Predicting Lateral Resistance of Piles in Cohesive Soils
Abstract
1. Introduction
2. Method of Analysis
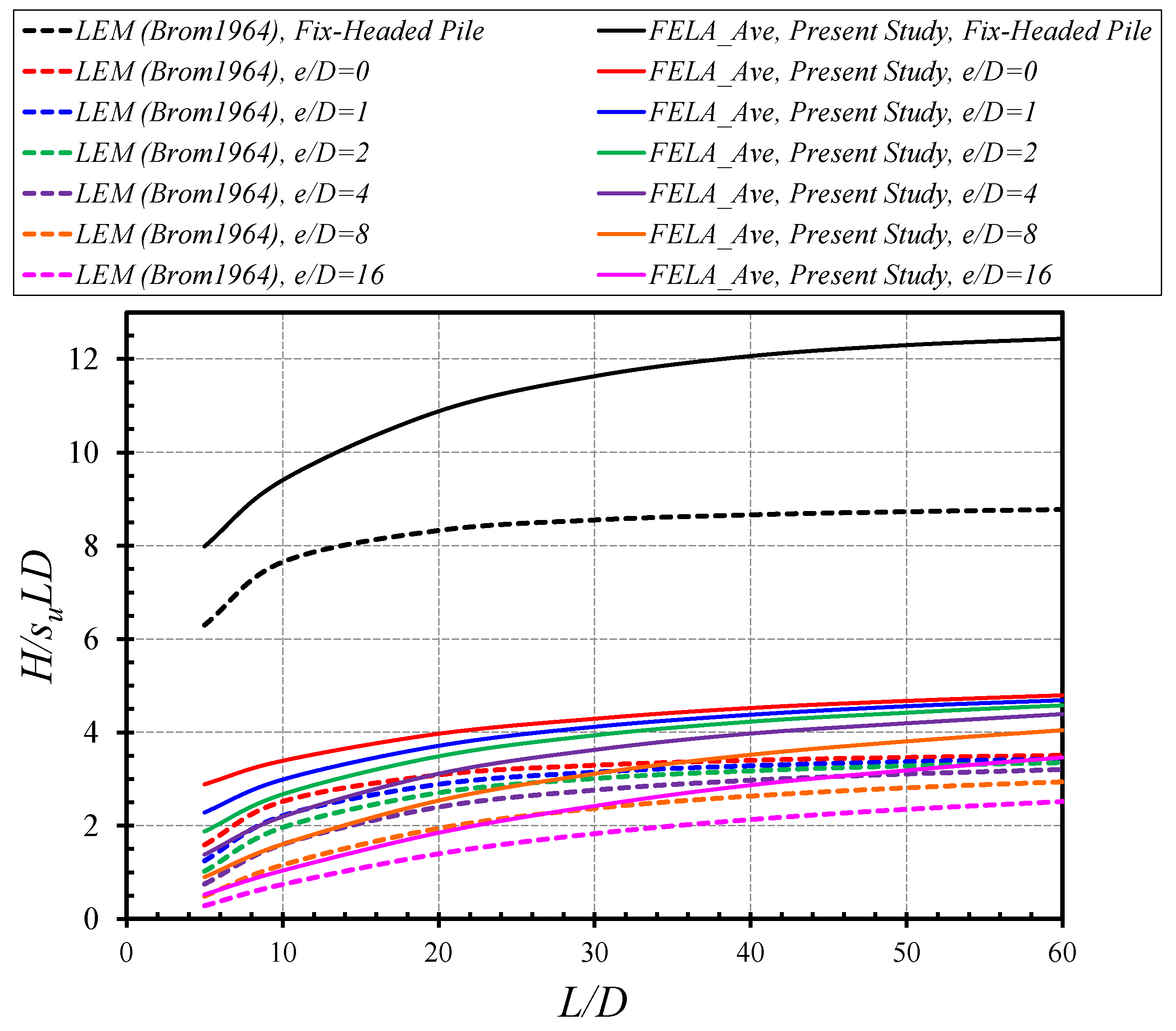
3. Comparisons with Published Results
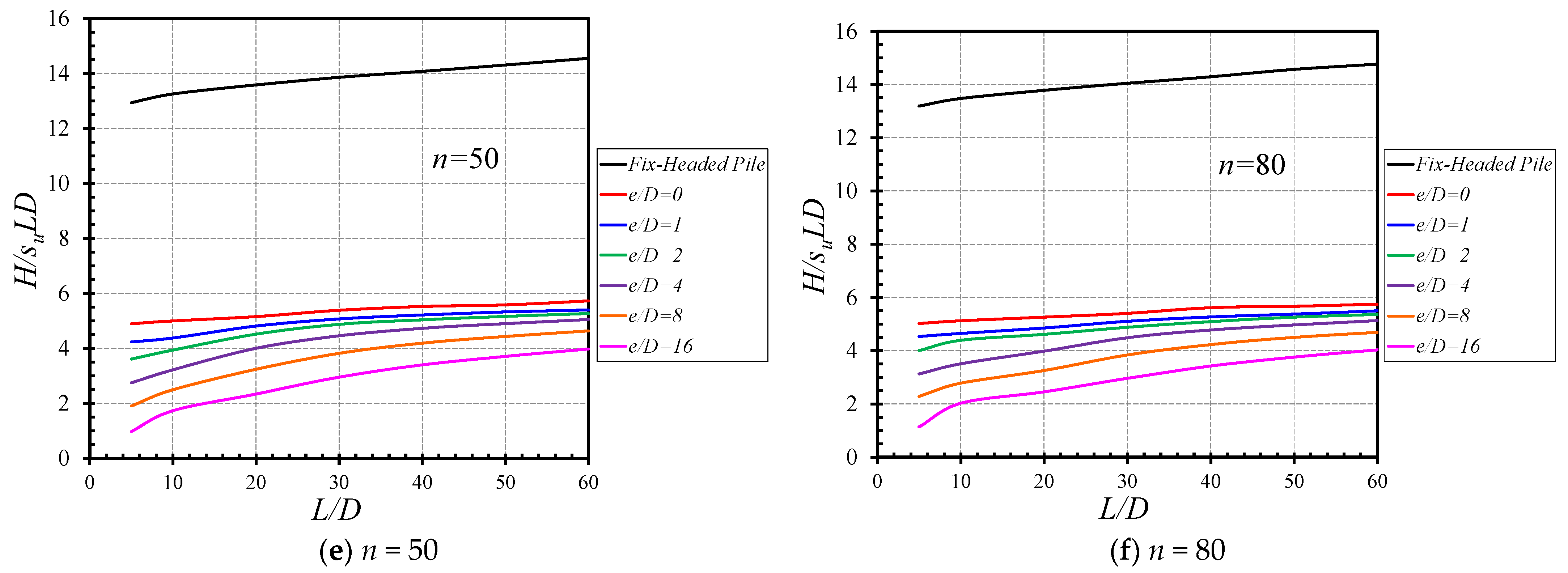
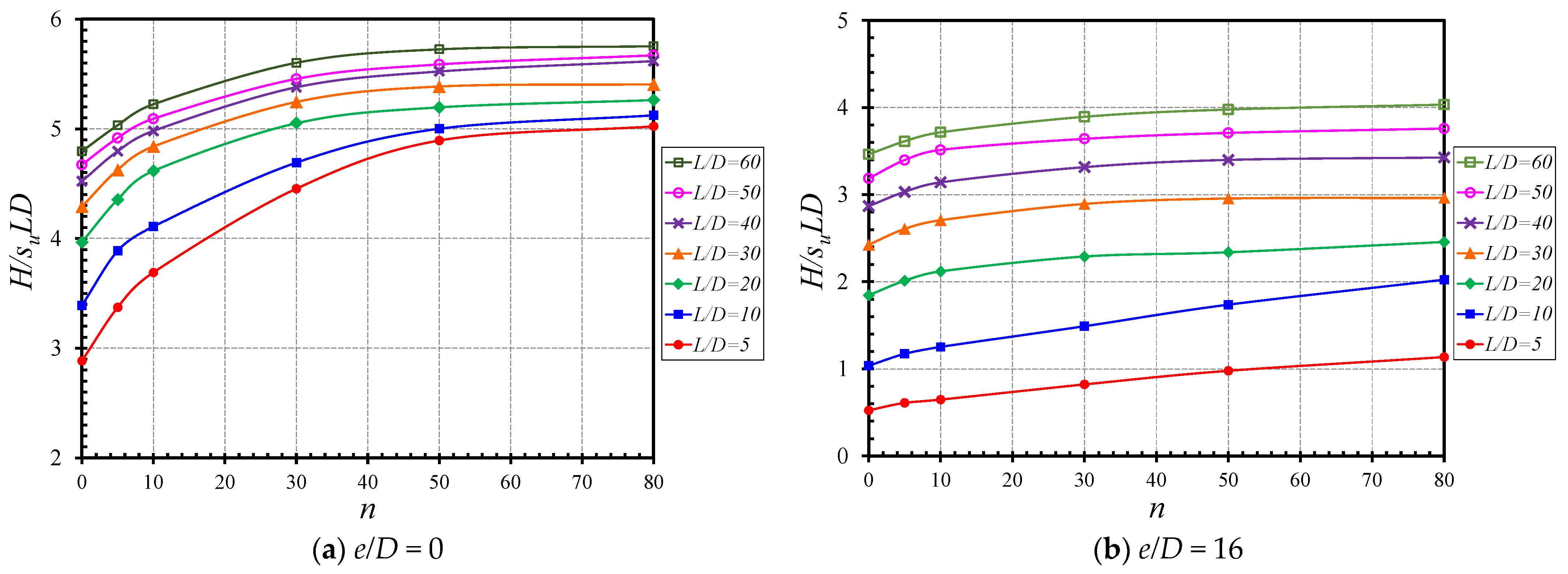
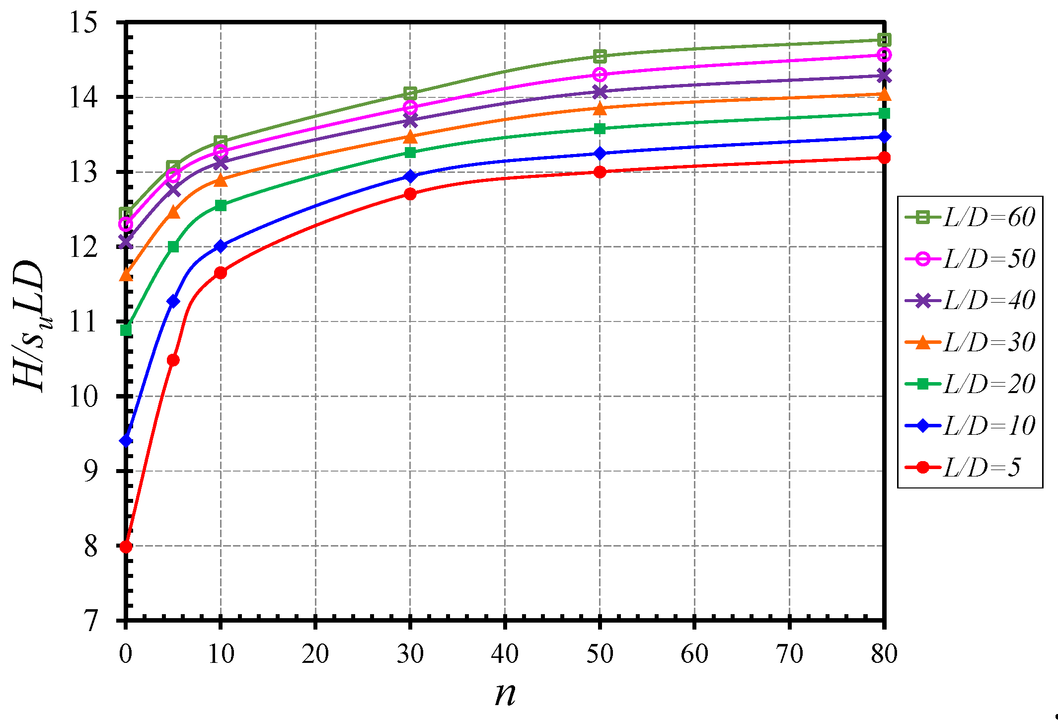
4. Results and Discussion
5. Empirical Design Equations
6. Design Charts Limitations
- All computed design charts are based on the assumption of undrained clay and homogenous soil profile characteristics, and hence cannot be used under heterogeneity and drained soil circumstances. Furthermore, the current solutions are inapplicable to non-homogeneous or multi-layered soils.
- The solutions for circular piles in homogeneous clays are presented in this paper. Since the pile shapes differ, such as a rectangular pile, the current solutions are simply for comparison. Additional pile forms must be properly simulated.
- If there are two adjacent piles, the effects of their separation must be explored further using a three-dimensional FELA technique.
7. Conclusions
Author Contributions
Funding
Institutional Review Board Statement
Informed Consent Statement
Data Availability Statement
Acknowledgments
Conflicts of Interest
References
- Rathod, D.; Krishnanunni, K.T.; Nigitha, D. A Review on Conventional and Innovative Pile System for Offshore Wind Turbines. Geotech. Geol. Eng. 2020, 38, 3385–3402. [Google Scholar] [CrossRef]
- Ahangar-Asr, A.; Javadi, A.A.; Johari, A.; Chen, Y. Lateral load bearing capacity modelling of piles in cohesive soils in undrained conditions: An intelligent evolutionary approach. Appl. Soft Comput. J. 2014, 24, 822–828. [Google Scholar] [CrossRef]
- Johari, A.; Kalantari, A.R. System reliability analysis of soldier-piled excavation in unsaturated soil by combining random finite element and sequential compounding methods. Bull. Eng. Geol. Environ. 2021, 80, 2485–2507. [Google Scholar] [CrossRef]
- Nakhaee, M.; Johari, A. Genetic-based modeling of undrained lateral load capacity of piles in cohesion soil. Glob. J. Sci. Eng. Technol. 2013, 2013, 123–133. [Google Scholar]
- Ukritchon, B.; Keawsawasvong, S. Unsafe error in conventional shape factor for shallow circular foundations in normally consolidated clays. J. Geotech. Geoenviron. Eng. 2017, 143, 02817001. [Google Scholar] [CrossRef]
- Ukritchon, B.; Keawsawasvong, S. Design equations of uplift capacity of circular piles in sands. Appl. Ocean Res. 2019, 90, 101844. [Google Scholar] [CrossRef]
- Ukritchon, B.; Keawsawasvong, S. Undrained lower bound solutions for end bearing capacity of shallow circular piles in non-homogeneous and anisotropic clays. Int. J. Numer. Anal. Methods Geomech. 2020, 44, 596–632. [Google Scholar] [CrossRef]
- Keawsawasvong, S.; Shiau, J.; Yoonirundorn, K. Bearing capacity of cylindrical caissons in cohesive-frictional soils using axisymmetric finite element limit analysis. Geotech. Geol. Eng. 2022, 40, 3929–3941. [Google Scholar] [CrossRef]
- Lai, V.Q.; Shiau, J.; Keawsawasvong, S.; Tran, D.T. Bearing capacity of ring foundations on anisotropic and heterogenous clays: FEA, NGI-ADP, and MARS. Geotech. Geol. Eng. 2022, 40, 3913–3928. [Google Scholar] [CrossRef]
- Broms, B.B. Lateral resistance of piles in cohesive soils. J. Soil Mech. Found. 1964, 90, 27–63. [Google Scholar] [CrossRef]
- Meyerhof, G.G.; Mathur, S.K.; Valsangkar, A.J. Lateral resistance and deflection of rigid walls and piles in layered soils. Can. Geotech. J. 1981, 18, 159–170. [Google Scholar] [CrossRef]
- Georgiadis, K.; Georgiadis, M.; Anagnostopoulos, C. Lateral bearing capacity of rigid piles near clay slopes. Soils Found. 2013, 53, 144–154. [Google Scholar] [CrossRef]
- Georgiadis, K.; Georgiadis, M. Undrained lateral pile response in sloping ground. J. Geotech. Geoenviron. Eng. 2010, 136, 1489–1500. [Google Scholar] [CrossRef]
- Georgiadis, K. Variation of limiting lateral soil pressure with depth for pile rows in clay. Comput. Geotech. 2014, 62, 164–174. [Google Scholar] [CrossRef]
- Zhang, Y.; Andersen, K.H.; Tedesco, G. Ultimate bearing capacity of laterally loaded piles in clay—Some practical considerations. Mar. Struct. 2016, 50, 260–275. [Google Scholar] [CrossRef]
- Al-Abboodi, I.; Sabbagh, T.T. Numerical Modelling of Passively Loaded Pile Groups. Geotech. Geol. Eng. 2019, 37, 2747–2761. [Google Scholar] [CrossRef]
- Keawsawasvong, S.; Ukritchon, B. Failure modes of laterally loaded piles under combined horizontal load and moment considering overburden stress factors. Geotech. Geol. Eng. 2020, 38, 4253–4267. [Google Scholar] [CrossRef]
- Sivapriya, S.V.; Gandhi, S.R. Soil–Structure Interaction of Pile in a Sloping Ground under Different Loading Conditions. Geotech. Geol. Eng. 2020, 38, 1185–1194. [Google Scholar] [CrossRef]
- Conte, E.; Pugliese, L.; Troncone, A.; Vena, M. A simple approach for evaluating the bearing capacity of piles subjected to inclined loads. Int. J. Geomech. 2021, 21, 04021224. [Google Scholar] [CrossRef]
- Eltaweila, S.; Shahien, M.M.; Nasr, A.M.; Farouk, A. Effect of Soil Improvement Techniques on Increasing the Lateral Resistance of Single Piles in Soft Clay (Numerical Investigation). Geotech. Geol. Eng. 2021, 39, 4059–4070. [Google Scholar] [CrossRef]
- Murff, J.D.; Hamilton, J.M. P-ultimate for undrained analysis of laterally loaded piles. J. Geotech. Geoenviron. Eng. 1993, 119, 91–107. [Google Scholar] [CrossRef]
- Klar, A.; Randolph, M.F. Upper-bound and load-displacement solution for laterally loaded piles in clays based on energy minimization. Géotechnique 2008, 58, 815–820. [Google Scholar] [CrossRef]
- Yu, J.; Huang, M.; Zhang, C. Three-dimensional upper-bound analysis for ultimate bearing capacity of laterally loaded rigid pile in undrained clay. Can. Geotech. J. 2015, 52, 1775–1790. [Google Scholar] [CrossRef]
- Yu, J.; Huang, M.; Zhang, C. Ultimate lateral resistance of laterally loaded piles in undrained clay. In Proceedings of the 3rd International Symposium on Frontiers in Offshore Geotechnics (ISFOG), Oslo, Norway, 10–12 June 2015; Meyer, V., Ed.; Taylor & Francis Group: Abingdon, UK, 2015; pp. 661–666. [Google Scholar]
- Izadi, A.; Chenari, R.J. Three-dimensional finite-element lower bound solutions for lateral limit load of piles embedded in Cross-Anisotropic Clay Deposits. Int. J. Geomech. 2021, 21, 04021234. [Google Scholar] [CrossRef]
- Izadi, A.; Chenari, R.J. Three dimensional undrained bearing capacity analysis of laterally loaded pile in heterogeneous marine deposits. Mar. Georesour. Geotechnol. 2022, 40, 213–234. [Google Scholar] [CrossRef]
- Luo, R.; Zhu, B.; Yang, Z. Limiting Force Profile for Laterally Loaded Piles in Undrained Clay. Int. J. Geomech. 2021, 21, 04021146. [Google Scholar] [CrossRef]
- Reese, L.C. Laterally loaded piles: Program documentation. J. Geotech. Geoenviron. Eng. 1977, 103, 287–305. [Google Scholar] [CrossRef]
- Ismael, N.F. Behavior of laterally loaded bored piles in cemented sands. J. Geotech. Geoenviron. Eng. 1990, 116, 1678–1699. [Google Scholar] [CrossRef]
- Reese, L.C.; Wang, S.T.; Isenhower, W.M.; Arrellaga, J.A. Computer Program LPILE Plus Version 4.0 Technical Manual; Ensoft, Inc.: Austin, TX, USA, 2000. [Google Scholar]
- Yu, H.; Peng, S.; Zhao, Q. Field Tests of the Response of Single Pile Subjected to Lateral Load in Gravel Soil Sloping Ground. Geotech. Geol. Eng. 2019, 37, 2659–2674. [Google Scholar] [CrossRef]
- Ghasemipanah, A.; Moayed, R.Z. Analysis of Concrete Piles Under Horizontal and Vertical Simultaneous Loading with P-Y Method and Finite Element Analysis. Geotech. Geol. Eng. 2021, 39, 5857–5877. [Google Scholar] [CrossRef]
- Randolph, M.F.; Houlsby, G.T. The limiting pressure on a circular pile loaded laterally in cohesive soil. Geotechnique 1984, 34, 613–623. [Google Scholar] [CrossRef]
- Martin, C.; Randolph, M.F. Upper-bound analysis of lateral pile capacity in cohesive soil. Geotechnique 2006, 56, 141–145. [Google Scholar] [CrossRef]
- Ukritchon, B.; Keawsawasvong, S. Error in Ito and Matsui’s limit equilibrium solution of lateral force on a row of stabilizing piles. J. Geotech. Geoenviron. Eng. 2017, 143, 02817004. [Google Scholar] [CrossRef]
- Lai, V.Q.; Banyong, B.; Keawsawasvong, S. Stability of limiting pressure behind soil gaps in contiguous pile walls in anisotropic clays. Eng. Fail. Anal. 2022, 134, 106049. [Google Scholar] [CrossRef]
- Keawsawasvong, S.; Ukritchon, B. Ultimate lateral capacity of two dimensional plane strain rectangular pile in clay. Geomech. Eng. 2016, 11, 235–251. [Google Scholar] [CrossRef]
- Ukritchon, B.; Keawsawasvong, S. Undrained lateral capacity of rectangular piles under a general loading direction and full flow mechanism. KSCE J. Civ. Eng. 2018, 22, 2256–2265. [Google Scholar] [CrossRef]
- Keawsawasvong, S.; Ukritchon, B. Undrained lateral capacity of I-shaped concrete piles. Songklanakarin J. Sci. Technol. 2017, 39, 751–758. [Google Scholar]
- Poulos, H.G.; Davis, E.H. Pile Foundation Analysis and Design; Wiley: New York, NY, USA, 1980. [Google Scholar]
- Reese, L.C.; Van Impe, W.F. Single Piles and Pile Groups under Lateral Loading; Taylor & Francis Group plc: London, UK, 2007. [Google Scholar]
- Ruigrok, J.A.T. Laterally Loaded Piles Models and Measurements. Ph.D. Thesis, Delft University of Technology, Delft, The Netherlands, 2010. [Google Scholar]
- Zhang, Y.; Rochmann, F.N.; Teng, Y.; Lai, Y. A numerical study on the group effect for offshore piles in clay under lateral loading. Mar. Struct. 2021, 84, 103238. [Google Scholar] [CrossRef]
- Optum CE (2022) OptumG3. Optum Computational Engineering, Copenhagen. Available online: https://optumce.com/ (accessed on 12 September 2022).
- Lyamin, A.V.; Sloan, S.W. Lower bound limit analysis using nonlinear programming. Int. J. Numer. Methods Eng. 2002, 55, 573–611. [Google Scholar] [CrossRef]
- Lyamin, A.V.; Sloan, S.W. Upper bound limit analysis using linear finite elements and nonlinear programming. Int. J. Numer. Anal. Methods Géoméch. 2002, 26, 181–216. [Google Scholar] [CrossRef]
- Kranbbenhoft, K.; Lyamin, A.V.; Sloan, S.W. Formulation and solution of some plasticity problems as conic programs. Int. J. Solids Struct. 2007, 44, 1533–1549. [Google Scholar] [CrossRef]
- Sloan, S.W. Geotechnical stability analysis. Géotechnique 2013, 63, 531–572. [Google Scholar] [CrossRef]
- Keawsawasvong, S.; Ukritchon, B. Undrained basal stability of braced circular excavations in non-homogeneous clays with linear increase of strength with depth. Comput. Geotech. 2019, 115, 103180. [Google Scholar] [CrossRef]
- Ukritchon, B.; Keawsawasvong, S. Three-dimensional lower bound finite element limit analysis of Hoek-Brown material using semidefinite programming. Comput. Geotech. 2018, 104, 248–270. [Google Scholar] [CrossRef]
- Ukritchon, B.; Yoang, S.; Keawsawasvong, S. Three-dimensional stability analysis of the collapse pressure on flexible pavements over rectangular trapdoors. Transp. Geotech. 2019, 21, 100277. [Google Scholar] [CrossRef]
- Ukritchon, B.; Yoang, S.; Keawsawasvong, S. Undrained stability of unsupported rectangular excavations in non-homogeneous clays. Comput. Geotech. 2020, 117, 103281. [Google Scholar] [CrossRef]
- Keawsawasvong, S.; Ukritchon, B. Undrained capacity of laterally loaded underground walls subjected to horizontal load and moment. J. GeoEng. 2016, 11, 75–83. [Google Scholar]
- Keawsawasvong, S.; Ukritchon, B. Finite element analysis of undrained stability of cantilever flood walls. Int. J. Geotech. Eng. 2017, 11, 355–367. [Google Scholar] [CrossRef]
- Keawsawasvong, S.; Ukritchon, B. Three-dimensional interaction diagram for the undrained capacity of inverted T-shape strip footings under general loading. Int. J. Geotech. Eng. 2018, 12, 133–146. [Google Scholar] [CrossRef]
- Ciria, H.; Peraire, J.; Bonet, J. Mesh adaptive computation of upper and lower bounds in limit analysis. Int. J. Numer. Methods Eng. 2008, 75, 899–944. [Google Scholar] [CrossRef]
- Yodsomjai, W.; Keawsawasvong, S.; Senjuntichai, T. Undrained stability of unsupported conical slopes in anisotropic clays based on Anisotropic Undrained Shear failure criterion. Transp. Infrastruct. Geotechnol. 2021, 8, 557–568. [Google Scholar] [CrossRef]
- Yodsomjai, W.; Keawsawasvong, S.; Thongchom, C.; Lawongkerd, J. Undrained stability of unsupported conical slopes in two-layered clays. Innov. Infrastruct. Solut. 2021, 6, 15. [Google Scholar] [CrossRef]
- Yodsomjai, W.; Keawsawasvong, S.; Likitlersuang, S. Stability of unsupported conical slopes in Hoek-Brown rock masses. Transp. Infrastruct. Geotechnol. 2021, 8, 278–295. [Google Scholar] [CrossRef]
- Yodsomjai, W.; Keawsawasvong, S.; Lai, V.Q. Limit analysis solutions for bearing capacity of ring foundations on rocks using Hoek-Brown failure criterion. Int. J. Geosynth. Ground Eng. 2021, 7, 29. [Google Scholar] [CrossRef]
- Keawsawasvong, S.; Thongchom, C.; Likitlersuang, S. Bearing capacity of strip footing on Hoek-Brown rock mass subjected to eccentric and inclined loading. Transp. Infrastruct. Geotechnol. 2021, 8, 189–200. [Google Scholar] [CrossRef]
- Keawsawasvong, S.; Lai, V.Q. End bearing capacity factor for annular foundations embedded in clay considering the effect of the adhesion factor. Int. J. Geosynth. Ground Eng. 2021, 7, 15. [Google Scholar] [CrossRef]
- Keawsawasvong, S. Limit State Solutions of Laterally Loaded Pile in Cohesive Soils by Finite Element Analysis. Master’s Thesis, Chulalongkorn University, Bangkok, Thailand, 2014. [Google Scholar]
- Sauer, T. Numerical Analysis; Pearson Education Limited: London, UK, 2014. [Google Scholar]

















| Existing Method | Equations or Design Charts |
|---|---|
| Broms [10] | |
| Meyerhof et al. [11] | , where FC = lateral resistance factor and sC = shape factor (see Meyerhof et al., 1981) |
| Georgiadis et al. [12] | , where zo can be computed from the equation below: , |
| Murff and Hamilton [21] | from a design chart |
| Yu et al. [23] | from a design chart |
| Keawsawasvong and Ukritchon [17] | where a1 = 4.3671, a2 = 3.8909 × 10−4, a3 = 6.5365 × 10−2, a4 = 0.1056, a5 = 2.3647 × 10−2, a6 = −0.3956, a7 = 8.1367 × 10−2 and n = γL/su is the overburden stress factor. |
| Izadi and Chenari [25,26] | from a design chart where α is adhesion factor and λ is strength gradient ratio |
| Piles | e/D | H/suLD | n = 0 | n = 5 | n = 10 | n = 30 | n = 50 | n = 80 |
|---|---|---|---|---|---|---|---|---|
| 0 | Min | 2.884 | 3.372 | 3.690 | 4.454 | 4.894 | 5.023 | |
| 0 | Max | 4.795 | 5.032 | 5.223 | 5.601 | 5.725 | 5.753 | |
| 1 | Min | 2.283 | 2.642 | 2.862 | 3.452 | 4.238 | 4.537 | |
| 1 | Max | 4.688 | 4.908 | 5.045 | 5.294 | 5.401 | 5.499 | |
| 2 | Min | 1.874 | 2.174 | 2.343 | 2.825 | 3.610 | 4.005 | |
| Free | 2 | Max | 4.581 | 4.789 | 4.922 | 5.155 | 5.274 | 5.363 |
| Headed | 4 | Min | 1.382 | 1.597 | 1.712 | 2.185 | 2.751 | 3.124 |
| 4 | Max | 4.388 | 4.579 | 4.722 | 4.968 | 5.051 | 5.133 | |
| 8 | Min | 0.899 | 1.039 | 1.109 | 1.568 | 1.908 | 2.289 | |
| 8 | Max | 4.043 | 4.205 | 4.330 | 4.529 | 4.636 | 4.693 | |
| 16 | Min | 0.524 | 0.610 | 0.649 | 0.822 | 0.979 | 1.136 | |
| 16 | Max | 3.462 | 3.612 | 3.716 | 3.894 | 3.978 | 4.033 | |
| Fixed | - | Min | 7.985 | 10.483 | 11.653 | 12.706 | 12.931 | 13.193 |
| Headed | - | Max | 12.438 | 13.066 | 13.399 | 13.924 | 14.546 | 14.767 |
| Constant | Free-Headed Pile, e/D | Fix-Headed | |||||
|---|---|---|---|---|---|---|---|
| Coefficients | 0 | 1 | 2 | 4 | 8 | 16 | Pile |
| a1 | 1.39653 | 0.28330 | −0.26390 | −0.96210 | −1.26159 | −1.07657 | 3.87701 |
| a2 | 0.01149 | 0.04216 | 0.06592 | 0.04993 | 0.04658 | 0.02330 | −0.16683 |
| a3 | 0.29648 | 0.07840 | −0.14140 | −0.11097 | −0.14845 | −0.11162 | 2.41066 |
| b1 | −0.04021 | −0.05908 | −0.06416 | −0.06593 | −0.04957 | −0.02122 | −0.14081 |
| b2 | 0.00086 | 0.00185 | 0.00235 | 0.00189 | 0.00160 | 0.00059 | −0.00251 |
| b3 | −0.00215 | −0.00902 | −0.01359 | −0.01128 | −0.00993 | −0.00514 | 0.03772 |
| c1 | 0.74257 | 1.02044 | 1.11642 | 1.19523 | 1.06596 | 0.75075 | 2.18053 |
| c2 | −0.00879 | −0.02003 | −0.02688 | −0.02136 | −0.01871 | −0.00815 | 0.03992 |
| c3 | −0.00028 | 0.07480 | 0.13768 | 0.11631 | 0.10937 | 0.06751 | −0.56016 |
| R2 | 98.83% | 99.28% | 99.59% | 99.75% | 99.87% | 99.73% | 99.44% |
Publisher’s Note: MDPI stays neutral with regard to jurisdictional claims in published maps and institutional affiliations. |
© 2022 by the authors. Licensee MDPI, Basel, Switzerland. This article is an open access article distributed under the terms and conditions of the Creative Commons Attribution (CC BY) license (https://creativecommons.org/licenses/by/4.0/).
Share and Cite
Chaonoi, W.; Shiau, J.; Ngamkhanong, C.; Thongchom, C.; Jamsawang, P.; Keawsawasvong, S. Predicting Lateral Resistance of Piles in Cohesive Soils. Sustainability 2022, 14, 12940. https://doi.org/10.3390/su141912940
Chaonoi W, Shiau J, Ngamkhanong C, Thongchom C, Jamsawang P, Keawsawasvong S. Predicting Lateral Resistance of Piles in Cohesive Soils. Sustainability. 2022; 14(19):12940. https://doi.org/10.3390/su141912940
Chicago/Turabian StyleChaonoi, Wiphu, Jim Shiau, Chayut Ngamkhanong, Chanachai Thongchom, Pitthaya Jamsawang, and Suraparb Keawsawasvong. 2022. "Predicting Lateral Resistance of Piles in Cohesive Soils" Sustainability 14, no. 19: 12940. https://doi.org/10.3390/su141912940
APA StyleChaonoi, W., Shiau, J., Ngamkhanong, C., Thongchom, C., Jamsawang, P., & Keawsawasvong, S. (2022). Predicting Lateral Resistance of Piles in Cohesive Soils. Sustainability, 14(19), 12940. https://doi.org/10.3390/su141912940

