hydrothermal time models of seed germination. Seed Sci. Res. 2020, 30, 64–72. [Google Scholar] [CrossRef]
- Onofri, A.; Benincasa, P.; Mesgaran, M.B.; Ritz, C. Hydrothermal-time-to-event models for seed germination. Eur. J. Agron. 2018, 101, 129–139. [Google Scholar] [CrossRef]
- Uddin, S.; Ullah, S.; Nafees, M. Effect of seed priming on growth and performance of Vigna radiata L. under induced drought stress. J. Agric. Food Res. 2021, 4, 100140. [Google Scholar] [CrossRef]
- Kumar, B.; Verma, S.K.; Ram, G.; Singh, H.P. Temperature Relations for Seed Germination Potential and Seedling Vigor in Palmarosa (Cymbopogon martinii). J. Crop Improv. 2012, 26, 791–801. [Google Scholar] [CrossRef]
- Ågren, G.I.; Ingestad, T. Root: Shoot ratio as a balance between nitrogen productivity and photosynthesis. Plant Cell Environ. 1987, 10, 579–586. [Google Scholar]
- Orchard, T. Estimating the parameters of plant seedling emergence. Seed Sci. Technol. 1977, 5, 61–69. [Google Scholar]
- Ranal, M.A.; De Santana, D.G.; Ferreira, W.R.; Rodrigues, C.M. Calculating germination measurements and organizing spreadsheets. Braz. J. Bot. 2009, 32, 849–855. [Google Scholar] [CrossRef]
- Maguire, J.D. Speed of germination-aid in selection and evaluation for seedling emergence and vigor. Crop Sci. 1962, 2, 176–177. [Google Scholar] [CrossRef]
- Rashidi, A.; Tehranifar, A.; Samiei, L. Improving energy efficiency, germination indices and root system development in Cape periwinkle and marigold through spectral distribution and light exposure time. Environ. Exp. Bot. 2021, 189, 104531. [Google Scholar] [CrossRef]
- Sanehkoori, F.H.; Pirdashti, H.; Bakhshandeh, E. Quantifying water stress and temperature effects on camelina (Camelina sativa L.) seed germination. Environ. Exp. Bot. 2021, 186, 104450. [Google Scholar] [CrossRef]
- Alvarado, V.; Bradford, K.J. A hydrothermal time model explains the cardinal temperatures for seed germination. Plant Cell Environ. 2002, 25, 1061–1069. [Google Scholar] [CrossRef]
- Hatfield, J.L.; Prueger, J.H. Temperature extremes: Effect on plant growth and development. Weather Clim. Extremes 2015, 10, 4–10. [Google Scholar] [CrossRef]
- Bakhshandeh, E.; Ghadiryan, R.; Galeshi, S.; Soltani, E. Modelling the effects water stress and temperature on seed germination of Soybean (Glycine max L.) and Velvetleaf (Abutilion thephrasti med.). Sci. Inf. Database 2011, 18, 29–47. [Google Scholar]
- Parmoon, G.; Moosavi, S.A.; Siadat, S.A. How salinity stress influences the thermal time requirements of seed germination in Silybum marianum and Calendula officinalis. Acta Physiol. Plant. 2018, 40, 175. [Google Scholar] [CrossRef]
- Wijewardana, C.; Alsajri, F.A.; Reddy, K.R. Soybean seed germination response to in vitro osmotic stress. Seed Technol. 2018, 39, 143–154. [Google Scholar]
- Odoba, A.; Odiaka, N.I.; Gbanguba, A.U.; Bashiru, M. Germination characteristics of twenty varieties of soybean (Glycine max (L.) Merr) stored for seven months. Sci. Agric. 2016, 13, 151–155. [Google Scholar]
- Pill, W.G. Low water potential and presowing germination treatments to improve seed quality. In Seed Quality; CRC Press: Boca Raton, FL, USA, 2020; pp. 319–359. [Google Scholar]
- Zhang, H.; Irving, L.J.; McGill, C.; Matthew, C.; Zhou, D.; Kemp, P. The effects of salinity and osmotic stress on barley germination rate: Sodium as an osmotic regulator. Ann. Bot. 2010, 106, 1027–1035. [Google Scholar] [CrossRef]
- Llanes, A.; Andrade, A.; Masciarelli, O.; Alemano, S.; Luna, V. Drought and salinity alter endogenous hormonal profiles at the seed germination phase. Seed Sci. Res. 2015, 26, 1–13. [Google Scholar] [CrossRef]
- Adewale, B.D.; Aremu, C.O.; Alake, C.O.; Ige, S.A. Multi-year Genetic Estimates of Quantitative Traits and Intra-specific Diversity of Some Sphenostylis stenocarpa Accessions for Reliable Selection and Characterization. Agric. Res. 2020, 10, 165–174. [Google Scholar] [CrossRef]
Publisher’s Note: MDPI stays neutral with regard to jurisdictional claims in published maps and institutional affiliations. |
© 2022 by the authors. Licensee MDPI, Basel, Switzerland. This article is an open access article distributed under the terms and conditions of the Creative Commons Attribution (CC BY) license (https://creativecommons.org/licenses/by/4.0/).







