Next Article in Journal
One Man’s Trash Is Another Man’s Treasure: Negative Experiences of Tourists with Different Satisfaction Levels
Next Article in Special Issue
How Does Green Finance Affect the Sustainable Development of the Regional Economy? Evidence from China
Previous Article in Journal
Arborists and Urban Foresters Support for Urban Wildlife and Habitat Sustainability: Results of an Urban Ecology-Focused Survey of Arborists
 
 
Font Type:
Arial Georgia Verdana
Font Size:
Aa Aa Aa
Line Spacing:
Column Width:
Background:
Article

How Do Investors Value Sustainability? A Utility-Based Preference Optimization

Faculty of Business and Economics, TU Dortmund University, Otto-Hahn-Str. 6, 44227 Dortmund, Germany
*
Author to whom correspondence should be addressed.
These authors contributed equally to this work.
Sustainability 2022, 14(23), 15963; https://doi.org/10.3390/su142315963
Submission received: 25 September 2022 / Revised: 19 November 2022 / Accepted: 23 November 2022 / Published: 30 November 2022

Abstract

We investigate how an investor’s preference for sustainable assets in the portfolio varies for differing levels of risk aversion. Using a sample of 411 publicly listed firms in the S&P 500, we calculate financial and sustainability returns, on which the investor’s utility depends. We approximate the investor’s preference by the exponential and s-shaped utility function and optimize with regard to the sustainability preference. We find that with increasing levels of risk aversion, both minimum-variance and maximum Sharpe ratio type investors seek to incorporate sustainable assets in the portfolio.

1. Introduction

A recently conducted survey study by Stroebel and Wurgler [1] asked 861 finance academics, practitioners, public sector regulators, and policy economists about climate finance and identified physical risks, such as rising sea levels and increasing average temperatures, as the main risk type on the horizon of over 30 years. Furthermore, the survey participants believe that asset prices underestimate climate risk. This is why in the field of socially responsible investments (SRI), ecological and ethical risk factors are increasingly considered in the portfolio risk assessment. There is growing demand from private and institutional investors for information on such risk factors, partly due to regulatory efforts, e.g., in Europe [2], independent rating agencies began publishing scores for companies based on publicly available information, covering environmental, social, and governance (ESG) aspects, to measure corporate social performance (CSP).
While some studies, e.g., Pedersen et al. [3], have proposed methods to optimally implement these ESG scores to obtain the best-possible portfolio allocation, only a few studies focus on an investor’s preference for sustainable investment. Pástor et al. [4] modeled sustainable investing for agents with differing preferences for sustainability, where besides financial wealth, an agent’s utility is affected by holding green assets, the firm’s social impact, and the impact on climate risk. Their analysis reflects the investors’ preferences using an exponential utility function; however, the authors’ empirical analysis does not simultaneously cover risk-seeking behavior of investors.
This is where our study contributes to the existing literature. First, we analyze how the preference for sustainable assets in the portfolio shifts for increasing levels of an investor’s risk aversion. Instead of relying on numerical examples, we employ a sample of 411 firms in the Standard and Poor’s S&P 500 index from 2015 to 2019 and first determine the minimum-variance and maximum Sharpe ratio portfolio, solely based on financial returns. We then calculate sustainability returns as the log performance difference of a firm’s ESG ratings and, thereafter, impose an exponential and an s-shaped utility function, based on financial and sustainability returns, to depict the investor’s utility, similar to Dorfleitner and Utz [5] and Dorfleitner and Nguyen [6]. Especially, the use of the s-shaped utility function is novel in this approach and offers a great advantage in the analysis of sustainability preference by extending the risk spectrum for the analysis, since the function simultaneously depicts risk-averse and risk-seeking behavior. Furthermore, contrary to the existing literature, rather than focusing on portfolio weights, we optimize with regard to the sustainability preference parameter, by which we seek to identify shifts between financial and sustainable returns. We find that with increasing levels of risk aversion, both types of investors seek to incorporate sustainable assets. The conclusion is mainly driven by the characteristics of the sustainable returns, which exhibit a lower return and variance than the financial returns. This return to variance pattern is in line with the current literature on the effects of holding ESG assets on asset prices [3,4,7]. Our results hold in several robustness tests, where we alternatively use an additive utility function and different measures of sustainability returns, underlining the validity of our findings.
The remainder of the paper is structured as follows. After a literature review in Section 2, we explain our data and methodology in Section 3. We present the results of the paper in Section 4, before the robustness tests in Section 5, while Section 6 concludes.

2. Theoretical Foundation

Generally, the healthy functioning of equity and banking markets is important to achieve sustainable economic growth [8]. The empirical literature is divided over whether sustainable assets under- or overperform in comparison to non-green stocks. Hamilton et al. [9] and Bello [10] conducted such performance analyses and found that sustainable funds do not significantly over- or underperform, similar to the findings of Auer and Schuhmacher [11], while Galema et al. [12] discovered a significant impact of SRI on stock returns. One reason for such over- or underperformance is given by Fama and French [13], who modeled the taste for assets as consumption goods either depending on asset returns or not depending on asset returns under the CAPM and found that an investor’s preference, e.g., for holding green assets, affects asset prices. However, their model is mainly focused on asset pricing effects and does not take into account changes in risk appetite. Furthermore, the authors do not explicitly employ different utility functions to depict investor preferences, whereas we specifically model such investor preferences and investigate the effect of risk appetite on the respective preferences. Theoretical studies based on Merton [14] suggest that investors who seek ESG objectives refuse to hold assets that do not match their ecological and ethical preferences. This is the foundation of segmentation theory, which states that in equilibrium, such market segmentation of investors due to ecological and ethical motives leads to higher expected returns for non-green companies and sin stocks, as shown in Heinkel et al. [15] and Luo and Balvers [16]. Hong and Kacperczyk [17] supported the segmentation theory by finding that sin stocks generate positive abnormal returns, a so-called sin premium. Similarly, stocks with good governance or high employee satisfaction have been found to generate positive abnormal returns as well [18,19,20]. In further support of the segmentation theory, Baker et al. [7] showed that green municipal bonds are issued at a higher price than similar non-green bonds. The authors modeled two investors with mean-variance preferences, of which one investor had a preference for green assets, using a fixed risk aversion parameter for returns and variances for both investors. However, the authors did not empirically model changes in risk aversion and the respective affect on investors’ preferences. Benson and Humphrey [21] found that the SRI fund flow is less sensitive to returns than the conventional counterpart. In a more recent strain of research, Pástor et al. [4] argued that shifts in investors’ preferences might lead to green assets outperforming brown assets. While the authors reflect the investors’ preferences using an exponential utility function, their empirical analysis does not cover risk seeking behavior of investors, e.g., as depicted by the s-shaped utility. A related study by Avramov et al. [22] analyzed the implications of uncertainty about corporate ESG profiles. In their model, investors believe that ESG scores and the underlying distribution is uncertain, which is proxied by the dispersion, or disagreement, between different ESG rating agencies. The authors found that in equilibrium, the market premium for equities increases and stock demand declines under ESG uncertainty.
Furthermore, despite several studies analyzing the performance of sustainable assets, only a few present a guide on how to incorporate sustainability aspects into the portfolio choice. Typically, SRI investment follows two steps, in which the assets under consideration are first screened regarding their ESG criteria, and afterwards the portfolio weights are optimized to obtain an efficient financial solution [23]. Ballestero et al. [24] presented a bi-criteria model for financial and ethical aspects, which is suited for SRI portfolio selection. An extending method was proposed by Steuer et al. [25] and Hirschberger et al. [26] to enhance Markowitz’s bi-criterion portfolio selection to a tri-criterion model, which enables incorporating a third dimension, e.g., sustainability, as shown in Utz et al. [27]. Schmidt et al. [28] employed a mean-variance framework and expanded it to incorporate investors’ preferences for ESG in the portfolio by adding a linear function of the weighted sum of the portfolio constituents’ ESG scores to the optimization problem. Similar to Pástor et al. [4], Pedersen et al. [3] attempted to establish a bridge between studies showing that ESG investing negatively impacts performance and those that show the opposite effect. Therefore, Pedersen et al. [3] extended Markowitz’s theory to demonstrate an ESG-efficient frontier, which displays the highest possible Sharpe ratio for each ESG score. Their frontier defines the optimal possibilities for an investor’s portfolio allocation, suggesting that ESG is a positive predictor of future firm profits and, hence, not fully priced in the market. Following this reasoning, the authors predict that ethically motivated investors should be willing to accept lower returns for more sustainable stocks.
One practical difficulty that remains present in the current literature is the modeling of an investor’s preference for sustainable assets in the portfolio and sustainability itself. While Dorfleitner and Utz [5] modeled stochastic sustainable returns, derived from ESG scores, and implemented these in a similar bi-criterion Markowitz portfolio selection framework, Dorfleitner and Nguyen [6] complemented the mean-variance model with the expected utility theory to show the change in optimal portfolio weights depending on an investor’s preference for sustainability. Nonetheless, their analysis is still mainly focused on portfolio allocation and only covers basic utility functions. Similarly, Escobar-Anel [29] studied a multivariate utility to attach risk aversion levels to different sources of wealth under consideration of ESG investments. For a numerical example, not based on empirical data, the authors found solutions to optimal allocations in an expected utility setting and showed an increase in green investments by 33% when accounting for differential risk aversion levels.
Our study fills several gaps in the literature. First, different from the existing literature, we do not investigate the sustainable portfolio weighting but, rather, the change of an ethically motivated investor’s preference for sustainable assets under a varying risk appetite. Therefore, using the Markowitz portfolio theory, we determine two financially optimized portfolios for stocks in the S&P 500 from 2015 to 2019, namely, the minimum-variance portfolio and the maximum Sharpe ratio portfolio. Second, similar to Dorfleitner and Nguyen [6], we employ the expected utility theory and optimize an exponential and s-shaped utility function under differing risk appetites concerning the sustainability preference. To our knowledge, this is the first study that investigates the effect of risk aversion on sustainability preference under such complex utility functions. We solve the optimization problem using an evolutionary algorithm and find that with increasing levels of risk aversion, an ethical investor’s preference for SRI increases both for a minimum-variance and maximum Sharpe ratio investor. Our study relates to the theory of taste-based discrimination from Becker [30], as we suggest that ethical investors may be more keen in investments based on sustainability returns than in financial returns, which consequently favors green and discriminates non-green or brown investments. Similarly, following Phelps [31], we state that sustainability of firms cannot be observed perfectly; hence, we use annual ESG ratings as an approximation hereof. An ethically motivated investor who is maximizing only with regard to financial returns may discriminate against sustainability if the cost for gaining information on a firm’s sustainability performance is very high. However, as the availability of ESG ratings has been increasing significantly in the past decade, the cost of obtaining such data has decreased.

3. Data and Methodology

3.1. Data

We employed daily stock closing prices from Compustat for 411 publicly listed firms in the US included in the Standard and Poor S&P 500 index from 2015 to 2019 and estimated annualized returns and variances. Furthermore, we obtained annual ESG scores for the respective firms in our sample from Refinitiv. The ESG scores are a composition of corporate environmental (E), social (S), and governance performance (G). Environmental performance includes, but is not limited to, emissions and resources; social performance measures human rights and the workforce; and governance performance covers management, stakeholder, and CSR strategy. Due to missing ESG scores for several firms of the S&P 500 index, especially for 2019, we mitigated the risk of survivorship bias by using the Global Industry Classification System (GICS) to assign the minimum ESG score per industry and year to the respective firm. Hence, our sample consists of 1644 annual observations for 411 firms.

3.2. Investor Utility and Sustainability Preference

Our main goal is to model an investor’s preference for sustainable assets in the portfolio for a varying risk appetite, given different specifications of the underlying utility function. In the first step, we calculate logarithmic stock returns as
r n , t = l o g p n , t p n , t 1
with p n , t being the closing price of stock n at time t. In a second step, to determine the sustainability equivalent, we take an approach similar to Dorfleitner and Utz [5] and calculate a log performance ratio using ESG data as a proxy for a firm’s sustainability and denote it sustainability return. We assume randomness for the sustainability returns since it is ex ante not possible to predict what good intentions the management of a company has will be realized [5]. To calculate sustainability returns, we employ the ESG ratings obtained from Refinitiv, which are scaled between 0 and 100 (worst to best). While such scaling of ESG returns allows for an assessment of how sustainably a company operates, our intuition is to measure how the ESG rating of a firm is performing in comparison to the ESG ratings of other firms. This practice allows to identify whether a firm is over- or underperforming with regard to industry standards. Therefore, we divide a company’s individual ESG rating E S G n , t at time t by the average ESG rating of all companies in the current rating universe across industries E S G N , t ¯ to obtain the relative sustainability performance measure as
s p n , t = E S G n , t E S G N , t ¯
for company n at time t. This allows us to define the sustainability return as the logarithmic return of the sustainability performance
s r n , t = l o g s p n , t s p n , t 1
for company n at time t. While an investor’s interpretation of financial returns is apparent, a positive sustainability return would reflect that the respective company has increased its relative sustainability rating over one period, which is an indicator for a successful implementation of ESG-friendly business conduct and, hence, favorable for an ethically motivated investor. Analogously, a negative sustainable return either shows that a company suffers from misconduct, e.g., due to managerial controversies or environmental pollution, or that the company does not keep up with the market standards of ESG practices, e.g., when the overall ESG ratings of other companies increase. Therefore, similar to financial returns, an ethical investor would prefer positive sustainable returns over negative sustainable returns. We report the descriptive statistics for the financial and sustainable returns in Table 1.
The aim of this study does not lie in detecting the optimal portfolio weights, given the sustainability returns, but rather in identifying how the preference for sustainable assets changes as the risk appetite varies with differing utility function specifications. To answer this, we first compute two optimized portfolios, solely based on the financial returns, namely, the minimum-variance ( M i n . V a r ) and maximum Sharpe ratio ( M a x . S h a r p e ) portfolio. The global minimum-variance portfolio is defined as the portfolio with the lowest possible variance
M i n . V a r = min θ σ p 2 = θ Σ θ s . t . θ 1 = 1 and θ i 0 for i = 1 , , N
where θ denotes the portfolio allocation vector with dimensions N × 1 , σ p 2 is the portfolio variance, and Σ is the matrix of covariances. The portfolio allocation vector contains the weighting of each asset in the portfolio. We apply a full investment constraint by setting the sum of the portfolio weights in the portfolio allocation vector θ to be equal to one and a no-short-selling constraint by setting the portfolio weights greater than or equal to 0. The Sharpe ratio measures the risk premium on the portfolio per unit of risk, which is defined by the portfolio volatility σ p . Hence, the maximum Sharpe ratio portfolio is given by
M a x . S h a r p e = max θ θ μ θ Σ θ = μ p r f σ p s . t . θ 1 = 1 and θ i 0 for i = 1 , , N
with μ p being the expected portfolio return and r f denoting the risk-free return. Given the low-interest environment during our sample period, caused by quantitative easing programs of central banks, we hereafter assume the risk-free rate to be equal to zero. Here, we once again apply the full investment and no-short-selling constraint on the portfolio weights.
Multiplying the portfolio allocation vector of the minimum-variance or maximum Sharpe ratio optimization with the vector of firms’ financial returns r yields the financial portfolio returns θ r = R ; we analogously obtain the sustainability portfolio returns as θ s r = S R , where R and S R are matrices of the dimensions ( N × T ) over the time period t = 1 , , T for N financial assets.
To explain why an investor would allocate investments to sustainable assets, we resort to the theory of expected utility. Similar to Dorfleitner and Nguyen [6], we model the general utility of an investor depending on financial and sustainability returns as
U ( R , S R ) = U ( ( 1 γ ) R + γ S R ) ,
where γ [ 0 , 1 ] is the sustainability preference parameter and describes the weighting of sustainable assets relative to their financial counterpart. Under this utility model, an investor can gain utility from capital gain and ethically based non-financial sustainability returns. One shortcoming of this model is that financial losses in terms of negative financial returns may be offset by positive sustainability returns, regardless of the amount of money that is lost [6]. Even though investors who seek socially responsible investments are willing to trade financial returns with sustainability returns, as found by Lewis and Mackenzie [32], Nilsson [33] and Dorfleitner and Utz [34], it is unlikely that such an investor would fully waive financial returns; however, for the sake of simplicity, we use the above specification for the further analysis and cover an additive utility function model in the robustness section.
Since we are interested in the maximization of the expected investor utility with regard to the sustainability preference parameter γ , we define the optimization as
γ * = a r g max γ T 1 t = 1 T U R , S R , γ Ω ,
where U is the utility function from Equation (6) and Ω defines the constraint of the sustainability preference parameter
Ω = 0 γ i 1 for i = 1 , , N .
Having introduced the general optimization problem, we now specify which utility functions approximate an investor’s behavior in this study. We implement two families of utility functions that describe the risk-averse behavior of investors, namely, the exponential and s-shaped utility functions. As stated above, we assume that the utility is dependent on the financial and sustainable return, which implies a normalization of initial wealth to one. The motivation behind this assumption is that investors focus more on the return of an investment than on the level of wealth [35]. Closed-form utility functions such as the exponential utility are commonly used in the literature [6]. The exponential utility is defined as
e x p ( A ( 1 + r p ) ) ,
where A denotes the degree of constant absolute risk aversion (CARA) and r p is the (financial or sustainability) portfolio return. The implication for the CARA in the exponential utility is that, e.g., for an increase in wealth, the amount of money invested in risky assets remains unchanged, which stands in contrast to the constant relative risk aversion (CRRA), derived from the Arrow–Pratt risk measure, where the level of risk aversion changes with the amount of wealth.
The s-shaped utility function depicts an investor’s preference for a certain gain to an uncertain gain with a higher expected value and, analogously, a preference for an uncertain loss to a certain loss with a higher expected value, including an inflection point between these two preferences. The function is defined as
A ( z r p ) λ 1 for r p z B ( r p z ) λ 2 for r p > z
with the curvature parameters A , B , λ 1 , λ 2 and the inflection point z, where the parameters λ 1 and A influence the downside of the function and λ 2 and B, respectively, affect the upside of the function. The s-shaped utility is especially well suited to depict investor preferences, taking into account higher moments of returns, such as the skewness and kurtosis.
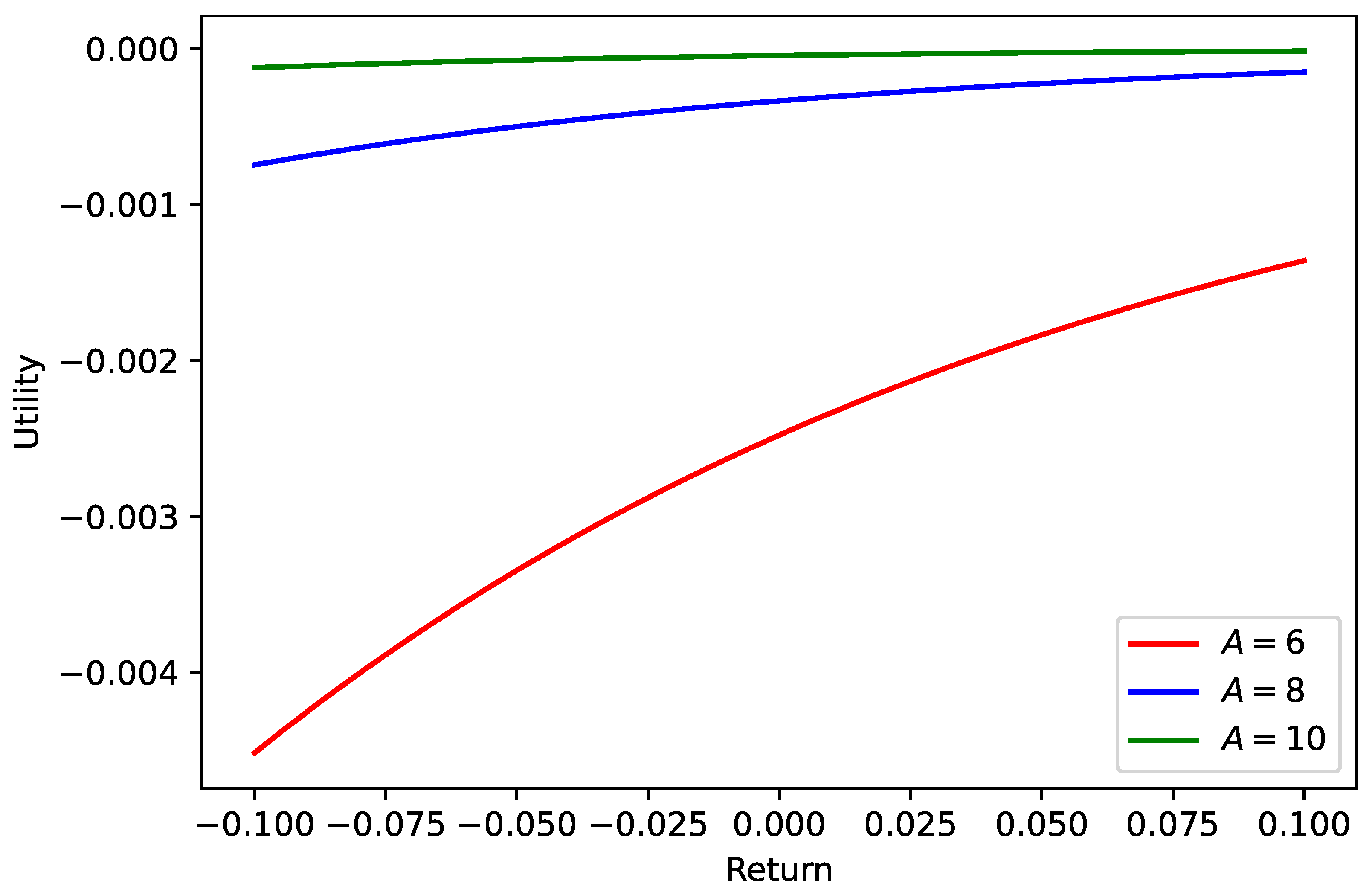
In further analysis, we vary the risk aversion parameter A of the exponential utility between 1 and 10. For the s-shaped utility, we perform one set of tests where we vary λ , holding everything else constant and equal, and another set of tests varying A and B, where we set λ equal. The behavior of both utility functions for varying parameters is depicted in Figure 1 and Figure 2.
Generally, the optimizations regarding the minimum-variance and maximum Sharpe ratio portfolio vector can be solved by quadratic programming; however, our objective function in Equation (7) requires a global optimizer. Hence, in the next subsection, we present the differential evolution algorithm, which is adequate to solve such a non-linear objective function.

3.3. Differential Evolution

Differential evolution is a global optimization technique that applies self-learning algorithms to find optima in vast solution surfaces [36]. Furthermore, it is a user friendly framework as it only requires few parameters to be defined. The optimizer is population-based and chooses its starting point by sampling the objective function at multiple, randomly chosen initial points [37]. The algorithm operates in five essential steps. Firstly, the upper and lower bounds for each parameter (in our case γ ) to be optimized must be specified before initializing the population. Then, a set of P starting value vectors γ i , 1 , g of length N, subject to a constraint matrix Ω is randomly generated, where i = 1 , , P and P is the population size. The subscript g signifies that a new random value vector is generated for each parameter [37].
In a second step, the algorithm mutates and recombines the population in order to create a population of N P trial vectors. This is conducted by a differential mutation technique, which adds a scaled, randomly sampled vector difference to a third vector [37]. The mutant vector is obtained as
γ i , 2 , g = γ j 1 , 1 , g + F γ j 2 , 1 , g γ j 3 , 1 , g ,
where j 1 , j 2 , and j 3 are randomly drawn discrete numbers from the set 1 , , P . The scale factor F ( 0 , 1 + ) controls the rate at which the population evolves.
The third step involves a crossover, in which trial vectors are build out of parameter values that have been copied from two different vectors. The algorithm crosses each vector with a mutant vector, where the crossover probability π is a user-defined value to control the fraction of parameter values that are replicated from the mutant [37]. This means that a third set of P vectors γ i , 3 , g * with length N is created using the crossover probability π equaling γ i , 1 , g and a probability ( 1 π ) equaling γ i , 2 , g [36]. These vectors are adjusted by a function f c such that they satisfy the problem constraints in Ω
f c ( γ i , 3 , g * ) = γ i , 3 , g Ω .
To ensure that the sustainability preference parameter is scaled between 0 and 1, the function f c first sets all negative values of γ i , g equal to 0 and, in a second step, divides all elements by the sum of the solution vector. Then, a fourth set of P vectors of length N is generated, which contains the best solution vectors in set 1 and set 3, by using
γ i , 4 , g = a r g max { γ i , 1 , g , γ i , 3 , g } ( U ( R , S R ) ) .
As differential evolution compares each trial vector with the target vector from which it inherits parameters, it is said to more tightly integrate recombination and selection than other evolutionary algorithms [37]. Through iteration, new vector generations are created by setting
γ i , 1 , g + 1 = γ i , 4 , g
and repeating the steps of mutation, recombination, and selection until a halting criterion g = G is met [37].
The optimum is obtained as
γ * = a r g max { γ i , 4 , G } ( U ( R , S R ) ) .
To verify that the optimum is not influenced by the random starting values leading to a local maximum, we repeat the whole procedure five times. In this study, we set the bounds of the sustainability preference parameter γ to be between 0 and 1. We choose the mutation scale parameter F to be between 0.5 and 1. This range enables us to apply dithering, which randomly changes the mutation constant with the generations and, hence, increases the speed for convergence. The crossover probability π equals 0.7 , which is within recommended limits [36]. We set the population size ( P = 10 ) ten times as high as the number of parameters that are to be optimized and do not implement a halting criterion, but set the number of maximum iterations to 2500. If a relative convergence of up to 0.01 is reached, the algorithm stops mutating.

4. Results

In this section, we present the results of the utility preference optimization. Table 2 reports the sustainability preference γ * for differing constant absolute risk aversion parameters using the exponential utility in a minimum-variance and maximum Sharpe ratio portfolio setting.
In the minimum-variance scenario, we find that with increasing risk aversion, a minimum-variance investor’s preference shifts towards sustainability returns. The shift begins at a risk aversion of A = 3 , where an investor would optimize the personal utility when the portfolio consists of 12.2% sustainable returns and 87.8% financial returns. This ratio increases towards sustainable returns as the risk aversion parameter increases, which indicates that with an increasing preference for low portfolio risk, the minimum-variance investor would achieve the optimal utility by incorporating more sustainable returns. This can be explained by a lower variance of sustainability returns compared to financial returns. The highest preference for sustainability of 80.7% is obtained at a CARA equal to 10.
For a maximum Sharpe ratio investor, who seeks the optimal trade-off between return and risk, we find that there is also a shift towards sustainable returns but beginning at a significantly higher level of risk aversion A = 7 . Hence, such an investor holds on to the risk-adjusted optimal portfolio until the preference for risk aversion increases significantly, where incorporating sustainable returns yields a better ratio of return per additional unit of risk. Here, the highest preference for sustainability is at 40.3% using a CARA equal to 10, which is half of the sustainability preference for a respective minimum-variance investor in the same scenario.
We report the results of the optimization of the sustainability preference parameters for the s-shaped utility in a minimum-variance and maximum Sharpe ratio setting in Table 3. The utility function in the results features an inflection point at z = 0 % , which means that the risk preference of an investor is risk seeking until the portfolio return equals 0% and then changes to risk-averse once a higher portfolio return than z is reached. We interpret z as a target return, which satisfies the investor in such a manner that beyond this target return, further risk per unit return receives marginally less importance in the utility sense.
Beginning with the minimum-variance portfolio, we find that the preference for sustainable returns does not increase when the curvature parameters λ 1 and λ 2 are varied, holding other parameters constant, meaning that an investor would not incorporate sustainability returns to optimize the individual preference. As the parameters λ 1 and λ 2 are held constant and the parameters A and B are varied, we observe that the investor holding a minimum-variance portfolio begins to prefer incorporating sustainable returns. Starting at a loss aversion parameter of A = 2.3 , the sustainability preference parameter increases from 0% to 52.8 % , indicating that such an investor would want 52.8% of sustainable returns in the portfolio to optimize the individual risk preference. With the increase in parameter A, the sustainability preference increases up to 89.1%, but after A = 2.6 , the preference for sustainable returns only marginally increases. Under high values of the curvature parameter A, the additional utility per unit return after the inflection point z decreases significantly; hence, such an investor tries to incorporate sustainable returns with low variance. In the maximum Sharpe ratio portfolio, changing λ 1 and λ 2 does not induce a preference for sustainable returns. Similar to the setting in the exponential utility, varying A and B increases the sustainability preference, but only for high values of A 2.7 , where the parameter γ S h a r p e * equals up to 93.5%. Hence, under such concave utility functions, where the marginal utility of higher returns is very low, incorporating sustainable returns yields a far better risk premium per unit risk than using financial returns.
To further analyze the s-shaped utility setting, we now vary the inflection parameter z and use curvature parameters similar to Table 3. In this scenario, an investor shifts the risk appetite from risk-seeking to risk-averse at a 5 % return level. Intuitively, the preference for sustainable returns will change for higher levels of curvature parameters A and B, holding λ 1 and λ 2 constant and equal to 2 because of the higher target return, which is difficult to achieve solely from sustainable returns due to their characteristics of having lower return and variance. The results for an inflection return at z = 5 % are presented in Table 4.
Similar to the results using an inflection point at 0 % , we find that for the minimum-variance portfolio case the preference for sustainable returns is present for a high curvature parameter A 2.6 , holding everything else constant, where γ M V varies between 38.1 % and 60.6 % for A = 2.9 . This is a large difference in magnitude compared with our results in Table 3, where A = 2.3 already induces a preference for sustainable returns. Furthermore, the amount of sustainable returns has reduced considerably by approximately 30 % compared with the previous results, which represents the need for financial returns to meet higher target returns. Regarding the maximum Sharpe ratio portfolio, we find a similar connection as with the minimum-variance portfolio setting. The higher target return of 5 % requires a high curvature parameter A 2.8 to incorporate sustainable returns, as the risk per unit return gains more importance for the investor. In this case, for extreme values of A, an investor takes advantage of the low volatility of sustainable returns and preferably incorporates these into the portfolio.
Complementary to the above analysis, we consider an additional scenario with the inflection return at z = 5 % , which we report in Table 5. In this setting, an investor would switch the risk appetite to being risk-averse as soon as the portfolio return is greater than or equal to 5 % . Since such a low target return can be reached more easily with sustainable returns, we expect the preference for sustainable returns to be more prevalent than for the previous target returns in Table 3 and Table 4.
For both the minimum-variance portfolio and maximum Sharpe ratio portfolio, we see an advantage for using sustainable returns due to their low variance, since the marginal utility of one unit return, adjusted by volatility, is preferable here. Starting with the minimum-variance portfolio, we find for the first time that the boundary values of γ 1 and γ 2 induce a stark preference for sustainability between 95% and 100%, holding everything else constant. This result is intuitive for highly risk-averse investors and such low target returns, given the characteristics of the first and second moment of the sustainable returns compared to the financial returns. For varying parameters of A and B, holding everything else constant, we find an optimal sustainability preference of 98.1%. As this optimum remains stable for all variations of A, this shows that the low target return can be reached very well with sustainable returns while adhering to a lower portfolio variance, compared to financial returns. In the maximum Sharpe ratio case, we can draw a similar conclusion. When we vary γ 1 and γ 2 , we find a significant preference for sustainable returns of around 95% for the boundary specifications, indicating that under high risk aversion and a low target return, sustainable returns offer a better ratio of return per risk than solely incorporating financial returns. Furthermore, the appetite for sustainable returns is significantly higher compared with our results in Table 3, since A 2.4 already induces a high demand for sustainable returns of 95.7%.
Overall, our results show that risk-averse investors seek the use of sustainable results to optimize individual utility. From the perspective of a minimum-variance and maximum Sharpe ratio investor, we find that the first is keener on implementing sustainable returns, due to the lower variance of sustainable returns, while the latter only incorporates sustainable returns for high levels of risk aversion. Our results are similar under the exponential and s-shaped utilities.

5. Robustness

The main drawback of our utility setting in Equation (6) is that negative financial returns can be offset by sustainability returns, implying an investor’s indifference regarding the amount of financial loss. Therefore, we follow the additive utility criterion proposed by Bollen [38] and Jessen [39], and implemented in Dorfleitner and Nguyen [6], which is defined as
U ( R , S R ) = ( 1 γ ) U ( R ) + γ U ( S R ) ,
where γ is the sustainability preference parameter and describes the weighting of sustainable assets in the portfolio. Equation (16) describes that an investor can gain utility from financial gain and simultaneously from ethically based non-financial sustainability returns. This avoids the problem that high sustainability returns may offset negative financial returns. By substituting Equation (6) with Equation (16) and following the same methodology for the optimization, we find that our results are qualitatively similar to those mentioned under Table 2 and Table 3. To further ensure the validity of our results regarding the computation of sustainability returns, we consider three additional measures. First, we calculate the sustainability performance as the firm’s ESG rating divided by the median ESG rating of all companies across all industries for the respective year. The descriptive statistics of such sustainability returns only show marginal variation compared with the statistics reported in Table 1. The results for the exponential and s-shaped utility are also qualitatively similar to our reported findings. As a second measure, we define the sustainability performance as the firm’s ESG rating divided by the average ESG ratings of firms in the same industry for the respective year. In this setting, we again only observe a marginal difference to our reported statistics and results for the exponential and s-shaped utility. Third, we consider sustainability performance as the firm’s ESG rating divided by the average ESG rating of firms with ESG scores below the median of the respective industry ESG scores per year. We find qualitatively similar results for the statistics and results of our optimization. We additionally conduct the analysis for two equidistant sub-periods of our sample. The results qualitatively match our results when employing the whole sample period but are significantly lower in magnitude. We expect such sub-sample analysis to offer further insights with increasing ESG data availability in the future. For reasons of brevity, we do not report the respective tables, but they are available on demand.

6. Conclusions

While the interest in sustainable investment has received a considerable increase over the past decade, little research has been conducted on the influence of incorporating sustainable returns on investor utility. In this study, we analyze how the preference for sustainable return varies for different risk appetites of investors holding a minimum-variance or maximum Sharpe ratio portfolio under exponential and s-shaped utility functions. We define sustainable returns as the logarithmic change of the ratio of a company’s ESG rating relative to the overall market. Our findings suggest that with increasing levels of risk aversion, an ethical investor’s preference for sustainable returns increases for both the minimum-variance and maximum Sharpe ratio portfolio setting, where our results are driven by the characteristics of sustainable returns, which exhibit low returns and variances. The findings hold in an additional utility criterion, underlining the robustness of our results. While our analysis is limited by employing a rather short time window, we expect more extensive analyses on the incorporation of sustainable returns for investor utility with increasing ESG data availability in the future. Our findings have implications for periods of economic turmoil, as we expect that during economic turmoil, ethically motivated investors may become more risk averse and, therefore, prefer to hold sustainable assets. Such switching behavior could be observed in the post-COVID-19 period, e.g., where ESG stock indices displayed a lower volatility than non-ESG indices [40].

Author Contributions

Conceptualization, A.A. and P.N.P.; methodology, A.A. and P.N.P.; software, A.A.; validation, A.A. and P.N.P.; formal analysis, A.A.; investigation, A.A.; resources, P.N.P.; data curation, A.A.; writing—original draft preparation, A.A.; writing—review and editing, A.A. and P.N.P.; visualization, A.A.; supervision, P.N.P.; project administration, A.A. and P.N.P.; funding acquisition, P.N.P. All authors have read and agreed to the published version of the manuscript.

Funding

This research received no external funding.

Institutional Review Board Statement

Not applicable.

Informed Consent Statement

Not applicable.

Data Availability Statement

Not applicable.

Acknowledgments

The authors wish to thank the team of the center for Finance, Risk and Resource management of the TU Dortmund Technical University for their technical and administrative support. Further, we acknowledge the financial support by the TU Dortmund Technical University within the funding programme Open Access Publishing.

Conflicts of Interest

The authors declare no conflict of interest.

References

  1. Stroebel, J.; Wurgler, J. What do you think about climate finance? J. Financ. Econ. 2021, 142, 487–498. [Google Scholar] [CrossRef]
  2. EU. Taxonomy: Final Report of the Technical Expert Group on Sustainable Finance. Tech. Rep. 2020. Available online: https://ec.europa.eu/info/sites/default/files/business_economy_euro/banking_and_finance/documents/200309-sustainable-finance-teg-final-report-taxonomy_en.pdf (accessed on 1 September 2022).
  3. Pedersen, L.; Fitzgibbons, S.; Pomorski, L. Responsible investing: The ESG-efficient frontier. J. Financ. Econ. 2021, 142, 572–597. [Google Scholar] [CrossRef]
  4. Pástor, L.; Stambaugh, R.; Taylor, L. Sustainable investing in equilibrium. J. Financ. Econ. 2021, 142, 550–571. [Google Scholar] [CrossRef]
  5. Dorfleitner, G.; Utz, S. Safety first portfolio choice based on financial and sustainability returns. Eur. J. Oper. Res. 2012, 221, 155–164. [Google Scholar] [CrossRef]
  6. Dorfleitner, G.; Nguyen, M. A new approach for optimizing responsible investments dependently on the initial wealth. J. Asset Manag. 2016, 18, 81–98. [Google Scholar] [CrossRef]
  7. Baker, M.; Bergstresser, D.; Serafeim, G.; Wurgler, J. Financing the Response to Climate Change: The Pricing and Ownership of U.S. Green Bonds. NBER Work. Pap. 2018. Available online: https://papers.ssrn.com/sol3/papers.cfm?abstract_id=3275327 (accessed on 1 September 2022).
  8. Saleem, A.; Setiawan, B.; Bárczi, J.; Sági, J. Achieving Sustainable Economic Growth: Analysis of Islamic Debt and the Islamic Equity Market. Sustainability 2021, 13, 8319. [Google Scholar] [CrossRef]
  9. Hamilton, S.; Jo, H.; Statman, M. Doing Well while Doing Good? The Investment Performance of Socially Responsible Mutual Funds. Financ. Anal. J. 1993, 49, 62–66. [Google Scholar] [CrossRef]
  10. Bello, Z. Socially responsible investing and portfolio diversification. J. Financ. Res. 2005, 28, 41–57. [Google Scholar] [CrossRef]
  11. Auer, B.; Schuhmacher, F. Do socially (ir)responsible investments pay? New evidence from international ESG data. Q. Rev. Econ. Financ. 2016, 59, 51–62. [Google Scholar] [CrossRef]
  12. Galema, R.; Plantinga, A.; Scholtens, B. The stocks at stake: Return and risk in socially responsible investment. J. Bank. Financ. 2008, 32, 2646–2654. [Google Scholar] [CrossRef]
  13. Fama, E.; French, K. Disagreement, tastes, and asset prices. J. Financ. Econ. 2007, 83, 667–689. [Google Scholar] [CrossRef]
  14. Merton, R. A simple model of capital market equilibrium with incomplete information. J. Financ. 1987, 42, 483–510. [Google Scholar] [CrossRef]
  15. Heinkel, R.; Kraus, A.; Zechner, J. The Effect of Green Investment on Corporate Behavior. J. Financ. Quant. Anal. 2001, 36, 431–449. [Google Scholar] [CrossRef]
  16. Luo, H.; Balvers, R. Social Screens and Systematic Investor Boycott Risk. J. Financ. Quant. Anal. 2017, 52, 365–399. [Google Scholar] [CrossRef]
  17. Hong, H.; Kacperczyk, M. The price of sin: The effects of social norms on markets. J. Financ. Econ. 2009, 93, 15–36. [Google Scholar] [CrossRef]
  18. Sloan, R. Do Stock Prices Fully Reflect Information in Accruals and Cash Flows about Future Earnings? Account. Rev. 1996, 71, 289–315. [Google Scholar]
  19. Gompers, P.; Ishii, J.; Metrick, A. Corporate Governance and Equity Prices. Q. J. Econ. 2003, 118, 107–156. [Google Scholar] [CrossRef]
  20. Edmans, A. Does the stock market fully value intangibles? Employee satisfaction and equity prices. J. Financ. Econ. 2011, 101, 621–640. [Google Scholar] [CrossRef]
  21. Benson, K.; Humphrey, J. Socially responsible investment funds: Investor reaction to current and past returns. J. Bank. Financ. 2008, 32, 1850–1859. [Google Scholar] [CrossRef]
  22. Avramov, D.; Cheng, S.; Lioui, A.; Tarelli, A. Sustainable investing with ESG rating uncertainty. J. Financ. Econ. 2022, 145, 642–664. [Google Scholar] [CrossRef]
  23. Dupré, D.; Girerd-Potin, I.; Kassoua, R. Adding an ethical dimension to portfolio management. Financ. India 2004, 18, 625–642. [Google Scholar] [CrossRef]
  24. Ballestero, E.; Bravo, M.; Pérez-Gladish, B.; Arenas-Parra, M.; Plà-Santamaria, D. Socially responsible investment: A multicriteria approach to portfolio selection combining ethical and financial objectives. Eur. J. Oper. Res. 2012, 216, 487–494. [Google Scholar] [CrossRef]
  25. Steuer, R.; Wimmer, M.; Hirschberger, M. Overviewing the transition of Markowitz bi-criterion portfolio selection to tri-criterion portfolio selection. J. Bus. Econ. 2013, 83, 61–85. [Google Scholar] [CrossRef]
  26. Hirschberger, M.; Steuer, R.; Utz, S.; Wimmer, M.; Qi, Y. Computing the non-dominated surface in tri-criterion portfolio selection. Oper. Res. 2013, 61, 169–183. [Google Scholar] [CrossRef]
  27. Utz, S.; Wimmer, M.; Hirschberger, M.; Steuer, R. Tri-criterion inverse portfolio optimization with applicatino to socially responsible mutual funds. Eur. J. Oper. Res. 2014, 234, 491–498. [Google Scholar] [CrossRef]
  28. Schmidt, A.B. Optimal ESG portfolios: An example for the Dow Jones Index. J. Sustain. Financ. Invest. 2020, 12, 529–535. [Google Scholar] [CrossRef]
  29. Escobar-Anel, M. Multivariate risk aversion utility, application to ESG investments. N. Am. J. Econ. Financ. 2022, 63, 101790. [Google Scholar] [CrossRef]
  30. Becker, G. The Economics of Discrimination; The University of Chicago Press: Chicago, IL, USA, 1957. [Google Scholar]
  31. Phelps, E. The statistical theory of racism and sexism. Am. Econ. Rev. 1972, 62, 659–661. [Google Scholar]
  32. Lewis, A.; Mackenzie, C. Morals, money, ethical investing and economic psychology. Hum. Relations 2000, 53, 179–191. [Google Scholar] [CrossRef]
  33. Nilsson, J. Segmenting socially responsible mutual fund investor: The influence of financial return and social responsibility. Int. J. Bank Mark. 2009, 27, 5–31. [Google Scholar] [CrossRef]
  34. Dorfleitner, G.; Utz, S. Profiling German-speaking socially responsible investors. Qual. Res. Financ. Mark. 2014, 6, 118–156. [Google Scholar] [CrossRef]
  35. Kahnemann, D.; Tversky, A. Prospect theory: An analysis of decision under risk. Econometrica 1979, 47, 263–291. [Google Scholar] [CrossRef]
  36. Hagströmer, B.; Binner, J.M. Stock portfolio selection with full-scale optimization and differential evolution. Appl. Financ. Econ. 2009, 19, 1559–1571. [Google Scholar] [CrossRef]
  37. Storn, R.; Price, K. Differential evolution—A simple and efficient heuristic for global optimization over continuous spaces. J. Glob. Optim. 1997, 11, 341–359. [Google Scholar] [CrossRef]
  38. Bollen, N. Mutual fund attributes and investor behavior. J. Financ. Quant. Anal. 2007, 42, 683–708. [Google Scholar] [CrossRef]
  39. Jessen, P. Optimal responsible investment. Appl. Financ. Econ. 2012, 22, 1827–1840. [Google Scholar] [CrossRef]
  40. Mousa, M.; Saleem, A.; Sági, J. Are ESG shares a safe haven during COVID-19? Evidence from the arab region. Sustainability 2021, 14, 208. [Google Scholar] [CrossRef]
Figure 1. This figure shows the behavior of the exponential utility function for some of the different specifications used in this study.
Figure 1. This figure shows the behavior of the exponential utility function for some of the different specifications used in this study.
Sustainability 14 15963 g001
Figure 2. This figure shows the behavior of the s-shaped utility function for some of the different specifications used in this study.
Figure 2. This figure shows the behavior of the s-shaped utility function for some of the different specifications used in this study.
Sustainability 14 15963 g002
Table 1. This table reports the descriptive statistics of the financial and sustainable returns. The data come from Compustat and Refinitiv and include annual data for 411 firms from 2015 to 2019. In the process of computing sustainable returns, our sample of financial and sustainable returns shortens by one year and reaches from 2016 to 2019, consisting of 411 return series. We report the minimum, mean, and maximum for each central moment.
Table 1. This table reports the descriptive statistics of the financial and sustainable returns. The data come from Compustat and Refinitiv and include annual data for 411 firms from 2015 to 2019. In the process of computing sustainable returns, our sample of financial and sustainable returns shortens by one year and reaches from 2016 to 2019, consisting of 411 return series. We report the minimum, mean, and maximum for each central moment.
Financial ReturnsSustainable Returns
StatisticMin.MeanMax.Min.MeanMax.
Mean−1.41190.05820.4948−0.3714−0.00020.2588
Volatility0.01940.21792.07810.00970.11400.9067
Skewness−1.1541−0.21001.1306−1.15450.01871.1461
Kurtosis−1.9993−1.1758−0.6671−1.9977−1.1245−0.6668
Table 2. This table reports the sustainability preference parameters γ * for the minimum-variance portfolio and maximum Sharpe ratio portfolio under differing parameters for absolute risk aversion A, using the exponential utility function as an approximation of investor utility.
Table 2. This table reports the sustainability preference parameters γ * for the minimum-variance portfolio and maximum Sharpe ratio portfolio under differing parameters for absolute risk aversion A, using the exponential utility function as an approximation of investor utility.
Risk Aversion
Parameter
Sustainability
Preference (%)
A γ Min . Var * γ Max . Sharpe *
10.00.0
20.00.0
312.20.0
436.80.0
551.50.0
661.30.0
768.55.0
873.320.8
977.431.0
1080.740.3
Table 3. This table reports the sustainability preference parameters γ * for the minimum-variance portfolio and maximum Sharpe ratio portfolio under differing parameters for the curvature parameters (A, B, λ 1 , λ 2 , z) of the s-shaped utility function with the inflection point at 0% as an approximation of investor utility.
Table 3. This table reports the sustainability preference parameters γ * for the minimum-variance portfolio and maximum Sharpe ratio portfolio under differing parameters for the curvature parameters (A, B, λ 1 , λ 2 , z) of the s-shaped utility function with the inflection point at 0% as an approximation of investor utility.
Curvature ParametersSustainability Preference (%)
AB λ 1 λ 2 z (%) γ Min . Var * γ Max . Sharpe *
1.51.50.10.900.00.0
1.51.50.20.800.00.0
1.51.50.30.700.00.0
1.51.50.40.600.00.0
1.51.50.50.500.00.0
1.51.50.60.400.00.0
1.51.50.70.300.00.0
1.51.50.80.200.00.0
1.51.50.90.100.00.0
2.01.00.50.500.00.0
2.10.90.50.500.00.0
2.20.80.50.500.00.0
2.30.70.50.5052.80.0
2.40.60.50.5075.20.0
2.50.50.50.5083.20.0
2.60.40.50.5086.60.0
2.70.30.50.5088.244.6
2.80.20.50.5088.885.3
2.90.10.50.5089.193.5
Table 4. This table reports the sustainability preference parameters γ * for the minimum-variance portfolio and maximum Sharpe ratio portfolio under differing parameters for the curvature parameters (A, B, λ 1 , λ 2 , z) of the s-shaped utility function with the inflection point at 5% as an approximation of investor utility.
Table 4. This table reports the sustainability preference parameters γ * for the minimum-variance portfolio and maximum Sharpe ratio portfolio under differing parameters for the curvature parameters (A, B, λ 1 , λ 2 , z) of the s-shaped utility function with the inflection point at 5% as an approximation of investor utility.
Curvature ParametersSustainability Preference (%)
AB λ 1 λ 2 z (%) γ Min . Var * γ Max . Sharpe *
1.51.50.10.950.00.0
1.51.50.20.850.00.0
1.51.50.30.750.00.0
1.51.50.40.650.00.0
1.51.50.50.550.00.0
1.51.50.60.450.00.0
1.51.50.70.350.00.0
1.51.50.80.250.00.0
1.51.50.90.150.00.0
2.01.00.50.550.00.0
2.10.90.50.550.00.0
2.20.80.50.550.00.0
2.30.70.50.550.00.0
2.40.60.50.550.00.0
2.50.50.50.550.00.0
2.60.40.50.5538.10.0
2.70.30.50.5554.00.0
2.80.20.50.5559.045.6
2.90.10.50.5560.675.2
Table 5. This table reports the sustainability preference parameters γ * for the minimum-variance portfolio and maximum Sharpe ratio portfolio under differing parameters for the curvature parameters (A, B, λ 1 , λ 2 , z) of the s-shaped utility function with the inflection point at −5% as an approximation of investor utility.
Table 5. This table reports the sustainability preference parameters γ * for the minimum-variance portfolio and maximum Sharpe ratio portfolio under differing parameters for the curvature parameters (A, B, λ 1 , λ 2 , z) of the s-shaped utility function with the inflection point at −5% as an approximation of investor utility.
Curvature ParametersSustainability Preference (%)
AB λ 1 λ 2 z (%) γ Min . Var * γ Max . Sharpe *
1.51.50.10.9−594.394.9
1.51.50.20.8−594.50.0
1.51.50.30.7−595.30.0
1.51.50.40.6−50.00.0
1.51.50.50.5−50.00.0
1.51.50.60.4−50.00.0
1.51.50.70.3−50.00.0
1.51.50.80.2−5100.00.0
1.51.50.90.1−5100.0100.0
2.01.00.50.5−598.10.0
2.10.90.50.5−598.10.0
2.20.80.50.5−598.10.0
2.30.70.50.5−598.10.0
2.40.60.50.5−598.195.7
2.50.50.50.5−598.195.7
2.60.40.50.5−598.195.7
2.70.30.50.5−598.195.7
2.80.20.50.5−598.195.7
2.90.10.50.5−598.195.7
Publisher’s Note: MDPI stays neutral with regard to jurisdictional claims in published maps and institutional affiliations.

Share and Cite

MDPI and ACS Style

Aslan, A.; Posch, P.N. How Do Investors Value Sustainability? A Utility-Based Preference Optimization. Sustainability 2022, 14, 15963. https://doi.org/10.3390/su142315963

AMA Style

Aslan A, Posch PN. How Do Investors Value Sustainability? A Utility-Based Preference Optimization. Sustainability. 2022; 14(23):15963. https://doi.org/10.3390/su142315963

Chicago/Turabian Style

Aslan, Aydin, and Peter N. Posch. 2022. "How Do Investors Value Sustainability? A Utility-Based Preference Optimization" Sustainability 14, no. 23: 15963. https://doi.org/10.3390/su142315963

APA Style

Aslan, A., & Posch, P. N. (2022). How Do Investors Value Sustainability? A Utility-Based Preference Optimization. Sustainability, 14(23), 15963. https://doi.org/10.3390/su142315963

Note that from the first issue of 2016, this journal uses article numbers instead of page numbers. See further details here.

Article Metrics

Back to TopTop