Adsorption Mechanism between Corn Stalk Fiber and Asphalt
Abstract
1. Introduction
2. Materials and Methods
2.1. Corn Stalk Fiber Preparation
2.2. Asphalt
2.3. Characterization of Corn Stalk Fibers
2.4. Batch Equilibrium Adsorption Studies
2.4.1. Effect of Initial Asphaltene Concentration
2.4.2. Effect of the Weight of Adsorbent
2.5. Batch Kinetic Studies
3. Results
3.1. Characterization of Corn Stalk Fibers
3.1.1. Scanning Electron Micrograph Analysis
3.1.2. Brunauer-Emmett-Teller (BET) Analysis
3.2. Effect of Weights of Corn Stalk Fibers on Asphaltene Adsorption
3.3. Effect of Initial Asphaltene Concentrations on Adsorption
3.4. Adsorption Isotherm Models
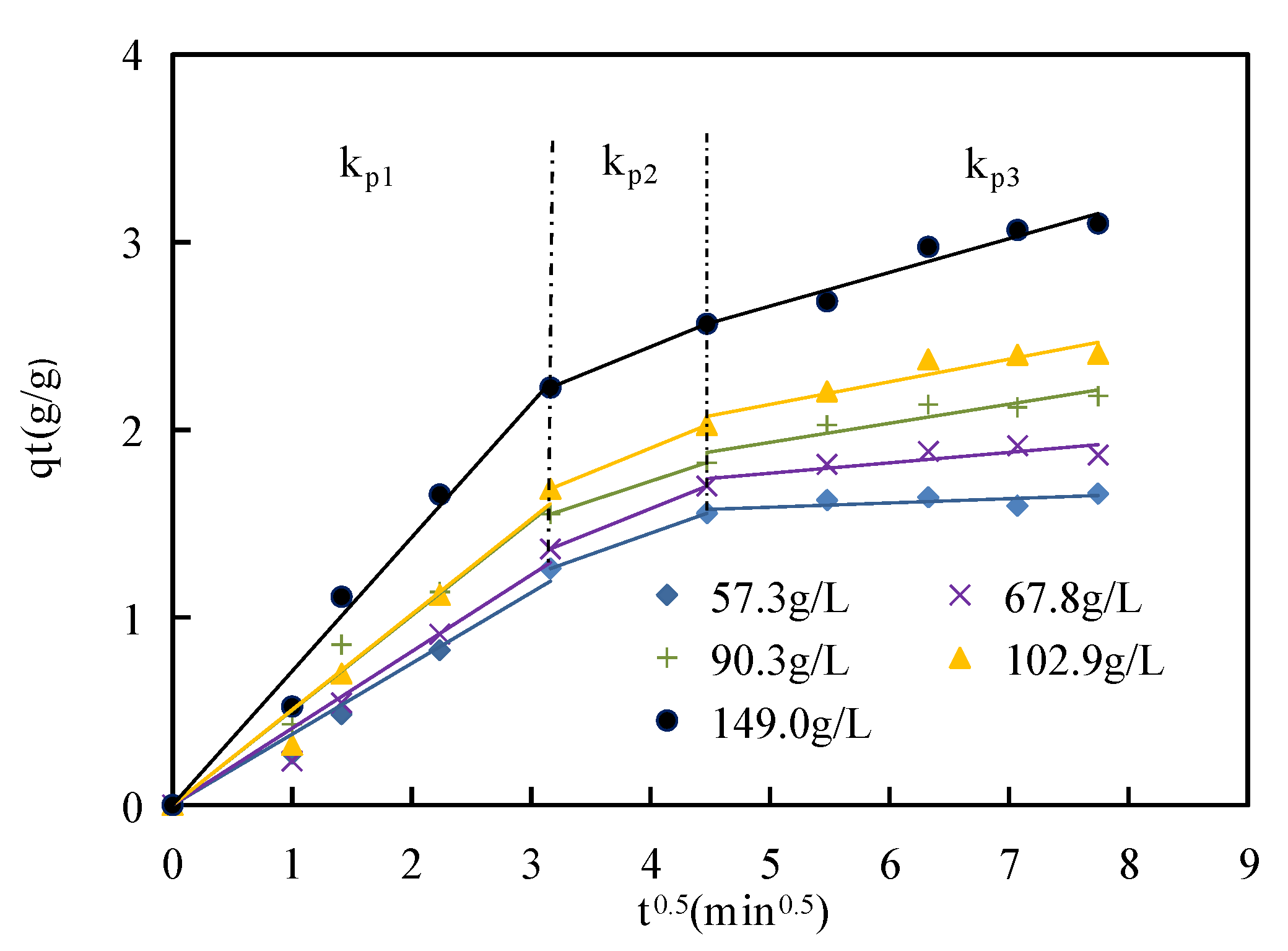
3.5. Adsorption Kinetic Models
3.6. Adsorption Mechanism
3.7. Effect of Asphaltene Adsorption Rate on Corn Stalk Fiber Asphalt Performance
4. Conclusions
Author Contributions
Funding
Institutional Review Board Statement
Informed Consent Statement
Data Availability Statement
Conflicts of Interest
References
- Gong, Y.; Zhu, W.X. Modeling the heterogeneous traffic flow considering the effect of self-stabilizing and autonomous vehicles. Chin. Phys. B 2022, 31, 485–495. [Google Scholar] [CrossRef]
- Meng, Y.J.; Peng, F.Q.; Muhammad, Y.; Chen, J.; Yan, T.; Gan, W.; Lei, J.; Li, J. Effect of tannic acid modified bamboo fiber on the performance of soybean bio-asphalt/styrene-butadiene-styrene modified asphalt. Polym. Compos. 2022, 43, 2288–2302. [Google Scholar] [CrossRef]
- Guo, Q.; Wang, H.; Gao, Y.; Jiao, Y.; Liu, F.; Dong, Z. Investigation of the low-temperature properties and cracking resistance of fiber-reinforced asphalt concrete using the DIC technique. Eng. Fract. Mech. 2020, 229, 106951. [Google Scholar] [CrossRef]
- Park, B.; Zou, J.; Roque, R.; Lopp, G.; Wu, Z. Approach for Determination of Maximum Reclaimed Asphalt Pavement Content in Polymer-Modified Asphalt Mixture. Transp. Res. Rec. 2020, 2674, 420–430. [Google Scholar] [CrossRef]
- Habbouche, J.; Hajj, E.Y.; Sebaaly, P.E.; Hand, A.J. Fatigue-Based Structural Layer Coefficient of High Polymer-Modified Asphalt Mixtures. Transp. Res. Rec. 2020, 2674, 232–247. [Google Scholar] [CrossRef]
- Yan, J.; Wang, G.; Zheng, J. Study on pavement performance of basalt fiber asphalt concrete under different pavement environment. J. Phys. Conf. Ser. 2020, 1654, 012119. [Google Scholar] [CrossRef]
- Lou, K.; Xiao, P.; Tang, Q.; Wu, Y.; Wu, Z.; Pan, X. Research on the micro-nano characteristic of basalt fiber and its impact on the performance of relevant asphalt mastic. Constr. Build. Mater. 2022, 318, 126048. [Google Scholar] [CrossRef]
- He, Y.; Wang, L.; Wu, T.; Wu, Z.; Chen, Y.; Yin, K. Facile fabrication of hierarchical textures for substrate-independent and durable superhydrophobic surfaces. Nanoscale 2022, 14, 9392–9400. [Google Scholar] [CrossRef]
- Macdonnell, L.; Sadeghian, P. Experimental and analytical behaviour of sandwich composites with glass fiber-reinforced polymer facings and layered fiber mat cores. J. Compos. Mater. 2020, 54, 4875–4887. [Google Scholar] [CrossRef]
- Yail, J.K. Long-Term Behavior of Glass Fiber-Reinforced Polymer- Reinforced Columns under Multi-Axial Loading. ACI Struct. J. 2022, 119, 31–44. [Google Scholar]
- Kou, C.; Wu, X.; Xiao, P.; Liu, Y.; Wu, Z. Physical, Rheological, and Morphological Properties of Asphalt Reinforced by Basalt Fiber and Lignin Fiber. Materials 2020, 13, 2520. [Google Scholar] [CrossRef] [PubMed]
- Chen, H.; Xu, Q. Experimental study of fibers in stabilizing and reinforcing asphalt binder. Fuel 2010, 89, 1616–1622. [Google Scholar] [CrossRef]
- Liu, J.; Li, Z.; Chen, H.; Guan, B.; Lui, K. Investigation of Cotton Straw Fibers for Asphalt Mixtures. J. Mater. Civ. Eng. 2020, 32, 04020105. [Google Scholar] [CrossRef]
- Ziari, H.; Orouei, M.; Divandari, H.; Yousefi, A. Mechanical characterization of warm mix asphalt mixtures made with RAP and Para-fiber additive. Constr. Build. Mater. 2021, 279, 122456. [Google Scholar] [CrossRef]
- Alfalah, A.; Offenbacker, D.; Ali, A.; Mehta, Y.; Elshaer, M.; Decarlo, C. Evaluating the impact of fiber type and dosage rate on laboratory performance of Fiber-Reinforced asphalt mixtures. Constr. Build. Mater. 2021, 310, 125217. [Google Scholar] [CrossRef]
- Chen, S.; Xu, H.; He, X.; Su, Y.; Zhang, B.; Liu, Q. Oil-grinded recycled kapok fiber as a bio-packing for eco-friendly modified asphalt and its aging resistance behavior. Constr. Build. Mater. 2022, 320, 126293. [Google Scholar] [CrossRef]
- Mehmood, K.; Chang, S.; Yu, S.; Wang, L.; Li, P.; Li, Z.; Liu, W.; Rosenfeld, D.; Seinfeld, J.H. Spatial and temporal distributions of air pollutant emissions from open crop straw and biomass burnings in China from 2002 to 2016. Environ. Chem. Lett. 2018, 16, 301–309. [Google Scholar] [CrossRef]
- Chen, Z.; Chen, Z.; Yi, J.; Feng, D. Preparation Method of Corn Stalk Fiber Material and Its Performance Investigation in Asphalt Concrete. Sustainability 2019, 11, 4050. [Google Scholar] [CrossRef]
- Yin, K.; Wang, L.; Deng, Q.; Huang, Q.; Jiang, J.; Li, G.; He, J. Femtosecond Laser Thermal Accumulation-Triggered Micro-/Nanostructures with Patternable and Controllable Wettability towards Liquid Manipulating. Nano-Micro Lett. 2022, 14, 97. [Google Scholar] [CrossRef]
- Wu, M.-M.; Li, R.; Zhang, Y.-Z.; Fan, L.; Lv, Y.-C.; Wei, J.-M. Stabilizing and reinforcing effects of different fibers on asphalt mortar performance. Pet. Sci. 2015, 12, 189–196. [Google Scholar] [CrossRef]
- Chen, Z.; Yi, J.; Chen, Z.; Feng, D. Properties of asphalt binder modified by corn stalk fiber. Constr. Build. Mater. 2019, 212, 225–235. [Google Scholar] [CrossRef]
- Gherca, D.; Borhan, A.I.; Mihai, M.M.; Herea, D.-D.; Stoian, G.; Roman, T.; Chiriac, H.; Lupu, N.; Buema, G. Magnetite-induced topological transformation of 3D hierarchical MgAI layered double hydroxides to highly dispersed 2D magnetic hetero-nanosheets for effective removal of cadmium ions from aqueous solutions. Mater. Chem. Phys. 2022, 284, 126047. [Google Scholar] [CrossRef]
- Younis, S.A.; Motawea, E.A.; Moustafa, Y.M.; Lee, J.; Kim, K.-H. A strategy for the efficient removal of chlorophenols in petrochemical wastewater by organophilic and aminated silica@alginate microbeads: Taguchi optimization and isotherm modeling based on partition coefficient. J. Hazard. Mater. 2020, 397, 122792. [Google Scholar] [CrossRef] [PubMed]
- Mood, S.H.; Ayiania, M.; Jefferson-Milan, Y.; Garcia-Perez, M. Nitrogen doped char from anaerobically digested fiber for phosphate removal in aqueous solutions. Chemosphere 2020, 240, 124889. [Google Scholar] [CrossRef]
- Fernández, B.; Santos-Echeandía, J.; Rivera-Hernández, J.R.; Garrido, S.; Albentosa, M. Mercury interactions with algal and plastic microparticles: Comparative role as vectors of metals for the mussel, Mytilus galloprovincialis. J. Hazard. Mater. 2020, 396, 122739. [Google Scholar] [CrossRef]
- Karami, K.; Bayat, P.; Javadian, S.; Saraji, M. A novel TMD/MOF (Transition Metal Dichalcogenide/Metalorganic frameworks) composite for highly and selective adsorption of methylene blue dye from aqueous mixture of MB and MO. J. Mol. Liq. 2021, 342, 117520. [Google Scholar] [CrossRef]
- Yao, J.; Wen, J.; Li, H.; Yang, Y. Surface functional groups determine adsorption of pharmaceuticals and personal care products on polypropylene microplastics. J. Hazard. Mater. 2022, 423, 127131. [Google Scholar] [CrossRef]
- Omokpariola, D.O. Experimental Modelling Studies on the removal of crystal violet, methylene blue and malachite green dyes using Theobroma cacao (Cocoa Pod Powder). Chem. Lett. 2021, 2, 9–24. [Google Scholar]
- Ge, X.Y.; Tian, F.; Wu, Z.; Yan, Y.; Cravotto, G.; Wu, Z. Adsorption of naphthalene from aqueous solution on coal-based activated carbon modified by microwave induction: Microwave power effects. Chem. Eng. Process. Process Intensif. 2015, 91, 67–77. [Google Scholar] [CrossRef]
- Sun, Z.; Wu, Z.; Liu, D.; He, X. Microwave-assisted modification of activated carbon with cationic surfactants for enhancement of naphthalene adsorption. Korean J. Chem. Eng. 2018, 35, 557–566. [Google Scholar] [CrossRef]
- Auta, M.; Hameed, B.H. Acid modified local clay beads as effective low-cost adsorbent for dynamic adsorption of methylene blue. J. Ind. Eng. Chem. 2013, 19, 1153–1161. [Google Scholar] [CrossRef]
- Benhouria, A.; Islam, M.A.; Zaghouane-Boudiaf, H.; Boutahala, M.; Hameed, B.H. Calcium alginate–bentonite–activated carbon composite beads as highly effective adsorbent for methylene blue. Chem. Eng. J. 2015, 270, 621–630. [Google Scholar] [CrossRef]
- Ge, X.; Ma, X.; Wu, Z.; Xiao, X.; Yan, Y. Modification of coal-based activated carbon with nitric acid using microwave radiation for adsorption of phenanthrene and naphthalene. Res. Chem. Intermed. 2015, 41, 7327–7347. [Google Scholar] [CrossRef]
- Hameed, B.H. Equilibrium and kinetics studies of 2,4,6-trichlorophenol adsorption onto activated clay. Colloids Surf. A Physicochem. Eng. Asp. 2007, 307, 45–52. [Google Scholar] [CrossRef]
- Poulopoulos, S.G.; Nikolaki, M.; Karampetsos, D.; Philippopoulos, C. Photochemical treatment of 2-chlorophenol aqueous solutions using ultraviolet radiation, hydrogen peroxide and photo-Fenton reaction. J. Hazard. Mater. 2008, 153, 582–587. [Google Scholar] [CrossRef]
- Radhika, M.; Palanivelu, K. Adsorptive removal of chlorophenols from aqueous solution by low cost adsorbent—Kinetics and isotherm analysis. J. Hazard. Mater. 2006, 138, 116–124. [Google Scholar] [CrossRef]
- Webi, T.W.; Chakravort, R.K. Pore and solid diffusion models for fixed-bed adsorbers. AIChE J. 1974, 20, 228–238. [Google Scholar]
- Yang, J.; Qiu, K. Preparation of activated carbons from walnut shells via vacuum chemical activation and their application for methylene blue removal. Chem. Eng. J. 2010, 165, 209–217. [Google Scholar] [CrossRef]
- Tehrani-Bagha, A.; Nikkar, H.; Mahmoodi, N.; Markazi, M.; Menger, F. The sorption of cationic dyes onto kaolin: Kinetic, isotherm and thermodynamic studies. Desalination 2011, 266, 274–280. [Google Scholar] [CrossRef]
- Njoku, V.O.; Islam, M.A.; Asif, M.; Hameed, B. Preparation of mesoporous activated carbon from coconut frond for the adsorption of carbofuran insecticide. J. Anal. Appl. Pyrolysis 2014, 110, 172–180. [Google Scholar] [CrossRef]
- Bedin, K.C.; Martins, A.C.; Cazetta, A.L.; Pezoti, O.; Almeida, V.C. KOH-activated carbon prepared from sucrose spherical carbon: Adsorption equilibrium, kinetic and thermodynamic studies for Methylene Blue removal. Chem. Eng. J. 2016, 286, 476–484. [Google Scholar] [CrossRef]
- Tan, A.W.; Ahmad, A.L.; Hameed, B.H. Adsorption isotherms, kinetics, thermodynamics and desorption studies of 2,4,6-trichlorophenol on oil palm empty fruit bunch-based activated carbon. J. Hazard. Mater. 2009, 164, 473–482. [Google Scholar] [CrossRef] [PubMed]
- Vernadakis, A. Zur Theorie der sogenannten Adsorption gelöster Stoffe. Z. Chem. Ind. Kolloide 1907, 2, 15. [Google Scholar]
- Ho, Y.S.; Mckay, G. The kinetics of sorption of basic dyes from aqueous solution by sphagnum moss peat. Can. J. Chem. Eng. 1998, 76, 822–827. [Google Scholar] [CrossRef]
- Zhu, M.; Yao, J.; Dong, L.; Sun, J. Adsorption of naphthalene from aqueous solution onto fatty acid modified walnut shells. Chemosphere 2016, 144, 1639–1645. [Google Scholar] [CrossRef] [PubMed]
- Kalavathy, M.H.; Karthikeyan, T.; Rajgopal, S.; Miranda, L.R. Kinetic and isotherm studies of Cu(II) adsorption onto H3PO4-activated rubber wood sawdust. Colloid Interface 2005, 292, 354–362. [Google Scholar] [CrossRef]
- Wu, F.C.; Tseng, R.L.; Juang, R.S. Comparisons of porous and adsorption properties of carbons activated by steam and KOH. Colloid Interface 2005, 283, 49–56. [Google Scholar] [CrossRef]
- ÖZer, A.; Dursun, G. Removal of methylene blue from aqueous solution by dehydrated wheat bran carbon. J. Hazard. Mater. 2007, 146, 262–269. [Google Scholar] [CrossRef]
- Walker, G.M.; Hansen, L.; Hanna, J.A.; Allen, S. Kinetics of a reactive dye adsorption onto dolomitic sorbents. Water Res. 2003, 37, 2081–2089. [Google Scholar] [CrossRef]















| Asphalt Type | Concentration of Asphaltenes (g/L) |
|---|---|
| Anda-50 | 57.3 |
| Anda-70 | 67.8 |
| Anda-90 | 90.3 |
| SK-70 | 102.9 |
| SK-90 | 149.0 |
| Parameters | Corn Stalk Fibers |
|---|---|
| BET surface area (m2/g) | 5.84 |
| Langmuir surface area (m2/g) | 7.75 |
| Micropore area (m2/g) | 5.45 |
| External surface area (m2/g) | 0.39 |
| Total pore volume (cm3/g) | 2.86 × 10−3 |
| Micropore volume (cm3/g) | 2.52 × 10−3 |
| Average pore size (Å) | 19.57 |
| Isotherms | Parameters | Corn Stalk Fibers |
|---|---|---|
| Langmuir | qm (g/g) | 9.337 |
| KL (L/g) | 0.020 | |
| R2 | 0.952 | |
| Freundlich | KF ((g/g) (L/g) 1/n) | 0.712 |
| 1/n | 0.478 | |
| R2 | 0.976 | |
| Redlich-Peterson | X (L/g) | 2.871 |
| Y (L/g)α | 3.620 | |
| α | 0.537 | |
| R2 | 0.979 |
| Asphaltene Concentration (g/L) | qe, exp (g/g) | Pseudo-First-Order Model | Pseudo-Second-Order Model | ||||
|---|---|---|---|---|---|---|---|
| qe, cal (g/g) | k1 (1/min) | R2 | qe, cal (g/g) | k2 (g/gmin) | R2 | ||
| 57.3 | 1.640 | 1.054 | 0.088 | 0.767 | 1.804 | 0.114 | 0.997 |
| 67.8 | 1.885 | 1.370 | 0.078 | 0.946 | 2.121 | 0.078 | 0.996 |
| 90.3 | 2.135 | 1.773 | 0.095 | 0.993 | 2.339 | 0.091 | 0.998 |
| 102.9 | 2.400 | 2.304 | 0.101 | 0.962 | 2.699 | 0.057 | 0.998 |
| 149.0 | 3.100 | 2.685 | 0.081 | 0.966 | 3.364 | 0.053 | 0.998 |
| Asphaltenes Concentration (g/L) | Weber and Morris Intraparticle Diffusion Model | ||||||||
|---|---|---|---|---|---|---|---|---|---|
| kp1 (g/g min) | C1 | R12 | kp2 (g/g min) | C2 | R22 | kp3 (g/g min) | C3 | R32 | |
| 57.3 | 0.377 | 0 | 0.982 | 0.225 | 0.548 | 1 | 0.023 | 1.474 | 0.511 |
| 67.8 | 0.409 | 0 | 0.969 | 0.256 | 0.556 | 1 | 0.056 | 1.491 | 0.722 |
| 90.3 | 0.504 | 0 | 0.981 | 0.209 | 0.886 | 1 | 0.102 | 1.424 | 0.863 |
| 102.9 | 0.508 | 0 | 0.976 | 0.260 | 0.864 | 1 | 0.121 | 1.532 | 0.884 |
| 149.0 | 0.678 | 0 | 0.970 | 0.259 | 0.721 | 1 | 0.180 | 1.761 | 0.940 |
| Asphaltene Concentration (g/L) | Boyd Film Diffusion Model | ||
|---|---|---|---|
| B | C | R2 | |
| 57.3 | 0.084 | 0.570 | 0.738 |
| 67.8 | 0.108 | 0.117 | 0.997 |
| 90.3 | 0.093 | 0.240 | 0.996 |
| 102.9 | 0.101 | 0.054 | 0.956 |
| 149.0 | 0.783 | 0.054 | 0.968 |
Publisher’s Note: MDPI stays neutral with regard to jurisdictional claims in published maps and institutional affiliations. |
© 2022 by the authors. Licensee MDPI, Basel, Switzerland. This article is an open access article distributed under the terms and conditions of the Creative Commons Attribution (CC BY) license (https://creativecommons.org/licenses/by/4.0/).
Share and Cite
Chen, Z.; Liu, B.; Feng, D.; Li, G. Adsorption Mechanism between Corn Stalk Fiber and Asphalt. Sustainability 2022, 14, 12863. https://doi.org/10.3390/su141912863
Chen Z, Liu B, Feng D, Li G. Adsorption Mechanism between Corn Stalk Fiber and Asphalt. Sustainability. 2022; 14(19):12863. https://doi.org/10.3390/su141912863
Chicago/Turabian StyleChen, Zining, Boying Liu, Decheng Feng, and Gang Li. 2022. "Adsorption Mechanism between Corn Stalk Fiber and Asphalt" Sustainability 14, no. 19: 12863. https://doi.org/10.3390/su141912863
APA StyleChen, Z., Liu, B., Feng, D., & Li, G. (2022). Adsorption Mechanism between Corn Stalk Fiber and Asphalt. Sustainability, 14(19), 12863. https://doi.org/10.3390/su141912863

