Effects of Tuff Powder on the Hydration Properties of Cement-Based Materials under High Temperature
Abstract
:1. Introduction
2. Experimental Procedure
3. Results and Discussion
3.1. Compressive Strength
3.2. Hydration Products
3.2.1. X-ray Diffraction (XRD)
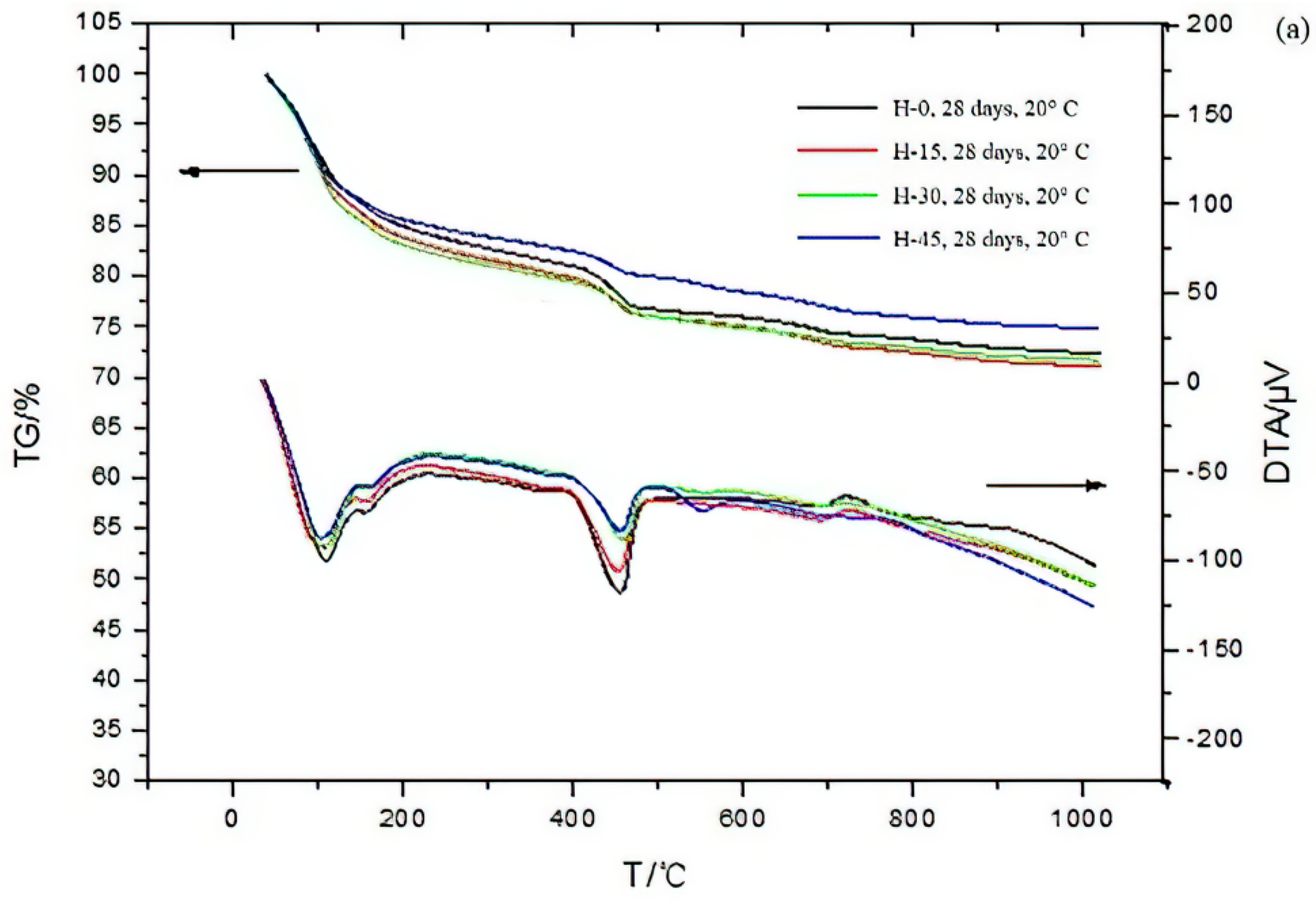
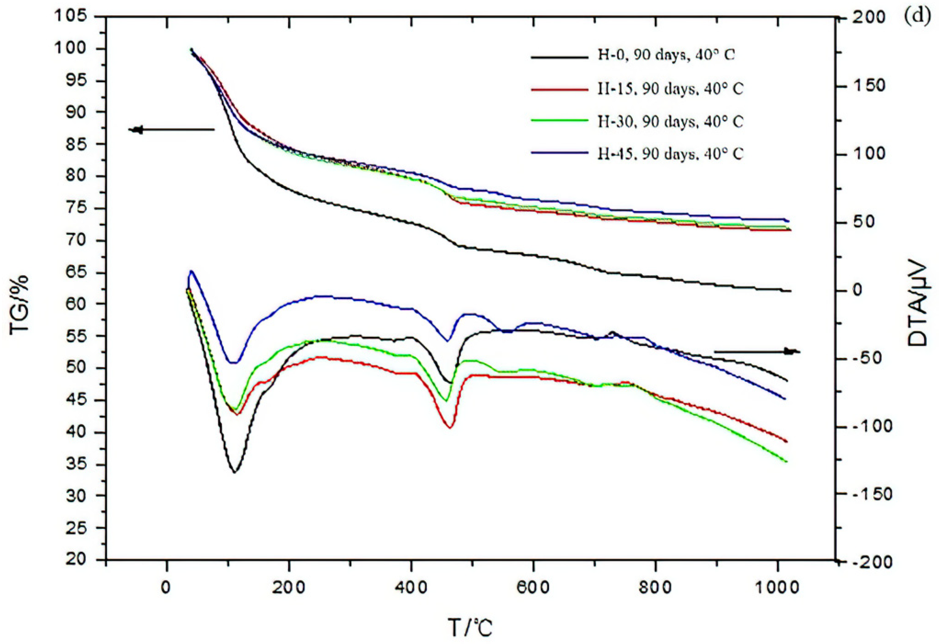
3.2.2. Thermogravimetric and Differential Thermal Analysis (TG–DTA)
- (a)
- There is a mass loss and an endothermic effect caused by the dehydration decomposition of Ca(OH)2 at 400–500 °C, so Ca(OH)2 content in the system can be quantitatively calculated. The reaction equation is as follows in Equation (4). Here, WCH is the mass of Ca(OH)2, and WH is the mass of water.
- (b)
- The CaCO3 in the system is also converted from the carbonization of Ca(OH)2 produced by hydration, so Ca(OH)2 involved in the conversion reaction should also be calculated. The CaCO3 decomposition near 700 °C is as follows in Equation (3). Here, WC is the mass of CaCO3, and WCO2 is the mass of CO2.
- (c)
- The total Ca(OH)2 content is the sum of the two parts, as shown in Figure 6.
4. Conclusions
- (1)
- With the increase in TP content, the compressive strength of the specimens gradually decreased, which was more obvious in the case of a high W/B ratio.
- (2)
- A high curing temperature was beneficial for developing the compressive strength of cement pastes incorporating TP because it promoted cement hydration and the pozzolanic reaction of TP simultaneously. High curing temperatures can partially compensate for the strength decline disadvantage caused by increased TP content. The high curing temperature was most conducive to the development of strength at the early stage; however, its impact was weak at a later stage.
- (3)
- XRD and TG–DTA tests showed that the high curing temperature promoted the hydration of cement in the system, with more Ca(OH)2 being generated. At the same time, some Ca(OH)2 was consumed during the pozzolanic reaction of the TP. When the pozzolanic reaction of the TP was stronger than the cement’s hydration, the total Ca(OH)2 content decreased. The Ca(OH)2 content was reduced with the increase in TP content and curing temperature for the pastes containing TP.
- (4)
- The activation of the pozzolanic activity of TP can be prompted by high curing temperatures, which provides a theoretical foundation for applying TP to concrete.
Author Contributions
Funding
Institutional Review Board Statement
Informed Consent Statement
Data Availability Statement
Conflicts of Interest
References
- Wu, Z.; Lian, H. High Performance Concrete; China Railway Press: Beijing, China, 1999. [Google Scholar]
- Chen, Y.M.; He, X.Y.; Li, Y.; Su, Y. Research progress and shortcoming of mineral admixtures. Mater. Guide 2006, 20, 28–31. [Google Scholar]
- Ma, B.G.; Li, Y.X. The research development of green high performance concrete and mineral admixture. J. Wuhan Univ. Technol. 1999, 21, 29–31. [Google Scholar]
- Kong, X.Z. Research on Limestone Powder as Roller-Compacted Concrete Additive. Master’s Thesis, China Institute of Water Resources and Hydropower Research, Beijing, China, 2006. [Google Scholar]
- Zhang, S. Study on the Influence of Tuff Powder Admixture on the Performance of Hydraulic Concrete. Master’s Thesis, Changjiang River Scientific Research Institute, Wuhan, China, 2016. [Google Scholar]
- Liu, S.H.; Wang, H.; Wang, H.L. Effect of grinding time on the particle size distribution characteristics of tuff powder. Mater. Sci. (Medžiagotyra) 2021, 27, 205–209. [Google Scholar] [CrossRef]
- Ayman, A.; Faris, M. Potential use of Jordanian volcanic tuffs as supplementary cementitious materials. Case Stud. Constr. Mater. 2018, 8, 193–202. [Google Scholar]
- Yang, T.; Zheng, J.L.; Xie, B.; Guan, H.X. Experimental research on high-temperature performance, low-temperature performance and water stability of tuff asphalt mixture. J. Highw. Transp. Res. Dev. 2016, 33, 1–6. [Google Scholar]
- Cherrak, M.; Bali, A.; Silhadi, K. Corrigendum to “Concrete mix design containing calcareous tuffs as a partial sand substitution”. Constr. Build. Mater. 2015, 81, 324. [Google Scholar] [CrossRef]
- Tang, Q. Comparative study on mechanical properties of limestone and tuff mechanism sand concrete. China Water Transp. 2015, 15, 316–318. [Google Scholar]
- Ilker, T.; Osman, G.; Aliakbar, G.; Osman, H.O.; Fuat, K.; Togay, O. Recycling zeolitic tuff and marble waste in the production of eco-friendly geopolymer concretes. J. Clean. Prod. 2020, 268, 122298. [Google Scholar]
- Hu, Y.R.; Hu, X.L. Engineering Performance of Concrete Incorporated with Recycled High-Density Polyethylene (HDPE)-A Systematic Review. Yunnan Water Power 2021, 16, 53–57. [Google Scholar]
- Meriem, M.; Nordine, L.; Nasser, C.; Ouali, A. Mechanical and thermal modification of mordenite-rich tuff and its effect on cement pastes. Constr. Build. Mater. 2022, 318, 126008. [Google Scholar]
- Peng, S.T.; Li, X.; Wu, Z.Y.; Chen, J.K.; Lu, X. Study of the key technologies of application of tuff powder con-crete at the Daigo hydropower station in Tibet. Constr. Build. Mater. 2017, 156, 1–8. [Google Scholar] [CrossRef]
- Liu, S.H.; Fang, P.P.; Wang, H.L.; Kong, Y.N.; Ouyang, L. Effect of tuff powder on the hydration properties of composite cementitious materials. Powder Technol. 2021, 380, 59–66. [Google Scholar] [CrossRef]
- Çavdar, A.; Yetgin, Ş. Availability of tuffs from northeast of Turkey as natural pozzolan on cement, some chemical and mechanical relationships. Constr. Build. Mater. 2007, 21, 2066–2071. [Google Scholar] [CrossRef]
- Wang, Y. Study on mechanical properties and durability of tuff stone powder concrete. In Proceedings of the 5th International Conference on Machinery, Da Nang, Vietnam, 29–31 January 2021. [Google Scholar]
- Wang, Z.D. Workability and mechanical property of tuff composite powder concrete. In Proceedings of the 2nd International Conference on Energy Equipment Science and Engineering, Wuhan, China, 11–13 November 2016; AEIC Academic Exchange In-formation Centre: Guangzhou, China, 2016. [Google Scholar]
- Li, X.; Shi, Y.; Li, J.Z. Compressive strength development of complex binder containing tuff powder. J. Build. Mater. 2017, 20, 435–438. [Google Scholar]
- Li, H.; Wang, Z.; Sun, R.; Huang, F.; Yi, Z.; Yuan, Z.; Wen, J.; Lu, L.; Yang, Z. Effect of different lithological stone powders on properties of cementi-tious materials. J. Clean. Prod. 2021, 289, 125820. [Google Scholar] [CrossRef]
- Mehdey, F.; Emadaldin, M.G. Durability properties of concrete containing amorphous silicate tuff as a type of natural cementitious material. Constr. Build. Mater. 2020, 230, 117087. [Google Scholar]
- Mei, G.X.; Liu, W.B. SEM analysis of the hydrate of tuff grout and phosphorus-slag grout. Concrete 2003, 2003, 49–51. [Google Scholar]
- Liu, M.; Hong, S.; Wang, Y.; Zhang, J.; Hou, D.; Dong, B. Compositions and microstructures of hardened cement paste with carbonation curing and further water curing. Constr. Build. Mater. 2021, 267, 121724. [Google Scholar] [CrossRef]
- Liu, M.; Tan, H.; He, X. Effects of nano-SiO2 on early strength and microstructure of steam-cured high volume fly ash cement system. Constr. Build. Mater. 2019, 194, 350–359. [Google Scholar] [CrossRef]
- Yacine, H.A.; Idriss, G.; Benchaa, B. Mix-design and properties of self-compacting concrete made with calcar-eous tuff. J. Build. Eng. 2020, 27, 100997. [Google Scholar]
- Cao, X.; Xia, D.C.; Yin, W.X. Influences of tuff powder and VF anti-cracking agent on hydration charac-teristics of cement paste. Hongshui River 2016, 35, 38–41. [Google Scholar]
- Zhang, Z.D.; George, W.S. Evaluation of drying methods by nitrogen adsorption. Cem. Concr. Res. 2019, 120, 13–26. [Google Scholar] [CrossRef]








| Compositions | CaO | SiO2 | Al2O3 | Fe2O3 | SO3 | MgO | TiO2 | K2O | Na2O | P2O5 | MnO | Loss |
|---|---|---|---|---|---|---|---|---|---|---|---|---|
| Cement | 57.95 | 25.67 | 4.89 | 3.29 | 3.29 | 0.15 | 0.35 | 0.76 | 0.28 | 0.06 | 0.13 | 2.15 |
| Tuff powder | 1.01 | 72.35 | 14.25 | 1.20 | 0.13 | 0.71 | 0.38 | 4.43 | 2.85 | 0.09 | 0.09 | 0.71 |
| Samples | Cement | TP | Water |
|---|---|---|---|
| H-0 | 800 | 0 | 400 |
| H-15 | 680 | 120 | 400 |
| H-30 | 560 | 240 | 400 |
| H-45 | 440 | 360 | 400 |
| L-0 | 800 | 0 | 240 |
| L-15 | 680 | 120 | 240 |
| L-30 | 560 | 240 | 240 |
| L-45 | 440 | 360 | 240 |
| Samples | 20 °C | 40 °C | ||||||
|---|---|---|---|---|---|---|---|---|
| 3 Days | 7 Days | 28 Days | 90 Days | 3 Days | 7 Days | 28 Days | 90 Days | |
| H-0 | 25.35 | 29.43 | 48.21 | 57.85 | 31.06 | 38.64 | 54.97 | 67.01 |
| H-15 | 18.78 | 28.30 | 39.02 | 50.72 | 26.79 | 34.25 | 45.22 | 53.52 |
| H-30 | 14.97 | 22.60 | 29.58 | 39.05 | 19.21 | 24.86 | 31.86 | 40.14 |
| H-45 | 8.89 | 15.35 | 18.85 | 24.88 | 11.75 | 18.62 | 22.41 | 30.11 |
| L-0 | 38.87 | 46.45 | 60.69 | 71.77 | 52.64 | 56.39 | 73.84 | 89.55 |
| L-15 | 26.57 | 31.52 | 43.95 | 58.01 | 35.33 | 43.51 | 58.94 | 76.36 |
| L-30 | 23.93 | 30.17 | 38.27 | 48.21 | 28.08 | 34.56 | 45.25 | 57.59 |
| L-45 | 18.45 | 22.15 | 28.95 | 38.21 | 20.64 | 22.61 | 31.15 | 42.05 |
Publisher’s Note: MDPI stays neutral with regard to jurisdictional claims in published maps and institutional affiliations. |
© 2022 by the authors. Licensee MDPI, Basel, Switzerland. This article is an open access article distributed under the terms and conditions of the Creative Commons Attribution (CC BY) license (https://creativecommons.org/licenses/by/4.0/).
Share and Cite
Liu, S.; Liang, X.; Wang, H.; Liu, M.; Ouyang, L. Effects of Tuff Powder on the Hydration Properties of Cement-Based Materials under High Temperature. Sustainability 2022, 14, 14691. https://doi.org/10.3390/su142214691
Liu S, Liang X, Wang H, Liu M, Ouyang L. Effects of Tuff Powder on the Hydration Properties of Cement-Based Materials under High Temperature. Sustainability. 2022; 14(22):14691. https://doi.org/10.3390/su142214691
Chicago/Turabian StyleLiu, Shuhua, Xiao Liang, Hongling Wang, Min Liu, and Liao Ouyang. 2022. "Effects of Tuff Powder on the Hydration Properties of Cement-Based Materials under High Temperature" Sustainability 14, no. 22: 14691. https://doi.org/10.3390/su142214691
APA StyleLiu, S., Liang, X., Wang, H., Liu, M., & Ouyang, L. (2022). Effects of Tuff Powder on the Hydration Properties of Cement-Based Materials under High Temperature. Sustainability, 14(22), 14691. https://doi.org/10.3390/su142214691

